Towards Enhanced MRI Performance of Tumor-Specific Dimeric Phenylboronic Contrast Agents
Abstract
1. Introduction
2. Results and Discussion
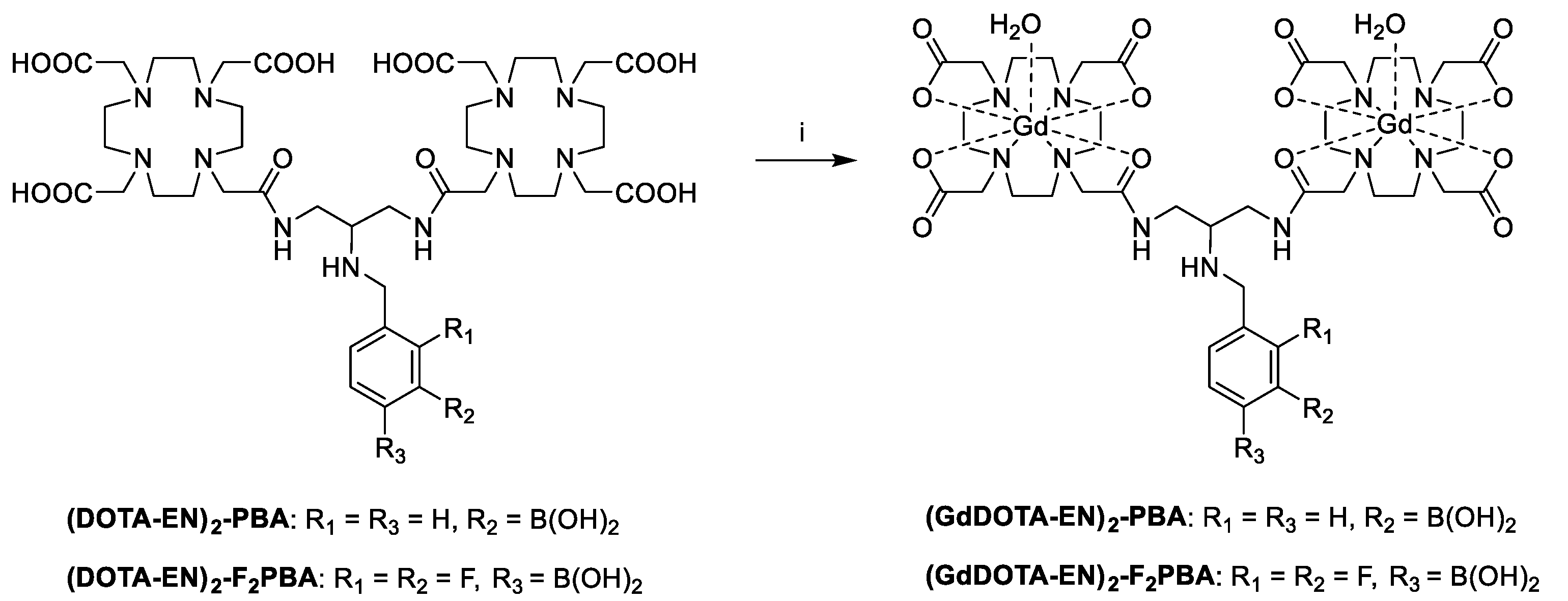
2.1. Synthesis
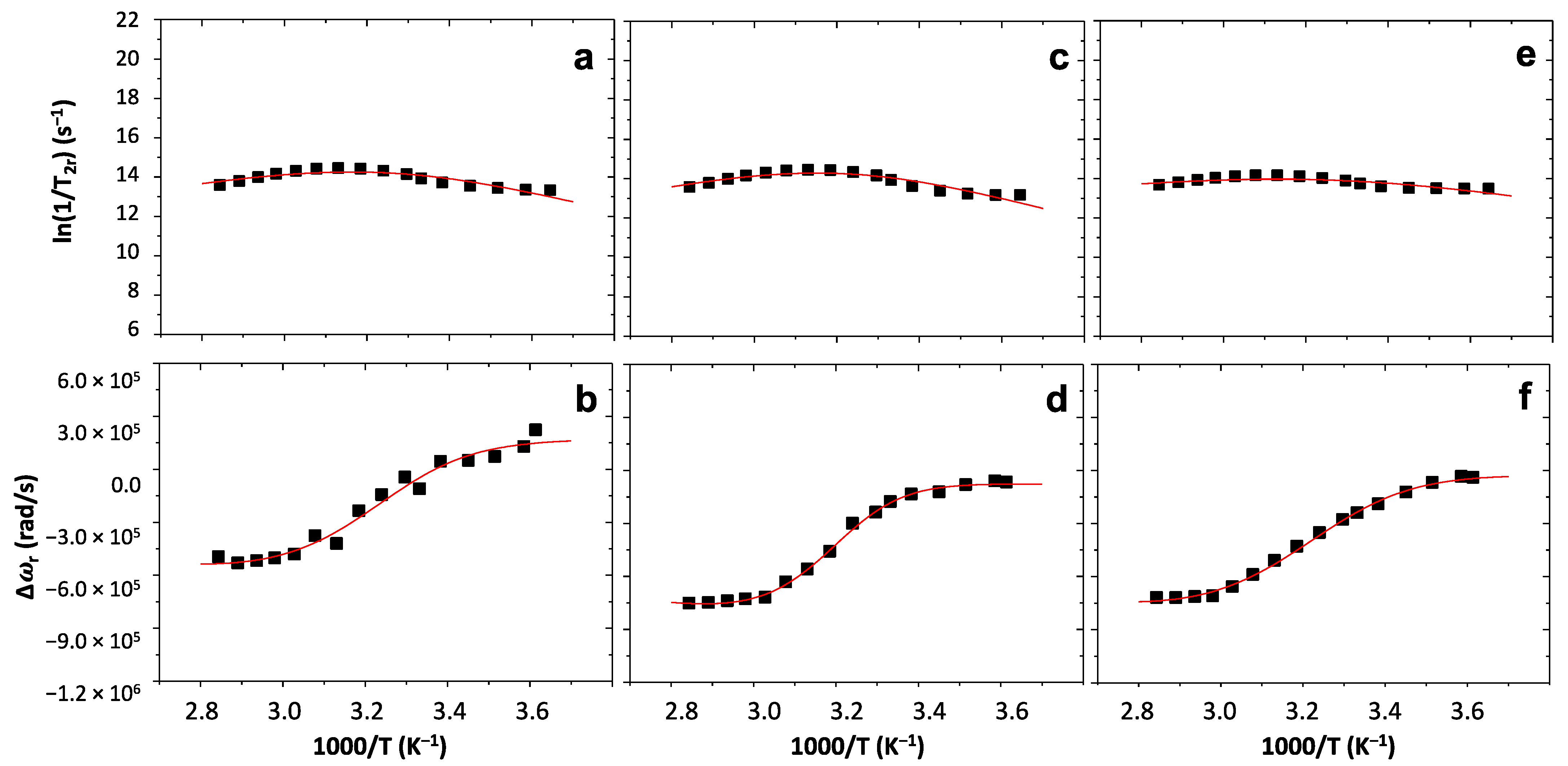
2.2. Relaxometric Characterizations
2.3. Determination of the Binding Efficacy
3. Materials and Methods
3.1. General Remarks
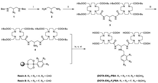
3.2. Synthesis
3.2.1. Synthesis of Precursors
1,3-Diamino-2-azidopropane dihydrochloride (2)
DOTA(Ot-Bu)3
(DOTA(Ot-Bu)3)2-1,3-diamido-2-azidopropane (3)
(DOTA(Ot-Bu)3)2-1,3-diamido-2-aminopropane (4)
3.2.2. General Procedure to Bind Formylphenylboronic Acids to DEAM-PS Resin
3.2.3. Reductive Amination between 4 and PBA-DEAM-PS Resin
3.2.4. Cleavage and Deprotection of (DOTA-EN)2-PBA and (DOTA-EN)2-F2PBA
(DOTA-EN)2-PBA
(DOTA-EN)2-F2PBA
3.2.5. General Procedure for the Preparation of GdIII complexes
3.2.6. Cell Lines and Incubation Protocol
3.2.7. Inductively Coupled Plasma Mass Spectrometry (ICP-MS)
4. Conclusions
Supplementary Materials
Author Contributions
Funding
Institutional Review Board Statement
Informed Consent Statement
Data Availability Statement
Conflicts of Interest
Sample Availability
References
- Brooks, W.L.A.; Sumerlin, B.S. Synthesis and Applications of Boronic Acid-Containing Polymers: From Materials to Medicine. Chem. Rev. 2016, 116, 1375–1397. [Google Scholar] [CrossRef]
- Schauer, R. Achievements and challenges of sialic acid research. Glycoconj. J. 2000, 17, 485–499. [Google Scholar] [CrossRef]
- Djanashvili, K.; Frullano, L.; Peters, J.A. Molecular Recognition of Sialic Acid End Groups by Phenylboronates. Chem. Eur. J. 2005, 11, 4010–4018. [Google Scholar] [CrossRef] [PubMed]
- Djanashvili, K.; Koning, G.A.; Van Der Meer, A.J.; Wolterbeek, H.T.; Peters, J.A. Phenylboronate160Tb complexes for molecular recognition of glycoproteins expressed on tumor cells. Contrast Media Mol. Imaging 2007, 2, 35–41. [Google Scholar] [CrossRef] [PubMed]
- Djanashvili, K.; Hagen, T.L.T.; Blangé, R.; Schipper, D.; Peters, J.A.; Koning, G.A. Development of a liposomal delivery system for temperature-triggered release of a tumor targeting agent, Ln(III)-DOTA-phenylboronate. Bioorg. Med. Chem. 2011, 19, 1123–1130. [Google Scholar] [CrossRef] [PubMed]
- Frullano, L.; Rohovec, J.; Aime, S.; Maschmeyer, T.; Prata, M.I.; De Lima, J.J.P.; Geraldes, C.F.G.C.; Peters, J.A. Towards Targeted MRI: New MRI Contrast Agents for Sialic Acid Detection. Chem. Eur. J. 2004, 10, 5205–5217. [Google Scholar] [CrossRef]
- Crich, S.G.; Alberti, D.; Szabó, I.; Aime, S.; Djanashvili, K. MRI Visualization of Melanoma Cells by Targeting Overexpressed Sialic Acid with a GdIII-dota-en-pba Imaging Reporter. Angew. Chem. Int. Ed. 2013, 52, 1161–1164. [Google Scholar] [CrossRef]
- Tsoukalas, C.; Geninatti-Crich, S.; Gaitanis, A.; Tsotakos, T.; Paravatou-Petsotas, M.; Aime, S.; Jiménez-Juárez, R.; Anagnostopoulos, C.D.; Djanashvili, K.; Bouziotis, P. Tumor Targeting via Sialic Acid: [68Ga]DOTA-en-pba as a New Tool for Molecular Imaging of Cancer with PET. Mol. Imaging Biol. 2018, 20, 798–807. [Google Scholar] [CrossRef]
- Martinelli, J.; Jiménez-Juárez, R.; Alberti, D.; Crich, S.G.; Djanashvili, K. Solid-phase synthesis and evaluation of tumour-targeting phenylboronate-based MRI contrast agents. Org. Biomol. Chem. 2020, 18, 7899–7906. [Google Scholar] [CrossRef]
- Yan, J.; Springsteen, G.; Deeter, S.; Wang, B. The relationship among pKa, pH, and binding constants in the interactions between boronic acids and diols—it is not as simple as it appears. Org. Biomol. Chem. 2020, 18, 7899–7906. [Google Scholar] [CrossRef]
- Arimori, S.; Hartley, J.H.; Bell, M.L.; Oh, C.S.; James, T.D. ‘Tailored’ polymers for supported syntheses using boronic acids. Tetrahedron Lett. 2000, 41, 10291–10294. [Google Scholar] [CrossRef]
- Gravel, M.; Thompson, K.A.; Zak, M.; Bérubé, C.; Hall, D.G. Universal Solid-Phase Approach for the Immobilization, Derivatization, and Resin-to-Resin Transfer Reactions of Boronic Acids. J. Org. Chem. 2001, 67, 3–15. [Google Scholar] [CrossRef]
- Hall, D.G.; Tailor, J.; Gravel, M. N,N-Diethanolaminomethyl Polystyrene: An Efficient Solid Support to Immobilize Boronic Acids. Angew. Chem. Int. Ed. 1999, 38, 3064–3067. [Google Scholar] [CrossRef]
- Livramento, J.B.; Tóth, É.; Sour, A.; Borel, A.; Merbach, A.E.; Ruloff, R. High Relaxivity Confined to a Small Molecular Space: A Metallostar-Based, Potential MRI Contrast Agent. Angew. Chem. Int. Ed. 2004, 44, 1480–1484. [Google Scholar] [CrossRef]
- Powell, D.H.; Ni Dhubhghaill, O.M.; Pubanz, D.; Helm, L.; Lebedev, Y.S.; Schlaepfer, W.; Merbach, A.E. Structural and Dynamic Parameters Obtained from 17O NMR, EPR, and NMRD Studies of Monomeric and Dimeric Gd3+Complexes of Interest in Magnetic Resonance Imaging: An Integrated and Theoretically Self-Consistent Approach1. J. Am. Chem. Soc. 1996, 118, 9333–9346. [Google Scholar] [CrossRef]
- Tei, L.; Gugliotta, G.; Avedano, S.; Giovenzana, G.B.; Botta, M. Application of the Ugi four-component reaction to the synthesis of ditopic bifunctional chelating agents. Org. Biomol. Chem. 2009, 7, 4406–4414. [Google Scholar] [CrossRef]
- Ranganathan, R.S.; Fernandez, M.E.; Kang, S.I.; Nunn, A.D.; Ratsep, P.C.; Pillai, K.M.R.; Zhang, X.; Tweedle, M.F. New Multimeric Magnetic Resonance Imaging Agents. Investig. Radiol. 1998, 33, 779–797. [Google Scholar] [CrossRef]
- Fontes, A.; Karimi, S.; Helm, L.; Yulikov, M.; Ferreira, P.M.; André, J.P. Dinuclear DOTA-Based GdIII Chelates - Revisiting a Straightforward Strategy for Relaxivity Improvement. Eur. J. Inorg. Chem. 2015, 2015, 1579–1591. [Google Scholar] [CrossRef]
- Tei, L.; Baranyai, Z.; Gaino, L.; Forgács, A.; Vágner, A.; Botta, M. Thermodynamic stability, kinetic inertness and relaxometric properties of monoamide derivatives of lanthanide(iii) DOTA complexes. Dalton Trans. 2015, 44, 5467–5478. [Google Scholar] [CrossRef] [PubMed]
- Odell, L.R.; Chau, N.; Mariana, A.; Graham, M.E.; Robinson, P.J.; McCluskey, A. Azido and Diazarinyl Analogues of Bis-Tyrphostin as Asymmetrical Inhibitors of Dynamin GTPase. ChemMedChem 2009, 4, 1182–1188. [Google Scholar] [CrossRef]
- Laurent, S.; Elst, L.V.; Henoumont, C.; Muller, R.N. How to measure the transmetallation of a gadolinium complex. Contrast Media Mol. Imaging 2010, 5, 305–308. [Google Scholar] [CrossRef] [PubMed]
- Solomon, I. Relaxation Processes in a System of Two Spins. Phys. Rev. 1955, 99, 559–565. [Google Scholar] [CrossRef]
- Bloembergen, N. Proton Relaxation Times in Paramagnetic Solutions. J. Chem. Phys. 1957, 27, 572–573. [Google Scholar] [CrossRef]
- Bloembergen, N.; Morgan, L.O. Proton Relaxation Times in Paramagnetic Solutions. Effects of Electron Spin Relaxation. J. Chem. Phys. 1961, 34, 842–850. [Google Scholar] [CrossRef]
- Freed, J.H. Dynamic effects of pair correlation functions on spin relaxation by translational diffusion in liquids. II. Finite jumps and independent T1 processes. J. Chem. Phys. 1978, 68, 4034–4037. [Google Scholar] [CrossRef]
- Swift, T.J.; Connick, R.E. NMR-Relaxation Mechanisms of O17 in Aqueous Solutions of Paramagnetic Cations and the Lifetime of Water Molecules in the First Coordination Sphere. J. Chem. Phys. 1962, 37, 307–320, Erratum in 1964, 41, 2553. [Google Scholar] [CrossRef]
- Merbach, A.; Helm, L.; Tóth, É. Relaxivity of Gadolinium(III) Complexes: Theory and Mechanism. In The Chemistry of Contrast Agents in Medical Magnetic Resonance Imaging; John Wiley & Sons Ltd.: Chichester, UK, 2013; pp. 25–81. [Google Scholar] [CrossRef]
- Tei, L.; Gugliotta, G.; Baranyai, Z.; Botta, M. A new bifunctional GdIII complex of enhanced efficacy for MR-molecular imaging applications. Dalton Trans. 2009, 9712–9714. [Google Scholar] [CrossRef]
- Crich, G.; Cabella, C.; Barge, A.; Belfiore, S.; Ghirelli, C.; Lattuada, L.; Lanzardo, S.; Mortillaro, A.; Tei, L.; Visigalli, M.; et al. In Vitro and in Vivo Magnetic Resonance Detection of Tumor Cells by Targeting Glutamine Transporters with Gd-Based Probes. J. Med. Chem. 2006, 49, 4926–4936. [Google Scholar] [CrossRef] [PubMed]
- Leone, L.; Ferrauto, G.; Cossi, M.; Botta, M.; Tei, L. Optimizing the Relaxivity of MRI Probes at High Magnetic Field Strengths with Binuclear GdIII Complexes. Front. Chem. 2018, 6, 158. [Google Scholar] [CrossRef]
- Matsuura, R.; Kaji, H.; Tomioka, A.; Sato, T.; Narimatsu, H.; Moriwaki, Y.; Misawa, H.; Imai, K.; Tsuji, S. Identification of mesothelioma-specific sialylated epitope recognized with monoclonal antibody SKM9-2 in a mucin-like membrane protein HEG1. Sci. Rep. 2018, 8, 1–13. [Google Scholar] [CrossRef]
- Tzanakakis, G.N.; Syrokou, A.; Kanakis, I.; Karamanos, N.K. Determination and distribution of N-acetyl- and N-glycolylneuraminic acids in culture media and cell-associated glycoconjugates from human malignant mesothelioma and adenocarcinoma cells. Biomed. Chromatogr. 2006, 20, 434–439. [Google Scholar] [CrossRef]
- Tatsuta, T.; Hosono, M.; Takahashi, K.; Omoto, T.; Kariya, Y.; Sugawara, S.; Hakomori, S.; Nitta, K. Sialic acid-binding lectin (leczyme) induces apoptosis to malignant mesothelioma and exerts synergistic antitumor effects with TRAIL. Int. J. Oncol. 2014, 44, 377–384. [Google Scholar] [CrossRef]
- Alberti, D.; Deagostino, A.; Toppino, A.; Protti, N.; Bortolussi, S.; Altieri, S.; Aime, S.; Crich, S.G. An innovative therapeutic approach for malignant mesothelioma treatment based on the use of Gd/boron multimodal probes for MRI guided BNCT. J. Control. Release 2018, 280, 31–38. [Google Scholar] [CrossRef] [PubMed]
- Alberti, D.; Michelotti, A.; Lanfranco, A.; Protti, N.; Altieri, S.; DeAgostino, A.; Crich, S.G. In vitro and in vivo BNCT investigations using a carborane containing sulfonamide targeting CAIX epitopes on malignant pleural mesothelioma and breast cancer cells. Sci. Rep. 2020, 10, 1–13. [Google Scholar] [CrossRef] [PubMed]
- Sasai, M.; Nakamura, H.; Sougawa, N.; Sakurai, Y.; Suzuki, M.; Lee, C.M. Novel Hyaluronan Formulation Enhances the Efficacy of Boron Neutron Capture Therapy for Murine Mesothelioma. Anticancer Res. 2016, 36, 907. [Google Scholar] [PubMed]
- Powell, D.H.; Merbach, A.E.; González, G.; Brucher, E.; Micskei, K.; Ottaviani, M.F.; Köhler, K.; Von Zelewsky, A.; Grinberg, O.Y.; Lebedev, Y.S. Magnetic field-dependent electronic relaxation of Gd3+ in aqueous solutions of the complexes [Gd(H2O)8]3+, [Gd(propane-1,3-diamine-N,N,N′,N′-tetraacetate)(H2O)2]−, and [Gd(N,N′-bis[(N-methylcarbamoyl)methyl]-3-azapentane-1,5-diamine-3,N,N′-triacetate)(H2O)] of interest in magnetic-resonance imaging. Helv. Chim. Acta 1993, 76, 2129–2146. [Google Scholar]
- Helm, L. Relaxivity in paramagnetic systems: Theory and mechanism. Prog. Nucl. Magn. Reson. Spectrosc. 2006, 49, 45–64. [Google Scholar] [CrossRef]
- Costa, J.; Ruloff, R.; Burai, L.; Helm, L.; Merbach, A.E. Rigid MIIL2Gd2III (M = Fe, Ru) complexes of a terpyridine-based heteroditopic chelate: A class of candidates for MRI contrast agents. J. Am. Chem. Soc. 2005, 127, 5147–5157. [Google Scholar] [CrossRef] [PubMed]









| Parameter | GdIII-DOTA-EN-PBA b | GdIII-DOTA-EN-F2PBA b | (GdIII-DOTA-EN)2-PBA | (GdIII-DOTA-EN)2-F2PBA |
|---|---|---|---|---|
| 20MHzr1p [mM−1 s−1] | 6.2 ± 0.1 | 5.8 ± 0.1 | 8.7 ± 0.1 | 8.2 ± 0.1 |
| τR [ps] | 109 ± 9 | 102 ± 2 | 212 ± 2 | 203 ± 2 |
| Δ² [1019 s−2] | 1.9 ± 0.1 | 2.1 ± 0.1 | 1.5 ± 0.1 | 1.6 ± 0.1 |
| τv [ps] | 32 ± 1 | 29 ± 1 | 40 ± 1 | 38 ± 1 |
| τM [ns] | 471 ± 19 | 486 ± 27 | 471b | 510 ± 18 |
| ΔHM [kJ mol−1] | 40 ± 4 | 37 ± 4 | - | 36 ± 1 |
| A/h [106 rad s−1] | −3.3 ± 0.1 | −3.3 ± 0.1 | - | −3.3 ± 0.1 |
Publisher’s Note: MDPI stays neutral with regard to jurisdictional claims in published maps and institutional affiliations. |
© 2021 by the authors. Licensee MDPI, Basel, Switzerland. This article is an open access article distributed under the terms and conditions of the Creative Commons Attribution (CC BY) license (http://creativecommons.org/licenses/by/4.0/).
Share and Cite
Martinelli, J.; Tei, L.; Geninatti Crich, S.; Alberti, D.; Djanashvili, K. Towards Enhanced MRI Performance of Tumor-Specific Dimeric Phenylboronic Contrast Agents. Molecules 2021, 26, 1730. https://doi.org/10.3390/molecules26061730
Martinelli J, Tei L, Geninatti Crich S, Alberti D, Djanashvili K. Towards Enhanced MRI Performance of Tumor-Specific Dimeric Phenylboronic Contrast Agents. Molecules. 2021; 26(6):1730. https://doi.org/10.3390/molecules26061730
Chicago/Turabian StyleMartinelli, Jonathan, Lorenzo Tei, Simonetta Geninatti Crich, Diego Alberti, and Kristina Djanashvili. 2021. "Towards Enhanced MRI Performance of Tumor-Specific Dimeric Phenylboronic Contrast Agents" Molecules 26, no. 6: 1730. https://doi.org/10.3390/molecules26061730
APA StyleMartinelli, J., Tei, L., Geninatti Crich, S., Alberti, D., & Djanashvili, K. (2021). Towards Enhanced MRI Performance of Tumor-Specific Dimeric Phenylboronic Contrast Agents. Molecules, 26(6), 1730. https://doi.org/10.3390/molecules26061730

