On the HKUST-1/GO and HKUST-1/rGO Composites: The Impact of Synthesis Method on Physicochemical Properties
Abstract
1. Introduction
2. Results and Discussion
2.1. Crystallographic Properties of HKUST-1/GO and HKUST-1/rGO Composites
2.2. Morphology of HKUST-1/GO and HKUST-1/rGO Composites
2.3. Surface Chemistry of HKUST-1/GO and HKUST-1/rGO Composites
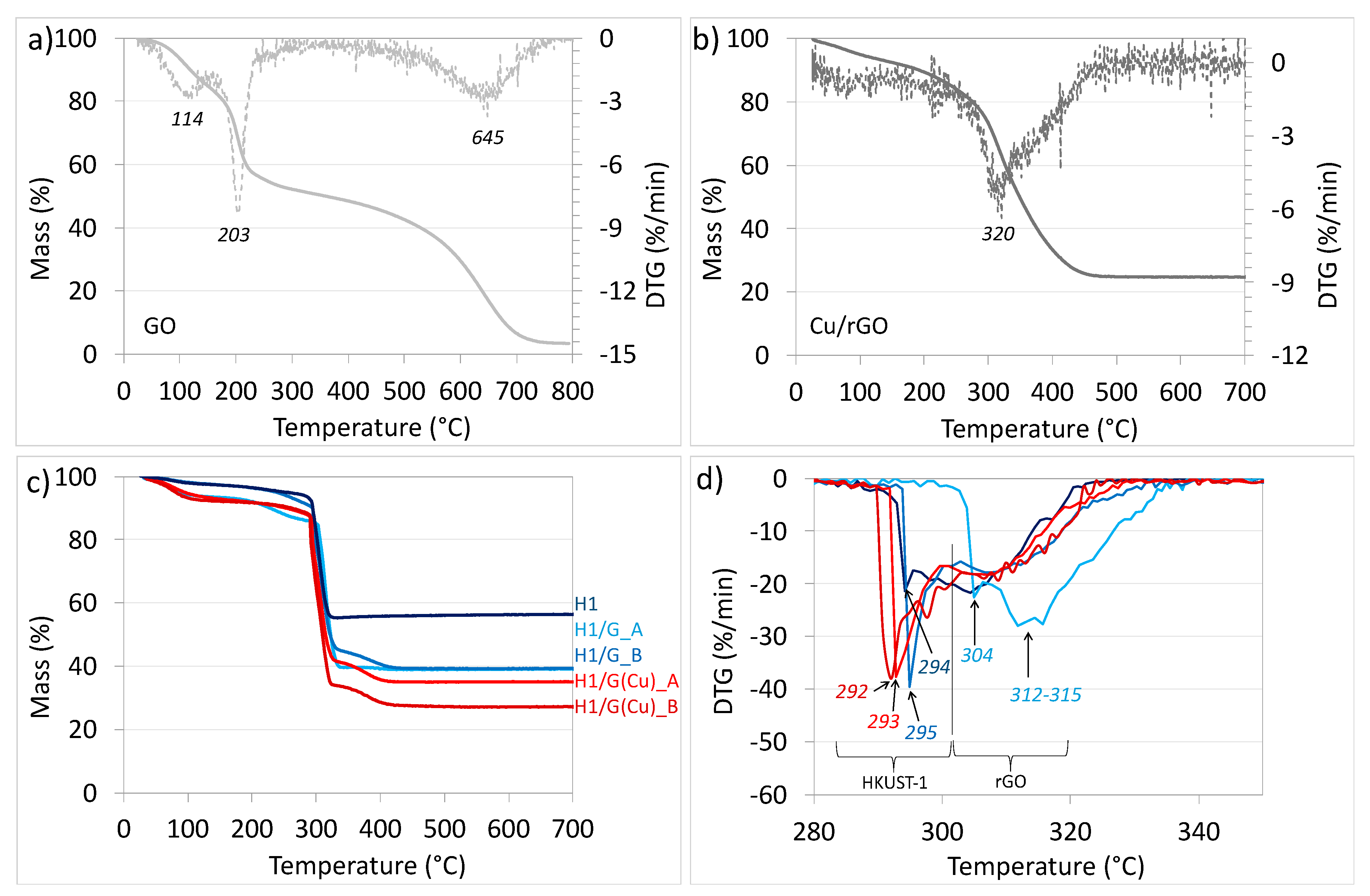
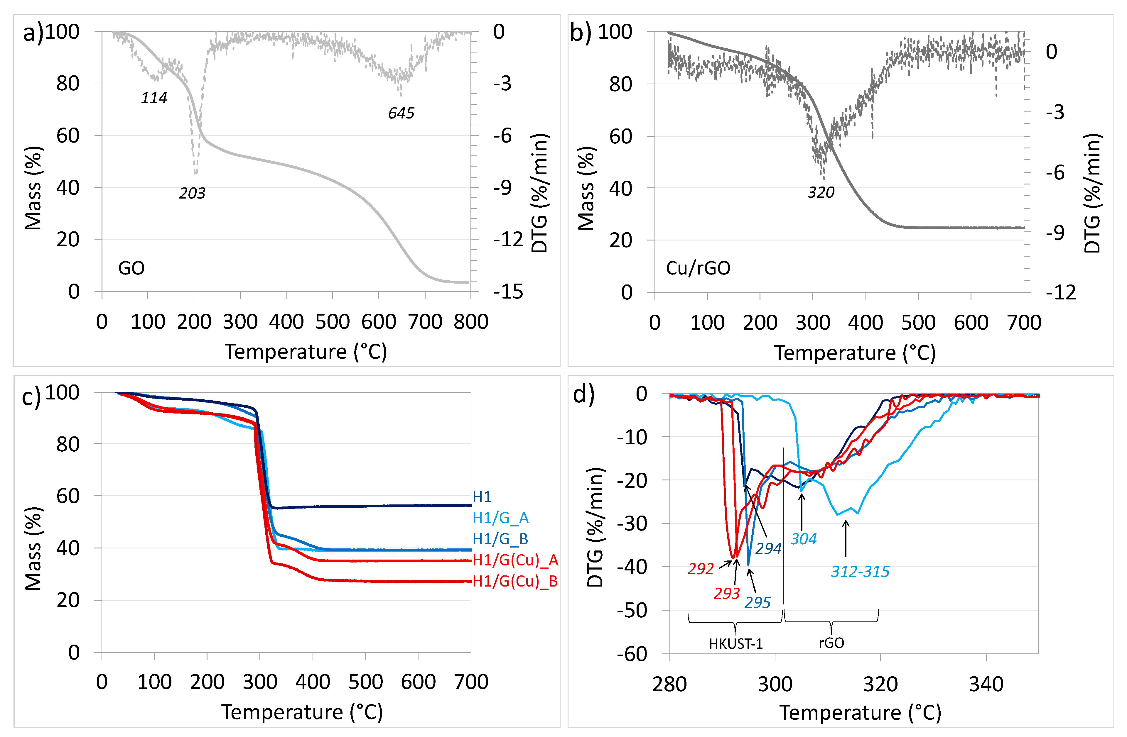
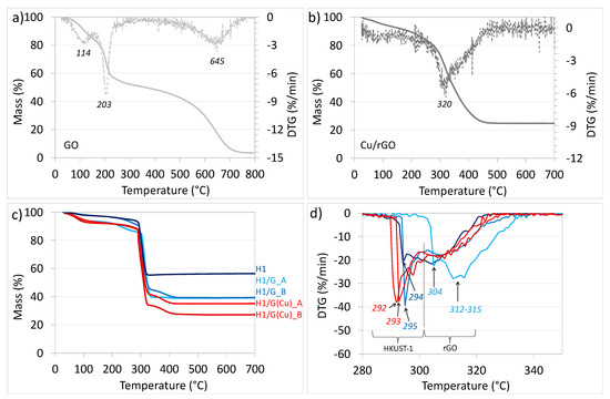
2.4. Thermal Stability and Composition of Composites
2.5. Textural Properties of HKUST-1/GO and HKUST-1/rGO
3. Materials and Methods
3.1. Materials
3.2. Procedures of Syntheses
3.2.1. HKUST-1 (H1)
3.2.2. HKUST-1/GO Composites (H1/G)
3.2.3. Cu/rGO
3.2.4. HKUST-1/rGO (H1/G(Cu))
3.3. Physicochemical Characterisation of the Composites
4. Conclusions
Author Contributions
Funding
Institutional Review Board Statement
Informed Consent Statement
Data Availability Statement
Conflicts of Interest
Sample Availability
References
- Petit, C.; Burress, J.; Bandosz, T.J. The Synthesis and Characterization of Copper-Based Metal–Organic Framework/Graphite Oxide Composites. Carbon 2011, 49, 563–572. [Google Scholar] [CrossRef]
- Liu, X.-W.; Sun, T.-J.; Hu, J.-L.; Wang, S.-D. Composites of Metal–Organic Frameworks and Carbon-Based Materials: Preparations, Functionalities and Applications. J. Mater. Chem. A 2016, 4, 3584–3616. [Google Scholar] [CrossRef]
- Zhou, H.-C. “Joe”; Kitagawa, S. Metal–Organic Frameworks (MOFs). Chem. Soc. Rev. 2014, 43, 5415–5418. [Google Scholar] [CrossRef] [PubMed]
- Abd El-Monaem, E.M.; Omer, A.M.; Khalifa, R.E.; Eltaweil, A.S. Floatable Cellulose Acetate Beads Embedded with Flower-like Zwitterionic Binary MOF/PDA for Efficient Removal of Tetracycline. J. Colloid Interface Sci. 2022, 620, 333–345. [Google Scholar] [CrossRef] [PubMed]
- Kang, I.J.; Khan, N.A.; Haque, E.; Jhung, S.H. Chemical and Thermal Stability of Isotypic Metal–Organic Frameworks: Effect of Metal Ions. Chem. Eur. J. 2011, 17, 6437–6442. [Google Scholar] [CrossRef] [PubMed]
- Küsgens, P.; Rose, M.; Senkovska, I.; Fröde, H.; Henschel, A.; Siegle, S.; Kaskel, S. Characterization of Metal-Organic Frameworks by Water Adsorption. Microporous Mesoporous Mater. 2009, 120, 325–330. [Google Scholar] [CrossRef]
- Chui, S.S.-Y.; Lo, S.M.-F.; Charmant, J.P.H.; Orpen, A.G.; Williams, I.D. A Chemically Functionalizable Nanoporous Material [Cu3(TMA)2(H2O)3]n. Science 1999, 283, 1148–1150. [Google Scholar] [CrossRef]
- Férey, G.; Mellot-Draznieks, C.; Serre, C.; Millange, F.; Dutour, J.; Surblé, S.; Margiolaki, I. A Chromium Terephthalate-Based Solid with Unusually Large Pore Volumes and Surface Area. Science 2005, 309, 2040–2042. [Google Scholar] [CrossRef]
- Cavka, J.H.; Jakobsen, S.; Olsbye, U.; Guillou, N.; Lamberti, C.; Bordiga, S.; Lillerud, K.P. A New Zirconium Inorganic Building Brick Forming Metal Organic Frameworks with Exceptional Stability. J. Am. Chem. Soc. 2008, 130, 13850–13851. [Google Scholar] [CrossRef]
- Gargiulo, V.; Raganati, F.; Ammendola, P.; Alfe, M.; Chirone, R. HKUST-1 Metal Organic Framework as CO2 Adsorbent in a Sound Assisted Fluidized Bed. Chem. Eng. Trans. 2015, 43, 1087–1092. [Google Scholar] [CrossRef]
- Wijaya, C.J.; Ismadji, S.; Aparamarta, H.W.; Gunawan, S. Statistically Optimum HKUST-1 Synthesized by Room Temperature Coordination Modulation Method for the Adsorption of Crystal Violet Dye. Molecules 2021, 26, 6430. [Google Scholar] [CrossRef] [PubMed]
- Petit, C.; Huang, L.; Jagiello, J.; Kenvin, J.; Gubbins, K.E.; Bandosz, T.J. Toward Understanding Reactive Adsorption of Ammonia on Cu-MOF/Graphite Oxide Nanocomposites. Langmuir 2011, 27, 13043–13051. [Google Scholar] [CrossRef] [PubMed]
- Yazaydın, A.Ö.; Benin, A.I.; Faheem, S.A.; Jakubczak, P.; Low, J.J.; Willis, R.R.; Snurr, R.Q. Enhanced CO2 Adsorption in Metal-Organic Frameworks via Occupation of Open-Metal Sites by Coordinated Water Molecules. Chem. Mater. 2009, 21, 1425–1430. [Google Scholar] [CrossRef]
- DeCoste, J.B.; Peterson, G.W.; Schindler, B.J.; Killops, K.L.; Browe, M.A.; Mahle, J.J. The Effect of Water Adsorption on the Structure of the Carboxylate Containing Metal–Organic Frameworks Cu-BTC, Mg-MOF-74, and UiO-66. J. Mater. Chem. A 2013, 1, 11922–11932. [Google Scholar] [CrossRef]
- Yang, Q.; Xu, Q.; Jiang, H.-L. Metal–Organic Frameworks Meet Metal Nanoparticles: Synergistic Effect for Enhanced Catalysis. Chem. Soc. Rev. 2017, 46, 4774–4808. [Google Scholar] [CrossRef]
- Górka, J.; Fulvio, P.F.; Pikus, S.; Jaroniec, M. Mesoporous Metal Organic Framework–Boehmite and Silica Composites. Chem. Commun. 2010, 46, 6798–6800. [Google Scholar] [CrossRef]
- Brown, A.J.; Johnson, J.R.; Lydon, M.E.; Koros, W.J.; Jones, C.W.; Nair, S. Continuous Polycrystalline Zeolitic Imidazolate Framework-90 Membranes on Polymeric Hollow Fibers. Angew. Chem. Int. Ed. 2012, 51, 10615–10618. [Google Scholar] [CrossRef]
- Petit, C.; Bandosz, T.J. Synthesis, Characterization, and Ammonia Adsorption Properties of Mesoporous Metal–Organic Framework (MIL(Fe))–Graphite Oxide Composites: Exploring the Limits of Materials Fabrication. Adv. Funct. Mater. 2011, 21, 2108–2117. [Google Scholar] [CrossRef]
- Bandosz, T.J.; Petit, C. MOF/Graphite Oxide Hybrid Materials: Exploring the New Concept of Adsorbents and Catalysts. Adsorption 2011, 17, 5–16. [Google Scholar] [CrossRef]
- Sharma, D.; Rasaily, S.; Pradhan, S.; Baruah, K.; Tamang, S.; Pariyar, A. HKUST-1 Metal Organic Framework as an Efficient Dual-Function Catalyst: Aziridination and One-Pot Ring-Opening Transformation for Formation of β-Aryl Sulfonamides with C–C, C–N, C–S, and C–O Bonds. Inorg. Chem. 2021, 60, 7794–7802. [Google Scholar] [CrossRef]
- Ma, X.; Wang, L.; Wang, H.; Deng, J.; Song, Y.; Li, Q.; Li, X.; Dietrich, A.M. Insights into Metal-Organic Frameworks HKUST-1 Adsorption Performance for Natural Organic Matter Removal from Aqueous Solution. J, Hazard. Mater. 2022, 424, 126918. [Google Scholar] [CrossRef] [PubMed]
- Bae, J.; Jung, J.-W.; Park, H.Y.; Cho, C.-H.; Park, J. Oxygen Plasma Treatment of HKUST-1 for Porosity Retention upon Exposure to Moisture. Chem. Commun. 2017, 53, 12100–12103. [Google Scholar] [CrossRef] [PubMed]
- Smith, A.T.; LaChance, A.M.; Zeng, S.; Liu, B.; Sun, L. Synthesis, Properties, and Applications of Graphene Oxide/Reduced Graphene Oxide and Their Nanocomposites. Nano Mater. Sci. 2019, 1, 31–47. [Google Scholar] [CrossRef]
- Yu, W.; Sisi, L.; Haiyan, Y.; Jie, L. Progress in the Functional Modification of Graphene/Graphene Oxide: A Review. RSC Adv. 2020, 10, 15328–15345. [Google Scholar] [CrossRef]
- Petit, C.; Bandosz, T.J. MOF–Graphite Oxide Composites: Combining the Uniqueness of Graphene Layers and Metal–Organic Frameworks. Adv. Mater. 2009, 21, 4753–4757. [Google Scholar] [CrossRef]
- Petit, C.; Bandosz, T.J. Exploring the Coordination Chemistry of MOF–Graphite Oxide Composites and Their Applications as Adsorbents. Dalton Trans. 2012, 41, 4027–4035. [Google Scholar] [CrossRef]
- Petit, C.; Mendoza, B.; Bandosz, T.J. Reactive Adsorption of Ammonia on Cu-Based MOF/Graphene Composites. Langmuir 2010, 26, 15302–15309. [Google Scholar] [CrossRef]
- Petit, C.; Mendoza, B.; Bandosz, T.J. Hydrogen Sulfide Adsorption on MOFs and MOF/Graphite Oxide Composites. ChemPhysChem 2010, 11, 3678–3684. [Google Scholar] [CrossRef]
- Petit, C.; Bandosz, T.J. Engineering the Surface of a New Class of Adsorbents: Metal–Organic Framework/Graphite Oxide Composites. J. Colloid Interface Sci. 2015, 447, 139–151. [Google Scholar] [CrossRef]
- Al-Naddaf, Q.; Al-Mansour, M.; Thakkar, H.; Rezaei, F. MOF-GO Hybrid Nanocomposite Adsorbents for Methane Storage. Ind. Eng. Chem. Res. 2018, 57, 17470–17479. [Google Scholar] [CrossRef]
- Liu, S.; Sun, L.; Xu, F.; Zhang, J.; Jiao, C.; Li, F.; Li, Z.; Wang, S.; Wang, Z.; Jiang, X.; et al. Nanosized Cu-MOFs Induced by Graphene Oxide and Enhanced Gas Storage Capacity. Energy Environ. Sci. 2013, 6, 818–823. [Google Scholar] [CrossRef]
- Li, L.; Liu, X.L.; Geng, H.Y.; Hu, B.; Song, G.W.; Xu, Z.S. A MOF/Graphite Oxide Hybrid (MOF: HKUST-1) Material for the Adsorption of Methylene Blue from Aqueous Solution. J. Mater. Chem. A 2013, 1, 10292–10299. [Google Scholar] [CrossRef]
- Jabbari, V.; Veleta, J.M.; Zarei-Chaleshtori, M.; Gardea-Torresdey, J.; Villagrán, D. Green Synthesis of Magnetic MOF@GO and MOF@CNT Hybrid Nanocomposites with High Adsorption Capacity towards Organic Pollutants. Chem. Eng. J. 2016, 304, 774–783. [Google Scholar] [CrossRef]
- Srimuk, P.; Luanwuthi, S.; Krittayavathananon, A.; Sawangphruk, M. Solid-Type Supercapacitor of Reduced Graphene Oxide-Metal Organic Framework Composite Coated on Carbon Fiber Paper. Electrochim. Acta 2015, 157, 69–77. [Google Scholar] [CrossRef]
- Huang, K.; Xu, Y. Enhancing the Catalytic Behaviour of HKUST-1 by Graphene Oxide for Phenol Oxidation. Environ. Technol. 2021, 42, 694–704. [Google Scholar] [CrossRef]
- Bian, Z.; Xu, J.; Zhang, S.; Zhu, X.; Liu, H.; Hu, J. Interfacial Growth of Metal Organic Framework/Graphite Oxide Composites through Pickering Emulsion and Their CO2 Capture Performance in the Presence of Humidity. Langmuir 2015, 31, 7410–7417. [Google Scholar] [CrossRef]
- Rosado, A.; Borrás, A.; Fraile, J.; Navarro, J.A.R.; Suárez-García, F.; Stylianou, K.C.; López-Periago, A.M.; Planas, J.G.; Domingo, C.; Yazdi, A. HKUST-1 Metal–Organic Framework Nanoparticle/Graphene Oxide Nanocomposite Aerogels for CO2 and CH4 Adsorption and Separation. ACS Appl. Nano Mater. 2021, 4, 12712–12725. [Google Scholar] [CrossRef]
- Zhao, J.; Nunn, W.T.; Lemaire, P.C.; Lin, Y.; Dickey, M.D.; Oldham, C.J.; Walls, H.J.; Peterson, G.W.; Losego, M.D.; Parsons, G.N. Facile Conversion of Hydroxy Double Salts to Metal–Organic Frameworks Using Metal Oxide Particles and Atomic Layer Deposition Thin-Film Templates. J. Am. Chem. Soc. 2015, 137, 13756–13759. [Google Scholar] [CrossRef]
- Park, S.; An, J.; Potts, J.R.; Velamakanni, A.; Murali, S.; Ruoff, R.S. Hydrazine-Reduction of Graphite- and Graphene Oxide. Carbon 2011, 49, 3019–3023. [Google Scholar] [CrossRef]
- Yang, A.; Li, P.; Zhong, J. Facile Preparation of Low-Cost HKUST-1 with Lattice Vacancies and High-Efficiency Adsorption for Uranium. RSC Adv. 2019, 9, 10320–10325. [Google Scholar] [CrossRef]
- Xiong, Z.; Liao, C.; Wang, X. A Self-Assembled Macroporous Coagulation Graphene Network with High Specific Capacitance for Supercapacitor Applications. J. Mater. Chem. A 2014, 2, 19141–19144. [Google Scholar] [CrossRef]
- Mott, D.; Galkowski, J.; Wang, L.; Luo, J.; Zhong, C.-J. Synthesis of Size-Controlled and Shaped Copper Nanoparticles. Langmuir 2007, 23, 5740–5745. [Google Scholar] [CrossRef] [PubMed]
- Chevalier, V.; Martin, J.; Peralta, D.; Roussey, A.; Tardif, F. Performance of HKUST-1 Metal-Organic Framework for a VOCs Mixture Adsorption at Realistic Concentrations Ranging from 0.5 to 2.5 Ppmv under Different Humidity Conditions. J. Environ. Chem. Eng. 2019, 7, 103131. [Google Scholar] [CrossRef]
- Van Niekerk, J.N.; Schoening, F.R.L. A New Type of Copper Complex as Found in the Crystal Structure of Cupric Acetate, Cu2(CH3COO)4·2H2O. Acta Cryst. 1953, 6, 227–232. [Google Scholar] [CrossRef]
- Shoaee, M.; Anderson, M.W.; Attfield, M.P. Crystal Growth of the Nanoporous Metal–Organic Framework HKUST-1 Revealed by In Situ Atomic Force Microscopy. Angew. Chem. Int. Ed. 2008, 47, 8525–8528. [Google Scholar] [CrossRef]
- Azhar, M.R.; Abid, H.R.; Sun, H.; Periasamy, V.; Tadé, M.O.; Wang, S. Excellent Performance of Copper Based Metal Organic Framework in Adsorptive Removal of Toxic Sulfonamide Antibiotics from Wastewater. J. Colloid Interface Sci. 2016, 478, 344–352. [Google Scholar] [CrossRef]
- Lis, M.J.; Caruzi, B.B.; Gil, G.A.; Samulewski, R.B.; Bail, A.; Scacchetti, F.A.P.; Moisés, M.P.; Maestá Bezerra, F. In-Situ Direct Synthesis of HKUST-1 in Wool Fabric for the Improvement of Antibacterial Properties. Polymers 2019, 11, 713. [Google Scholar] [CrossRef]
- Gholampour, A.; Valizadeh Kiamahalleh, M.; Tran, D.N.H.; Ozbakkaloglu, T.; Losic, D. From Graphene Oxide to Reduced Graphene Oxide: Impact on the Physiochemical and Mechanical Properties of Graphene–Cement Composites. ACS Appl. Mater. Interfaces 2017, 9, 43275–43286. [Google Scholar] [CrossRef]
- Fan, C.; Dong, H.; Liang, Y.; Yang, J.; Tang, G.; Zhang, W.; Cao, Y. Sustainable Synthesis of HKUST-1 and Its Composite by Biocompatible Ionic Liquid for Enhancing Visible-Light Photocatalytic Performance. J. Clean. Prod. 2019, 208, 353–362. [Google Scholar] [CrossRef]
- Zhang, J.; Xu, Y.; Liu, Z.; Yang, W.; Liu, J. A Highly Conductive Porous Graphene Electrode Prepared via in Situ Reduction of Graphene Oxide Using Cu Nanoparticles for the Fabrication of High Performance Supercapacitors. RSC Adv. 2015, 5, 54275–54282. [Google Scholar] [CrossRef]
- Hsu, K.-C.; Chen, D.-H. Green Synthesis and Synergistic Catalytic Effect OfAg/Reduced Graphene Oxide Nanocomposite. Nanoscale Res. Let. 2014, 9, 484. [Google Scholar] [CrossRef] [PubMed]
- Konkena, B.; Vasudevan, S. Understanding Aqueous Dispersibility of Graphene Oxide and Reduced Graphene Oxide through PKa Measurements. J. Phys. Chem. Lett. 2012, 3, 867–872. [Google Scholar] [CrossRef] [PubMed]
- Zhou, L.; Niu, Z.; Jin, X.; Tang, L.; Zhu, L. Effect of Lithium Doping on the Structures and CO3 Adsorption Properties of Metal-Organic Frameworks HKUST-1. ChemistrySelect 2018, 3, 12865–12870. [Google Scholar] [CrossRef]
- Kozachuk, O.; Yusenko, K.; Noei, H.; Wang, Y.; Walleck, S.; Glaser, T.; Fischer, R.A. Solvothermal growth of a ruthenium metal–organic framework featuring HKUST-1 structure type as thin films on oxide surfaces. Chem. Commun. 2011, 47, 8509–8511. [Google Scholar] [CrossRef]
- Peng, B.; Feng, C.; Liu, S.; Zhang, R. Synthesis of CuO catalyst derived from HKUST-1 temple for the low-temperature NH3-SCR process. Catal. Today 2018, 314, 122–128. [Google Scholar] [CrossRef]
- Szanyi, J.; Daturi, M.; Clet, G.; Baer, D.R.; Peden, C.H.F. Well-Studied Cu–BTC Still Serves Surprises: Evidence for Facile Cu2+/Cu+ Interchange. Phys. Chem. Chem. Phys. 2012, 14, 4383–4390. [Google Scholar] [CrossRef]
- Vernon, W.H.J. CCCI.—The Formation of Protective Oxide Films on Copper and Brass by Exposure to Air at Various Temperatures. J. Chem. Soc. 1926, 129, 2273–2282. [Google Scholar] [CrossRef]
- Li, J.; Shacham-Diamand, Y.; Mayer, J.W. Copper Deposition and Thermal Stability Issues in Copper-Based Metallization for ULSI Technology. Mater. Sci. Rep. 1992, 9, 1–51. [Google Scholar] [CrossRef]
- Yabuki, A.; Tanaka, S. Oxidation Behavior of Copper Nanoparticles at Low Temperature. Mater. Res. Bull. 2011, 46, 2323–2327. [Google Scholar] [CrossRef]
- Do Nascimento, J.R.; D’Oliveira, M.R.; Veiga, A.G.; Chagas, C.A.; Schmal, M. Synthesis of Reduced Graphene Oxide as a Support for Nano Copper and Palladium/Copper Catalysts for Selective NO Reduction by CO. ACS Omega 2020, 5, 25568–25581. [Google Scholar] [CrossRef]
- Thi, Q.V.; Nguyen, N.Q.; Oh, I.; Hong, J.; Koo, C.M.; Tung, N.T.; Sohn, D. Thorny Trunk-like Structure of Reduced Graphene Oxide/HKUST-1 MOF for Enhanced EMI Shielding Capability. Ceram. Int. 2021, 47, 10027–10034. [Google Scholar] [CrossRef]
- Park, S.; Suk, J.W.; An, J.; Oh, J.; Lee, S.; Lee, W.; Potts, J.R.; Byun, J.-H.; Ruoff, R.S. The Effect of Concentration of Graphene Nanoplatelets on Mechanical and Electrical Properties of Reduced Graphene Oxide Papers. Carbon 2012, 50, 4573–4578. [Google Scholar] [CrossRef]
- Su, H.; Zhang, C.; Li, X.; Wu, L.; Chen, Y. Aggregation Prevention: Reduction of Graphene Oxide in Mixed Medium of Alkylphenol Polyoxyethylene (7) Ether and 2-Methoxyethanol. RSC Adv. 2018, 8, 39140–39148. [Google Scholar] [CrossRef] [PubMed]
- Strachowski, T.; Woluntarski, M.; Djas, M.; Kowiorski, K.; Wiliński, Z.; Baran, M.; Jagiełło, J.; Winkowska, M.; Lipińska, L. The Influence of Reducing Agents on the Reduced Graphene Oxide Specific Surface Area Determined on the Basis of Nitrogen Adsorption Isotherm. Electron. Mater. 2017, 45, 2–4. [Google Scholar]
- Silva Filho, J.C.; Venancio, E.C.; Silva, S.C.; Takiishi, H.; Martinez, L.G.; Antunes, R.A. A Thermal Method for Obtention of 2 to 3 Reduced Graphene Oxide Layers from Graphene Oxide. SN Appl. Sci. 2020, 2, 1450. [Google Scholar] [CrossRef]
- Mohan, V.B.; Jayaraman, K.; Bhattacharyya, D. Brunauer–Emmett–Teller (BET) Specific Surface Area Analysis of Different Graphene Materials: A Comparison to Their Structural Regularity and Electrical Properties. Solid State Commun. 2020, 320, 114004. [Google Scholar] [CrossRef]
- Wang, M.; Huang, J.; Tong, Z.; Li, W.; Chen, J. Reduced Graphene Oxide–Cuprous Oxide Composite via Facial Deposition for Photocatalytic Dye-Degradation. J. Alloys Compd. 2013, 568, 26–35. [Google Scholar] [CrossRef]
- Labunov, V.A.; Tabulina, L.V.; Komissarov, I.V.; Grapov, D.V.; Prudnikova, E.L.; Shaman, Y.P.; Basaev, S.A.; Pavlov, A.A. Features of the Reduction of Graphene from Graphene Oxide. Russ. J. Phys. Chem. 2017, 91, 1088–1092. [Google Scholar] [CrossRef]
- Scherrer, P. Bestimmung der Grosse und der Inneren Struktur von Kolloidteilchen Mittels Rontgenstrahlen, Nachrichten von der Gesellschaft der Wissenschaften, Gottingen. Math.-Phys. Klasse 1918, 2, 98–100. [Google Scholar]
- Ingham, B.; Toney, M.F. 1—X-Ray Diffraction for Characterizing Metallic Films. In Metallic Films for Electronic, Optical and Magnetic Applications; Barmak, K., Coffey, K., Eds.; Woodhead Publishing: Cambridge, UK, 2014; pp. 3–38. ISBN 978-0-85709-057-7. [Google Scholar]










| Sample | HKUST-1 | Cu | |||
|---|---|---|---|---|---|
| D [200] (nm) | D [220] (nm) | D [222] (nm) | D [400] (nm) | D [111] (nm) | |
| H1 | 48.0 | 56.0 | 52.9 | 48.1 | - |
| H1/G_A | 45.8 | 44.4 | 45.1 | 40.3 | - |
| H1/G_B | 49.1 | 51.0 | 49.5 | 44.3 | - |
| Cu/rGO | - | - | - | - | 17.8 |
| H1/G(Cu)_A | 50.1 | 52.7 | 50.3 | 44.9 | - |
| H1/G(Cu)_B | 45.1 | 42.6 | 43.3 | 35.5 | - |
| Bond | From C 1s | From O 1s | From Cu 2p | |||||
|---|---|---|---|---|---|---|---|---|
| Sample | C=C | C-O | O-C=O | C-O-Cu | C=O | C-O-H | Cu2+/Cu+ | |
| H1 | 67.9 | 6.9 | 25.2 | 70.1 | 23.5 | 6.4 | 4.1 | |
| H1/G_A | 61.1 | 25.7 | 13.2 | 91.5 | 0.0 | 8.5 | 1.6 | |
| H1/G_B | 60.7 | 23.3 | 16.0 | 95.1 | 0.0 | 4.9 | 1.3 | |
| H1/G(Cu)_A | 71.7 | 4.1 | 24.2 | 93.8 | 0.0 | 6.2 | 1.7 | |
| H1/G(Cu)_B | 70.6 | 3.8 | 25.6 | 94.7 | 0.0 | 5.3 | 1.6 | |
| Sample | Wt.% of Component in the Sample | |||
|---|---|---|---|---|
| BTC3− Linker | Graphene Component | CuO⟹Cu | ||
| Cu/rGO | - | 71.0 | 29.0 | 23.2 |
| H1 | 40.0 | 0.0 | 60.0 | 47.9 |
| H1/G_A | 51.0 | 2.0 | 47.0 | 37.5 |
| H1/G_B | 49.6 | 7.2 | 43.2 | 34.5 |
| H1/G(Cu)_A | 52.7 | 8.1 | 39.2 | 31.4 |
| H1/G(Cu)_B | 61.6 | 7.6 | 30.8 | 24.6 |
| Sample | SBET (m2/g) | Vtotal (cm3/g) | Vmicro (cm3/g) | d (nm) |
|---|---|---|---|---|
| H1 | 666 | 0.46 | 0.26 | 2.8 |
| GO | 181 | 0.15 | 0.06 | 3.6 |
| Cu/rGO | 19 | 0.12 | 0.01 | 24.1 |
| H1/G_A | 804 | 0.45 | 0.27 | 2.3 |
| H1/G_B | 450 | 0.38 | 0.16 | 3.4 |
| H1/G(Cu)_A | 738 | 0.45 | 0.32 | 2.4 |
| H1/G(Cu)_B | 520 | 0.44 | 0.18 | 4.5 |
Publisher’s Note: MDPI stays neutral with regard to jurisdictional claims in published maps and institutional affiliations. |
© 2022 by the authors. Licensee MDPI, Basel, Switzerland. This article is an open access article distributed under the terms and conditions of the Creative Commons Attribution (CC BY) license (https://creativecommons.org/licenses/by/4.0/).
Share and Cite
Jagódka, P.; Matus, K.; Łamacz, A. On the HKUST-1/GO and HKUST-1/rGO Composites: The Impact of Synthesis Method on Physicochemical Properties. Molecules 2022, 27, 7082. https://doi.org/10.3390/molecules27207082
Jagódka P, Matus K, Łamacz A. On the HKUST-1/GO and HKUST-1/rGO Composites: The Impact of Synthesis Method on Physicochemical Properties. Molecules. 2022; 27(20):7082. https://doi.org/10.3390/molecules27207082
Chicago/Turabian StyleJagódka, Paulina, Krzysztof Matus, and Agata Łamacz. 2022. "On the HKUST-1/GO and HKUST-1/rGO Composites: The Impact of Synthesis Method on Physicochemical Properties" Molecules 27, no. 20: 7082. https://doi.org/10.3390/molecules27207082
APA StyleJagódka, P., Matus, K., & Łamacz, A. (2022). On the HKUST-1/GO and HKUST-1/rGO Composites: The Impact of Synthesis Method on Physicochemical Properties. Molecules, 27(20), 7082. https://doi.org/10.3390/molecules27207082

