A Review of Crystalline Multibridged Cyclophane Cages: Synthesis, Their Conformational Behavior, and Properties
Abstract
1. Introduction
2. Results and Discussion
2.1. Crystalline Three-Fold Bridged Cyclophanes
2.1.1. Carbon Chain Three-Bridge Cage
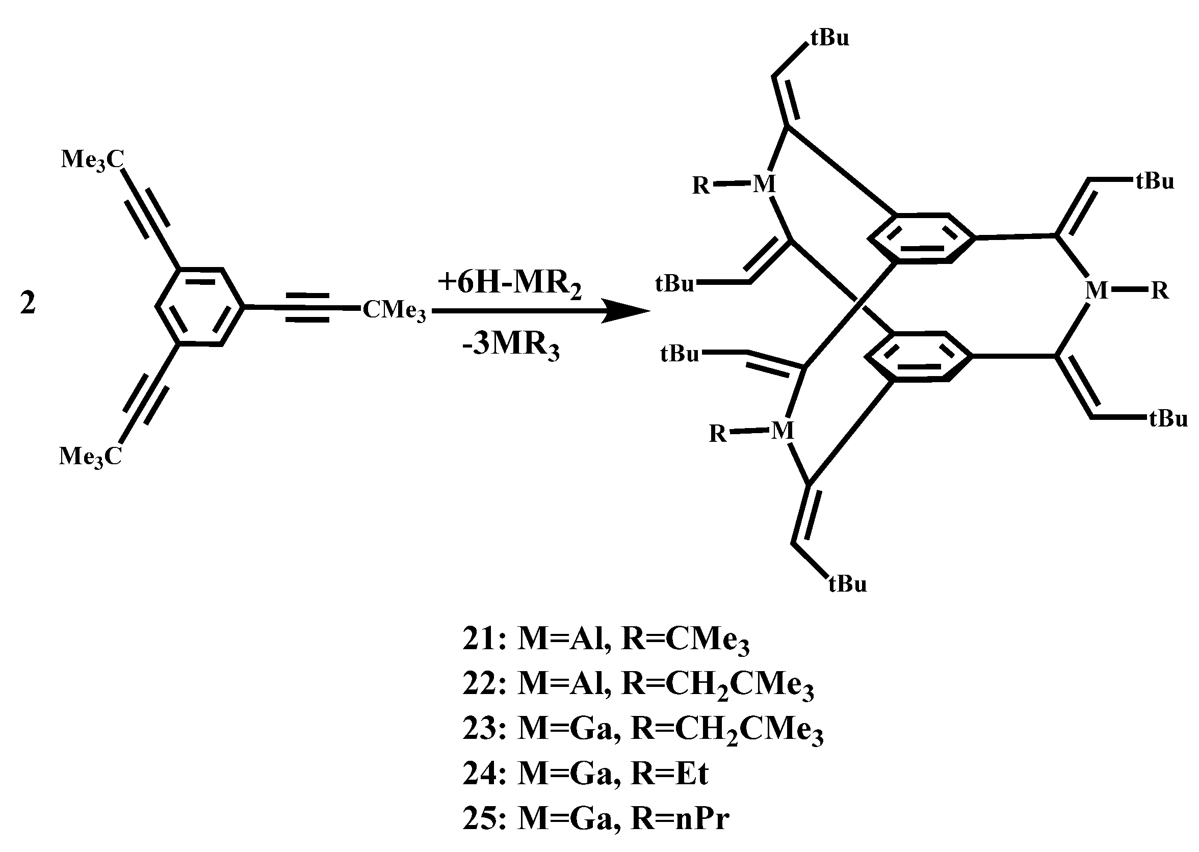
2.1.2. Non-Carbon Chain Triple Cage
2.1.3. Triimidazole Bridge Cage
2.2. Crystalline Four-Fold Bridged Cyclophanes
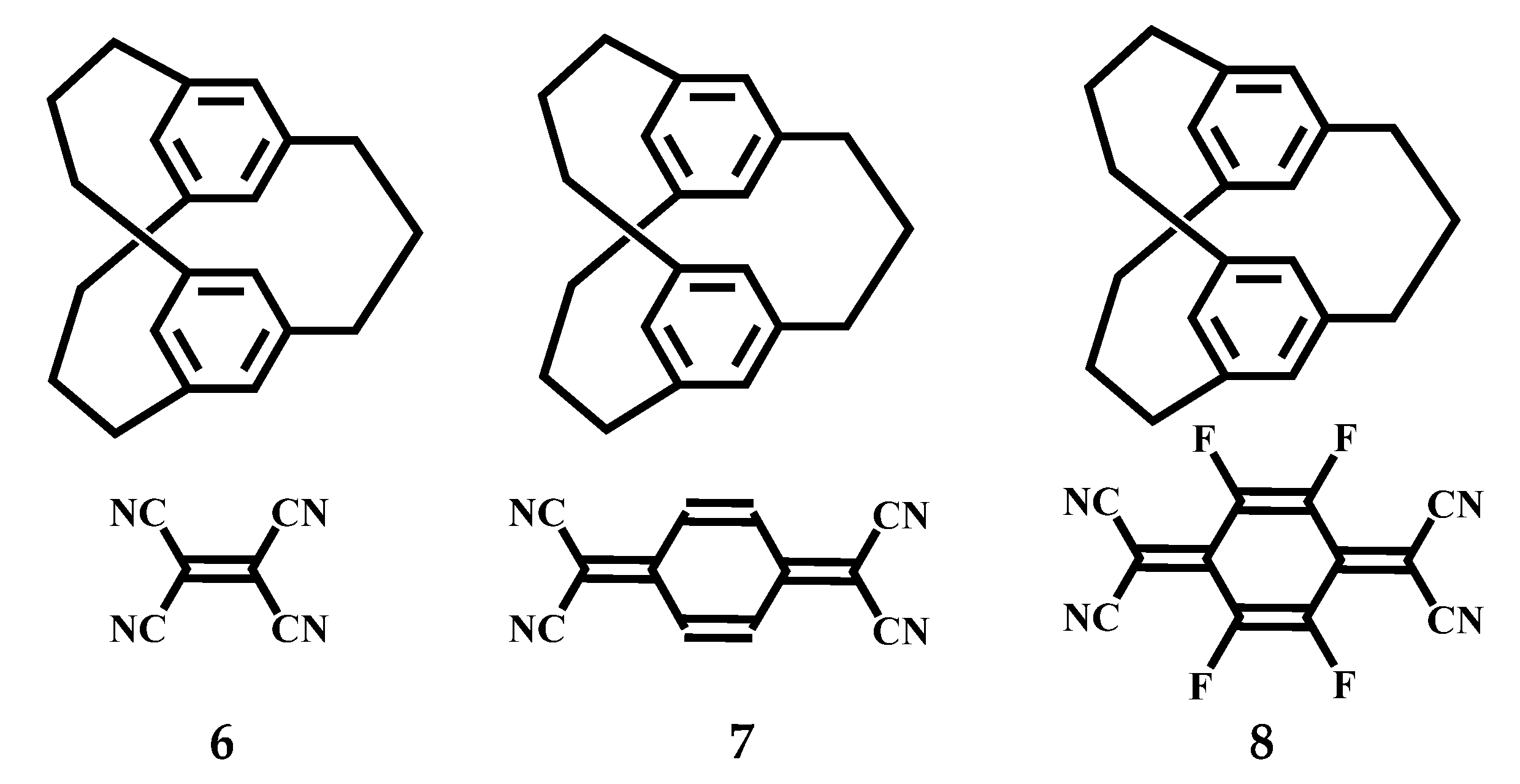
2.3. Crystalline Five-Fold Bridged Cyclophanes
2.4. Crystalline Six-Fold Bridged Cyclophanes
3. Conclusions
Author Contributions
Funding
Institutional Review Board Statement
Informed Consent Statement
Data Availability Statement
Acknowledgments
Conflicts of Interest
Sample Availability
References
- Amabilino, D.B.; Gale, P.A. Supramolecular chemistry anniversary. Chem. Soc. Rev. 2017, 46, 2376–2377. [Google Scholar] [CrossRef] [PubMed]
- Kolesnichenko, I.V.; Anslyn, E.V. Practical applications of supramolecular chemistry. Chem. Soc. Rev. 2017, 46, 2385–2390. [Google Scholar] [CrossRef] [PubMed]
- Zhang, L.-X.; Zhao, W.-X.; Yang, Q. Flourishing development of cyclophane chemistry. Appl. Chem. Ind. 2011, 40, 1081–1084. [Google Scholar]
- Izatt, R.M.; Charles, J. Pedersen’s legacy to chemistry. Chem. Soc. Rev. 2017, 46, 2380–2384. [Google Scholar] [CrossRef] [PubMed]
- Ollerton, K.; Greenaway, R.L.; Slater, A.G. Enabling technology for supramolecular chemistry. Front. Chem. 2021, 9, 774987. [Google Scholar] [CrossRef]
- Misturini, A.; Ortolan, A.O.; Caramori, G.F.; Cintra, C.H.; Parreira, R.L.T. Tracking the absence of anion–π interactions in modified [23](1,3,5)cyclophanes: Insights from computation. New J. Chem. 2019, 43, 13271–13281. [Google Scholar] [CrossRef]
- McConnell, A.J.; Haynes, C.J.E.; Caltagirone, C.; Hiscock, J.R. Supramolecular chemistry: Young talents and their mentors. ChemPlusChem 2020, 85, 2544–2545. [Google Scholar] [CrossRef]
- He, G.-Y.; Sun, X.-Q.; Wang, X. Properties, applications and synthesis of cyclophane-like tetracatiion cyclobis(paraquat-p-phenylene). Chin. J. Org. Chem. 2004, 24, 745–752. [Google Scholar]
- Andrea, B.B.; Mohamed, N.; Andreas, H. Supramolecular chemistry in the biomembrane. ChemBioChem 2020, 21, 886–910. [Google Scholar]
- Lu, D.P.; Huang, Q.; Wang, S.D.; Wang, J.Y.; Huang, P.S.; Du, P.W. The supramolecular chemistry of cycloparaphenylenes and their analogs. Front. Chem. 2019, 7, 668. [Google Scholar] [CrossRef]
- Ewa, W.W.; Łukasik, N.; Biernat, J.F.; Luboch, E. Azo group(s) in selected macrocyclic compounds. J. Incl. Phenom. Macrocycl. Chem. 2018, 90, 189–257. [Google Scholar]
- Zhong, D.-C.; Lu, T.-B. Molecular recognition and activation by polyaza macrocyclic compounds based on host-guest interactions. Chem. Commun. 2016, 52, 10322–10337. [Google Scholar] [CrossRef] [PubMed]
- Gulder, T.; Baran, P.S. Strained cyclophane natural products: Macrocyclization at its limits. Nat. Prod. Rep. 2012, 29, 899–934. [Google Scholar] [CrossRef]
- Ghasemabadi, P.G.; Yao, T.-G.; Bodwell, G.J. Cyclophanes containing large polycyclic aromatic hydrocarbons. Chem. Soc. Rev. 2015, 44, 6494–6518. [Google Scholar] [CrossRef] [PubMed]
- Shul’pin, G.B.; Rybinskaya, M.I. Ferrocenophanes. Russ. Chem. Rev. 1974, 43, 716. [Google Scholar] [CrossRef]
- Neira, I.; Blanco-Gómez, A.; Quintela, J.M.; García, M.D.; Peinador, C. Dissecting the “Blue box”: Self-assembly strategies for the construction of multipurpose polycationic cyclophanes. Acc. Chem. Res. 2020, 53, 2336–2346. [Google Scholar] [CrossRef]
- Liu, W.-Q.; Johnson, A.; Smith, B.D. Guest back-folding: A molecular design strategy that produces a deep-red fluorescent host/guest pair with picomolar affinity in water. J. Am. Chem. Soc. 2018, 140, 3361–3370. [Google Scholar] [CrossRef]
- Patricia, R.C.; Rolando, L.G.; Aaron, T.H.; Margarita, B.U.; Victor, B.; Herbert, H. On the organizing role of water molecules in the assembly of boronic acids and 4,4′-bipyridine: 1D, 2D and 3D hydrogen-bonded architectures containing cyclophane-type motifs. Cryst. Growth Des. 2009, 9, 1575–1583. [Google Scholar]
- Li, Y.-Y.; Wang, F.-R.; Li, Z.-Y.; Yan, Z.-N.; Niu, Y.-Y. Assembly and Adsorption Properties of Seven Supramolecular Compounds with Heteromacrocycle Imidazolium. ACS Omega 2019, 4, 8926–8934. [Google Scholar] [CrossRef]
- Dale, E.J.; Vermeulen, N.A.; Juríček, M.; Barnes, J.C.; Young, R.M.; Wasielewski, M.R.; Stoddart, J.F. Supramolecular explorations: Exhibiting the extent of extended cationic cyclophanes. Acc. Chem. Res. 2016, 49, 262–273. [Google Scholar] [CrossRef]
- Malgorzata, D.; Anna, N.Z.; Wanda, S. Radical-radical rotaxanes with tetracationic cyclophane ring, and quaternary azaaromatic rotaxanes with cage macrocycles. Arkivoc 2014, 2014, 264–306. [Google Scholar]
- van Eis, M.J.; Seiler, P.; Muslinkina, L.A.; Badertscher, M.; Pretsch, E.; Diederich, F.; Alvarado, R.J.; Echegoyen, L.; Nunez, I.P. Supramolecular fullerene chemistry: A comprehensive study of cyclophane-type mono- and bis-crown ether conjugates of C-70. Helv. Chim. Acta 2002, 85, 2009–2055. [Google Scholar] [CrossRef]
- Yu, G.C.; Chen, X.Y. Host-guest chemistry in supramolecular theranostics. Theranostics 2019, 9, 3041–3074. [Google Scholar] [CrossRef] [PubMed]
- Cherenok, S.O.; Miroshnichenko, S.I.; Drapailo, A.B.; Kalchenko, O.I.; Rodik, R.V.; Boiko, V.I.; Matveev, Y.I.; Ruban, A.V.; Kalchenko, V.I. Supramolecular chemistry of phosphorus-containing (thia) calixarenes. Phosphorus Sulfur Silicon Relat. Elem. 2011, 186, 878–883. [Google Scholar] [CrossRef]
- Foster, J.A.; Steed, J.W. Exploiting cavities in supramolecular gels. Angew. Chem. Int. Ed. Engl. 2010, 49, 6718–6724. [Google Scholar] [CrossRef]
- Beyeh, N.K.; Nonappa Liljestrom, V.; Mikkila, J.; Korpi, A.; Bochicchio, D.; Pavan, G.M.; Ikkala, O.; Ras, R.H.A.; Kostiainen, M.A. Crystalline cyclophane-protein cage frameworks. ACS Nano 2018, 12, 8029–8036. [Google Scholar] [CrossRef]
- Faust, R. Fullerene model compounds: Bowl-shaped aromatic hydrocarbons and cyclophane-based cage molecules. Angew. Chem. Int. Ed. Engl. 1995, 34, 1429–1432. [Google Scholar] [CrossRef]
- Zhao, G.-S.; Liu, W.; Chang, L.-M. Research advancesin the synthesisand application of cyclophane. Chem. World 2013, 54, 118–121. [Google Scholar]
- Gleiter, R.; Kratz, D. “Super” Phanes. Acc. Chem. Res. 1993, 26, 311–318. [Google Scholar] [CrossRef]
- Margherita, D.R.; Pellegrino, L.M.; Carmen, T.; Annunziata, S.; Carmine, G.; Placido, N. Supramolecular organocatalysis in water mediated by macrocyclic compounds. Front. Chem. 2018, 6, 84. [Google Scholar]
- Padnya, P.L.; Wu, X.; Erxleben, A.; Braga, S.S. Editorial: Design of macrocyclic compounds for biomedical applications. Front. Chem. 2021, 9, 730111. [Google Scholar] [CrossRef] [PubMed]
- Li, Y.-Y.; Xiao, M.; Wei, D.-H.; Niu, Y.-Y. Hybrid Supramolecules for Azolium-Linked Cyclophane Immobilization and Conformation Study: Synthesis, Characterization, and Photocatalytic Degradation. ACS Omega 2019, 4, 5137–5146. [Google Scholar] [CrossRef] [PubMed]
- Zhao, Q.-C.; Miao, L.-C.; Ma, M.-Y.; Liu, L.-J.; Chen, J. Theoretical study on lithiation mechanism of benzoquinone-based macrocyclic compounds as cathode for lithium-ion batteries. Phys. Chem. Chem. Phys. 2019, 21, 11004–11010. [Google Scholar] [CrossRef]
- Li, Z.-P.; Liu, B.-H. The use of macrocyclic compounds as electrocatalysts in fuel cells. J. Appl. Electrochem. 2009, 40, 475–483. [Google Scholar] [CrossRef]
- Luo, H.; Chen, L.-X.; Ge, Q.-M.; Liu, M.; Tao, Z.; Zhou, Y.-H.; Cong, H. Applications of macrocyclic compounds for electrochemical sensors to improve selectivity and sensitivity. J. Incl. Phenom. Macrocycl. Chem. 2019, 95, 171–198. [Google Scholar] [CrossRef]
- Li, P.-F.; Shimoyama, D.; Zhang, N.; Jia, Y.W.; Hu, G.F.; Li, C.L.; Yin, X.D.; Wang, N.; Jäkle, F.; Chen, P. A new platform of B/N-doped cyclophanes: Access to a π-conjugated block-type B3N3 macrocycle with strong dipole moment and unique optoelectronic properties. Angew. Chem. Int. Ed. Engl. 2022, 61, 1–8. [Google Scholar]
- Mikio, Y.; Toru, K.; Youichi, S.; Shingo, K.; Ming, Z.; Katsuya, S.; Hitoshi, T.; Satoru, O.; Yoshio, A.; Shinobu, I.; et al. An alternative synthetic route of [35](1,2,3,4,5)cyclophane, and structural properties of multibridged [3n]cyclophanes and their charge-transfer complexes in the solid state. J. Am. Chem. Soc. 2002, 124, 10136–10145. [Google Scholar]
- Sakamoto, Y.; Miyoshi, N.; Shinmyozu, T. Synthesis of a “Molecular Pinwheel”: [3.3.3.3.3.3]( 1,2,3,4,5,6)Cyclophane. Angew. Chem. Int. Ed. Engl. 1996, 35, 549–550. [Google Scholar] [CrossRef]
- Sakamoto, Y.; Miyoshi, N.; Hirakida, M.; Kusumoto, S.; Kawase, H.; Rudzinski, J.M.; Shinmyozu, T. Syntheses, Structures, and Transannular π−π Interactions of Multibridged [3n]Cyclophanes1. J. Am. Chem. Soc. 1996, 118, 12267–12275. [Google Scholar] [CrossRef]
- Perumal, R.; Muthialu, S. Synthesis of a new class of electron rich chiral cyclophanes with large cavities. Tetrahedron 2003, 59, 5373–5376. [Google Scholar]
- Collins, M.S.; Phan, N.-M.; Zakharov, L.N.; Johnson, D.W. Coupling metaloid-directed self-assembly and dynamic covalent systems as a route to large organic cages and cyclophanes. Inorg. Chem. 2018, 57, 3486–3496. [Google Scholar] [CrossRef] [PubMed]
- Morisaki, Y.; Chujo, Y. Cyclophane-containing polymers. Prog. Polym. Sci. 2008, 33, 346–364. [Google Scholar] [CrossRef]
- Liu, Z.-C.; Nalluri, S.K.M.; Stoddart, J.F. Surveying macrocyclic chemistry: From flexible crown ethers to rigid cyclophanes. Chem. Soc. Rev. 2017, 46, 2459–2478. [Google Scholar] [CrossRef] [PubMed]
- Ramaiah, D.; Neelakandan, P.P.; Nair, A.K.; Avirah, R.R. Functional cyclophanes: Promising hosts for optical biomolecular recognition. Chem. Soc. Rev. 2010, 39, 4158–4168. [Google Scholar] [CrossRef]
- Nozawa, R.; Kim, J.; Oh, J.; Lamping, A.; Wang, Y.; Shimizu, S.; Hisaki, I.; Kowalczyk, T.; Fliegl, H.; Kim, D.; et al. Three-dimensional aromaticity in an antiaromatic cyclophane. Nat. Commun. 2019, 10, 3576–3577. [Google Scholar] [CrossRef] [PubMed]
- Yamauchi, Y.; Fujita, M. Self-assembled cage as an endo-template for cyclophane synthesis. Chem. Commun. 2010, 46, 5897–5899. [Google Scholar] [CrossRef]
- Ferreira, R.B.; Murray, L.J. Cyclophanes as platforms for reactive multimetallic complexes. Acc. Chem. Res. 2019, 52, 447–455. [Google Scholar] [CrossRef]
- Shad, M.S.; Santhini, P.V.; Dehaen, W. 1,2,3-Triazolium macrocycles in supramolecular chemistry. Beilstein. J. Org. Chem. 2019, 15, 2142–2155. [Google Scholar] [CrossRef]
- Lan, S.; Ling, L.; Wang, S.Y.; Ma, D. Pillar [5]arene-integrated three-dimensional framework polymers for macrocycle-induced size-selective catalysis. ACS Appl. Mater. Interfaces 2022, 14, 4197–4203. [Google Scholar] [CrossRef]
- Yuan, Y.; Jiang, Z.-L.; Gao, G.; Yan, J.-M.; Xie, R.-G.; Yu, K.-B. Synthesis and crystal structure of speleand imidazolium cyclophane. Chem. Res. Chin. Univ. 2001, 22, 412–416. [Google Scholar]
- Olivo, G.; Capocasa, G.; Del Giudice, D.; Lanzalunga, O.; Di Stefano, S. New horizons for catalysis disclosed by supramolecular chemistry. Chem. Soc. Rev. 2021, 50, 7681–7724. [Google Scholar] [CrossRef] [PubMed]
- Li, G.-W.; Matsuno, T.; Han, Y.; Phan, H.; Wu, S.-F.; Jiang, Q.; Zou, Y.; Isobe, H.; Wu, J.-S. Benzidine/Quinoidal-benzidine-linked, superbenzene-based π-conjugated chiral macrocycles and cyclophanes. Angew. Chem. Int. Ed. Engl. 2020, 59, 9727–9735. [Google Scholar] [CrossRef] [PubMed]
- Nakamoto, K.; Urasaki, T.; Hondo, S.; Murahashi, N.; Yonemochi, E.; Terada, K. Evaluation of the crystalline and amorphous states of drug products by nanothermal analysis and Raman imaging. J. Pharm. Biomed. Anal. 2012, 75, 105–111. [Google Scholar] [CrossRef] [PubMed]
- Spicer, W.E.; Donovan, T.M. The density of states of crystalline and amorphous Ge and Si. Phys. Lett. 1971, 36, 459–460. [Google Scholar] [CrossRef]
- Mikio, Y.; Koji, A.; Ming, Z.; Rika, N.; Teruo, S. Solid-state structural study of the charge-transfer complexes of 5,7,9-trimethyl- and 2,11,20-trithia[33](1,3,5)cyclophanes. Eur. J. Inorg. Chem. 2003, 2003, 1343–1351. [Google Scholar]
- Rika, N.; Kumi, M.; Minoru, Y.; Takuma, O.; Youichi, S.; Tsutomu, K.; Chultack, L.; Mikio, Y.; Tetsuro, S.; Charles, W.J.; et al. Photochemical study of [33](1,3,5)cyclophane and emission spectral properties of [3n]cyclophanes (n = 2−6). J. Am. Chem. Soc. 2004, 126, 13732–13741. [Google Scholar]
- Hiroyuki, T.; Maiko, N.; Chihiro, K.; Kasumi, T.; Noriko, T.; Yuki, T.; Tetsuo, I. Synthetic study and structure of cage-type cyclophane C36H36S6. Tetrahedron Lett. 2017, 58, 1066–1070. [Google Scholar]
- Mikio, Y.; Youichi, S.; Satoru, O.; Katsuya, S.; Hitoshi, T.; Teruo, S. Crystal structural properties of a pinwheel compound: [36](1,2,3,4,5,6)cyclophane. Tetrahedron Lett. 2000, 41, 7933–7938. [Google Scholar]
- Koga, T.; Yasutake, M.; Shinmyozu, T. Synthesis, electronic spectra, and crystal structural properties of fluorinated [33](1,3,5)cyclophanes. Org. Lett. 2001, 3, 1419–1422. [Google Scholar] [CrossRef]
- Werner, U.; Alexander, H.; Madhat, M.; Andrej, V. Facile synthesis of aluminum-bridged [3,3,3]cyclophanes by hydroalumination. Eur. J. Inorg. Chem. 2007, 2007, 4133–4137. [Google Scholar]
- Werner, U.; Frank, B.; Sima, H.; Friedhelm, R. New insight into hydrogallation reactions: Facile synthesis of a gallium-bridged [3,3,3]-cyclophane. Organometallics 2005, 24, 2210–2213. [Google Scholar]
- Werner, U.; Michael, C.; Sima, H.; Beate, J.; Alexander, H. The reactions of dialkylgallium hydrides with tert-butylethynylbenzenes—A systematic investigation into the course of hydrogallation reactions. Dalton Trans. 2007, 2007, 417–423. [Google Scholar]
- Yi, Y.; Jiang, Z.-L.; Yan, J.-M.; Gao, G.; Albert, S.C.C.; Xie, R.-G. A convenient and effective synthesis of tris-bridged tricationic azolophanes. Synth. Commun. 2000, 30, 4555–4561. [Google Scholar]
- Wang, F.R.; Li, Z.Y.; Wei, D.H.; Niu, Y.Y.; Hou, H.W.; Wu, B.L. The conformational behavior of multivalent tris(imidazolium)cyclophanes in the hybrids with metal (pseudo) halides or polyoxometalates. CrystEngComm 2018, 20, 7184–7194. [Google Scholar] [CrossRef]
- Zhu, G.-H.; Wang, F.-R.; Wang, W.-X.; Liu, X.-J. Solvo-thermal synthesis of an ultra-sTable 3D luminescent cadmium (II) hybrid and its application as a recyclable luminescent sensor for Fe (III). Main Group Chem. 2020, 19, 125–138. [Google Scholar] [CrossRef]
- Xu, J.-W.; Lai, Y.-H.; Wang, W.-L. Variable ion selectivity in n.3.3 (13,5)crownophanes: The “Breathing” process. Org. Lett. 2003, 5, 2781–2784. [Google Scholar] [CrossRef]
- Mitchell, R.H.; Am, J. Conformational Changes of 2,11-Dithia[3.3]metacyclophane. A New Look Using VT NMR and Calculation. Chem. Soc. 2002, 124, 2352–2357. [Google Scholar] [CrossRef]
- Willans, C.E.; Anderson, K.M.; Junk, P.C.; Barbour, L.J.; Steed, J.W. A small tris(imidazolium) cage forms an N-heterocyclic carbene complex with silver(I). Chem. Commun. 2007, 2007, 3634–3636. [Google Scholar] [CrossRef]
- Wakana, S.; Teizi, S.; Mikio, Y.; Chultack, L.; Youichi, S.; Tetsuji, I.; Teruo, S. Improved synthesis, structure, and cycloaddition reaction of [34](1,2,4,5)cyclophane. Eur. J. Org. Chem. 1999, 1999, 1223–1231. [Google Scholar]
- Toshiaki, A.; Keita, T.; Hiroyuki, H.; Takahiro, K.; Takanori, T.; Masami, S.; Soichi, M. Synthesis and molecular structure of tetrathia[34](1,2,4,5)cyclophane. Chem. Lett. 1988, 17, 417–420. [Google Scholar]
- Stefan, B.; Jörg, H.; Susanne, N.; Martin, N.; Kari, R.; Fritz, V. From four-fold functionalised [3.3]cyclophanes to belt-shaped and multibridged molecules. J. Chem. Soc. Perkin 1996, 16, 2061–2067. [Google Scholar]
- Josten, W.; Karbach, D.; Nieger, M.; Vogtle, F.; Hagele, K.; Svoboda, M.; Przybylski, M. Gurtelformige molekule mittels repetitiver synthesestrategie. Chem. Ber. 1994, 127, 767–777. [Google Scholar] [CrossRef]
- Jabłoński, M. Determining Repulsion in Cyclophane Cages. Molecules 2022, 27, 3969. [Google Scholar] [CrossRef] [PubMed]




























Publisher’s Note: MDPI stays neutral with regard to jurisdictional claims in published maps and institutional affiliations. |
© 2022 by the authors. Licensee MDPI, Basel, Switzerland. This article is an open access article distributed under the terms and conditions of the Creative Commons Attribution (CC BY) license (https://creativecommons.org/licenses/by/4.0/).
Share and Cite
Zhang, X.-X.; Li, J.; Niu, Y.-Y. A Review of Crystalline Multibridged Cyclophane Cages: Synthesis, Their Conformational Behavior, and Properties. Molecules 2022, 27, 7083. https://doi.org/10.3390/molecules27207083
Zhang X-X, Li J, Niu Y-Y. A Review of Crystalline Multibridged Cyclophane Cages: Synthesis, Their Conformational Behavior, and Properties. Molecules. 2022; 27(20):7083. https://doi.org/10.3390/molecules27207083
Chicago/Turabian StyleZhang, Xing-Xing, Jian Li, and Yun-Yin Niu. 2022. "A Review of Crystalline Multibridged Cyclophane Cages: Synthesis, Their Conformational Behavior, and Properties" Molecules 27, no. 20: 7083. https://doi.org/10.3390/molecules27207083
APA StyleZhang, X.-X., Li, J., & Niu, Y.-Y. (2022). A Review of Crystalline Multibridged Cyclophane Cages: Synthesis, Their Conformational Behavior, and Properties. Molecules, 27(20), 7083. https://doi.org/10.3390/molecules27207083

