Mixed-Valent Trinuclear CoIII-CoII-CoIII Complex with 1,3-Bis(5-chlorosalicylideneamino)-2-propanol
Abstract
1. Introduction
2. Results and Discussion
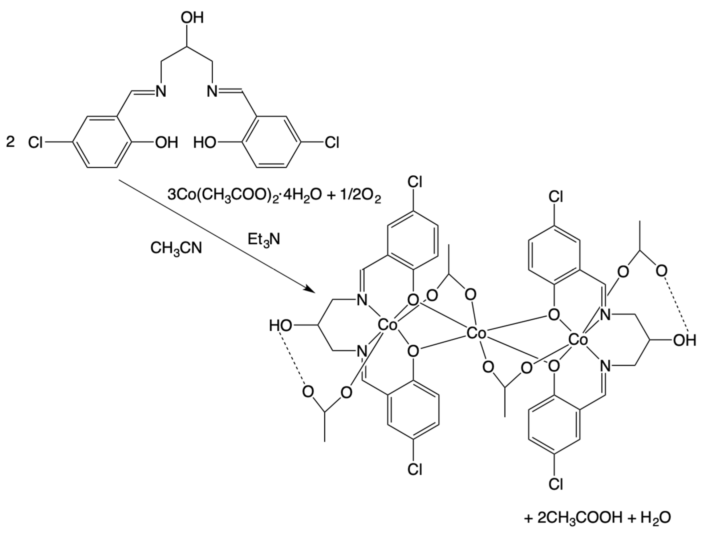
2.1. Synthesis of the Trinuclear Cobalt Complex
2.2. Infrared Spectra of the Trinuclear Cobalt Complex
2.3. Electronic Spectra of the Trinuclear Cobalt Complex
2.4. Crystal Structure of the Trinuclear Cobalt Complex
2.5. Magnetic Properties of the Trinuclear Cobalt Complex
2.6. Cyclic Voltammogram of the Trinuclear Cobalt Complex
3. Materials and Methods
4. Conclusions
Author Contributions
Funding
Institutional Review Board Statement
Informed Consent Statement
Data Availability Statement
Conflicts of Interest
Sample Availability
References
- Sinn, E.; Harris, C.M. Schiff Base Metal Complexes as Ligands. Coord. Chem. Rev. 1969, 4, 391–422. [Google Scholar] [CrossRef]
- Calligaris, M.; Nardin, G.; Randaccio, L. Structural aspects of metal complexes with some tetradentate Schiff bases. Coord. Chem. Rev. 1972, 7, 385–403. [Google Scholar] [CrossRef]
- Mederos, A.; Dominguez, S.; Hernandez-Molina, R.; Sanchiz, J.; Brito, F. Coordinating ability of ligands derived from phenylenediamines. Coord. Chem. Rev. 1999, 193–195, 857–911. [Google Scholar] [CrossRef]
- Sakamoto, M.; Manseki, K.; Okawa, H. d-f Heteronuclear complexes: Synthesis, structures and physicochemical aspects. Coord. Chem. Rev. 2001, 219–221, 379–414. [Google Scholar] [CrossRef]
- Vigato, P.A.; Tamburini, S. The challenge of cyclic and acyclic schiff bases and related derivatives. Coord. Chem. Rev. 2004, 248, 1717–2128. [Google Scholar] [CrossRef]
- Radecka-Paryzek, W.; Patroniak, V.; Lisowski, J. Metal complexes of polyaza and polyoxaaza Schiff base macrocycles. Coord. Chem. Rev. 2005, 249, 2156–2175. [Google Scholar] [CrossRef]
- Hernandez-Molina, R.; Mederos, A. Acyclic and Macrocyclic Schiff Base Ligands. In Comprehensive Coordination Chemistry II; McCleverty, J.A., Meyer, T.J., Eds.; Elsevier: Amsterdam, The Netherlands, 2004; Volume 1, pp. 411–446. [Google Scholar]
- Lewinski, J.; Prochowicz, D. Assemblies Based on Schiff Base Chemistry. In Comprehensive Supramolecular Chemistry II; Atwood, J.L., Gokel, G.W., Barbour, L.J., Eds.; Elsevier: Amsterdam, The Netherlands, 2017; Volume 6, pp. 279–304. [Google Scholar]
- Liu, X.; Hamon, J.-R. Recent developments in penta-, hexa- and heptadentate Schiff base ligands and their metal complexes. Coord. Chem. Rev. 2019, 389, 94–118. [Google Scholar] [CrossRef]
- Fukuhara, C.; Tsuneyoshi, K.; Matsumoto, N.; Kida, S.; Mikuriya, M.; Mori, M. Synthesis, and Characterization of Trinuclear Schiff-base Complexes containing Sulphur Dioxide or Hydrogensulphite Ions as Bridging Groups. Crystal Structure of [Zn{(µ-CH3CO2)(salpd-µ-O,O’)Cu}2] [salpd = propane-1,3-diylbis(salicylideneiminate)]. J. Chem. Soc. Dalton Trans. 1990, 19, 3473–3479. [Google Scholar] [CrossRef]
- Liang, H.; Wang, X.-J.; Cong, Y.-L.; Li, S.-T.; Zeng, J.-Q. Synthesis and Crystal Structure of Schiff Base N,N′-Bis(2-Hydroxybenzylidene)-2-Hydroxy-1,3-propanediamine. Jiegou Huaxue Chin. J. Struct. Chem. 1997, 16, 141–143. [Google Scholar]
- Elmali, A. Conformation and structure of 1,3-bis(2-hydroxy-5-bromosalicylideneamine)propan-2-ol. J. Chem. Crystallogr. 2000, 30, 473–477. [Google Scholar] [CrossRef]
- Mikuriya, M.; Koyama, Y.; Mitsuhashi, R. Synthesis and Crystal Structure of 1,3-Bis(5-chloro-3-methoxysalicylideneamino)-2-propanol Trihydrate. X-ray Struct. Anal. Online 2019, 35, 33–34. [Google Scholar] [CrossRef]
- Su, W.; Tian, D.; Yu, Z.; Yang, L.; Niu, Y. Crystal structure of 2-ethoxy-6-((E)-((3-(((E)-3-ethoxy-2-hydroxybenzylidene)amino)-2-hydroxypropyl)imino)methyl)phenolate, C21H26N2O5. Zeitschrift für Kristallographie New Cryst. Struct. 2020, 235, 53–54. [Google Scholar]
- Mikuriya, M.; Tsuchimoto, N.; Koyama, Y.; Mitsuhashi, R.; Tsuboi, M. Crystal Structure of 1,3-Bis(3,5-dibromosalicylideneamino)-2-propanol. X-ray Struct. Anal. Online 2022, 38, 3–5. [Google Scholar] [CrossRef]
- Mikuriya, M.; Naka, Y.; Yoshioka, D. Synthesis and Crystal Structure of 1,3-Bis(5-nitrosalicylideneamino)-2-propanol. X-ray Struct. Anal. Online 2016, 32, 11. [Google Scholar] [CrossRef]
- Mazurek, W.; Kennedy, B.J.; Murray, K.S.; O’Connor, M.J.; Rodgers, J.R.; Snow, M.R.; Wedd, A.G.; Zwack, P.R. Magnetic interactions in Metal Complexes of Binucleating Ligands. 2. Synthesis and Properties of Binuclear Copper(II) Compounds Containing Exogenous Ligands That Bridge through Two Arms. Crystal and Molecular Structure of a Binuclear µ-Pyrazolato-N,N′-Bridged Dicopper(II) Complex of 1,3-Bis(salicylideneamino)propan-2-ol. Inorg. Chem. 1985, 24, 3258–3264. [Google Scholar]
- Nishida, Y.; Kida, S. Crystal Structures and Magnetism of Binuclear Copper(II) Complexes with Alkoxide Bridges. Importance of Orbital Comlementarity in Spin Coupling through Two Different Bridging Groups. J. Chem. Soc. Dalton Trans. 1986, 15, 2633–2640. [Google Scholar] [CrossRef]
- Butcher, R.J.; Diven, G.; Erickson, G.; Mockler, G.M.; Sinn, E. Copper Complexes of Binucleating N,N′-Hydroxyalkyldiaminebis(salicylidine) Ligands containing a Cu-O-Cu Bridge and an Exogenous Bridge. Inorg. Chim. Acta 1986, 111, L55–L56. [Google Scholar] [CrossRef]
- Mikuriya, M.; Sasaki, T.; Anjiki, A.; Ikenoue, S.; Tokii, T. Binuclear Nickel(II) Complexes of Schiff Bases Derived from Salicylaldehydes and 1,n-Diamino-n’-hydroxyalkanes (n,n’ = 3,2; 4,2; and 5,3) Having an Endogenous Alkoxo Bridge and a Pyrazolato Exogenous Bridge. Bull. Chem. Soc. Jpn. 1992, 65, 334–339. [Google Scholar] [CrossRef]
- Bertoncello, K.; Fallon, G.D.; Murray, K.S.; Tiekink, E.R.T. Manganese(III) Complexes of a Binucleating Schiff-Base Ligand Based on the 1,3-Diaminopropan-2-ol Backbone. Inorg. Chem. 1991, 30, 3562–3568. [Google Scholar] [CrossRef]
- Mikuriya, M.; Yamato, Y.; Tokii, T. 1,3-Bis(salicylideneamino)-2-propanol as the Ligand for Manganese(III) Ions. Bull. Chem. Soc. Jpn. 1992, 65, 1466–1468. [Google Scholar] [CrossRef]
- Gelasco, A.; Pecoraro, V.L. [Mn(III)(2-OHsalpn)]2 Is an Efficient Functional Model for the Manganese Catalases. J. Am. Chem. Soc. 1993, 115, 7928–7929. [Google Scholar] [CrossRef]
- Gelasco, A.; Kirk, M.L.; Kampf, J.W.; Pecoraro, V.L. The [Mn2(2-OHsalpn)2]2−,−,0,+ System: Synthesis, Structure, Spectroscopy, and Magnetism of the First Structurally Characterized Dinuclear Manganese Series Containing Four Distinct Oxidation States. Inorg. Chem. 1997, 36, 1829–1837. [Google Scholar] [CrossRef] [PubMed]
- Bonadies, J.A.; Kirk, M.L.; Lah, M.S.; Kessissoglou, D.P.; Hatfield, W.E.; Pecoraro, V.L. Structurally Diverse Manganese(III) Schiff Base Complexes: Chains, Dimers, and Cages. Inorg. Chem. 1989, 28, 2037–2044. [Google Scholar] [CrossRef]
- Kou, Y.-Y.; Zhao, Q.; Wang, X.-R.; Li, M.-L.; Ren, X.-H. Synthesis of three new binuclear Mn complexes: Characterization and DNA binding and cleavage properties. J. Coord. Chem. 2019, 72, 2393–2408. [Google Scholar] [CrossRef]
- Mikuriya, M.; Koyama, Y.; Yoshioka, D.; Mitsuhashi, R. Dinuclear Manganese(III) Complex with a Schiff-base Having a Di-µ-acetato-µ-alkoxido-bridged Core. X-ray Struct. Anal. Online 2020, 36, 7–9. [Google Scholar] [CrossRef]
- Lan, Y.; Novitchi, G.; Clérac, R.; Tang, J.-K.; Madhu, N.T.; Hewitt, I.J.; Anson, C.E.; Brooker, S.; Powell, A. Di-, tetra- and hexanuclear iron(III), manganese(II/III) and copper(II) complexes of Schiff-base ligands derived from 6-substituted-2-formylphenols. Dalton Trans. 2009, 38, 1721–1727. [Google Scholar] [CrossRef]
- Mikuriya, M.; Naka, Y.; Yoshioka, D.; Handa, M. Synthesis and Crystal Structures of Dinuclear Cobalt(III) Complexes with 1,3-Bis(5-nitrosalicylideneamino)-2-propanol and 1,3-Bis(3-nitrosalicylideneamino)-2-propanol. X-ray Struct. Anal. Online 2016, 32, 55–58. [Google Scholar] [CrossRef]
- Grundhoefer, J.P.; Hardy, E.E.; West, M.M.; Curtiss, A.B.; Gorden, A.E.V. Mononuclear Cu(II) and Ni(II) complexes of bis(naphthalen-2-ol) Schiff base ligands. Inorg. Chim. Acta 2019, 484, 125–132. [Google Scholar] [CrossRef]
- Donmez, E.; Kara, H.; Karakas, A.; Unver, H.; Elmali, A. Synthesis, molecular structure, spectroscopic studies and second-order nonlinear optical behavior of N,N′-(2-hydroxy-propane-1,3-diyl)-bis(5-nitrosalicylaldiminato-N,O)-copper(II). Spectrochim. Acta 2007, A66, 1141–1146. [Google Scholar] [CrossRef]
- Kaczmarek, M.T.; Skrobanska, M.; Zabiszak, M.; Walesa-Chorab, M.; Kubicki, M.; Jastrzab, R. Coordination properties of N,N′-bis(5-methylsalicylidene)-2-hydroxy-1,3-propanediamine with d- and f-electron ions: Crystal structure, stability in solution, spectroscopic and spectroelectrochemical studies. RSC Adv. 2018, 8, 30994–31007. [Google Scholar] [CrossRef]
- Azam, M.; Hussain, Z.; Warad, I.; Al-Resayes, S.; Khan, M.S.; Shakir, M.; Trzesowska-Kruszynska, A.; Kruszynski, R. Novel Pd(II)-salen complexes showing high in vitro anti-proliferative effects against human hepatoma cancer by modulating specific regulatory genes. Dalton Trans. 2012, 41, 10854–10864. [Google Scholar] [CrossRef] [PubMed]
- Das, K.; Massera, C.; Garribba, E.; Frontera, A. Synthesis, structural and DFT interpretation of a Schiff base assisted Mn(III) derivative. J. Mol. Struct. 2020, 1199, 126985. [Google Scholar] [CrossRef]
- Martinez, D.; Motevalli, M.; Watkinson, M. Is there really a diagnostically useful relationship between the carbon-oxygen stretching frequencies in metal carboxylate complexes and their coordination mode? Dalton Trans. 2010, 39, 446–455. [Google Scholar] [CrossRef] [PubMed]
- Dieng, M.; Thiam, I.; Gaye, M.; Sall, A.S.; Barry, A.H. Synthesis, Crystal Structures and Spectroscopic Properties of a Trinuclear [Cu3(HL)2(NO3)2](H2O)(CH2CH2OH) Complex and a [Mn(HL)(CH3COOH)]n Polymer With H3L=N,N′-(2-hydroxypropane-1,3-dihyl)-bis-(salicylaldimine). Acta Chim. Slov. 2006, 53, 417–423. [Google Scholar]
- Mikuriya, M.; Tsuchimoto, N.; Koyama, Y.; Mitsuhashi, R.; Tsuboi, M. Crystal Structure of a Hydrolyzed Product of the Cobalt(III) Complex with 1-(3,5-Dichlorosalicylideneamino)-3-amino-2-propanol. X-ray Struct. Anal. Online 2022, 38, 9–11. [Google Scholar] [CrossRef]
- Dey, D.; Kaur, G.; Patra, M.; Choudhury, A.R.; Kole, N.; Biswas, B. A perfectly linear trinuclear zinc-Schiff base complex: Synthesis, luminescence property and photocatalytic activity of zinc oxide nanoparticle. Inorg. Chim. Acta 2014, 421, 335–341. [Google Scholar] [CrossRef]
- Jiang, L.; Zhang, D.-Y.; Suo, J.-J.; Gu, W.; Tian, J.-L.; Liu, X.; Yan, S.-P. Synthesis, magnetism and spectral studies of six defective dicubane tetranuclear {M4O6} (M = NiII, CoII, ZnII) and three trinuclear CdII complexes with polydentate Schiff base ligands. Dalton Trans. 2016, 45, 10233–10248. [Google Scholar] [CrossRef]
- Baca-Solis, E.; Bernés, S.; Vazquez-Lima, H.; Boulon, M.-E.; Winpenny, R.E.P.; Reyes-Ortega, Y. Synthesis, Electronic, Magnetic and Structural Characterization of New Trinuclear Mixed-Valence CoIII-CoII-CoIII Complex. ChemistrySelect 2016, 1, 6866–6871. [Google Scholar] [CrossRef]
- Mikuriya, M.; Ikenoue, S.; Nukada, R.; Lim, J.-W. Synthesis and Structural Characterization of Tetranuclear Zinc(II) Complexes with a Linear Array. Bull. Chem. Soc. Jpn. 2001, 74, 101–102. [Google Scholar] [CrossRef]
- Mikuriya, M.; Kudo, S.; Matsumoto, C.; Kurahashi, S.; Tomohara, S.; Koyama, Y.; Yoshioka, D.; Mitsuhashi, R. Mixed-valent tetranuclear manganese complexes with pentadentate Schiff-base ligand having a Y-shaped core. Chem. Pap. 2018, 72, 853–862. [Google Scholar] [CrossRef]
- Mikuriya, M.; Kurahashi, S.; Tomohara, S.; Koyama, Y.; Yoshioka, D.; Mitsuhashi, R.; Sakiyama, H. Synthesis, Crystal Structures, and Magnetic Properties of Mixed-Valent Tetranuclear Complexes with Y-Shaped MnII2MnIII2 Core. Magnetochemistry 2019, 5, 8. [Google Scholar] [CrossRef]
- Bagai, R.; Abboud, K.A.; Christou, G. Ligand-induced distortion of a tetranuclear manganese butterfly complex. Dalton Trans. 2006, 35, 3306–3312. [Google Scholar] [CrossRef] [PubMed]
- Kou, Y.-Y.; Li, M.-L.; Ren, X.-H. Synthesis, structure, and DNA binding/cleavage of two novel binuclear Co(II) complexes. Spectrochim. Acta 2018, A205, 435–441. [Google Scholar] [CrossRef] [PubMed]
- Banerjee, S.; Nandy, M.; Sen, S.; Mandal, S.; Rosair, G.M.; Slawin, A.M.Z.; Garcia, C.J.G.; Clemente-Juan, J.M.; Zangrando, E.; Guidolin, N.; et al. Isolation of four new CoII/CoIII and NiII complexes with a pentadentate Schiff base ligand: Synthesis, structural descriptions and magnetic studies. Dalton Trans. 2011, 40, 1652–1661. [Google Scholar] [CrossRef] [PubMed]
- Yang, F.-L.; Shao, F.; Zhu, G.-Z.; Shi, Y.-H.; Gao, F.; Li, X.-L. Structures and Magnetostructural Correlation Analyses for Two Novel Hexanuclear Complexes Based on a Pentadentate Schiff Base Ligand. ChemistrySelect 2017, 2, 110–117. [Google Scholar] [CrossRef]
- Mikuriya, M.; Koyama, Y.; Kamioka, C.; Mitsuhashi, R.; Tsuboi, M. Mixed-valent Manganese Complex with a Schiff-base Having a Di-µ4-oxido-di-µ3-oxido-di-µ3-carboxylato-hexa-µ-carboxylato-bridged MnII2MnIII6 Core. X-ray Struct. Anal. Online 2022, 38, 33–35. [Google Scholar] [CrossRef]
- Aromi, G.; Brechin, E.K. Synthesis of 3d Metallic Single-Molecule Magnets. In Structure and Bonding; Winpenny, R., Ed.; Springer: Berlin, Germany, 2006; Volume 122. [Google Scholar]
- Mitsuhashi, R.; Pedersen, K.S.; Ueda, T.; Suzuki, T.; Bendix, J.; Mikuriya, M. Field-induced single-molecule magnet behavior in ideal trigonal antiprismatic cobalt(II) complexes: Precise geometrical control by a hydrogen-bonded rigid metalloligand. Chem. Commun. 2018, 54, 8869–8872. [Google Scholar] [CrossRef]
- Pal, S.; Barik, A.K.; Gupta, S.; Roy, S.; Mandal, T.N.; Harza, A.; Fallah, M.S.E.; Butcher, R.J.; Peng, S.M.; Lee, G.-H.; et al. Anion dependent formation of linear trinuclear mixed valance cobalt(III/II/III) complexes and mononuclear cobalt(III) complexes of a pyrazole derived ligand—Synthesis, characterization and X-ray structures. Polyhedron 2008, 27, 357–365. [Google Scholar] [CrossRef]
- Fukuhara, C.; Asato, E.; Shimoji, T.; Katsura, K.; Mori, M.; Matsumoto, K.; Ooi, S. Mixed Oxidation State Trinuclear Cobalt Complexes with Bridging Sulphito and Schiff-base Ligands. Part 1. Preparation of the Complexes [CoII(µ-SO3)2(µ-L)2CoIII2(ROH)2] (L = Schiff base anion, R = alkyl) and Structure Determination of [CoII(µ-SO3)2(µ-a,a’-Me2-salpd)2CoIII2(PrnOH)2]·2PrnOH. J. Chem. Soc. Dalton Trans. 1987, 16, 1305–1311. [Google Scholar] [CrossRef]
- Chattopadhyay, S.; Bocelli, G.; Musatti, A.; Ghosh, A. First oxidative synthetic route of a novel linear mixed valence Co(III)—Co(II)—Co(III) complex with bridging acetate and salen. Inorg. Chem. Commun. 2006, 9, 1053–1057. [Google Scholar] [CrossRef]
- Banerjee, S.; Chen, J.-T.; Lu, C.-Z. A new trinuclear mixed-valence Co(II)-Co(III) complex stabilized by a bis(salicylidene) based ligand. Polyhedron 2007, 26, 686–694. [Google Scholar] [CrossRef]
- Chattopadhyay, S.; Drew, M.G.B.; Ghosh, A. Methylene Spacer-Regulated Structural Variation in Cobalt(II/III) Complexes with Bridging Acetate and Salen- or Salpn-Type Schiff-Base Ligands. Eur. J. Inorg. Chem. 2008, 2008, 1693–1701. [Google Scholar] [CrossRef]
- Welby, J.; Rusere, L.N.; Tanski, J.M.; Tyler, L.A. Synthesis and crystal structures of mono-, di- and trinuclear cobalt complexes of a salen type ligand. Inorg. Chim. Acta 2009, 362, 1405–1411. [Google Scholar] [CrossRef]
- Kotera, T.; Fujita, A.; Mikuriya, M.; Tsutsumi, H.; Handa, M. Cobalt complexes with 2-[(3-aminopropyl)amino]ethanethiol. Inorg. Chem. Commun. 2003, 6, 322–324. [Google Scholar] [CrossRef]
- Mikuriya, M.; Fujita, A.; Kotera, T.; Yoshioka, D.; Sakiyama, H.; Handa, M.; Tsuboi, M. Synthesis, Crystal Structures, Electronic Spectra, and Magnetic Properties of Bis(µ–Thiolato)-Bridged Trinuclear CoII Complexes with Tridentate-N,N,S-Thiolates. Adv. Sustain. Sci. Eng. Technol. 2021, 3, 0210102-01–0210102-13. [Google Scholar]
- Dong, X.-Y.; Sun, Y.-X.; Wang, L.; Li, L. Synthesis and structure of a penta- and hexa-coordinated tri-nuclear cobalt(II) complex. J. Chem. Res. 2012, 36, 387–390. [Google Scholar] [CrossRef]
- Li, X.-Y.; Kang, Q.-P.; Liu, L.-Z.; Ma, J.-C.; Dong, W.-K. Trinuclear Co(II) and Mononuclear Ni(II) Salamo-Type Bisoxime Coordination Compounds. Crystals 2018, 8, 43. [Google Scholar] [CrossRef]
- Mikuriya, M.; Yamazaki, Y. Dinuclear Manganese(III) Complex with Cyclam-based Dodecadentate Ligand Bearing Schiff-base Pendants (Cyclam = 1,4,8,11-Tetraazacyclotetradecane). Chem. Lett. 1995, 24, 373–374. [Google Scholar] [CrossRef]
- Nakamoto, K. Infrared and Raman Spectra of Inorganic and Coordination Compounds, Part B: Application in Coordination, Organometallic, and Bioinorganic Chemistry, 6th ed.; John Wiley & Sons: Hoboken, NJ, USA, 2009. [Google Scholar]
- Wada, S.; Saka, K.; Yoshioka, D.; Mikuriya, M. Synthesis, Crystal Structures, and Magnetic Properties of Dinuclear and Hexanuclear Copper(II) Complexes with Cyclam-Based Macrocyclic Ligands Having Four Schiff-Base Pendant Arms. Bull. Chem. Soc. Jpn. 2010, 83, 364–374. [Google Scholar] [CrossRef]
- Mikuriya, M.; Masuda, N.; Kakuta, Y.; Minato, S.; Inui, T.; Yoshioka, D. Mononuclear cobalt(III) complexes with N-salicylidene-2-hydroxy-5-bromobenzylamine and N-salicylidene-2-hydroxy-5-chlorobenzylamine. Chem. Pap. 2016, 70, 126–130. [Google Scholar] [CrossRef]
- Murakami, Y.; Sakata, K. Kireto Kagaku; Ueno, K., Ed.; Nankodo: Tokyo, Japan, 1976; Volume 1. (In Japanese) [Google Scholar]
- Lawrance, G.A. Introduction to Coordination Chemistry; John Wiley & Sons: Chichester, UK, 2010; pp. 113–115. [Google Scholar]
- Grobelny, R.; Melnik, M.; Mrozinski, J. Cobalt Coordination Compounds: Classification and Analysis of Crystallographic and Structural Data; Dolnoslaskie Wydawnictwo Edukacyjne: Wroclaw, Poland, 1996. [Google Scholar]
- Brown, I.D.; Wu, K.K. Empirical parameters for calculating cation-oxygen bond valences. Acta Crystallogr. Sect. B 1976, 32, 1957–1959. [Google Scholar] [CrossRef]
- Brown, I.D.; Altermatt, D. Bond-valence parameters obtained from a systematic analysis of the inorganic crystal structure database. Acta Crystallogr. Sect. B 1985, 41, 244–247. [Google Scholar] [CrossRef]
- Sakiyama, H.; Ito, R.; Kumagai, H.; Inoue, K.; Sakamoto, M.; Nishida, Y.; Yamasaki, M. Dinuclear Cobalt(II) Complexes of an Acyclic Phenol-Based Dinucleating Ligand with Four Methoxyethyl Chelating Arms—First Magnetic Analysis in an Axially Distorted Octahedral Field. Eur. J. Inorg. Chem. 2001, 2001, 2027–2032. [Google Scholar] [CrossRef]
- Sakiyama, H. Development of MagSaki software for magnetic analysis of dinuclear high-spin cobalt(II) complexes in an axially distorted octahedral field. J. Chem. Softw. 2001, 7, 171–178. [Google Scholar] [CrossRef][Green Version]
- Sakiyama, H. Development of MagSaki(A) software for the magnetic analysis of dinuclear high-spin cobalt(II) complexes considering anisotropy in exchange interaction. J. Comput. Chem. Jpn. 2007, 6, 123–134. [Google Scholar] [CrossRef][Green Version]
- Kahn, O. Molecular Magnetism; VCH: Cambridge, UK, 1993. [Google Scholar]
- Sheldrick, G.M. A short history of SHELX. Acta Crystallogr. Sect. A 2008, 64, 112–122. [Google Scholar] [CrossRef]









| Complex | [Co3(Hclsalpr)2(CH3COO)4]·8THF |
|---|---|
| Chemical formula | C74H104Cl4Co3N4O22 |
| FW | 1720.20 |
| Temperature, T (K) | 90 |
| Crystal system | monoclinic |
| Space group | C2/c |
| a (Å) | 20.244 (2) |
| b (Å) | 14.0864 (16) |
| c (Å) | 27.646 (3) |
| β (°) | 98.9610 (10) |
| V (Å3) | 7787.5 (14) |
| Z | 4 |
| Dcalcd (g cm−3) | 1.467 |
| Crystal size (mm) | 0.07 × 0.50 × 0.62 |
| μ (mm−1) | 0.845 |
| θ range for data collection (°) | 1.49–28.66 |
| Reflections collected/unique | 23,114/9103 |
| [R1(I > 2σ(I)); wR2(all data)] (a) | R1 = 0.0419 |
| ωR2 = 0.0953 | |
| GOF | 1.003 |
| [Co3(Hclsalpr)2(CH3COO)4]·8THF | |
|---|---|
| Co1···Co2 3.0383(4) | Co2···Co2i 6.0765(8) |
| Co1-O1 2.1318(15) | Co1-O3 2.0851(16) |
| Co1-O4 2.0493(16) | Co2-O1 1.9263(16) |
| Co2-O3 1.9220(15) | Co2-O5 1.9144(16) |
| Co2-O6 1.8943(15) | Co2-N1 1.9188(19) |
| Co2-N2 1.9173(19) | N1-C7 1.284(3) |
| N1-C8 1.476(3) | N2-C11 1.283(3) |
| N2-C10 1.473(3) | |
| O1-Co1-O1i (a) 180.0 | O1-Co1-O3 76.23(6) |
| O1-Co1-O3i 103.77(6) | O1-Co1-O4 84.59(6) |
| O1-Co1-O4i 95.41(6) | O3-Co1-O4 85.33(6) |
| O3-Co1-O4i 94.67(6) | O1-Co2-O3 85.13(7) |
| O1-Co2-O5 91.70(7) | O1-Co2-O6 86.01(7) |
| O1-Co2-N1 89.97(7) | O1-Co2-N2 175.73(7) |
| O3-Co2-O5 91.70(7) | O3-Co2-O6 86.35(7) |
| O3-Co2-N1 175.08(7) | O3-Co2-N2 90.60(7) |
| O5-Co2-O6 176.96(7) | O5-Co2-N1 87.98(7) |
| O5-Co2-N2 88.60(7) | O6-Co2-N1 93.76(7) |
| O6-Co2-N2 93.74(7) | N1-Co2-N2 94.30(7) |
Publisher’s Note: MDPI stays neutral with regard to jurisdictional claims in published maps and institutional affiliations. |
© 2022 by the authors. Licensee MDPI, Basel, Switzerland. This article is an open access article distributed under the terms and conditions of the Creative Commons Attribution (CC BY) license (https://creativecommons.org/licenses/by/4.0/).
Share and Cite
Mikuriya, M.; Naka, Y.; Inaoka, A.; Okayama, M.; Yoshioka, D.; Sakiyama, H.; Handa, M.; Tsuboi, M. Mixed-Valent Trinuclear CoIII-CoII-CoIII Complex with 1,3-Bis(5-chlorosalicylideneamino)-2-propanol. Molecules 2022, 27, 4211. https://doi.org/10.3390/molecules27134211
Mikuriya M, Naka Y, Inaoka A, Okayama M, Yoshioka D, Sakiyama H, Handa M, Tsuboi M. Mixed-Valent Trinuclear CoIII-CoII-CoIII Complex with 1,3-Bis(5-chlorosalicylideneamino)-2-propanol. Molecules. 2022; 27(13):4211. https://doi.org/10.3390/molecules27134211
Chicago/Turabian StyleMikuriya, Masahiro, Yuko Naka, Ayumi Inaoka, Mika Okayama, Daisuke Yoshioka, Hiroshi Sakiyama, Makoto Handa, and Motohiro Tsuboi. 2022. "Mixed-Valent Trinuclear CoIII-CoII-CoIII Complex with 1,3-Bis(5-chlorosalicylideneamino)-2-propanol" Molecules 27, no. 13: 4211. https://doi.org/10.3390/molecules27134211
APA StyleMikuriya, M., Naka, Y., Inaoka, A., Okayama, M., Yoshioka, D., Sakiyama, H., Handa, M., & Tsuboi, M. (2022). Mixed-Valent Trinuclear CoIII-CoII-CoIII Complex with 1,3-Bis(5-chlorosalicylideneamino)-2-propanol. Molecules, 27(13), 4211. https://doi.org/10.3390/molecules27134211

