Tailoring Properties of Resol Resin-Derived Spherical Carbons for Adsorption of Phenol from Aqueous Solution
Abstract
1. Introduction
2. Results and Discussion
2.1. Effect of Grain Size and Morphology
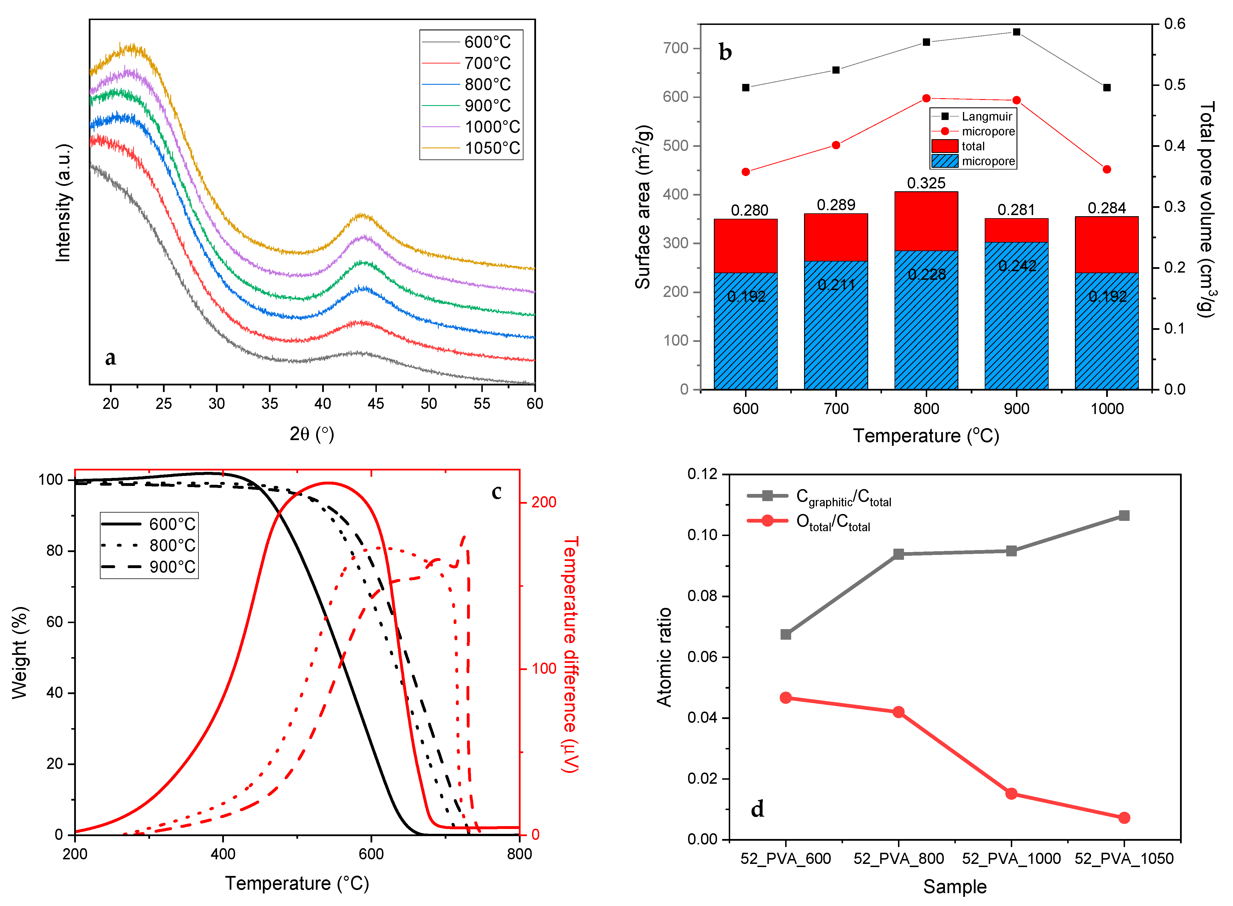
2.2. Effect of Graphitization
2.3. Effect of Surface Modification
3. Materials and Methods
3.1. Chemicals
3.2. Synthesis and Modification
- Oxidation with a concentrated HNO3 solution was done according to the following procedure: 1 g of a carbon was treated in 10 mL of the oxidant solution at 50 °C for 3 h, e.g., the HNO3 treated 52_PVA_600 sample is denoted as 52_PVA_600_ox.
- Reduction with gaseous ammonia was done with (i) heating to 250 °C in flowing N2 (heating rate of 20 °C·min−1 and total flow rate of 100 mL·min−1), (ii) the desorption of surface impurities at 250 °C for 30 min (total flow rate of 100 mL·min−1 N2), (iii) heating to 500 °C (heating rate of 20 °C·min−1 and total flow rate of 100 mL·min−1), and (iv) reduction under the ammonia atmosphere at 500 °C for 1 h (total flow rate of 30 mL·min−1), e.g., the NH3 treated 52_PVA_600 sample is denoted as 52_PVA_600_red.
- Oxidation with concentrated HNO3 solution followed by reduction with gaseous ammonia was done using the same conditions as in modifications 1 and 2, e.g., the oxidized and further NH3 treated 52_PVA_600 sample is denoted as 52_PVA_600_ox_red.
3.3. Characterization
3.4. Adsorption Tests
4. Conclusions
Author Contributions
Funding
Institutional Review Board Statement
Informed Consent Statement
Data Availability Statement
Conflicts of Interest
References
- Karpińska, J.; Kotowska, U. Removal of Organic Pollution in the Water Environment. Water 2019, 11, 2017. [Google Scholar] [CrossRef]
- European Environment Agency. Industrial Waste Water Treatment–Pressures on Europe’s Environment 2018; EEA: Luxembourg, 2019. [Google Scholar]
- Mahugo-Santana, C.; Sosa-Ferrera, Z.; Torres-Padrón, M.E.; Santana-Rodríguez, J.J. Analytical methodologies for the determination of nitroimidazole residues in biological and environmental liquid samples: A review. Anal. Chim. Acta 2010, 665, 113–122. [Google Scholar] [CrossRef] [PubMed]
- Anku, W.W.; Mamo, A.M.; Govender, P.P. Phenolic Compounds in Water: Sources, Reactivity, Toxicity and Treatment Methods. In Phenolic Compounds-Natural Sources, Importance and Applications; Soto-Hernandez, M., Palma-Tenango, M., Del Rosario Garcia-Mateos, M., Eds.; InTech: London, UK, 2017. [Google Scholar]
- Hättenschwiler, S.; Vitousek, P.M. The role of polyphenols in terrestrialecosystem nutrient cycling. Trends Ecol. Evol. 2000, 15, 238–243. [Google Scholar] [CrossRef]
- Raza, W.; Lee, J.; Raza, N.; Luo, Y.; Kim, K.-H.; Yang, J. Removal of phenolic compounds from industrial waste water based on membrane-based technologies. J. Ind. Eng. Chem. 2019, 71, 1–18. [Google Scholar] [CrossRef]
- Dąbrowski, A.; Podkościelny, P.; Hubicki, Z.; Barczak, M. Adsorption of phenolic compounds by activated carbon-a critical review. Chemosphere 2005, 58, 1049–1070. [Google Scholar] [CrossRef] [PubMed]
- Ahmaruzzaman, M. Adsorption of phenolic compounds on low-cost adsorbents: A review. Adv. Colloid Interface Sci. 2008, 143, 48–67. [Google Scholar] [CrossRef]
- Kazemi, P.; Peydayesh, M.; Bandegi, A.; Mohammadi, T.; Bakhtiari, O. Stability and extraction study of phenolic wastewater treatment by supported liquid membrane using tributyl phosphate and sesame oil as liquid membrane. Chem. Eng. Res. Des. 2013, 92, 375–383. [Google Scholar] [CrossRef]
- Villegas, L.G.C.; Mashhadi, N.; Chen, M.; Mukherjee, D.; Taylor, K.E.; Biswas, N. A Short Review of Techniques for Phenol Removal from Wastewater. Curr. Pollut. Rep. 2016, 2, 157–167. [Google Scholar] [CrossRef]
- Seredyńska-Sobecka, B.; Tomaszewska, M. The influence of ozonation on the activated carbon adsorption of phenol and humic acid. Pol. J. Chem. Technol. 2007, 9, 107–110. [Google Scholar] [CrossRef]
- Mattson, J.S.; Mark, H.B., Jr.; Malbin, M.D.; Weber, W.J., Jr.; Crittenden, J.C. Surface chemistry of active carbon: Specific adsorption of phenols. J. Colloid Interface Sci. 1969, 31, 116–130. [Google Scholar] [CrossRef]
- Terzyk, A.P. Further insights into the role of carbon surface functionalities in the mechanism of phenol adsorption. J. Colloid Interface Sci. 2003, 268, 301–329. [Google Scholar] [CrossRef]
- Lorenc-Grabowska, E.; Gryglewicz, G.; Machnikowski, J. P-chlorophenol adsorption on activated carbons with basic surface properties. Appl. Surf. Sci. 2010, 256, 4480–4487. [Google Scholar] [CrossRef]
- Lorenc-Grabowska, E.; Rutkowski, P. Micropore size distribution and surface characteristics co-influence on 4-chlorophenol adsorption mechanism from organic solvents. Langmuir 2018, 34, 10480–10490. [Google Scholar] [CrossRef] [PubMed]
- Lorenc-Grabowska, E. Effect of micropore size distribution on phenol adsorption on steam activated carbons. Adsorption 2016, 22, 599–607. [Google Scholar] [CrossRef]
- Caturla, F.; Martin-Martinez, J.M.; Molina-Sabio, M.; Rodriguez-Reinoso, F.; Torregrosa, R. Adsorption of substituted phenols on activated carbon. J. Colloid Interface Sci. 1988, 24, 234–528. [Google Scholar] [CrossRef]
- Lorenc-Grabowska, E.; Grylewicz, G.; Diez, M.A. Kinetics and equilibrium study of phenol adsorption on nitrogen-enriched activated carbons. Fuel 2013, 114, 235–243. [Google Scholar] [CrossRef]
- Lorenc-Grabowska, E.; Torchała, K.; Machnikowski, J. Usuwanie fenolu na węglach aktywnych otrzymywanych z paku antracenowego. Inżynieria i Ochrona Środowiska 2013, 16, 303–312. [Google Scholar]
- Menéndez-Díaz, A.; Martín-Gullón, I. Types of carbon adsorbents and their production. In Activated Carbon Surfaces in Environmental Remediation, 1st ed.; Bandosz, T.J., Ed.; Elsevier: Oxford, UK, 2006; Volume 7. [Google Scholar]
- Cecen, F.; Aktas, O. Activated Carbon for Water and Wastewater Treatment, 2nd ed.; Wiley-VCH: Weinheim, Germany, 2012. [Google Scholar]
- Oubagaranadin, J.U.K.; Murthy, Z.V.P. Activated Carbons: Classifications, Properties and Applications. In Activated Carbon Classifications, Properties and Applications, 1st ed.; Kwiatkowski, J.F., Ed.; Nova Science Publishers: New York, NY, USA, 2012. [Google Scholar]
- Sibera, D.; Narkiewicz, U.; Kapica, J.; Serafin, J.; Michalkiewicz, B.; Wróbel, R.J.; Morawski, A.W. Preparation and characterisation of carbon spheres for carbon dioxide capture. J. Porous Mater. 2019, 26, 19–27. [Google Scholar] [CrossRef]
- Ariyanto, T.; Kurniasari, M.; Laksmana-Rochmadi, W.T.; Prasetyo, I. Pore size control of polymer derived carbon adsorbent and its application for dye removal. Int. J. Environ. Sci. Technol. 2019, 16, 4631–4636. [Google Scholar] [CrossRef]
- Liu, J.; Qiao, S.Z.; Liu, H.; Chen, J.; Orpe, A.; Zhao, D.; Lu, G.Q.M. Extension of the Stöber Method to the Preparation of Monodisperse Resorcinol−Formaldehyde Resin Polymer and Carbon Spheres. Angew. Chem. Int. 2011, 50, 5947–5951. [Google Scholar] [CrossRef] [PubMed]
- Delgado, N.; Capparelli, A.; Navarroc, A.; Marinoa, D. Pharmaceutical emerging pollutants removal from water using powdered activated carbon: Study of kinetics and adsorption equilibrium. J. Environ. Manage. 2019, 236, 301–308. [Google Scholar] [CrossRef]
- Faizal, A.N.M.; Zaini, M.A.A. Resorcinol-Formaldehyde Carbon Gels Adsorption: A Commentary. Acta Chemica Iasi 2019, 27, 227–250. [Google Scholar] [CrossRef]
- Hayes, R.; Ahmed, A.; Edge, T.; Zhang, H. Core-shell particles: Preparation, fundamentals and applications in high performance liquid chromatography. J. Chromatogr. A 2014, 1357, 36–52. [Google Scholar] [CrossRef] [PubMed]
- Kameda, T.; Horikoshi, K.; Kumagai, S.; Saito, Y.; Yoshioka, T. Adsorption of urea, creatinine, and uric acid onto spherical activated carbon. Sep. Pur. Technol. 2019, 237, 116367. [Google Scholar] [CrossRef]
- Wang, Q.; Liang, X.Y.; Zhang, R.; Liu, C.J.; Liu, X.J.; Qiao, W.M.; Zhan, L.; Ling, L.C. Preparation of polystyrene-based activated carbon spheres and their adsorption of dibenzothiophene. New Carbon Mater. 2009, 24, 55–60. [Google Scholar] [CrossRef]
- Ye, J.; Li, X.; Li, Q.; Qiu, T.; Guo, L.; He, L.; Li, X. The building of molecular imprinted sites on the Stöber spheres of resorcinol-formaldehyde resin: In situ organic vs. inorganic imprinting method. Mater. Chem. Phys. 2019, 230, 239–248. [Google Scholar] [CrossRef]
- Long, D.; Zhang, R.; Qiao, W.; Zhang, L.; Liang, X.; Ling, L. Biomolecular adsorption behavior on spherical carbon aerogels with various mesopore sizes. J. Colloid Interface Sci. 2009, 331, 40–46. [Google Scholar] [CrossRef]
- Mao, J.; Zhuang, Q.; Peng, S.; Liu, Q.; Qian, J. Effect of modified phenolic resin on crosslinked network and performances of polyvinyl acetate blending emulsion. J. Appl. Polymer Sci. 2018, 135, 46448. [Google Scholar] [CrossRef]
- Tang, S.H.; Zaini, M.A.A. Congo Red removal by HNO3-modified resorcinol-formaldehyde carbon gels. Chem. Eng. Trans. 2017, 56, 835–840. [Google Scholar]
- Zhang, X.; Shen, N.; Yao, Z.; Wu, R. Fabrication of resorcinol-based porous resin carbon material and its application in aqueous symmetric supercapacitors. RSC Adv. 2020, 10, 11339–11347. [Google Scholar] [CrossRef]
- Girgis, B.S.; Attia, A.A.; Fathy, N.A. Potential of nano-carbon xerogels in the remediation of dye-contaminated water discharges. Desalination 2011, 265, 169–176. [Google Scholar] [CrossRef]
- Yu, J.; Guo, M.; Muhammad, F.; Wang, A.; Zhang, F.; Li, Q.; Zhu, G. One-pot synthesis of highly ordered nitrogen-containing mesoporous carbon with resorcinol-urea-formaldehyde resin for CO2 capture. Carbon 2014, 69, 205–514. [Google Scholar] [CrossRef]
- Bernal, V.; Giraldo, L.; Moreno-Piraján, J.C.; Balsamo, M.; Erto, A. Mechanisms of Methylparaben Adsorption onto Activated Carbons: Removal Tests Supported by a Calorimetric Study of the Adsorbent–Adsorbate Interactions. Molecules 2019, 24, 413. [Google Scholar] [CrossRef]
- Su, F.; Lv, L.; Hiu, T.M.; Zhao, X.S. Phenol adsorption on zeolite-templated carbons with different structural and surface properties. Carbon 2005, 43, 1156–1164. [Google Scholar] [CrossRef]
- Mojoudi, N.; Mirghaffari, N.; Soleimani, M.; Shariatmadari, H.; Belver, C.; Bedia, J. Phenol adsorption on high microporous activated carbons prepared from oily sludge: Equilibrium, kinetic and thermodynamic studies. Sci. Rep. 2019, 9, 19352. [Google Scholar] [CrossRef] [PubMed]
- Zhang, D.; Huo, P.; Liu, W. Behaviour of phenol adsorption on thermal modified activated carbon. Chin. J. Chem. Eng. 2015, 24, 446–452. [Google Scholar] [CrossRef]
- Li, J.; Yu, P.; Xie, J.; Liu, J.; Wang, Z.; Wu, C.; Rong, J.; Liu, H.; Su, D. Improving the Alkene Selectivity of Nanocarbon-Catalyzed Oxidative Dehydrogenation of n-Butane by Refinement of Oxygen Species. ACS Catal. 2017, 7, 7305–7311. [Google Scholar] [CrossRef]
- Liu, W.; Wang, C.; Herold, F.; Etzold, B.J.M.; Sub, D.; Qi, W. Oxidative dehydrogenation on nanocarbon: Effect of heteroatom doping. Appl. Catal. B Environ. 2019, 258, 117982. [Google Scholar] [CrossRef]
- Song, Y.; Liu, G.; Yuan, Z.-Y. N-, P- and B-doped mesoporous carbons for direct dehydrogenation of propane. RSC Adv. 2016, 6, 94636–94642. [Google Scholar] [CrossRef]
- Ba, H.; Liu, Y.; Truong-Phuoc, L.; Duong-Viet, C.; Nhut, J.-M.; Nguyen, D.L.; Ersen, O.; Tuci, G.; Giambastiani, G.; Pham-Huu, C. N-Doped Food-Grade-Derived 3D Mesoporous Foams as Metal-Free Systems for Catalysis. ACS Catal. 2016, 6, 1408–1419. [Google Scholar] [CrossRef]
- Pelech, I.; Soares, O.S.G.P.; Pereira, M.F.R.; Figueiredo, J.L. Oxidative dehydrogenation of isobutane on carbon xerogel catalysts. Catal. Today 2015, 249, 176–183. [Google Scholar] [CrossRef]
- Tian, S.; Yan, P.; Li, F.; Zhang, X.; Su, D.; Qi, W. Fabrication of Polydopamine Modified Carbon Nanotube Hybrids and their Catalytic Activity in Ethylbenzene Dehydrogenation. ChemCatChem 2019, 11, 2073–2078. [Google Scholar] [CrossRef]
- Cao, Y.; Mao, S.; Li, M.; Chen, Y.; Wang, Y. Metal/Porous Carbon Composites for Heterogeneous Catalysis: Old Catalysts with Improved Performance Promoted by N‑Doping. ACS Catal. 2017, 7, 8090–8112. [Google Scholar] [CrossRef]
- Szewczyk, I.; Rokicińska, A.; Michalik, M.; Chen, J.; Jaworski, A.; Aleksis, R.; Pell, A.J.; Hedin, N.; Slabon, A.; Kuśtrowski, P. Electrochemical Denitrification and Oxidative Dehydrogenation of Ethylbenzene over N-doped Mesoporous Carbon: Atomic Level Understanding of Catalytic Activity by 15N NMR Spectroscopy. Chem. Mater. 2020, 32, 7263–7273. [Google Scholar] [CrossRef]
- Largitte, L.; Pasquier, R. A review of the kinetics adsorption models and their application to the adsorption of lead by an activated carbon. Chem. Eng. Res. Des. 2016, 109, 495–504. [Google Scholar] [CrossRef]
- Wu, F.-C.; Tseng, R.-L.; Juang, R.-S. Characteristics of pseudo-second-order kinetic model for liquid-phase adsorption: A mini-review. Chem. Eng. J. 2009, 151, 1–9. [Google Scholar] [CrossRef]
Sample Availability: Samples of the materials are available from the authors. |







| Carbon Sample | Mean Grain Size (nm) | SBET (m2·g−1) | SLangmuir (m2·g−1) | Total Pore Volume (cm3·g−1) | Mesopore Volume (cm3·g−1) | Micropore Volume (cm3·g−1) |
|---|---|---|---|---|---|---|
| 52_non | 750 | 640 | 725 | 0.345 | 0.043 | 0.226 |
| 52_PVP | 200 | 511 | 604 | 0.259 | 0.051 | 0.176 |
| 52_X100 | 900 | 572 | 673 | 0.249 | 0.016 | 0.213 |
| 52_P123 | 120 | 613 | 742 | 0.403 | 0.160 | 0.206 |
| 52_PVA | 460 | 598 | 706 | 0.301 | 0.042 | 0.220 |
| 61_PVA | 230 | 577 | 702 | 0.507 | 0.066 | 0.209 |
| 131_PVA | 100 | 583 | 685 | 0.502 | 0.130 | 0.192 |
| 52_HCl | 1500 | 594 | 687 | 0.243 | 0.006 | 0.223 |
| Carbon Sample | Pseudo-First Order Model | Pseudo-Second Order Model | ||||
|---|---|---|---|---|---|---|
| Adsorption Capacity (mg·g−1) | (h−1) | R2 | Adsorption Capacity (mg·g−1) | (g·mg−1·h−1) | R2 | |
| 52_non | 96.42 | 2.361 | 0.9407 | 106.20 | 0.031 | 0.9667 |
| 52_PVP | 56.08 | 4.024 | 0.9775 | 61.32 | 0.090 | 0.9899 |
| 52_X100 | 65.99 | 0.529 | 0.9214 | 76.47 | 0.008 | 0.9697 |
| 52_P123 | 74.39 | 9.724 | 0.9387 | 79.34 | 0.183 | 0.9831 |
| 52_PVA | 86.22 | 6.413 | 0.9499 | 91.89 | 0.107 | 0.9805 |
| 61_PVA | 85.22 | 6.052 | 0.9624 | 91.43 | 0.107 | 0.9617 |
| 131_PVA | 69.01 | 20.60 | 0.8935 | 72.40 | 0.419 | 0.9930 |
| 52_HCl | 81.20 | 1.567 | 0.9923 | 91.95 | 0.021 | 0.9981 |
| Carbon Sample | O Species (at.%) | N Species (at.%) | ||||||
|---|---|---|---|---|---|---|---|---|
| C=O | O=C-O | C-O | N-O | Pyridinic | Pyrrolic | Graphitic | NOx | |
| Carbonization at 600 °C | ||||||||
| 52_PVA_600 | 1.1 | 0.7 | 2.6 | - | 0.8 | 0.4 | 0.2 | - |
| 52_PVA_600_ox | 2.4 | 5.7 | 3.2 | 4.1 | 0.9 | 0.8 | 0.2 | 2.0 |
| 52_PVA_600_red | 0.3 | 0.6 | 2.7 | - | 0.7 | 0.3 | 0.4 | - |
| 52_PVA_600_ox_red | 1.1 | 0.9 | 3.1 | - | 2.0 | 2.1 | - | - |
| Carbonization at 800 °C | ||||||||
| 52_PVA_800 | 0.6 | 1.9 | 1.5 | - | 0.5 | 0.4 | 0.6 | - |
| 52_PVA_800_ox | 2.3 | 2.8 | 0.6 | 2.3 | 0.4 | 0.3 | 0.5 | 1.1 |
| 52_PVA_800_red | 0.2 | 0.3 | 0.3 | - | 0.5 | 0.3 | 0.7 | - |
| 52_PVA_800_ox_red | 0.7 | 0.3 | 0.9 | - | 1.1 | 1.1 | 0.7 | - |
| Carbonization at 1050 °C | ||||||||
| 52_PVA_1050 | 0.3 | 0.3 | - | - | - | 0.2 | 0.4 | - |
| 52_PVA_1050_ox | 2.3 | 1.8 | 0.6 | 1.2 | 0.2 | 0.2 | 0.3 | 0.6 |
| 52_PVA_1050_red | 0.3 | 0.1 | - | 0.3 | 0.3 | - | 0.8 | - |
| 52_PVA_1050_ox_red | 0.3 | 0.1 | 0.2 | 0.4 | 0.5 | 0.6 | 0.9 | - |
| Carbon Sample | SBET (m2·g−1) | SLangmuir (m2·g−1) | Total Pore Volume (cm3·g−1) | Mesopore Volume (cm3·g−1) | Micropore Volume (cm3·g−1) |
|---|---|---|---|---|---|
| Carbonization at 600 °C | |||||
| 52_PVA_600 | 598 | 706 | 0.301 | 0.042 | 0.220 |
| 52_PVA_600_ox | 503 | 408 | 0.208 | 0.026 | 0.156 |
| 52_PVA_600_red | 581 | 679 | 0.268 | 0.027 | 0.212 |
| 52_PVA_600_ox_red | 619 | 706 | 0.286 | 0.030 | 0.224 |
| Carbonization at 800 °C | |||||
| 52_PVA_800 | 643 | 713 | 0.325 | 0.041 | 0.228 |
| 52_PVA_800_ox | 475 | 551 | 0.225 | 0.023 | 0.156 |
| 52_PVA_800_red | 552 | 642 | 0.260 | 0.030 | 0.203 |
| 52_PVA_800_ox_red | 603 | 697 | 0.275 | 0.023 | 0.227 |
| Carbonization at 1050 °C | |||||
| 52_PVA_1050 | 490 | 620 | 0.284 | 0.036 | 0.192 |
| 52_PVA_1050_ox | 545 | 636 | 0.256 | 0.026 | 0.201 |
| 52_PVA_1050_red | 574 | 673 | 0.274 | 0.034 | 0.207 |
| 52_PVA_1050_ox_red | 647 | 746 | 0.294 | 0.024 | 0.242 |
| Carbon Sample | Adsorption Capacity (mg·g−1) | (g·mg−1·h−1) | R2 |
|---|---|---|---|
| Carbonization at 600 °C | |||
| 52_PVA_600 | 91.89 | 0.107 | 0.981 |
| 52_PVA_600_ox | 52.86 | 0.002 | 0.829 |
| 52_PVA_600_red | 91.59 | 0.047 | 0.991 |
| 52_PVA_600_ox_red | 73.74 | 0.246 | 0.981 |
| Carbonization at 800 °C | |||
| 52_PVA_800 | 113.33 | 0.180 | 0.985 |
| 52_PVA_800_ox | 5.37 | 1.513 | 0.781 |
| 52_PVA_800_red | 97.52 | 0.110 | 0.956 |
| 52_PVA_800_ox_red | 95.40 | 0.108 | 0.949 |
| Carbonization at 1050 °C | |||
| 52_PVA_1050 | 150.23 | 0.193 | 0.948 |
| 52_PVA_1050_ox | 11.72 | 1.310 | 0.773 |
| 52_PVA_1050_red | 57.91 | 0.179 | 0.954 |
| 52_PVA_1050_ox_red | 114.76 | 0.102 | 0.990 |
| Sample Name | Stabilizer | Concentration (mM) | H2O:EtOH (v:v) | Initiator | Volume of Initiator Solution (mL) |
|---|---|---|---|---|---|
| 52_non | none | - | 5:2 | NH3 | 2.5 |
| 52_X100 | Triton X100 | 0.23 | 5:2 | NH3 | 2.5 |
| 52_P123 | Pluronic P123 | 0.33 | 5:2 | NH3 | 2.5 |
| 52_PVP | PVP | 0.05 | 5:2 | NH3 | 2.5 |
| 52_PVA | PVA | 0.01 | 5:2 | NH3 | 2.5 |
| 61_PVA | 0.01 | 6:1 | NH3 | 2.5 | |
| 131_PVA | 0.01 | 13:1 | NH3 | 2.5 | |
| 52_HCl | 0.01 | 5:2 | HCl | 3.6 |
Publisher’s Note: MDPI stays neutral with regard to jurisdictional claims in published maps and institutional affiliations. |
© 2021 by the authors. Licensee MDPI, Basel, Switzerland. This article is an open access article distributed under the terms and conditions of the Creative Commons Attribution (CC BY) license (http://creativecommons.org/licenses/by/4.0/).
Share and Cite
Sidor, K.; Berniak, T.; Łątka, P.; Rokicińska, A.; Michalik, M.; Kuśtrowski, P. Tailoring Properties of Resol Resin-Derived Spherical Carbons for Adsorption of Phenol from Aqueous Solution. Molecules 2021, 26, 1736. https://doi.org/10.3390/molecules26061736
Sidor K, Berniak T, Łątka P, Rokicińska A, Michalik M, Kuśtrowski P. Tailoring Properties of Resol Resin-Derived Spherical Carbons for Adsorption of Phenol from Aqueous Solution. Molecules. 2021; 26(6):1736. https://doi.org/10.3390/molecules26061736
Chicago/Turabian StyleSidor, Karol, Tomasz Berniak, Piotr Łątka, Anna Rokicińska, Marek Michalik, and Piotr Kuśtrowski. 2021. "Tailoring Properties of Resol Resin-Derived Spherical Carbons for Adsorption of Phenol from Aqueous Solution" Molecules 26, no. 6: 1736. https://doi.org/10.3390/molecules26061736
APA StyleSidor, K., Berniak, T., Łątka, P., Rokicińska, A., Michalik, M., & Kuśtrowski, P. (2021). Tailoring Properties of Resol Resin-Derived Spherical Carbons for Adsorption of Phenol from Aqueous Solution. Molecules, 26(6), 1736. https://doi.org/10.3390/molecules26061736

