Metabolic Evaluation of Urine from Patients Diagnosed with High Grade (HG) Bladder Cancer by SPME-LC-MS Method
Abstract
1. Introduction
2. Results
2.1. Subject’s Characteristics
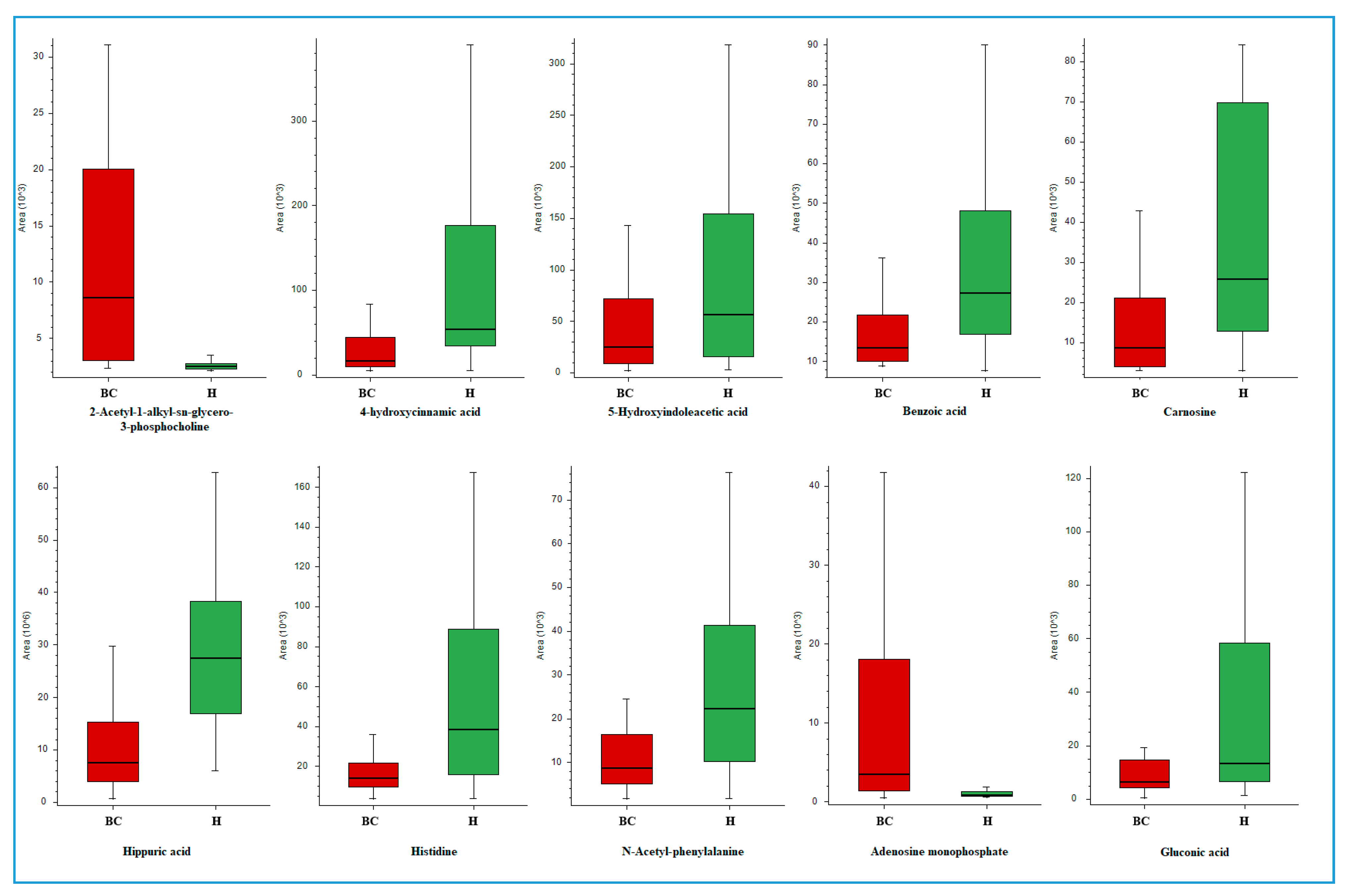
2.2. Untargeted Metabolomics Analysis
2.3. Pathway Analysis
3. Discussion
4. Materials and Methods
4.1. LC-MS Conditions
4.2. Data Processing and Statistical Analysis
5. Conclusions
Supplementary Materials
Author Contributions
Funding
Institutional Review Board Statement
Informed Consent Statement
Data Availability Statement
Acknowledgments
Conflicts of Interest
Sample Availability
References
- Turo, R.; Cross, W.; Whelan, P. Bladder cancer. Medicine (Baltimore) 2012, 40, 14–19. [Google Scholar] [CrossRef]
- Kaufman, D.S.; Shipley, W.U.; Feldman, A.S. Bladder cancer. Lancet 2009, 374, 239–249. [Google Scholar] [CrossRef]
- Chan, E.C.Y.; Pasikanti, K.K.; Hong, Y.; Ho, P.C.; Mahendran, R.; Mani, L.R.N.; Chiong, E.; Esuvaranathan, K. Metabonomic profiling of bladder cancer. J. Proteome Res. 2015, 14, 587–602. [Google Scholar] [CrossRef] [PubMed]
- Cheng, X.; Liu, X.; Liu, X.; Guo, Z.; Sun, H.; Zhang, M.; Ji, Z.; Sun, W. Metabolomics of Non-muscle Invasive Bladder Cancer: Biomarkers for Early Detection of Bladder Cancer. Front. Oncol. 2018, 8, 1–11. [Google Scholar] [CrossRef] [PubMed]
- Bouatra, S.; Aziat, F.; Mandal, R.; Guo, A.C.; Wilson, M.R.; Knox, C.; Bjorndahl, T.C.; Krishnamurthy, R.; Saleem, F.; Liu, P.; et al. The Human Urine Metabolome. PLoS ONE 2013, 8, e73076. [Google Scholar] [CrossRef] [PubMed]
- Rodrigues, D.; Jerónimo, C.; Henrique, R.; Belo, L.; De Lourdes Bastos, M.; De Pinho, P.G.; Carvalho, M. Biomarkers in bladder cancer: A metabolomic approach using in vitro and ex vivo model systems. Int. J. Cancer 2016, 139, 256–268. [Google Scholar] [CrossRef]
- Fernández-Peralbo, M.A.; Luque de Castro, M.D. Preparation of urine samples prior to targeted or untargeted metabolomics mass-spectrometry analysis. TrAC—Trends Anal. Chem. 2012, 41, 75–85. [Google Scholar] [CrossRef]
- Bojko, B.; Reyes-Garce´s, N.; Bessonneau, V.; Goryński, K.; Mousavi, F.; Souza Silva, E.A.; Pawliszyn, J. Solid-phase microextraction in metabolomics. TrAC’Trends Anal. Chem. 2014, 61, 168–180. [Google Scholar] [CrossRef]
- Cudjoe, E.; Bojko, B.; Togunde, P.; Pawliszyn, J. In vivo solid-phase microextraction for tissue bioanalysis. Bioanalysis 2012, 4, 2605–2619. [Google Scholar] [CrossRef]
- Reyes-Garcés, N.; Gionfriddo, E.; Gomez-Rios, G.A.; Alam, M.N.; Boyaci, E.; Bojko, B.; Singh, V.; Grandy, J.; Pawliszyn, J. Advances in Solid Phase Microextraction and Perspective on Future Directions. Anal. Chem. 2018, 90, 302–360. [Google Scholar] [CrossRef]
- Jaroch, K.; Boyaci, E.; Pawliszyn, J.; Bojko, B. The use of solid phase microextraction for metabolomic analysis of non-small cell lung carcinoma cell line (A549) after administration of combretastatin. Sci. Rep. 2019, 9, 1–9. [Google Scholar] [CrossRef] [PubMed]
- Kispert, S.; Marentette, J.; McHowat, J. Cigarette smoking promotes bladder cancer via increased platelet-activating factor. Physiol. Rep. 2019, 7, 1–10. [Google Scholar] [CrossRef] [PubMed]
- Loras, A.; Trassierra, M.; Sanjuan-Herráez, D.; Martínez-Bisbal, M.C.; Castell, J.V.; Quintás, G.; Ruiz-Cerdá, J.L. Bladder cancer recurrence surveillance by urine metabolomics analysis. Sci. Rep. 2018, 8, 1–10. [Google Scholar] [CrossRef]
- Mpanga, A.Y.; Siluk, D.; Jacyna, J.; Szerkus, O.; Wawrzyniak, R.; Markuszewski, M.; Matuszewski, M.; Kaliszan, R.; Markuszewski, M.J. Targeted metabolomics in bladder cancer: From analytical methods development and validation towards application to clinical samples. Anal. Chim. Acta 2018, 1037, 188–199. [Google Scholar] [CrossRef]
- Huang, Z.; Chen, Y.; Hang, W.; Gao, Y.; Lin, L.; Li, D.Y.; Xing, J.; Yan, X. Holistic metabonomic profiling of urine affords potential early diagnosis for bladder and kidney cancers. Metabolomics 2013, 9, 119–129. [Google Scholar] [CrossRef]
- Pasikanti, K.K.; Esuvaranathan, K.; Ho, P.C.; Mahendran, R.; Kamaraj, R.; Wu, Q.H.; Chiong, E.; Chun, E.; Chan, E.C.Y. Noninvasive Urinary Metabonomic Diagnosis of Human Bladder Cancer. J. Proteome Res. 2010, 9, 2988–2995. [Google Scholar] [CrossRef]
- Pasikanti, K.K.; Esuvaranathan, K.; Hong, Y.; Ho, P.C.; Mahendran, R.; Mani, L.R.N.; Chiong, E.; Chan, E.C.Y. Urinary Metabotyping of Bladder Cancer Using Two-Dimensional Gas Chromatography Time-of-Flight Mass Spectrometry. J. Proteome Res. 2013, 12, 3865–3873. [Google Scholar] [CrossRef]
- Mousavi, F.; Bojko, B.; Pawliszyn, J. High-Throughput Solid-Phase Microextraction–Liquid Chromatography–Mass Spectrometry for Microbial Untargeted Metabolomics. Microb. Metabolomics Methods Mol. Biol. 2019, 1859, 133–152. [Google Scholar]
- Boyacı, E.; Goryński, K.; Rodriguez-Lafuente, A.; Bojko, B.; Pawliszyn, J. Introduction of solid-phase microextraction as a high-throughput sample preparation tool in laboratory analysis of prohibited substances. Anal. Chim. Acta 2014, 809, 69–81. [Google Scholar] [CrossRef]
- Pubchem. U.S. National Library of Medicine National Center for Biotechnology Information. Available online: https://pubchem.ncbi.nlm.nih.gov/ (accessed on 15 October 2019).
- Yu, T.H.; Tang, W.H.; Lu, Y.C.; Wang, C.P.; Hung, W.C.; Wu, C.C.; Tsai, I.T.; Chung, F.M.; Houng, J.Y.; Lan, W.C.; et al. Association between hippuric acid and left ventricular hypertrophy in maintenance hemodialysis patients. Clin. Chim. Acta 2018, 484, 47–51. [Google Scholar] [CrossRef]
- Mao, X.; Yang, Q.; Chen, D.; Yu, B.; He, J. Benzoic Acid Used as Food and Feed Additives Can Regulate Gut Functions. BioMed Res. Int. 2019, 2019, 1–6. [Google Scholar] [CrossRef] [PubMed]
- Wang, Q.; Gao, P.; Wang, X.; Duan, Y. The early diagnosis and monitoring of metabolomics. Sci. Rep. 2014, 4, 1–9. [Google Scholar]
- Hassan, M.I.; Naiyer, A.; Ahmad, F. Fragile histidine triad protein: Structure, function, and its association with tumorogenesis. J. Cancer Res. Clin. Oncol. 2010, 136, 333–350. [Google Scholar] [CrossRef] [PubMed]
- D’Arca, D.; Lenoir, J.; Wildemore, B.; Gottardo, F.; Bragantini, E.; Shupp-Byrne, D.; Zanesi, N.; Fassan, M.; Croce, C.M.; Gomella, L.G.; et al. Prevention of urinary bladder cancer in the FHIT knock-out mouse. Urol. Oncol. 2010, 28, 189–194. [Google Scholar] [CrossRef]
- Liu, X.P.; Yin, X.H.; Yan, X.H.; Zeng, X.T.; Wang, X.H. The Clinical Relevance of Fragile Histidine Triad Protein (FHIT) in Patients with Bladder Cancer. Med. Sci. Monit. 2018, 24, 3113–3118. [Google Scholar] [CrossRef]
- Zhang, C.T.; Lu, R.; Lin, Y.L.; Liu, R.L.; Zhang, Z.H.; Yang, K.; Dang, R.F.; Zhang, H.T.; Shen, Y.G.; Kong, P.Z.; et al. The Significance of Fragile Histidine Triad Protein as a Molecular Prognostic Marker of Bladder Urothelial Carcinoma. J. Int. Med. Res. 2012, 40, 507–516. [Google Scholar] [CrossRef]
- Ye, F.; Wang, L.; Castillo-Martin, M.; McBride, R.; Galsky, M.D.; Zhu, J.; Boffetta, P.; Zhang, D.Y.; Cordon-Cardo, C. Biomarkers for bladder cancer management: Present and future. Am. J. Clin. Exp. Urol. 2014, 2, 1–14. [Google Scholar]
- Noori, S.; Mahboob, T. Antioxidant effect of carnosine pretreatment on cisplatin-induced renal oxidative stress in rats. Indian J. Clin. Biochem. 2010, 25, 86–91. [Google Scholar] [CrossRef]
- Gaunitz, F.; Hipkiss, A.R. Carnosine and cancer: A perspective. Amino Acids 2012, 43, 135–142. [Google Scholar] [CrossRef]
- Metwally, N.S.; Ali, S.A.; Mohamed, A.M.; Khaled, H.M.; Ahmed, S.A. Levels of certain tumor markers as differential factors between bilharzial and non-biharzial bladder cancer among Egyptian patients. Cancer Cell Int. 2011, 11, 1–11. [Google Scholar] [CrossRef] [PubMed]
- Tsoupras, A.B.; Iatrou, C.; Frangia, C.; Demopoulos, C.A. The Implication of Platelet Activating Factor in Cancer Growth and Metastasis: Potent Beneficial Role of PAF-Inhibitors and Antioxidants. Infect. Disord.—Drug Targets 2009, 9, 390–399. [Google Scholar] [CrossRef] [PubMed]
- Sharma, S.H.; Rajamanickam, V.; Nagarajan, S. Antiproliferative effect of p-Coumaric acid targets UPR activation by downregulating Grp78 in colon cancer. Chem. Biol. Interact. 2018, 291, 16–28. [Google Scholar] [CrossRef] [PubMed]
- Bouzaiene, N.N.; Jaziri, S.K.; Kovacic, H.; Chekir-Ghedira, L.; Ghedira, K.; Luis, J. The effects of caffeic, coumaric and ferulic acids on proliferation, superoxide production, adhesion and migration of human tumor cells in vitro. Eur. J. Pharmacol. 2015, 766, 99–105. [Google Scholar] [CrossRef]
- Rosa, L.S.; Silva, N.J.A.; Soares, N.C.P.; Monteiro, M.C.; Teodoro, A.J. Anticancer Properties of Phenolic Acids in Colon Cancer—A Review. J. Nutr. Food Sci. 2016, 6, 1–7. [Google Scholar]
- Kong, C.S.; Jeong, C.H.; Choi, J.S.; Kim, K.J.; Jeong, J.W. Antiangiogenic Effects of P-Coumaric Acid in Human Endothelial Cells. Phytother. Res. 2013, 27, 317–323. [Google Scholar] [CrossRef] [PubMed]
- Kolodziejczyk, J.; Saluk-Juszczak, J.; Wachowicz, B. In vitro study of the antioxidative properties of the glucose derivatives against oxidation of plasma components. J. Physiol. Biochem. 2011, 67, 175–183. [Google Scholar] [CrossRef] [PubMed]
- Reuter, S.; Gupta, S.C.; Chaturvedi, M.M.; Aggarwal, B.B. Oxidative stress, inflammation, and cancer: How are they linked? Free Radic. Biol. Med. 2010, 49, 1603–1616. [Google Scholar] [CrossRef]
- Mirnaghi, F.S.; Chen, Y.; Sidisky, L.M.; Pawliszyn, J. Optimization of the Coating Procedure for a High-Throughput 96-Blade Solid Phase Microextraction System Coupled with LC À MS/MS for Analysis of Complex Samples. Anal. Chem. 2011, 83, 6018–6025. [Google Scholar] [CrossRef] [PubMed]
- Vuckovic, D.; Pawliszyn, J. Systematic Evaluation of Solid-Phase Microextraction Coatings for Untargeted Metabolomic Profiling of Biological Fluids by Liquid Chromatography—Mass Spectrometry. Anal. Chem. 2011, 83, 1944–1954. [Google Scholar] [CrossRef]



| Studied Group | Group Size | Age [years] | BMI [kg/m2] | Smokers [%] | |
|---|---|---|---|---|---|
| Men | Women | ||||
| BC patients | 18 | 6 | 65 (±12.0) | 26.03 (±4.1) | 67 |
| Healthy Volunteers | 18 | 6 | 64 (±10.4) | 25.87 (±2.2) | 75 |
| Metabolites | MW | RT | VIP Score | Trend |
|---|---|---|---|---|
| Positive ionization mode | ||||
| 2-Acetyl-1-alkyl-sn-glycero-3-phosphocholine [12] | 523.3638 | 17.98 | 1.66212 | ↑ |
| 3-Dehydroxycarnitine | 145.1103 | 3.51 | 1.13186 | ↓ |
| 3-Methylxanthine [13] | 166.0491 | 1.38 | 1.80968 | ↓ |
| 4-Hydroxycinnamic acid | 164.0475 | 4.17 | 1.80279 | ↓ |
| 5-Hydroxyindoleacetic acid [13] | 191.0582 | 8.42 | 1.17858 | ↓ |
| Adenine | 135.0545 | 3.08 | 2.03098 | ↑ |
| Benzoic acid [14] | 122.0370 | 4.17 | 1.38913 | ↓ |
| Carnosine | 226.1064 | 3.95 | 1.06014 | ↓ |
| Epinephrine | 183.0896 | 8.35 | 1.52508 | ↓ |
| Hippuric acid [13,14,15] | 179.0582 | 7.83 | 2.37849 | ↓ |
| Histidine | 155.0695 | 2.14 | 1.30363 | ↓ |
| Isoniazid | 137.0589 | 7.97 | 1.43638 | ↓ |
| LysoPE(18:1) | 479.3014 | 17.55 | 1.66856 | ↑ |
| N-Acetyl-phenylalanine | 207.0896 | 9.17 | 1.73877 | ↓ |
| p-Aminobenzoic acid [13] | 137.0477 | 1.44 | 1.45154 | ↓ |
| Retinol | 286.2295 | 12.93 | 1.07027 | ↓ |
| Theophylline | 180.0648 | 6.76 | 2.21588 | ↓ |
| Negative ionization mode | ||||
| 3-(3-sulfooxyphenyl)propanoic acid | 246.0195 | 7.18 | 1.72228 | ↓ |
| Adenosine monophosphate * | 347.0631 | 1.18 | 1.60799 | ↑ |
| Gluconic acid [16,17] | 196.0587 | 1.39 | 1.74004 | ↓ |
| Hippuric acid [13,14,15] | 179.0583 | 7.81 | 2.21443 | ↓ |
| Indolelactic acid [13] | 205.0739 | 11.00 | 1.31510 | ↓ |
| Pathway Name | Metabolites |
|---|---|
| Positive Ionization Mode | |
| Phenylalanine metabolism | Benzoic acid; Hippuric acid; 4-Hydroxycinnamic acid; N-Acetyl-phenylalanine |
| Histidine metabolism | Histidine; Carnosine; |
| Caffeine metabolism | Theophylline; 3-Methylxanthine; |
| beta-Alanine metabolism | Carnosine; Histidine |
| Glycerophospholipid metabolism | LysoPE(18:1); Phosphatidyl-N-dimethylethanolamine; |
| Retinol metabolism | Retinol; |
| Ether lipid metabolism | 2-Acetyl-1-alkyl-sn-glycero-3-phosphocholine; |
| Ubiquinone and other terpenoid-quinone biosynthesis | 4-Hydroxycinnamic acid; |
| Drug metabolism—other enzymes | Isoniazid; |
| Nitrogen metabolism | Histidine; |
| Folate biosynthesis | p-Aminobenzoic acid |
| Aminoacyl-tRNA biosynthesis | Histidine |
| Tyrosine metabolism | Epinephrine; |
| Tryptophan metabolism | 5-Hydroxyindoleacetic acid |
| Purine metabolism | Adenine; |
| Negative Ionization Mode | |
| Phenylalanine metabolism | Hippuric acid; |
| Pentose phosphate pathway | Gluconic acid; |
| Nitrogen metabolism | Adenosine monophosphate; |
| Glycerophospholipid metabolism | Phosphatidyl-N-dimethylethanolamine; |
| Tryptophan metabolism | Indolelactic acid; |
| Purine metabolism | Adenosine monophosphate; |
Publisher’s Note: MDPI stays neutral with regard to jurisdictional claims in published maps and institutional affiliations. |
© 2021 by the authors. Licensee MDPI, Basel, Switzerland. This article is an open access article distributed under the terms and conditions of the Creative Commons Attribution (CC BY) license (https://creativecommons.org/licenses/by/4.0/).
Share and Cite
Łuczykowski, K.; Warmuzińska, N.; Operacz, S.; Stryjak, I.; Bogusiewicz, J.; Jacyna, J.; Wawrzyniak, R.; Struck-Lewicka, W.; Markuszewski, M.J.; Bojko, B. Metabolic Evaluation of Urine from Patients Diagnosed with High Grade (HG) Bladder Cancer by SPME-LC-MS Method. Molecules 2021, 26, 2194. https://doi.org/10.3390/molecules26082194
Łuczykowski K, Warmuzińska N, Operacz S, Stryjak I, Bogusiewicz J, Jacyna J, Wawrzyniak R, Struck-Lewicka W, Markuszewski MJ, Bojko B. Metabolic Evaluation of Urine from Patients Diagnosed with High Grade (HG) Bladder Cancer by SPME-LC-MS Method. Molecules. 2021; 26(8):2194. https://doi.org/10.3390/molecules26082194
Chicago/Turabian StyleŁuczykowski, Kamil, Natalia Warmuzińska, Sylwia Operacz, Iga Stryjak, Joanna Bogusiewicz, Julia Jacyna, Renata Wawrzyniak, Wiktoria Struck-Lewicka, Michał J. Markuszewski, and Barbara Bojko. 2021. "Metabolic Evaluation of Urine from Patients Diagnosed with High Grade (HG) Bladder Cancer by SPME-LC-MS Method" Molecules 26, no. 8: 2194. https://doi.org/10.3390/molecules26082194
APA StyleŁuczykowski, K., Warmuzińska, N., Operacz, S., Stryjak, I., Bogusiewicz, J., Jacyna, J., Wawrzyniak, R., Struck-Lewicka, W., Markuszewski, M. J., & Bojko, B. (2021). Metabolic Evaluation of Urine from Patients Diagnosed with High Grade (HG) Bladder Cancer by SPME-LC-MS Method. Molecules, 26(8), 2194. https://doi.org/10.3390/molecules26082194

