Optically Transparent Gold Nanoparticles for DSSC Counter-Electrode: An Electrochemical Characterization
Abstract
:1. Introduction
2. Results and Discussion
2.1. SEM and AFM Measurements of Counter-Electrodes
2.2. Electrochemical Study
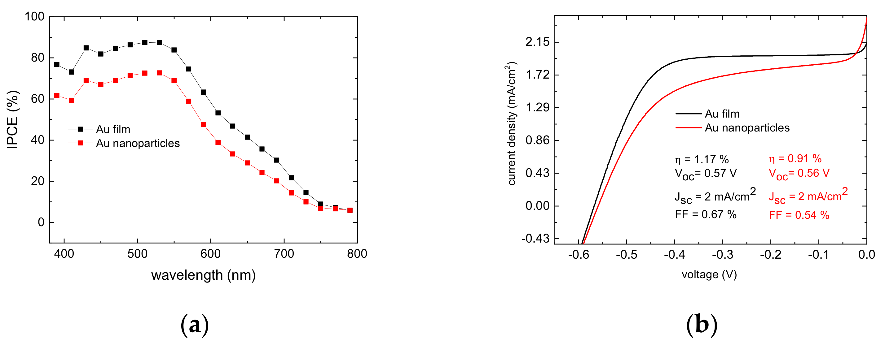
2.3. Optimized Photovoltaic Parameters
3. Materials and Methods
3.1. Synthesis of Gold Nanoparticles and Au Film
3.2. Device Fabrication
3.3. Instruments and Materials
4. Conclusions
Author Contributions
Funding
Data Availability Statement
Acknowledgments
Conflicts of Interest
References
- Grifoni, F.; Bonomo, M.; Naim, W.; Barbero, N.; Alnasser, T.; Dzeba, I.; Giordano, M.; Tsaturyan, A.; Urbani, M.; Torres, T.; et al. Toward Sustainable, Colorless, and Transparent Photovoltaics: State of the Art and Perspectives for the Development of Selective Near-Infrared Dye-Sensitized Solar Cells. Adv. Energy Mater. 2021, 11, 2101598. [Google Scholar] [CrossRef]
- Yeoh, M.-E.; Chan, K.-Y. A Review on Semitransparent Solar Cells for Real-Life Applications Based on Dye-Sensitized Technology. IEEE J. Photovolt. 2021, 11, 354–361. [Google Scholar] [CrossRef]
- Abdellatif, S.O.; Josten, S.; Khalil, A.S.G.; Erni, D.; Marlow, F. Transparency and Diffused Light Efficiency of Dye-Sensitized Solar Cells: Tuning and a New Figure of Merit. IEEE J. Photovolt. 2020, 10, 522–530. [Google Scholar] [CrossRef]
- Calogero, G.; Citro, I.; Di Marco, G.; Minicante, S.A.; Morabito, M.; Genovese, G. Brown seaweed pigment as a dye source for photoelectrochemical solar cells. Spectrochim. Acta Part A Mol. Biomol. Spectrosc. 2014, 117, 702–706. [Google Scholar] [CrossRef]
- Venkatesan, S.; Lin, W.-H.; Teng, H.; Lee, Y.-L. High-Efficiency Bifacial Dye-Sensitized Solar Cells for Application under Indoor Light Conditions. ACS Appl. Mater. Interfaces 2019, 11, 42780–42789. [Google Scholar] [CrossRef]
- Barichello, J.; Gullace, S.; Cusimano, A.; Di Marco, G.; Matteocci, F.; Calogero, G. A Photoelectrochemical Study of Hybrid Organic and Donor—Acceptor Dyes as Sensitizers for Dye-Sensitized Solar Cells. Appl. Sci. 2022, 12, 3159. [Google Scholar] [CrossRef]
- Calogero, G.; Barichello, J.; Citro, I.; Mariani, P.; Vesce, L.; Bartolotta, A.; Di Carlo, A.; Di Marco, G. Photoelectrochemical and spectrophotometric studies on dye-sensitized solar cells (DSCs) and stable modules (DSCMs) based on natural apocarotenoids pigments. Dye. Pigment. 2018, 155, 75–83. [Google Scholar] [CrossRef]
- Calogero, G.; Bartolotta, A.; Di Marco, G.; Di Carlo, A.; Bonaccorso, F. Vegetable-based dye-sensitized solar cells. Chem. Soc. Rev. 2015, 44, 3244–3294. [Google Scholar] [CrossRef]
- Bella, F.; Galliano, S.; Falco, M.; Viscardi, G.; Barolo, C.; Grätzel, M.; Gerbaldi, C. Approaching truly sustainable solar cells by the use of water and cellulose derivatives. Green Chem. 2017, 19, 1043–1051. [Google Scholar] [CrossRef]
- Minicante, S.A.; Ambrosi, E.; Back, M.; Barichello, J.; Cattaruzza, E.; Gonella, F.; Scantamburlo, E.; Trave, E. Development of an eco-protocol for seaweed chlorophylls extraction and possible applications in dye sensitized solar cells. J. Phys. D Appl. Phys. 2016, 49, 295601. [Google Scholar] [CrossRef]
- Devadiga, D.; Selvakumar, M.; Shetty, P.; Santosh, M.S. Dye-Sensitized Solar Cell for Indoor Applications: A Mini-Review. J. Electron. Mater. 2021, 50, 3187–3206. [Google Scholar] [CrossRef]
- Roslan, N.; Ya’acob, M.E.; Radzi, M.A.M.; Hashimoto, Y.; Jamaludin, D.; Chen, G. Dye Sensitized Solar Cell (DSSC) greenhouse shading: New insights for solar radiation manipulation. Renew. Sustain. Rev. 2018, 92, 171–186. [Google Scholar] [CrossRef]
- Borella, L.; Vesce, L.; Mariani, P.; Barichello, J.; di Carlo, A.; Trivellin, N.; Sforza, E. Spectral Changes by Dye Sensitized Solar Modules Influence the Pigment Composition and Productivity of Arthrospira maxima and Increase the Overall Energy Efficiency. Adv. Sustain. Syst. 2022, 6, 2100346. [Google Scholar] [CrossRef]
- Barichello, J.; Vesce, L.; Mariani, P.; Leonardi, E.; Braglia, R.; Di Carlo, A.; Canini, A.; Reale, A. Stable Semi-Transparent Dye-Sensitized Solar Modules and Panels for Greenhouse Application. Energies 2021, 14, 6393. [Google Scholar] [CrossRef]
- Tagliaferro, R.; Colonna, D.; Brown, T.M.; Reale, A.; di Carlo, A. Interplay between transparency and efficiency in dye sensitized solar cells. Opt. Express 2013, 21, 3235–3242. [Google Scholar] [CrossRef]
- Sauvage, F. A Review on Current Status of Stability and Knowledge on Liquid Electrolyte-Based Dye-Sensitized Solar Cells. Adv. Chem. 2014, 2014, 939525. [Google Scholar] [CrossRef]
- Ahmed, U.; Alizadeh, M.; Rahim, N.A.; Shahabuddin, S.; Ahmed, M.S.; Pandey, A. A comprehensive review on counter electrodes for dye sensitized solar cells: A special focus on Pt-TCO free counter electrodes. Sol. Energy 2018, 174, 1097–1125. [Google Scholar] [CrossRef]
- Yun, S.; Lund, P.D.; Hinsch, A. Stability assessment of alternative platinum free counter electrodes for dye-sensitized solar cells. Energy Environ. Sci. 2015, 8, 3495–3514. [Google Scholar] [CrossRef] [Green Version]
- Ahmad, S.; Bessho, T.; Kessler, F.; Baranoff, E.; Frey, J.; Yi, C.; Grätzel, M.; Nazeeruddin, M.K. A new generation of platinum and iodine free efficient dye-sensitized solar cells. Phys. Chem. Chem. Phys. 2012, 14, 10631–10639. [Google Scholar] [CrossRef] [Green Version]
- Marchini, E.; Caramori, S.; Bignozzi, C.; Carli, S. On the Use of PEDOT as a Catalytic Counter Electrode Material in Dye-Sensitized Solar Cells. Appl. Sci. 2021, 11, 3795. [Google Scholar] [CrossRef]
- Dao, V.-D.; Jung, S.-H.; Kim, J.-S.; Tran, Q.C.; Chong, S.-A.; Larina, L.L.; Choi, H.-S. AuNP/graphene nanohybrid prepared by dry plasma reduction as a low-cost counter electrode material for dye-sensitized solar cells. Electrochim. Acta 2015, 156, 138–146. [Google Scholar] [CrossRef]
- Noh, Y.; Song, O. Properties of an Au/Pt bilayered counter electrode in dye sensitized solar cells. Electron. Mater. Lett. 2014, 10, 981–984. [Google Scholar] [CrossRef]
- Pradhan, S.C.; Velore, J.; Hagfeldt, A.; Soman, S. Probing photovoltaic performance in copper electrolyte dye-sensitized solar cells of variable TiO2 particle size using comprehensive interfacial analysis. J. Mater. Chem. C 2022, 10, 3929–3936. [Google Scholar] [CrossRef]
- Zhang, D.; Stojanovic, M.; Ren, Y.; Cao, Y.; Eickemeyer, F.T.; Socie, E.; Vlachopoulos, N.; Moser, J.-E.; Zakeeruddin, S.M.; Hagfeldt, A.; et al. A molecular photosensitizer achieves a Voc of 1.24 V enabling highly efficient and stable dye-sensitized solar cells with copper(II/I)-based electrolyte. Nat. Commun. 2021, 12, 1777. [Google Scholar] [CrossRef] [PubMed]
- Feldt, S.M.; Gibson, E.A.; Gabrielsson, E.; Sun, L.; Boschloo, G.; Hagfeldt, A. Design of Organic Dyes and Cobalt Polypyridine Redox Mediators for High-Efficiency Dye-Sensitized Solar Cells. J. Am. Chem. Soc. 2010, 132, 16714–16724. [Google Scholar] [CrossRef]
- Bella, F.; Galliano, S.; Gerbaldi, C.; Viscardi, G. Cobalt-Based Electrolytes for Dye-Sensitized Solar Cells: Recent Advances towards Stable Devices. Energies 2016, 9, 384. [Google Scholar] [CrossRef] [Green Version]
- Marri, A.R.; Marchini, E.; Cabanes, V.D.; Argazzi, R.; Pastore, M.; Caramori, S.; Gros, P.C. Record power conversion efficiencies for iron(ii)-NHC-sensitized DSSCs from rational molecular engineering and electrolyte optimization. J. Mater. Chem. A 2020, 9, 3540–3554. [Google Scholar] [CrossRef]
- Barichello, J.; Mariani, P.; Matteocci, F.; Vesce, L.; Reale, A.; Di Carlo, A.; Lanza, M.; Di Marco, G.; Polizzi, S.; Calogero, G. The Golden Fig: A Plasmonic Effect Study of Organic-Based Solar Cells. Nanomaterials 2022, 12, 267. [Google Scholar] [CrossRef]
- Jang, Y.H.; Jang, Y.J.; Kim, S.; Quan, L.N.; Chung, K.; Kim, D.H. Plasmonic Solar Cells: From Rational Design to Mechanism Overview. Chem. Rev. 2016, 116, 14982–15034. [Google Scholar] [CrossRef]
- Gullace, S.; Nastasi, F.; Puntoriero, F.; Trusso, S.; Calogero, G. A platinum-free nanostructured gold counter electrode for DSSCs prepared by pulsed laser ablation. Appl. Surf. Sci. 2020, 506, 144690. [Google Scholar] [CrossRef]
- Lim, S.-H.; Seok, H.-J.; Kwak, M.-J.; Choi, D.-H.; Kim, S.-K.; Kim, D.-H.; Kim, H.-K. Semi-transparent perovskite solar cells with bidirectional transparent electrodes. Nano Energy 2021, 82, 105703. [Google Scholar] [CrossRef]
- Hanmandlu, C.; Chen, C.-Y.; Boopathi, K.M.; Lin, H.-W.; Lai, C.-S.; Chu, C.-W. Bifacial Perovskite Solar Cells Featuring Semitransparent Electrodes. ACS Appl. Mater. Interfaces 2017, 9, 32635–32642. [Google Scholar] [CrossRef]
- Calabrò, E.; Matteocci, F.; Paci, B.; Cina, L.; Vesce, L.; Barichello, J.; Generosi, A.; Reale, A.; di Carlo, A. Easy strategy to enhance thermal stability of planar PSCs by perovskite defect passivation and low-temperature carbon-based electrode. ACS Appl. Mater. Interfaces 2020, 12, 32536–32547. [Google Scholar] [CrossRef]
- Barichello, J.; Vesce, L.; Matteocci, F.; Lamanna, E.; di Carlo, A. The effect of water in Carbon-Perovskite Solar Cells with optimized alumina spacer. Sol. Energy Mater. Sol. Cells 2019, 197, 76–83. [Google Scholar] [CrossRef]
- Sapp, S.A.; Elliott, C.M.; Contado, C.; Caramori, S.; Bignozzi, C.A. Substituted Polypyridine Complexes of Cobalt(II/III) as Efficient Electron-Transfer Mediators in Dye-Sensitized Solar Cells. J. Am. Chem. Soc. 2002, 124, 11215–11222.e9. [Google Scholar] [CrossRef]
- Adachi, M.; Sakamoto, M.; Jiu, J.; Ogata, Y.; Isoda, S. Determination of Parameters of Electron Transport in Dye-Sensitized Solar Cells Using Electrochemical Impedance Spectroscopy. J. Phys. Chem. B 2006, 110, 13872–13880. [Google Scholar] [CrossRef]
- Fabregat-Santiago, F.; Bisquert, J.; Garcia-Belmonte, G.; Boschloo, G.; Hagfeldt, A. Influence of Electrolyte in Transport and Recombination in Dye-Sensitized Solar Cells Studied by Impedance Spectroscopy. Sol. Energy Mater. Sol. Cells 2005, 87, 117–131. [Google Scholar] [CrossRef]
- Lasia, A. Electrochemical Impedance Spectroscopy and Its Applications; Springer: Cham, Switzerland, 2014; ISBN 978-1-4614-8932-0/978-1-4614-8933-7. [Google Scholar] [CrossRef]
- Orhan, E.; Gökçen, M.; Taran, S. Synthesis of benzimidazole moiety heteroleptic ruthenium complex and use as sensitizer in dye-sensitized solar cells. Appl. Phys. A 2021, 127, 918. [Google Scholar] [CrossRef]
- Wang, P.; Zakeeruddin, S.; Humphry-Baker, R.; Moser, J.-E.; Grätzel, M. Molecular-Scale Interface Engineering of TiO2 Nanocrystals: Improve the Efficiency and Stability of Dye-Sensitized Solar Cells. Adv. Mater. 2003, 15, 2101–2104. [Google Scholar] [CrossRef]
- Nelson, J.J.; Amick, T.J.; Elliott, C.M. Mass Transport, of Polypyridyl Cobalt Complexes in Dye Sensitized Solar Cells with Mesoporous TiO2 Photoanodes. J. Phys. Chem. C 2008, 112, 18255–18263. [Google Scholar] [CrossRef]
- Kalyanasundaram, K.; Grӓtzel, M. Application of functionalized transition metal complex in photonic and optoelectronic devices. Coord. Chem. Rev. 1998, 77, 347–414. [Google Scholar] [CrossRef]
- Manna, A.; Chen, P.; Akiyama, H.; Wei, T.; Tamada, K.; Knoll, W. Optimized photoisomerization on gold nanoparticles capped by unsymmetrical azobenzene disulfides. Chem. Mater. 2003, 15, 20–28. [Google Scholar] [CrossRef]










| Cell | Catalyst | Electrolyte | Jsc (mA/cm2) | Voc (V) | FF (%) | PCE (%) |
|---|---|---|---|---|---|---|
| 1 | Gold nanoparticles | HSE | 9.7 | 0.73 | 64 | 4.53 |
| 2 | 9.79 | 0.73 | 64 | 4.54 | ||
| 3 | 9.9 | 0.73 | 63 | 4.56 | ||
| [39] | Platinum | AN50 | 12.41 | 0.7 | 53 | 4.64 |
| Hi30 | 10.34 | 0.66 | 63 | 4.35 | ||
| [40] | I−/I3− | 13.6 | 0.72 | 69 | 6.8 | |
| 4 | Gold nanoparticles | Homemade Co-based | 8.01 | 0.64 | 60 | 3.1 |
| 5 | 7.45 | 0.64 | 59 | 2.83 | ||
| 6 | 7.03 | 0.64 | 59 | 2.66 |
Publisher’s Note: MDPI stays neutral with regard to jurisdictional claims in published maps and institutional affiliations. |
© 2022 by the authors. Licensee MDPI, Basel, Switzerland. This article is an open access article distributed under the terms and conditions of the Creative Commons Attribution (CC BY) license (https://creativecommons.org/licenses/by/4.0/).
Share and Cite
Barichello, J.; Spadaro, D.; Gullace, S.; Sinopoli, A.; Calandra, P.; Irrera, A.; Matteocci, F.; Calogero, G.; Caramori, S.; Bignozzi, C.A. Optically Transparent Gold Nanoparticles for DSSC Counter-Electrode: An Electrochemical Characterization. Molecules 2022, 27, 4178. https://doi.org/10.3390/molecules27134178
Barichello J, Spadaro D, Gullace S, Sinopoli A, Calandra P, Irrera A, Matteocci F, Calogero G, Caramori S, Bignozzi CA. Optically Transparent Gold Nanoparticles for DSSC Counter-Electrode: An Electrochemical Characterization. Molecules. 2022; 27(13):4178. https://doi.org/10.3390/molecules27134178
Chicago/Turabian StyleBarichello, Jessica, Donatella Spadaro, Sara Gullace, Alessandro Sinopoli, Pietro Calandra, Alessia Irrera, Fabio Matteocci, Giuseppe Calogero, Stefano Caramori, and Carlo Alberto Bignozzi. 2022. "Optically Transparent Gold Nanoparticles for DSSC Counter-Electrode: An Electrochemical Characterization" Molecules 27, no. 13: 4178. https://doi.org/10.3390/molecules27134178
APA StyleBarichello, J., Spadaro, D., Gullace, S., Sinopoli, A., Calandra, P., Irrera, A., Matteocci, F., Calogero, G., Caramori, S., & Bignozzi, C. A. (2022). Optically Transparent Gold Nanoparticles for DSSC Counter-Electrode: An Electrochemical Characterization. Molecules, 27(13), 4178. https://doi.org/10.3390/molecules27134178

