New Benzil and Isoflavone Derivatives with Cytotoxic and NO Production Inhibitory Activities from Placolobium vietnamense
Abstract
1. Introduction
2. Results and Discussion
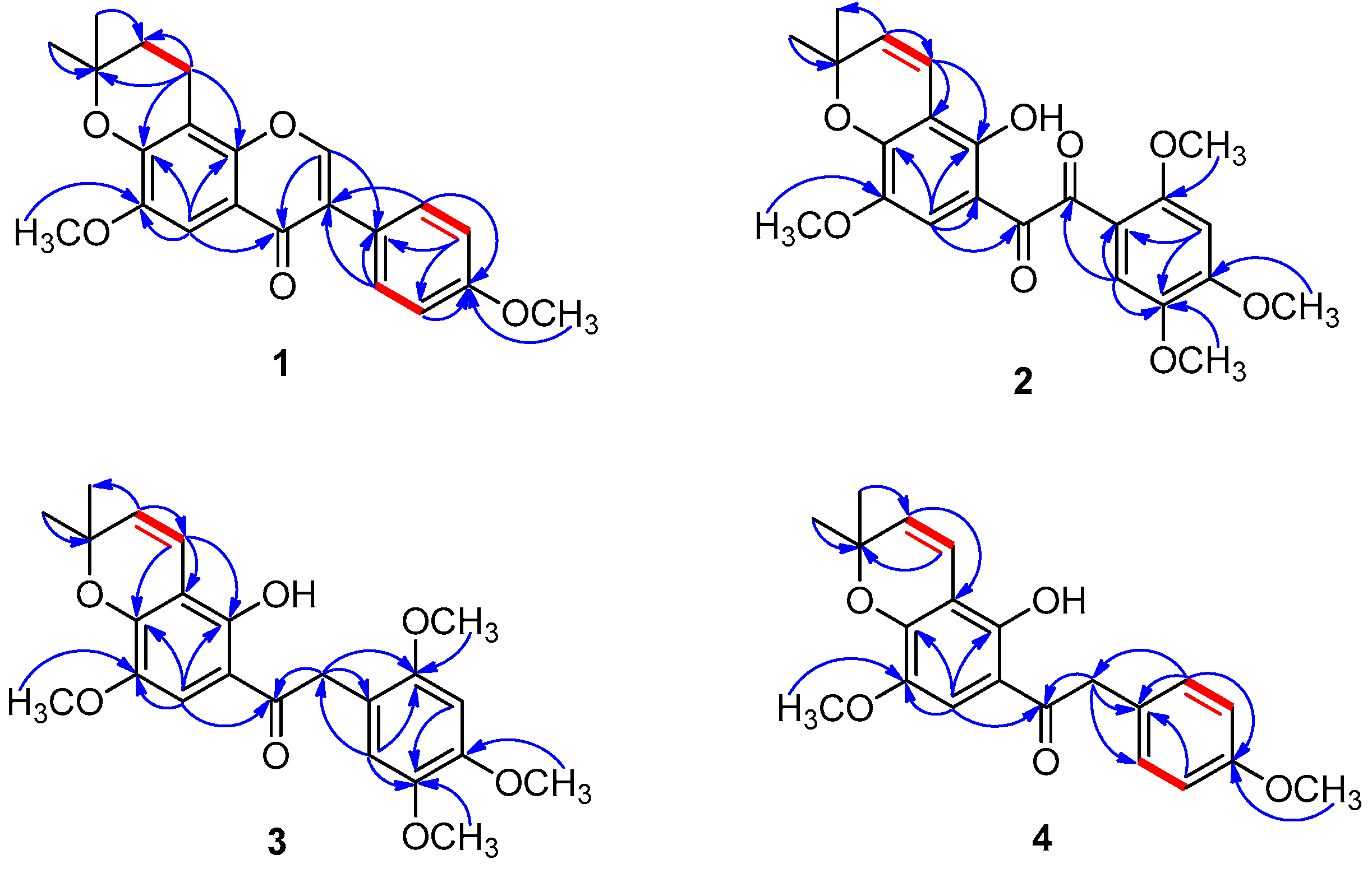
2.1. Structural Elucidation of the Isolated Compounds
2.2. Cytotoxicity
2.3. Inhibition of Nitric Oxide Production
3. Materials and Methods
3.1. General Experimental Procedures
3.2. Plant Material
3.3. Extraction and Isolation
3.4. Cytotoxicity Assay
3.5. Inhibition of Nitric Oxide Production Assay
3.5.1. Cell Culture
3.5.2. Cell Viability Assay on RAW 264.7 Cells
3.5.3. Measurement of Nitric Oxide (NO) Production
4. Conclusions
Supplementary Materials
Author Contributions
Funding
Institutional Review Board Statement
Informed Consent Statement
Data Availability Statement
Conflicts of Interest
Sample Availability
References
- Iakovlev, G.P. Notes on the Systematics of Sweetia Spreng., Machaerium Pers., Angylocalyx Taub., Fedorovia Yakov., Placolobium Miq., and Ormosia Jacks.(Fabaceae). Nov. Sist. Nizshikh Rastenii 1973, 10, 190–196. [Google Scholar]
- Lien, D.T.M.; Tuyet, H.T.N.; Quyen, T.H.N.; Truong, T.L.; Hang, N.T.T.; Thao, N.T.N.; Dung, N.T.M. Isoflavones from Placolobium vietnamense, an Indigenous Plant of Vietnam. Vietnam J. Chem. 2021, 59, 7–11. [Google Scholar]
- Ingham, J.L.; Tahara, S.; Shibaki, S.; Mizutani, J. Isoflavonoids from the Root Bark of Piscidia erythrina and a Note on the Structure of Piscidone. Z. Nat. C 1989, 44, 905–913. [Google Scholar] [CrossRef]
- Ollis, W.D.; Rhodes, C.A.; Sutherland, I.O. The Extractives of Millettia dura (Dunn): The Constitutions of Durlettone, Durmillone, Milldurone, Millettone and Millettosin. Tetrahedron 1967, 23, 4741–4760. [Google Scholar] [CrossRef]
- Schuda, P.F.; Price, W.A. Total Synthesis of Isoflavones: Jamaicin, Calopogonium Isoflavone-B, Pseudobaptigenin, and Maxima Substance-B. Friedel-Crafts Acylation Reactions with Acid-Sensitive Substrates. J. Org. Chem. 1987, 52, 1972–1979. [Google Scholar] [CrossRef]
- Ye, H.; Chen, L.; Li, Y.; Peng, A.; Fu, A.; Song, H.; Tang, M.; Luo, H.; Luo, Y.; Xu, Y. Preparative Isolation and Purification of Three Rotenoids and One Isoflavone from the Seeds of Millettia pachycarpa Benth by High-Speed Counter-Current Chromatography. J. Chromatogr. A 2008, 1178, 101–107. [Google Scholar] [CrossRef] [PubMed]
- Ito, C.; Itoigawa, M.; Kojima, N.; Tokuda, H.; Hirata, T.; Nishino, H.; Furukawa, H. Chemical Constituents of Millettia taiwaniana: Structure Elucidation of Five New Isoflavonoids and Their Cancer Chemopreventive Activity. J. Nat. Prod. 2004, 67, 1125–1130. [Google Scholar] [CrossRef] [PubMed]
- Ngadjui, B.T.; Ngameni, B.; Dongo, E.; Kouam, S.F.; Abegaz, B.M. Prenylated and Geranylated Chalcones and Flavones from the Aerial Parts of Dorstenia ciliata. Bull. Chem. Soc. Ethiop. 2002, 16, 157–164. [Google Scholar]
- Yenesew, A.; Midiwo, J.O.; Waterman, P.G. 6-Methoxycalpogonium Isoflavone A: A New Isoflavone from the Seed Pods of Millettia dura. J. Nat. Prod. 1997, 60, 806–807. [Google Scholar] [CrossRef]
- Magalhães, A.F.; Tozzi, A.M.G.; Magalhães, E.G.; Souza-Neta, L.C. New Prenylated Metabolites of Deguelia longeracemosa and Evaluation of Their Antimicrobial Potential. Planta Med. 2006, 72, 358–363. [Google Scholar] [CrossRef] [PubMed][Green Version]
- Na, Z.; Fan, Q.-F.; Song, Q.-S.; Hu, H.-B. Three New Flavonoids from Millettia pachyloba. Phytochem. Lett. 2017, 19, 215–219. [Google Scholar] [CrossRef]
- Gong, T.; Wang, D.-X.; Chen, R.-Y.; Liu, P.; Yu, D.-Q. Novel Benzil and Isoflavone Derivatives from Millettia dielsiana. Planta Med. 2009, 75, 236–242. [Google Scholar] [CrossRef] [PubMed]
- Borradaile, N.M.; Carroll, K.K.; Kurowska, E.M. Regulation of HepG2 Cell Apolipoprotein B Metabolism by the Citrus Flavanones Hesperetin and Naringenin. Lipids 1999, 34, 591–598. [Google Scholar] [CrossRef] [PubMed]
- Zhang, X.; Khalidi, O.; Kim, S.Y.; Wang, R.; Schultz, V.; Cress, B.F.; Gross, R.A.; Koffas, M.A.; Linhardt, R.J. Synthesis and Biological Evaluation of 5,7-Dihydroxyflavanone Derivatives as Antimicrobial Agents. Bioorg. Med. Chem. Lett. 2016, 26, 3089–3092. [Google Scholar] [CrossRef] [PubMed]
- Petlevski, R.; Knežević, T.; Ris, M.; Filipašić, A. Protective Effect of Flavanone-Naringenin on High Glucose-Induced Hepatotoxicity to Hep G2 Cells. Farm. Glas. 2017, 73, 85–97. [Google Scholar]
- Cao, T.Q.; Han, J.H.; Lee, H.-S.; Ha, M.T.; Woo, M.H.; Min, B.S. Anti-Inflammatory and Immunosuppressive Effects of Panax notoginseng. Nat. Prod. Sci. 2019, 25, 317–325. [Google Scholar] [CrossRef]
- Nguyen, T.T.; Nguyen, H.L.; Pham, T.N.; Nguyen, P.K.; Huynh, T.T.; Sichaem, J.; Do, L.T. Bougainvinones N–P, Three New Flavonoids from Bougainvillea spectabilis. Fitoterapia 2021, 149, 104832. [Google Scholar] [CrossRef] [PubMed]
- Cao, T.Q.; Tran, M.H.; Kim, J.A.; Tran, P.T.; Lee, J.-H.; Woo, M.H.; Lee, H.-K.; Min, B.S. Inhibitory Effects of Compounds from Styrax obassia on NO Production. Bioorg. Med. Chem. Lett. 2015, 25, 5087–5091. [Google Scholar] [CrossRef] [PubMed]


| Position | δH (J in Hz) | δC | Position | δH (J in Hz) | δC |
|---|---|---|---|---|---|
| 2 | 8.42, s | 152.7 | 3′ | 6.99, d (8.3) | 113.6 |
| 3 | 122.8 | 4′ | 158.9 | ||
| 4 | 174.4 | 5′ | 6.99, d (8.3) | 113.6 | |
| 4a | 115.9 | 6′ | 7.52, d (8.3) | 130.0 | |
| 5 | 7.32, s | 101.8 | 1″ | 2.87, t (6.5) | 16.4 |
| 6 | 147.1 | 2″ | 1.87, t (6.5) | 30.6 | |
| 7 | 148.3 | 3″ | 75.9 | ||
| 8 | 109.9 | 4″ | 1.35, s | 26.3 | |
| 8a | 149.5 | 5″ | 1.35, s | 26.3 | |
| 1′ | 124.4 | 6-OCH3 | 3.84, s | 55.1 | |
| 2′ | 7.52, d (8.3) | 130.0 | 4′-OCH3 | 3.79, s | 55.5 |
| Position | 2 | 3 | 4 | |||
|---|---|---|---|---|---|---|
| δH (J in Hz) | δC | δH (J in Hz) | δC | δH (J in Hz) | δC | |
| 1 | 112.5 | 110.8 | 110.8 | |||
| 2 | 149.7 | 153.6 | 154.1 | |||
| 3 | 108.9 | 109.3 | 109.5 | |||
| 4 | 148.2 | 149.1 | 149.5 | |||
| 5 | 142.5 | 140.8 | 141.1 | |||
| 6 | 7.24, s | 108.7 | 7.43, s | 113.0 | 7.41, s | 113.7 |
| 7 | 190.7 | 202.9 | 203.3 | |||
| 8 | 191.4 | 4.20, s | 38.8 | 4.26, s | 43.6 | |
| 1′ | 114.8 | 114.2 | 126.9 | |||
| 2′ | 156.8 | 151.3 | 7.21, d (8.7) | 130.7 | ||
| 3′ | 6.76, s | 98.0 | 6.70, s | 98.4 | 6.88, d (8.7) | 114.1 |
| 4′ | 143.6 | 142.5 | 158.2 | |||
| 5′ | 155.6 | 140.8 | 6.88, d (8.7) | 114.1 | ||
| 6′ | 7.41, s | 110.0 | 6.83, s | 115.7 | 7.21, d (8.7) | 130.7 |
| 1″ | 6.55, d (9.9) | 116.0 | 6.58, d (9.9) | 115.1 | 6.56, d (9.6) | 113.7 |
| 2″ | 5.63, d (9.9) | 130.0 | 5.75, d (9.9) | 129.1 | 6.74, d (9.6) | 129.3 |
| 3″ | 76.8 | 77.8 | 78.0 | |||
| 4″ | 0.92, s | 26.3 | 1.14, s | 27.4 | 1.39, s | 27.9 |
| 5″ | 0.92, s | 26.3 | 1.14, s | 27.4 | 1.39, s | 27.9 |
| 5-OCH3 | 3.84, s | 56.1 | 3.76, s | 56.1 | 3.76, s | 56.5 |
| 2′-OCH3 | 3.33, s | 56.7 | 3.73, s | 56.2 | ||
| 4′-OCH3 | 3.55, s | 55.9 | 3.67, s | 56.3 | 3.47, s | 55.2 |
| 5′-OCH3 | 3.89, s | 56.1 | 3.79, s | 55.8 | ||
| 2-OH | 10.11, s | 12.76, s | 12.76, s | |||
| Compound | Cytotoxicity (IC50, µM) a | NO Production (IC50, µM) a |
|---|---|---|
| 1 | 8.0 ± 0.2 | 13.7 ± 0.5 |
| 2 | 19.8 ± 1.5 | 31.0 ± 0.3 |
| 3 | 22.9 ± 0.5 | 47.4 ± 0.3 |
| 4 | 23.4 ± 0.5 | 15.5 ± 0.4 |
| 5 | 99.1 ± 0.9 | >100 |
| 6 | 71.6 ± 0.6 | >100 |
| 7 | 66.6 ± 0.5 | >100 |
| 8 | 35.6 ± 0.3 | 54.7 ± 0.2 |
| Ellipticine b | 0.43 ± 0.03 | |
| Celastrol b | 1.00 ± 0.10 |
Publisher’s Note: MDPI stays neutral with regard to jurisdictional claims in published maps and institutional affiliations. |
© 2022 by the authors. Licensee MDPI, Basel, Switzerland. This article is an open access article distributed under the terms and conditions of the Creative Commons Attribution (CC BY) license (https://creativecommons.org/licenses/by/4.0/).
Share and Cite
Do, L.T.M.; Huynh, T.T.N.; Sichaem, J. New Benzil and Isoflavone Derivatives with Cytotoxic and NO Production Inhibitory Activities from Placolobium vietnamense. Molecules 2022, 27, 4624. https://doi.org/10.3390/molecules27144624
Do LTM, Huynh TTN, Sichaem J. New Benzil and Isoflavone Derivatives with Cytotoxic and NO Production Inhibitory Activities from Placolobium vietnamense. Molecules. 2022; 27(14):4624. https://doi.org/10.3390/molecules27144624
Chicago/Turabian StyleDo, Lien T. M., Tuyet T. N. Huynh, and Jirapast Sichaem. 2022. "New Benzil and Isoflavone Derivatives with Cytotoxic and NO Production Inhibitory Activities from Placolobium vietnamense" Molecules 27, no. 14: 4624. https://doi.org/10.3390/molecules27144624
APA StyleDo, L. T. M., Huynh, T. T. N., & Sichaem, J. (2022). New Benzil and Isoflavone Derivatives with Cytotoxic and NO Production Inhibitory Activities from Placolobium vietnamense. Molecules, 27(14), 4624. https://doi.org/10.3390/molecules27144624
