Abstract
It is essential to develop novel zero- and two-dimensional hybrid perovskites to facilitate the development of eco-friendly solar cells. In this study, we investigated the structure and dynamics of [NH3(CH2)5NH3]CuCl4 via various characterization techniques. Nuclear magnetic resonance (NMR) results indicated that the crystallographic environments of 1H in NH3 and 13C on C3, located close to NH3 at both ends of the cation, were changed, indicating a large structural change of CuCl6 connected to N–H···Cl. The thermal properties and structural dynamics of the [NH3(CH2)nNH3] cation in [NH3(CH2)nNH3]CuCl4 (n = 2, 3, 4, and 5) crystals were compared using thermogravimetric analysis (TGA) and NMR results for the methylene chain. The 1H and 13C spin-lattice relaxation times (T1ρ) exhibited similar trends upon the variation of the methylene chain length, with n = 2 exhibiting shorter T1ρ values than n = 3, 4, and 5. The difference in T1ρ values was related to the length of the cation, and the shorter chain length (n = 2) exhibited a shorter T1ρ owing to the one closest to the paramagnetic Cu2+ ions.
1. Introduction
Recently, research on solar cells based on organic-inorganic hybrid materials has progressed very rapidly [1,2,3,4]. Initially, CH3NH3PbX3 (X = Cl, Br, I)-based thin-film photovoltaic devices were used as solar cells. Despite the development of CH3NH3PbX3 as a hybrid solar cell, it readily decomposes in humid air, and Pb toxicity is a major concern [5,6,7]. Therefore, its replacement with environment-friendly hybrid perovskite solar cells is vital.
Further, novel groups of perovskite materials, such as [(CH3)2NH2]Zn(HCOO)3, consisting of an organic cation and a metal ion, have been discussed [8,9,10,11,12,13,14]. They exhibited potential for application in memory manipulation devices and next-generation memory storage technology. In addition, it is necessary to study the structure and dynamics of new materials with zero- and two-dimensional (2D) hybrid perovskites, such as eco-friendly [NH3(CH2)nNH3]MX4. The organic-inorganic hybrid [NH3(CH2)nNH3]MX4 (n = 2, 3, 4, ···), where M is a divalent metal ion, and X is a halide ion, crystallizes in perovskite-type layered structures [15,16,17,18,19,20,21,22,23,24,25,26,27,28,29,30,31]. The organic [NH3(CH2)nNH3] cation of the hybrid complex influences properties, such as structural flexibility and optical characteristics, whereas the inorganic (MX4 or MX6) anions affect the thermal and mechanical properties [32,33]. For M = Mn, Cu, or Cd, the structure consists of the corner shared octahedral (MX6)2− alternated with organic layers and is 2-dimensional, while for M = Co or Zn, the structures are tetrahedral (MX4)2− sandwiched between layers of organic cations and 0-dimensional. The ammonium ions at the organic-cation terminals form N−H∙∙∙X hydrogen bonds with halide ions of the metallic inorganic layer [34,35,36]. For long chains, in complexes where n is 5 or more, structural changes due to conformational changes of the chains are important [37]. Among them, an interesting group of hybrid materials is perovskite-type layered [NH3(CH2)5NH3]CuCl4. Its crystal structure consists of 2D inorganic CuCl4 layers and 1,5-diaminopentane cations. The [NH3(CH2)5NH3] organic chains exhibit the longest c-axis. [NH3(CH2)5NH3]CuCl4 crystallizes in the monoclinic space group P21/c, with unit-cell parameters of a = 7.747 Å, b = 7.203 Å, c = 21.512 Å, Z = 4, and β = 98.48° [38].
Filloleau et al. [39] and Kanel et al. [40] reported the magnetic, optical properties, and electron paramagnetic resonance studies of [NH3(CH2)5NH3]CuCl4 crystals. Recently, the thermal properties and structural molecular dynamics of [NH3(CH2)nNH3]CuCl4 (n = 2, 3, and 4) crystals containing Cu2+ ions have been reported [41,42,43]. However, a detailed report on the [NH3(CH2)5NH3]CuCl4 crystal is yet to be published. A lot of research has been done on the electric and conductive properties of this type of compound [44,45,46,47].
In this study, the crystal structure, thermodynamics, and ferroelasticity of [NH3(CH2)5NH3]CuCl4 were studied to investigate the CuCl6 anion, which is responsible for the thermal and mechanical properties. Additionally, to obtain information on the coordination geometry and molecular dynamics of the [NH3(CH2)5NH3] cation, nuclear magnetic resonance (NMR) chemical shifts and spin-lattice relaxation times (T1ρ) for 1H and 13C were measured using the magic angle spinning (MAS) method. The variations in physicochemical properties of this crystal according to the temperature change were explained by considering the cation and the CuCl4 anion. The influence of the CH2-group length in the [NH3(CH2)nNH3] cation of [NH3(CH2)nNH3]CuCl4 (n = 2, 3, 4, and 5) has also been discussed with reference to a previous report. These results, which consider the methylene chain length, could be useful for facilitating diverse environment-friendly applications in the future.
2. Results
2.1. Crystal Structure
The X-ray diffraction (XRD) powder patterns of the [NH3(CH2)5NH3]CuCl4 crystal were obtained at different temperatures during heating, and the results are shown in Figure 1. The XRD patterns from 300 K to 440 K were identical, and the XRD patterns at temperatures above 440 K were due to the melting of the crystal. Additionally, the crystal structure is monoclinic, and the lattice constants, analyzed from the single-crystal XRD results, were a = 7.7385 Å, b = 7.2010 Å, c = 21.5308 Å, β = 98.493°, and Z = 4, with the space group P21/c. This result is consistent with a previous report [38].
Figure 1.
XRD powder patterns of the [NH3(CH2)5NH3]CuCl4 crystal at different temperatures.
2.2. Thermal Property and Ferroelastic Twin Domain
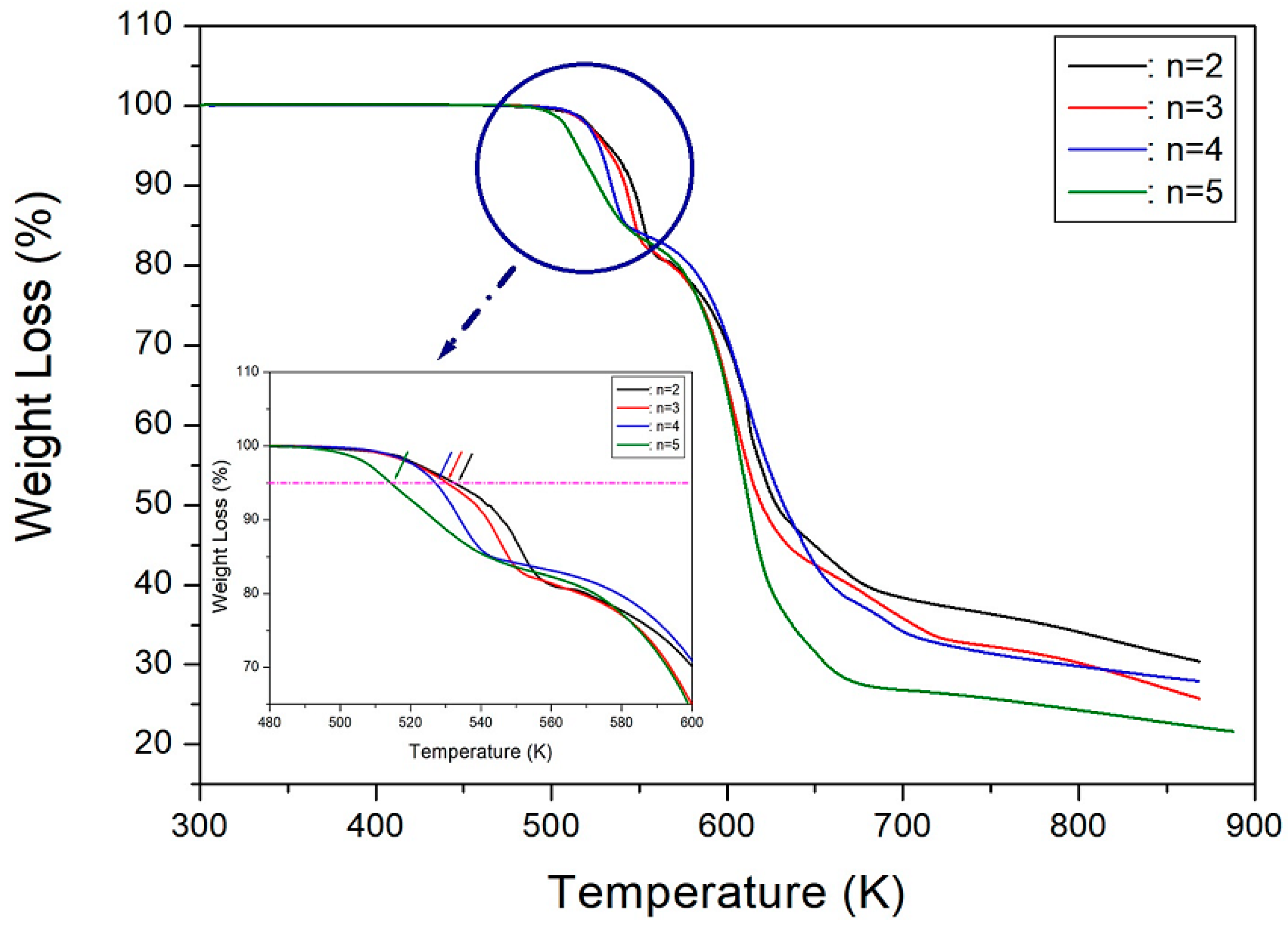
To understand the thermodynamic properties, thermogravimetric analysis (TGA) and differential thermal analysis (DTA) results measured at a heating rate of 10 K/min are shown in Figure 2. The first occurrence of molecular weight loss, indicating the initiation of partial thermal decomposition, occurred at approximately 514 K. As the temperature increased, the molecular weight of the [NH3(CH2)5NH3]CuCl4 crystal decreased. TGA results of a similar compound were reported by another group previously [24,27,48]. The 12% and 24% losses, calculated from the total molecular weight, were caused by the decomposition of HCl and 2HCl, respectively. The temperatures of HCl and 2HCl loss obtained by TGA were 531 and 583 K, respectively, with a weight loss of 80% at ~900 K. The molecular weight sharply decreased between 520 and 650 K, with a corresponding weight loss of 70% at ~650 K. Subsequently, the crystals were analyzed using optical polarizing microscopy experiments with increasing temperature to investigate their thermal stability. The crystals were yellow at room temperature, as shown in the inset of Figure 2. As the temperature increased, the crystals changed from yellow to light brown and finally to dark brown, above 490 K, consistent with that shown in the XRD powder patterns of Figure 1. The possibility to change color was due to decomposition by loss of HCl and also due to the geometrical change of CuCl4. Near 540 K, the single-crystal surfaces exhibited slight melting. This temperature was similar to the temperature of HCl loss in the TGA experiment. Additionally, no endothermic peak corresponding to a phase transition above 200 K was observed in the differential scanning calorimetry (DSC) curve.
Figure 2.
TGA and DTA curves of [NH3(CH2)5NH3]CuCl4 (inset: changes in the crystal at the following temperatures: (a) 300 K, (b) 330 K, (c) 390 K, (d) 430 K, (e) 490 K, and (f) 540 K).
A single crystal with ferroelastic properties has two or more orientation states, even in the absence of mechanical stress, and changes from one orientation state to another under mechanical stress [49,50]. The domain patterns observed under a polarized optical microscope are shown in Figure 3. One of the most common microstructures is related to twinning, with dominant twin planes oriented nearly perpendicular to each other. Ferroelastic domain patterns, represented by parallel lines, were observed at room temperature (Figure 3a). Although the crystal color changed with an increase in temperature, the twin domain patterns remained unchanged. Finally, the domain pattern turned dark brown near 440 K, as shown in Figure 3f, making it difficult to observe. The difficulty in observing the domain pattern above 440 K was due to the phenomenon in which single crystals begin to melt.
Figure 3.
Optical polarizing microscopy images of [NH3(CH2)5NH3]CuCl4 at (a) 300 K, (b) 340 K, (c) 360 K, (d) 390 K, (e) 420 K, and (f) 440 K. Parallel lines represent ferroelastic twin domain walls.
2.3. 1H NMR Chemical Shifts
The temperature dependence of the 1H MAS NMR spectra of the [NH3(CH2)5NH3]CuCl4 crystal was analyzed, and the 1H chemical shifts are shown in Figure 4. In the [NH3(CH2)5NH3] cation, the number of protons related to NH3 and CH2 was 6 and 10, respectively, and the intensity and linewidth of the 1H resonance peak were also related to the number of protons. The 1H signal in NH3 was observed at low temperatures, whereas the 1H signal in CH2 was difficult to observe, owing to its wide linewidth. Above 240 K, the NMR spectrum featured two resonance lines of NH3 and CH2. At 300 K, the 1H chemical shifts in NH3 and CH2 were 12.11 and 2.89 ppm, respectively. 1H signals for NH3 and CH2 overlap each other. Thus, their line widths could not be accurately distinguished in accordance with the temperature change; however, the line width of NH3 was narrower than that of CH2. The spinning sidebands for NH3 and CH2 are marked with open circles and crosses, respectively. The 1H chemical shifts of CH2, indicated by dotted lines in Figure 4, were almost independent of temperature.
Figure 4.
MAS 1H NMR spectra of [NH3(CH2)5NH3]CuCl4 as a function of temperature. Spinning sidebands are indicated by crosses and open circles.
The 1H chemical shift for NH3, from 180–220 K, was in the negative direction but shifted slightly in the negative direction at temperatures above that. Therefore, the structural environment of 1H in NH3 changed with the variation of temperature, while the environment of 1H in CH2 changed negligibly.
2.4. 13C NMR Chemical Shifts
13C chemical shifts for the in-situ MAS NMR spectra with increasing temperature are shown in Figure 5. The tetramethylsilane (TMS) reference signal was recorded at 38.3 ppm at 300 K and considered to be the 13C chemical-shift standard. In the [NH3(CH2)5NH3] cation, the CH2 close to NH3 was labeled C3. The CH2 at the center of the cation was labeled C1, and the CH2 between C3 and C1 was labeled C2, as shown in the inset of Figure 5. At 300 K, the 13C chemical shifts were recorded at 27.19, 50.94, 62.95, and 118.46 ppm for C1, C22, C22′, and C3, respectively. The 13C chemical shifts for C1, C2, and C3, with temperature changes, are shown in Figure 5. The chemical shifts of C3 shifted rapidly in the negative direction with temperature change, while C1 shifted in a slightly positive direction. However, there were two different signals (C22 and C22′) for C2. Here, the chemical shift of C22 shifted in a negative direction, while that of C22′ shifted in a slightly positive direction, with a temperature change. The shifting of C22 and C22′ chemical shifts in different directions could be because of the position of C1 at the center of the cation and that of C2 between C1 and C3. In addition, at higher temperatures, the line widths for C1, C2, and C3, as shown in the inset of Figure 5, narrowed significantly owing to high internal mobility [51]. All 13C chemical shifts changed with the increase in temperature, with the C3 chemical shift exhibiting a rapid change.
Figure 5.
MAS 13C NMR spectra of [NH3(CH2)5NH3]CuCl4 as a function of temperature.
2.5. 1H and 13C Spin-Lattice Relaxation Times
The intensities of the 1H MAS NMR and 13C MAS NMR spectra were measured by changing delay times at each temperature. The spectral intensity versus the delay time plot followed a mono-exponential function. The recovery traces of magnetization were characterized by the spin-lattice relaxation time, T1ρ, as [52,53,54]:
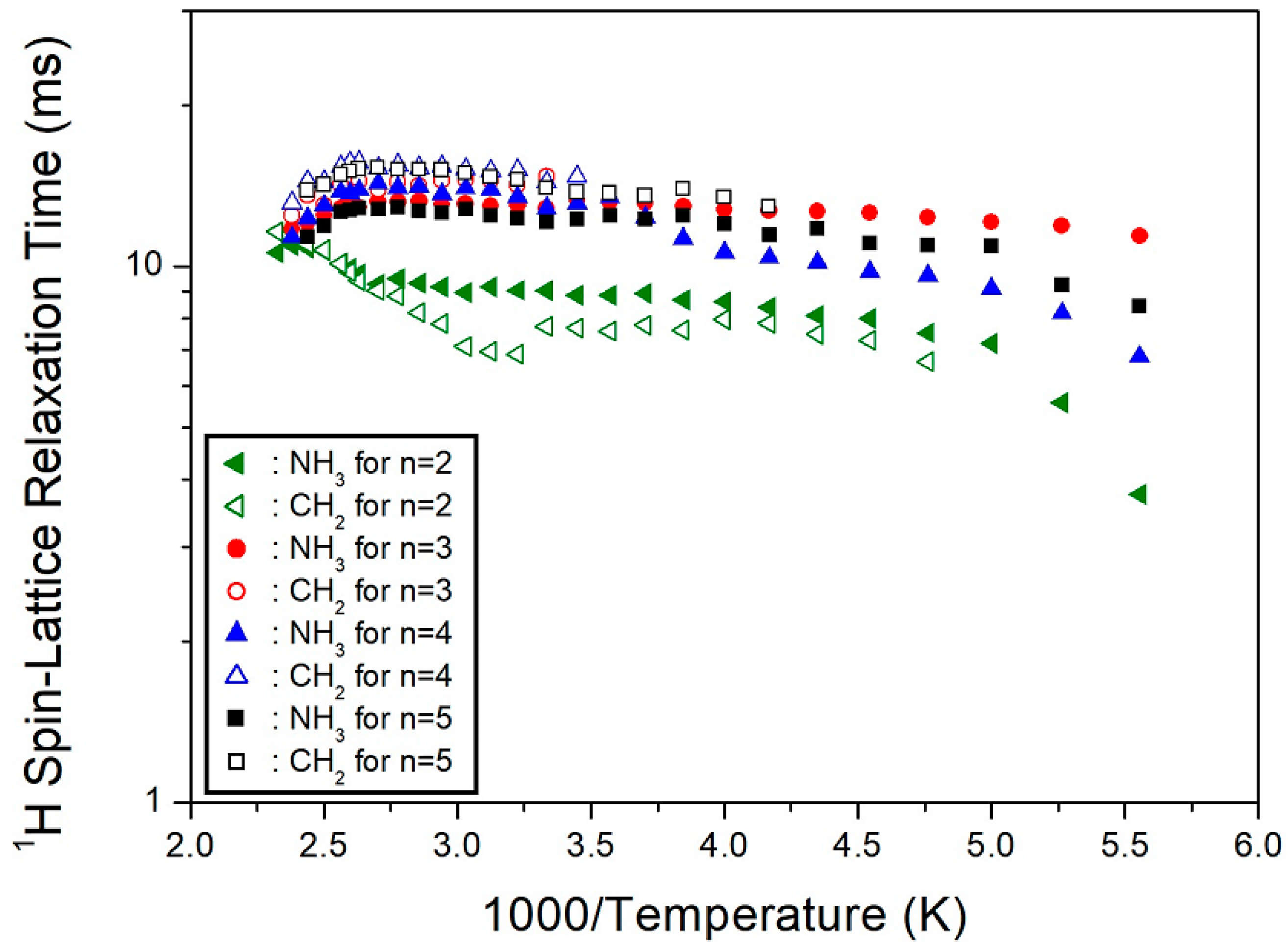
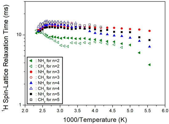
where PH(C)(τ) and PH(C)(0) are signal intensities for the proton (carbon) at time τ and τ = 0, respectively. From the slope of the logarithm of intensity versus the delay time plot, the 1H T1ρ values were determined for NH3 and CH2 at several temperatures. The intensity of each signal differed with the delay time. The results of 1H T1ρ obtained here and the 1H T1ρ of n = 2, 3, and 4 previously reported are shown in Figure 6 as a function of the inverse temperature. The 1H T1ρ values were almost temperature independent and were in the order of 10 ms. However, the 1H T1ρ values of NH3, represented with black squares, were shorter than those of CH2, marked with black open squares. Here, the T1ρ values were compared according to the cation length from n = 2–5. The 1H T1ρ values exhibited similar trends for different methylene chain lengths, with n = 2 exhibiting slightly shorter values than n = 3, 4, and 5.
PH(C)(τ) = PH(C)(0)exp(−τ/T1ρ)
Figure 6.
Temperature dependence of 1H NMR spin-lattice relaxation times (T1ρ) in [NH3(CH2)nNH3]CuCl4 (n = 2, 3, 4, and 5).
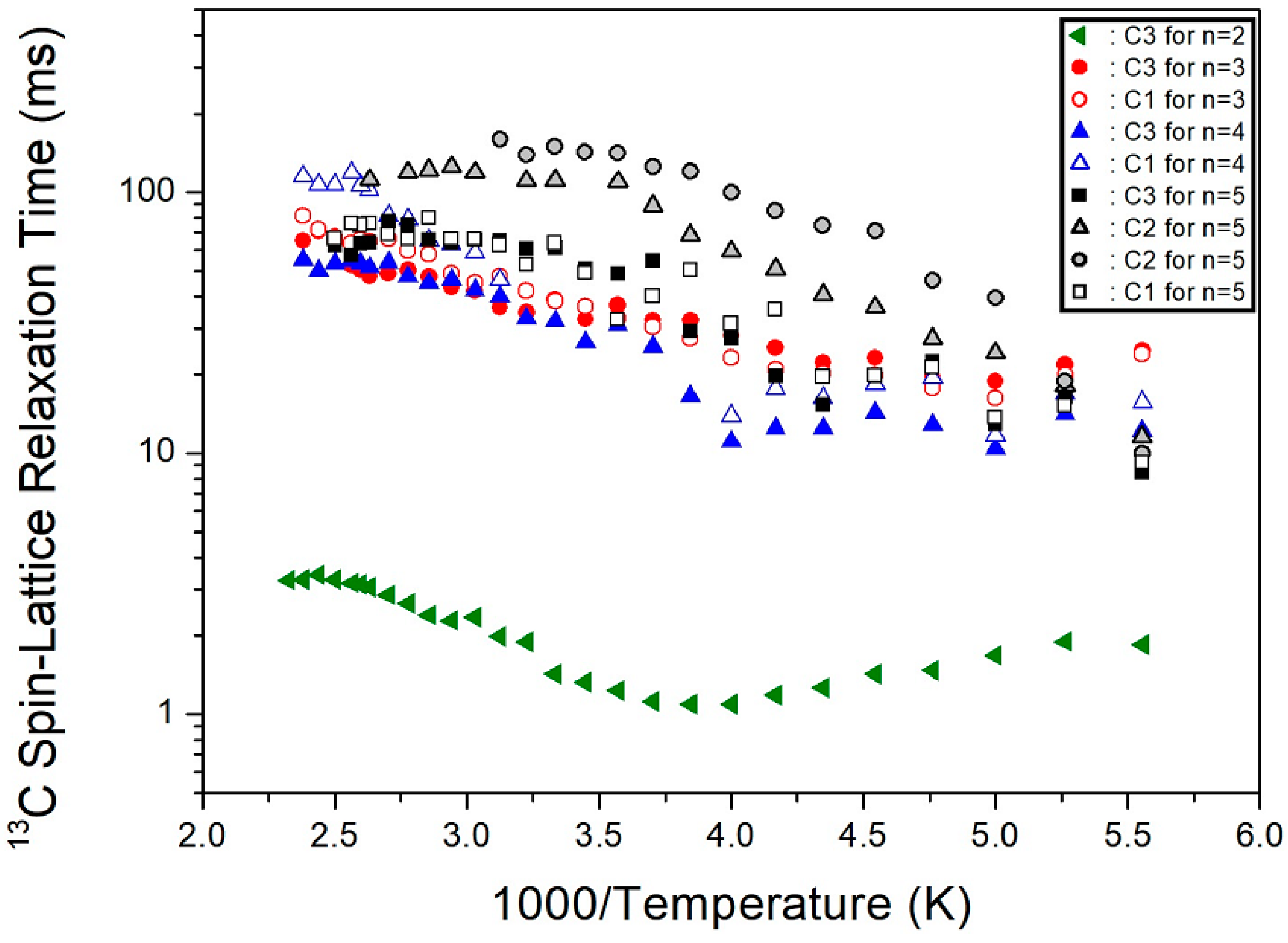
The 13C T1ρ values for C1, C2, and C3 were obtained as a function of the inverse temperature from the slope of the logarithm of intensity versus the delay time plot (Figure 7). The 13C T1ρ values increased rapidly from 10–100 ms. The T1ρ behavior for random motions, with a correlation time τC, could be elucidated by a fast motion. The T1ρ value of C3, located close to the paramagnetic Cu2+ ion, was shorter than that of C2, located further away from Cu2+. Additionally, the T1ρ of C1, at the center of 5 CH2, exhibited very short values. It is interesting to compare the results for 13C T1ρ according to the alkyl chain lengths. In the [NH3(CH2)nNH3] cation, the marks of C1, C2, and C3 along the length of n are shown in Figure 8. The 13C T1ρ values exhibited similar trends for n =3, 4, and 5, with a very short value for n = 2, as shown in Figure 7. In the case of n = 5, unlike n = 2, 3, and 4, the T1ρ value of C2 was different from those of C1 and C3. Overall, energy transfer was easier for the short alkyl chain length (n = 2).
Figure 7.
Temperature dependence of 13C NMR spin-lattice relaxation times (T1ρ) in [NH3(CH2)nNH3]CuCl4 (n = 2, 3, 4, and 5).
Figure 8.
Names of carbons, according to their length, in the cation structure of [NH3(CH2)nNH3]CuCl4.(n = 2, 3, 4, and 5).
3. Discussion
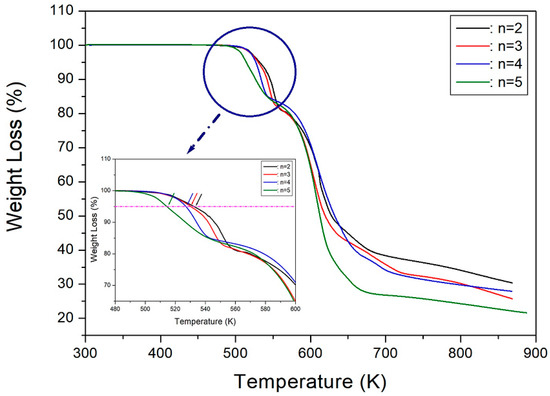
The thermal properties and structural dynamics of the [NH3(CH2)nNH3] cation in [NH3(CH2)nNH3]CuCl4 (n = 2, 3, 4, and 5) crystals were analyzed and compared using information obtained from TGA and NMR experiments. Thermal decomposition temperatures (Td) decreased with an increase in the value of n, as observed in the TGA results of the four crystals. An enlarged view was observed near Td; for n = 2, 3, 4, and 5, Td values, when the case of 5% weight loss was set as Td, were 533, 530, 527, and 514 K, respectively, indicating no improvement in thermal stability with an increase in the cation length (Figure 9). The 1H and 13C T1ρ values exhibited a similar trend in increasing the methylene chain length, with n = 2 exhibiting shorter T1ρ values than n = 3, 4, and 5; T1ρ increased with the increasing length of the CH2 chain, indicating that the energy transfer was not easy. The difference in T1ρ values was mainly attributed to the cation length, with the shorter (n = 2) length exhibiting a smaller value, owing to the presence of paramagnetic Cu2+ ions. 1H T1ρ values are very short after the inclusion of paramagnetic ions. The Cu2+ ions in [NH3(CH2)nNH3]CuCl4, which are paramagnetic and bonded with the inorganic layer through N–H···Cl hydrogen bonds, directly affected the 1H environment. With respect to the 2D structure of solar cell materials, the applicability of organic-inorganic hybrid compounds can be confirmed more clearly by knowing the energy transfer for a molecular motion for the spin-lattice relaxation times T1ρ along the length of a cation.
Figure 9.
TGA curves of [NH3(CH2)nNH3]CuCl4 (n = 2, 3, 4, and 5) (inset: expansion of TGA curves near Td).
4. Materials and Methods
[NH3(CH2)5NH3]CuCl4 single crystals were grown by gradually evaporating an aqueous solution of NH2(CH2)5NH2∙2HCl (Aldrich, 98%) and CuCl2 (Aldrich, 97%) at a constant temperature of 300 K. The grown single crystals that were 3 × 3 × 1.5 mm in size exhibited a yellow color.
The XRD powder pattern experiments of the [NH3(CH2)5NH3]CuCl4 crystal at several temperatures were measured in the measuring 2θ of 5–60° using an XRD system equipped with a Mo-Kα radiation source. The lattice parameters at various temperatures were determined by single-crystal X-ray diffraction (XRD) at the Seoul Western Center of the Korea Basic Science Institute (KBSI). A crystal block was picked up with paratone oil and mounted on a Bruker D8 Venture PHOTON III M14 diffractometer equipped with a graphite-monochromated Mo-Kα radiation source. Data were collected and integrated using SMART APEX3 (Bruker, 2016) and SAINT (Bruker, 2016). The absorption was corrected by a multi-scan method implemented in SADABS. The structure was solved using direct methods and refined by full-matrix least-squares on F2 using SHELXTL. All non-hydrogen atoms were refined anisotropically, and the hydrogen atoms were added to their geometrically ideal positions.
TGA and DTA experiments were performed in the temperature range of 300–873 K on a thermogravimetric analyzer (TA Instruments) at a heating rate of 10 K/min with an N2 gas flow [42]. Additionally, a twin domain pattern, observed in the 300–680 K temperature range, was measured using an optical polarizing microscope by placing the prepared single crystals on a Linkam THM-600 heating stage.
NMR chemical shifts and spin-lattice relaxation times (T1ρ) for 1H and 13C in [NH3(CH2)5NH3]CuCl4 crystals were measured using a Bruker 400 MHz Avance II+ solid-state NMR spectrometer at the same facility, KBSI. The Larmor frequency was ωo/2π = 400.13 MHz for 1H NMR, and ωo/2π = 100.61 MHz for 13C NMR. To minimize the spinning sideband, the sample tube spinning speed was set to 10 kHz, and TMS was used as reference material to accurately measure the NMR chemical shifts. T1ρ values were obtained using a π/2−τ pulse, followed by a spin-lock pulse of duration τ, and the width of the π/2 pulse for 1H and 13C was in the 3.2–3.9 μs range. The temperature was changed by adjusting the N2 gas flow and the heater current, and the NMR experiment was conducted in the 180–430 K temperature range.
5. Conclusions
We discussed XRD, TGA, and NMR experiments to investigate the crystal structure, thermal stabilities, and physical properties of [NH3(CH2)5NH3]CuCl4 crystal. First, the monoclinic structure and lattice parameter were confirmed by XRD, and its thermodynamic property was observed at about 514 K without phase transition. NMR analysis indicated that the crystallographic environment of 1H in NH3 and that of 13C on C3, located close to NH3 at both ends of the cation, were changed, indicating a large structural change of CuCl4 connected to the N–H···Cl. The effects of the length of CH2 in the cation on the molecular motions and thermal properties will facilitate future research on their potential application in the research of environment-friendly hybrid perovskite solar cells.
Author Contributions
A.R.L. designed the project and wrote the manuscript. S.H.P. prepared the samples and performed DSC and TGA experiments. All authors have read and agreed to the published version of the manuscript.
Funding
This research was supported by the Basic Science Research Program of the National Research Foundation of Korea (NRF), funded by the Ministry of Education, Science, and Technology (2018R1D1A1B07041593 and 2016R1A6A1A03012069).
Data Availability Statement
Not applicable.
Conflicts of Interest
The authors declare no conflict of interest.
Sample Availability
Samples of the compounds are available from the authors.
References
- Rao, C.N.R.; Cheetham, A.K.; Thirumurugan, A. Hybrid inorganic-organic materials: A new family in condensed matter physics. J. Phys. Condens. Matter. 2008, 20, 83202. [Google Scholar] [CrossRef]
- Cheng, Z.; Lin, J. Layered organic-inorganic hybrid perovskites: Structure, optical properties, film preparation, patterning and templating engineering. Cryst. Eng. Com. 2010, 12, 2646–2662. [Google Scholar] [CrossRef]
- Mostafa, M.F.; El-khiyami, S.S. Crystal structure and electric properties of the organic-inorganic hybrid: [(CH2)6(NH3)2]ZnCl4. J. Solid State Chem. 2014, 209, 82–88. [Google Scholar] [CrossRef]
- Chen, Q.; Marco, N.D.; Yang, Y.; Song, T.-B.; Chen, C.-C.; Zhao, H.; Hong, Z.; Zhou, H.; Yang, Y. Under the spotlight: The organic–inorganic hybrid halide perovskite for optoelectronic applications. Nano Today 2015, 10, 355–396. [Google Scholar] [CrossRef] [Green Version]
- Abdel-Aal, S.K.; Abdel-Rahman, A.S.; Kocher-Oberlehner, G.G.; Ionov, A.; Mozhchil, R. Structure, optical studies of 2D hybrid perovskite for photovoltaic applications. Acta Cryst. A 2017, 70, C1116. [Google Scholar] [CrossRef]
- Liu, Y.; Collins, L.; Proksch, R.; Kim, S.; Watson, B.R.; Doughty, B.; Calhoun, T.R.; Ahmadi, M.; Ievlev, A.V.; Jesse, S.; et al. Chemical nature of ferroelastic twin domains in CH3NH3PbI3 perovskite. Nat. Mater. 2018, 17, 1013–1019. [Google Scholar] [CrossRef]
- Lee, J.; Lee, W.; Kang, K.; Lee, T.; Lee, S.K. Layer-by-Layer Structural Identification of 2D Ruddlesden–Popper Hybrid Lead Iodide Perovskites by Solid-State NMR Spectroscopy. Chem. Mater. 2021, 33, 370–377. [Google Scholar] [CrossRef]
- Asaji, T.; Ito, Y.; Seliger, J.; Zagar, V.; Gradisek, A.; Apih, T. Phase transition and ring-puckering motion in a metal-organic perovskite [(CH2)3NH2][Zn(HCOO)3]. J. Phys. Chem. C 2012, 116, 12422. [Google Scholar] [CrossRef]
- Asaji, T.; Ashitomi, K. Phase transition and cationic motion in a metal-organic perovskite, dimethylammonium zinc formate [(CH3)2NH2][Zn(HCOO)3]. J. Phys. Chem. C 2013, 117, 10185. [Google Scholar] [CrossRef]
- Simenas, M.; Ciupa, A.; Maczka, M.; Poppl, A.; Banys, J. EPR study of structural phase transition in manganese-doped [(CH3)2NH2][Zn(HCOO)3] metal-organic framework. J. Phys. Chem. C 2015, 119, 24522. [Google Scholar] [CrossRef]
- Abhyankar, N.; Kweon, J.J.; Orio, M.; Bertaina, S.; Lee, M.; Choi, E.S.; Fu, R.; Dalal, N.S. Understanding ferroelectricity in the Pb-free perovskite-like metal-organic framework [(CH3)2NH2]Zn(HCOO)3: Dielectric, 2D NMR, and theoretical studies. J. Phys. Chem. C 2017, 121, 6314. [Google Scholar] [CrossRef]
- Simenas, M.; Balciunas, S.; Trzebiatowska, M.; Ptak, M.; Maczka, M.; Volkel, G.; Poppl, A.; Banys, J. Electron paramagnetic resonance and electric characterization of a [CH3NH2NH2][Zn(HCOO)3] perovskite metal formate framework. J. Mater. Chem. C 2017, 5, 4526. [Google Scholar] [CrossRef]
- Simenas, M.; Balciunas, S.; Ciupa, A.; Vilciauskas, L.; Jablonskas, D.; Kinka, M.; Sieradzki, A.; Samulionis, V.; Maczka, M.; Banys, J. Elucidation of dipolar dynamics and the nature of structural phases in the [(CH3)2NH2][Zn(HCOO)3] hybrid perovskite framework. J. Mater. Chem. C 2019, 7, 6779. [Google Scholar] [CrossRef]
- Simenas, M.; Ptak, M.; Khan, A.H.; Dagys, L.; Balevicius, V.; Bertmer, M.; Volkel, G.; Maczka, M.; Poppl, A.; Banys, J. Spectro scopic study of [(CH3)2NH2][Zn(HCOO)3] hybrid perovskite containing different nitrogen isotopes. J. Phys. Chem. C 2018, 122, 10284. [Google Scholar] [CrossRef]
- Gonzalez-Carrero, S.; Galian, R.E.; Perez-Prieto, J. Organometa halide perovskites: Bulk low-dimension materials and nanoparticles. Part. Syst. Charact. 2015, 32, 709–720. [Google Scholar] [CrossRef]
- Mostafa, M.F.; Elkhiyami, S.S.; Alal, S.A. Discontinuous transition from insulator to semiconductor induced by phase change of the new organic-inorganic hybrid [(CH2)7(NH3)2]CoBr4. Mat. Chem. Phys. 2017, 199, 454–463. [Google Scholar] [CrossRef]
- Abdel-Aal, S.K. Synthesis, characterization, thermal, and electric properties of new diammonium hybrid perovskite [NH3-(CH2)7-NH3]CaCl2Br2. Solid State Ion. 2017, 303, 29–36. [Google Scholar] [CrossRef]
- Abdel-Adal, S.K.; Kocher-Oberlehner, G.; Ionov, A.; Mozhchil, R.N. Effect of organic chain length on structure, electronic composition, lattice potential energy, and optical properties of 2D hybrid perovskites [(NH3)(CH2)n(NH3)]CuCl4, n = 2–9. Appl. Phys. A 2017, 123, 531. [Google Scholar] [CrossRef]
- Liu, W.; Xing, J.; Zhao, J.; Wen, X.; Wang, K.; Peixiang, L.; Xiong, Q. Giant two-dimensional absorption and its saturation in 2D organic-inorganic perovskite. Adv. Opt. Mater. 2017, 5, 1601045. [Google Scholar] [CrossRef]
- Mondal, P.; Abdel-Aal, S.K.; Das, D.; Manirul Islam, S.K. Catalytic activity of crystallographically characterized organic-inorganic hybrid containing 1,5-di-amino-pentane tetrachloro manganate with perovskite type structure. Cat. Let. 2017, 147, 2332–2339. [Google Scholar] [CrossRef]
- Elseman, M.; Shalan, A.E.; Sajid, S.; Rashad, M.M.; Hassan, A.M.; Li, M. Copper-substituted lead perovskite materials constructed with different halides for working (CH3NH3)2CuX4-based perovskite solar cells from experimental and theoretical view. ACS Appl. Mater. Interfaces 2018, 10, 11699–11707. [Google Scholar] [CrossRef] [PubMed]
- Aramburu, J.A.; Garcia-Fernandez, P.; Mathiesen, N.R.; Garcia-Lastra, J.M.; Moreno, M. Changing the usual interpretation of the structure and ground state of Cu2+ layered perovskites. J. Phys. Chem. C 2018, 122, 5071–5082. [Google Scholar] [CrossRef] [Green Version]
- Pradeesh, K.; Yadav, G.S.; Singh, M.; Vijaya Prakash, G. Synthesis, structure and optical studies of inorganic-organic hybrid semiconductor, NH3(CH2)12NH3PbI4. Mater. Chem. Phys. 2010, 124, 44–47. [Google Scholar] [CrossRef]
- Saikumar, S.; Ahmad, J.J.; Baumberg, G.; Vijaya Prakash, G. Fabrication of excitonic luminescent inorganic-organic hybrid nano- and microcrystals. Scr. Mater. 2012, 67, 834–837. [Google Scholar] [CrossRef]
- Staskiewicz, B.; Czupinski, O.; Czapla, Z. On some spectroscopic properties of a layered 1,3-diammoniumpropylene tetrabromocadmate hybrid crystal. J. Mol. Struct. 2014, 1074, 723–731. [Google Scholar] [CrossRef]
- Ahmad, S.; Hanmandlu, C.; Kanaujia, P.K.; Vijaya Prakash, G. Direct deposition strategy for highly ordered inorganic organic perovskite thin films and their optoelectric applications. Opt. Mater. Express 2014, 4, 1313–1323. [Google Scholar] [CrossRef]
- Wang, Y.; Ji, C.; Liu, X.; Han, S.; Zhang, J.; Sun, Z.; Khan, A.; Luo, J. (1,4-Butyldiammonium) CdBr4: A layered organic–inorganic hybrid perovskite with a visible-blind ultraviolet photoelectric response. Inorg. Chem. Front. 2018, 5, 2450–2455. [Google Scholar] [CrossRef]
- Czupinski, O.; Ingram, A.; Kostrzewa, M.; Przeslawski, J.; Czapla, Z. On the Structural phase transition in a perovskite-type diaminopropanetetrachlorocuprate(II) NH3(CH2)3NH3CuCl4 crystal. Acta Phys. Pol. A 2017, 131, 304–310. [Google Scholar] [CrossRef]
- Liang, D.; Lian, X.; Li, X.; Luo, B. Pb alloying enables efficient broadband emission of two dimensional [NH3(CH2)4NH3]CdBr4. J. Solid State Chem. 2021, 293, 121772. [Google Scholar] [CrossRef]
- Przeslawski, J.; Czapla, Z.; Crofton, M.; Dacko, S. On the “inverted” phase transitions in ferroic crystals containing propylenediammonium cations. Ferroelectrics 2018, 534, 220–227. [Google Scholar] [CrossRef]
- Svane, K.L.; Forse, A.C.; Grey, C.P.; Kieslich, G.; Cheetham, A.K.; Walsh, A.; Butler, A.K. How Strong Is the Hydrogen Bond in Hybrid Perovskites? J. Phys. Chem. Lett. 2017, 8, 6154–6159. [Google Scholar] [CrossRef] [PubMed] [Green Version]
- Zang, W.; Xiong, R.G. Ferroelectric metal-organic frameworks. Chem. Rev. 2012, 112, 1163–1195. [Google Scholar] [CrossRef] [PubMed]
- Lim, A.R.; Kim, S.H. Physicochemical property investigations of perovskite-type layer crystals [NH3(CH2)nNH3]CdCl4 (n = 2, 3, and 4) as a function of length n of CH2. ACS Omega 2021, 6, 27568–27577. [Google Scholar] [CrossRef] [PubMed]
- Correa-Baena, J.-P.; Saliba, M.; Buonassisi, T.; Gratzel, M.; Abate, A.; Tress, W.; Hagfeldt, A. Promises and Challenges of Perovskite Solar Cells. Science 2017, 358, 739–744. [Google Scholar] [CrossRef] [Green Version]
- Lin, K.; Xing, J.; Quan, L.N.; de Arquer, F.P.G.; Gong, X.; Lu, J.; Xie, L.; Zhao, W.; Zhang, D.; Yan, C. Perovskite light-emitting diodes with external quantum efficiency exceeding 20 percent. Nature 2018, 562, 245–248. [Google Scholar] [CrossRef]
- Akkerman, Q.A.; Manna, L. What defines a halide perovskite? ACS Energy Lett. 2021, 6, 1803. [Google Scholar] [CrossRef] [Green Version]
- Kind, R.; Plesko, S.; Gunter, P.; Roos, J.; Fousek, J. Structural phase transitions in the perovskite-type layer compounds NH3(CH2)3NH3CdCl4, NH3(CH2)4NH3MnCl4, and NH3(CH2)5NH3CdCl4. Phys. Rev. B 1981, 23, 5301. [Google Scholar] [CrossRef]
- Garland, J.K.; Emerson, K.; Pressprich, M.R. Structures of four- and five carbon alkyldiammonium tetrachlorocuprate (II) and tetrabromocuprate (II) salts. Acta Cryst. C 1990, 46, 1603–1609. [Google Scholar] [CrossRef]
- Filloleau, N.; Zouari, R.; Bissey, J.-C.; Chanh, N.B.; Daoud, A. EPR study of the two-dimensional molecular composite [NH3(CH2)5NH3]CuCl4: Evidence for both spin diffusion and spin anisotropies. Appl. Magn. Reson. 1998, 14, 25–35. [Google Scholar] [CrossRef]
- von Kanel, H. Magnetic and optical properties of the layer type magnets (CH2)2(ND3)2MnCl4 and (CH2)n(NH3)2CuCl4, n = 2, 3, 5. Phys. B 1979, 96, 167–193. [Google Scholar] [CrossRef]
- Lim, A.R. Dynamics of NH3(CH2)2NH3 cation in perovskite layer crystal NH3(CH2)2NH3CuCl4 by M. Solid State Commun. 2020, 312, 113862. [Google Scholar] [CrossRef]
- Yoon, M.B.; Lee, W.J.; Lim, A.R. Thermal property and structural molecular dynamics of organic-inorganic hybrid perovskite 1,4-butane diammonium tetrachlorocuprate. RSC Adv. 2020, 10, 34800–34805. [Google Scholar] [CrossRef] [PubMed]
- Lim, A.R. Structural characterization, thermal properties, and molecular motions near the phase transition in hybrid perovskite [(CH2)3(NH3)2]CuCl4 crystals:1H, 13C, and 14N nuclear magnetic resonance. Sci. Rep. 2020, 10, 20853. [Google Scholar] [CrossRef]
- Mostafa, M.F.; Hassen, A. Phase transition and electric properties of long chain Cd(II) layered perovskite. Phase Transit. 2006, 79, 305–321. [Google Scholar] [CrossRef]
- Khechoubi, M.; Bendani, A.; Chanh, N.B.; Courseille, C.; Duplessix, R.; Couzi, M. Thermal conformational changes in a bidimensional molecular composite material: A thermodynamic and crystallographic study of NH3-(CH2)4-NH3 CdCl4. J. Phys. Chem. Solids 1994, 55, 1277–1288. [Google Scholar] [CrossRef]
- Mostafa, M.F.; El-hakim, S.A. Structural phase transition and the dielectric permittivity of the model lipid bilayer [(CH2)12(NH3)2]CuCl4. Phase Transit. 2003, 76, 587–599. [Google Scholar] [CrossRef]
- Mostafa, M.F.; Youssef, A.A.A. Magnetic and electric studies of a new Cu(II) perovskite-like material. Z. Naturforsch. 2004, 59, 35–46. [Google Scholar] [CrossRef]
- Anbarasan, R.; Eniya, P.; Lakshmi, M.A.; Sundar, J.K. Structural, spectal, optical, thermal and quantum chemical investigations on ethylenediammonium tetrachloro zinc crystal for optoelectric appications. J. Mol. Struct. 2019, 1188, 165–172. [Google Scholar] [CrossRef]
- Herms, I.M.; Bretschneider, S.A.; Bergmann, V.W.; Li, D.; Klasen, A.; Mars, J.; Tremel, W.; Laquai, F.; Butt, H.-J.; Mezger, M.; et al. Ferroelastic fingerprints in methylammonium lead iodide perovskite. J. Phys. Chem. C 2016, 120, 5724–5731. [Google Scholar] [CrossRef] [Green Version]
- Strelcov, E.; Dong, Q.; Li, T.; Chae, J.; Shao, Y.; Deng, Y.; Gruverman, A.; Huang, J.; Centrone, A. CH3NH3PbI3 perovskites: Ferroelasticity revealed. Sci. Adv. 2017, 3, e1602165. [Google Scholar] [CrossRef] [Green Version]
- Maczka, M.; Ptak, M.; Vasconcelos, D.L.M.; Giriunas, L.; Freire, P.T.C.; Bertmer, M.; Banys, J.; Simenas, M. NMR and raman scattering studies of temperature- and pressure-driven phase transitions in CH3NH2NH2PbCl3 perovskite. J. Phys. Chem. C 2020, 124, 26999. [Google Scholar] [CrossRef]
- Abragam, A. The Principles of Nuclear Magnetism; Oxford University Press: Oxford, UK, 1961. [Google Scholar]
- Harris, R.K. Nuclear Magnetic Resonance Spectroscopy; Pitman Pub.: London, UK, 1983. [Google Scholar]
- Koenig, J.L. Spectroscopy of Polymers; Elsevier: New York, NY, USA, 1999. [Google Scholar]
Publisher’s Note: MDPI stays neutral with regard to jurisdictional claims in published maps and institutional affiliations. |
© 2022 by the authors. Licensee MDPI, Basel, Switzerland. This article is an open access article distributed under the terms and conditions of the Creative Commons Attribution (CC BY) license (https://creativecommons.org/licenses/by/4.0/).








