Investigation of the Aquatic Photolytic and Photocatalytic Degradation of Citalopram
Abstract
:1. Introduction
2. Results and Discussion
2.1. Irradiation Experiments
2.1.1. Natural Sunlight Experiments
2.1.2. Simulated Solar Irradiation Experiments
2.1.3. Photocatalytic Experiments
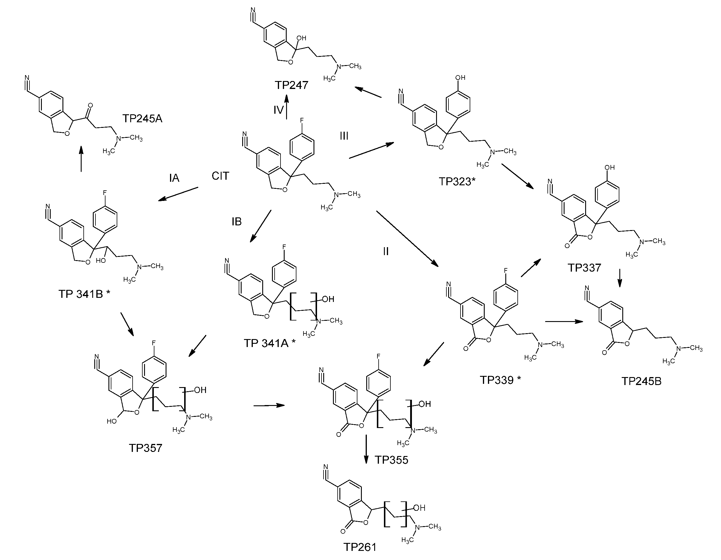
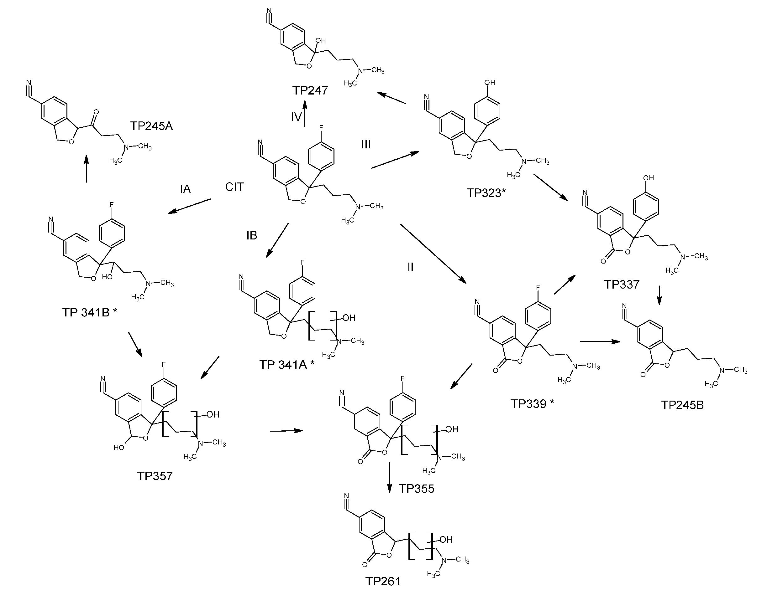
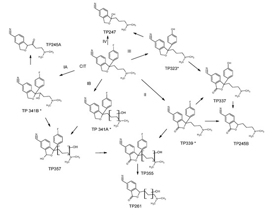
2.2. Identification and Evolution of TPs
2.3. Toxicity Assessment
3. Materials and Methods
3.1. Reagents and Materials
3.2. Sample Collection
3.3. Irradiation Procedures
3.3.1. Natural Sunlight Irradiation
3.3.2. Simulated Solar Irradiation
3.3.3. Photocatalytic Experiments
3.4. Analytical Procedures
3.5. Identification of By-Products
3.6. Toxicity Measurements
4. Conclusions
Supplementary Materials
Author Contributions
Funding
Data Availability Statement
Conflicts of Interest
Sample Availability
References
- United Nations. Sustainable Development Goals. Available online: https://www.un.org/sustainabledevelopment/ (accessed on 21 August 2021).
- Montes-Grajales, D.; Fennix-Agudelo, M.; Miranda-Castro, W. Occurrence of personal care products as emerging chemicals of concern in water resources: A review. Sci. Total Environ. 2017, 595, 601–614. [Google Scholar] [CrossRef]
- Ebele, A.J.; Abdallah, M.A.-E.; Harrad, S. Pharmaceuticals and personal care products (PPCPs) in the freshwater aquatic environment. Emerg. Contam. 2017, 3, 1–16. [Google Scholar] [CrossRef]
- Hörsing, M.; Kosjek, T.; Andersen, H.R.; Heath, E.; Ledin, A. Fate of citalopram during water treatment with O3, ClO2, UV and fenton oxidation. Chemosphere 2012, 89, 129–135. [Google Scholar] [CrossRef]
- Patel, M.; Kumar, R.; Kishor, K.; Mlsna, T.; Pittman, C.U.; Mohan, D. Pharmaceuticals of emerging concern in aquatic systems: Chemistry, occurrence, effects, and removal methods. Chem. Rev. 2019, 119, 3510–3673. [Google Scholar] [CrossRef] [Green Version]
- Osawa, R.A.; Carvalho, A.P.; Monteiro, O.C.; Oliveira, M.C.; Florêncio, M.H. Transformation products of citalopram: Identification, wastewater analysis and in silico toxicological assessment. Chemosphere 2019, 217, 858–868. [Google Scholar] [CrossRef] [PubMed]
- Kwon, J.W.; Armbrust, K.L. Degradation of citalopram by simulated sunlight. Environ. Toxicol. Chem. 2005, 24, 1618–1623. [Google Scholar] [CrossRef] [PubMed]
- Hossain, M.S.; Kubec, J.; Guo, W.; Roje, S.; Ložek, F.; Grabicová, K.; Randák, T.; Kouba, A.; Buřič, M. A combination of six psychoactive pharmaceuticals at environmental concentrations alter the locomotory behavior of clonal marbled crayfish. Sci. Total Environ. 2021, 751, 141383. [Google Scholar] [CrossRef] [PubMed]
- Molé, R.A.; Good, C.J.; Stebel, E.K.; Higgins, J.F.; Pitell, S.A.; Welch, A.R.; Minarik, T.A.; Schoenfuss, H.L.; Edmiston, P.L. Correlating effluent concentrations and bench-scale experiments to assess the transformation of endocrine active compounds in wastewater by UV or chlorination disinfection. Chemosphere 2019, 226, 565–575. [Google Scholar] [CrossRef] [PubMed]
- Canonica, S.; Jans, U.R.S.; Stemmler, K.; Hoigne, J. Transformation kinetics of phenols in water: Photosensitization by dissolved natural organic material and aromatic ketones. Environ. Sci. Technol. 1995, 29, 1822–1831. [Google Scholar] [CrossRef]
- Vaughan, P.P.; Blough, N.V. Photochemical formation of hydroxyl radical by constituents of natural waters. Environ. Sci. Technol. 1998, 32, 2947–2953. [Google Scholar] [CrossRef]
- Mopper, K.; Zhou, X. Hydroxyl radical photoproduction in the sea and its potential impact on marine processes. Science 1990, 250, 661–664. [Google Scholar] [CrossRef]
- Vione, D.; Minella, M.; Maurino, V.; Minero, C. Indirect photochemistry in sunlit surface waters: Photoinduced production of reactive transient species. Chem. Eur. J. 2014, 20, 10590–10606. [Google Scholar] [CrossRef]
- Zepp, R.G.; Schlotzhauer, P.F.; Sink, R.M. Photosensitized transformations involving electronic energy transfer in natural waters: Role of humic substances. Environ. Sci. Technol. 1985, 19, 74–81. [Google Scholar] [CrossRef]
- Peterson, B.M.; McNally, A.M.; Cory, R.M.; Thoemke, J.D.; Cotner, J.B.; McNeill, K. Spatial and temporal distribution of singlet oxygen in Lake Superior. Environ. Sci. Technol. 2012, 46, 7222–7229. [Google Scholar] [CrossRef]
- Cooper, W.J.; Zika, R.G.; Petasne, R.G.; Plane, J.M. Photochemical formation of hydrogen peroxide in natural waters exposed to sunlight. Environ. Sci. Technol. 1988, 22, 1156–1160. [Google Scholar] [CrossRef]
- Minguez, L.; Farcy, E.; Ballandonne, C.; Lepailleur, A.; Serpentini, A.; Lebel, J.M.; Bureau, R.; Halm-Lemeille, M.P. Acute toxicity of 8 antidepressants: What are their modes of action? Chemosphere 2014, 108, 314–319. [Google Scholar] [CrossRef]
- Ziegler, M.; Knoll, S.; Köhler, H.-R.; Tisler, S.; Huhn, C.; Zwiener, C.; Triebskorn, R. Impact of the antidepressant citalopram on the behaviour of two different life stages of brown trout. PeerJ 2020, 8, e8765. [Google Scholar] [CrossRef]
- Styrishave, B.; Halling-Sørensen, B.; Ingerslev, F. Environmental risk assessment of three selective serotonin reuptake inhibitors in the aquatic environment: A case study including a cocktail scenario. Environ. Toxicol. Chem. 2011, 30, 254–261. [Google Scholar] [CrossRef]
- Suarez, S.; Lema, J.M.; Omil, F. Removal of Pharmaceutical and personal care products (PPCPs) under nitrifying and denitrifying conditions. Water Res. 2010, 44, 3214–3224. [Google Scholar] [CrossRef]
- Boreen, A.L.; Arnold, W.A.; McNeill, K. Photodegradation of pharmaceuticals in the aquatic environment: A review. Aquat. Sci. 2003, 65, 320–341. [Google Scholar] [CrossRef]
- Trawiński, J.; Skibiński, R. Studies on photodegradation process of psychotropic drugs: A review. Environ. Sci. Pollut. Res. 2017, 24, 1152–1199. [Google Scholar] [CrossRef] [Green Version]
- Gopinath, K.P.; Madhav, N.V.; Krishnan, A.; Malolan, R.; Rangarajan, G. Present applications of titanium dioxide for the photocatalytic removal of pollutants from water: A review. J. Environ. Manag. 2020, 270, 110906. [Google Scholar] [CrossRef]
- Kanan, S.; Moyet, M.A.; Arthur, R.B.; Patterson, H.H. Recent advances on TiO2-based photocatalysts toward the degradation of pesticides and major organic pollutants from water bodies. Catal. Rev. 2020, 62, 1–65. [Google Scholar] [CrossRef]
- Takeda, K.; Takedoi, H.; Yamaji, S.; Ohta, K.; Sakugawa, H. Determination of Hydroxyl radical photoproduction rates in natural waters. Anal. Sci. 2004, 20, 153–158. [Google Scholar] [CrossRef] [Green Version]
- Jiménez-Holgado, C.; Sakkas, V.; Richard, C. Phototransformation of three psychoactive drugs in presence of sedimental water extractable organic matter. Molecules 2021, 26, 2466. [Google Scholar] [CrossRef]
- Kotnik, K.; Kosjek, T.; Žegura, B.; Filipič, M.; Heath, E. Photolytic fate and genotoxicity of benzophenone-derived compounds and their photodegradation mixtures in the aqueous environment. Chemosphere 2016, 147, 114–123. [Google Scholar] [CrossRef]
- Konstantinou, I.K.; Zarkadis, A.K.; Albanis, T.A. Organic compounds in the environment photodegradation of selected herbicides in various natural waters and soils under environmental conditions. Publ. J. Environ. Qual. 2001, 30, 121–130. [Google Scholar] [CrossRef]
- Zonja, B.; Gonçalves, C.; Pérez, S.; Delgado, A.; Petrovic, M.; Alpendurada, M.F.; Barceló, D. Evaluation of the phototransformation of the antiviral zanamivir in surface waters through identification of transformation products. J. Hazard. Mater. 2014, 265, 296–304. [Google Scholar] [CrossRef]
- Beretsou, V.G.; Psoma, A.K.; Gago-Ferrero, P.; Aalizadeh, R.; Fenner, K.; Thomaidis, N.S. Identification of biotransformation products of citalopram formed in activated sludge. Water Res. 2016, 103, 205–214. [Google Scholar] [CrossRef] [PubMed] [Green Version]
- Calza, P.; Medana, C.; Padovano, E.; Giancotti, V.; Minero, C. Fate of selected pharmaceuticals in river waters. Environ. Sci. Pollut. Res. 2013, 20, 2262–2270. [Google Scholar] [CrossRef]
- Schymanski, E.L.; Jeon, J.; Gulde, R.; Fenner, K.; Ruff, M.; Singer, H.P.; Hollender, J. Identifying small molecules via high resolution mass spectrometry: Communicating confidence. Environ. Sci. Technol. 2014, 48, 2097–2098. [Google Scholar] [CrossRef]
- Calza, P.; Jiménez-Holgado, C.; Coha, M.; Chrimatopoulos, C.; Dal Bello, F.; Medana, C.; Sakkas, V. Study of the photoinduced transformations of sertraline in aqueous media. Sci. Total Environ. 2021, 756, 143805. [Google Scholar] [CrossRef]
- Brown, A.K.; Challis, J.K.; Wong, C.S.; Hanson, M.L. Selective serotonin reuptake inhibitors and β-blocker transformation products may not pose a significant risk of toxicity to aquatic organisms in wastewater effluent-dominated receiving waters. Integr. Environ. Assess. Manag. 2015, 11, 618–639. [Google Scholar] [CrossRef]
- Bodrato, M.; Vione, D. APEX (Aqueous Photochemistry of Environmentally occurring Xenobiotics): A free software tool to predict the kinetics of photochemical processes in surface waters. Environ. Sci. Process. Impacts 2014, 16, 732–740. [Google Scholar] [CrossRef] [Green Version]






| Photolysis | t1/2 (h) | k (h−1) | R2 |
|---|---|---|---|
| Solar Irradiation (Outdoor) | |||
| MQ water | 3465.74 | 0.0004 | 0.9461 |
| Lake Pamvotis | 693.15 | 0.0010 | 0.9805 |
| WWTP water | 462.10 | 0.0012 | 0.9821 |
| Simulated solar irradiation (Solarbox) | |||
| MQ water | 61.89 | 0.0112 | 0.9486 |
| Lake Pamvotis | 25.77 | 0.0269 | 0.9940 |
| WWTP water | 23.42 | 0.0296 | 0.9811 |
| NOM 10 mg L−1 | 14.03 | 0.0494 | 0.9783 |
| NO3− 10 mg L−1 | 45.60 | 0.0152 | 0.9409 |
| HCO3− 10 mg L−1 | 27.08 | 0.0256 | 0.9604 |
| Name, [M + H]+ | Empirical Formula | Δppm | RT (min) | Confidence Level |
|---|---|---|---|---|
| Citalopram-325.1718 | C20H22ON2F | 2.251 | 19.92 | L1 |
| TP245A-245.1292 | C14H17O2N2 | 3.042 | 6.54 | L3 |
| TP245B-245.1292 | C14H17O2N2 | 3.042 | 8.41 | L2a |
| TP247-247.1446 | C14H19O2N2 | 2.005 | 5.79 | L3 |
| TP261-261.1241 | C14H17O3N2 | 2.800 | 8.13 | L3 |
| TP323-323.1762 | C20H23O2N2 | 2.462 | 14.16 | L2a |
| TP337-337.1554 | C20H21O3N2 | 2.168 | 13.93 | L2b |
| TP339-339.1512 | C20H20O2N2F | 2.558 | 18.92 | L2a |
| TP341A-341.1669 | C20H22O2N2F | 2.689 | 17.40 | L3 |
| TP341B-341.1669 | C20H22O2N2F | 2.689 | 18.70 | L3 |
| TP355-355.1457 | C20H20O3N2F | 1.275 | 17.84 | L3 |
| TP357-357.1618 | C20H22O3N2F | 2.528 | 16.42 | L3 |
| Fish (LC50) AT | Daphnid (LC50) AT | Algae (EC50) AT | Fish (LC50) CT | Daphnid (LC50) CT | Algae (EC50) CT | F. minnow 96 h T.E.S.T | D. magna 48 h T.E.S.T | T. pyriformis 48 h T.E.S.T | Fish (LC50) AT (NIC) | F. minnow (LC50) 96 h (EPA) | D. magna (LC50) 48 h (EPA) | D. magna (LC50) 48 h (DEMETRA) | |
|---|---|---|---|---|---|---|---|---|---|---|---|---|---|
| CIT | 4.47 | 0.652 | 0.36 | 0.14 | 0.065 | 0.14 | 1.2 | 0.34 | 7.99 | 1.06 | 2.92 | 0.0084 | 2.26 |
| TP245A, B | 260 | 27.2 | 29.1 | 22.7 | 1.97 | 8.8 | 4.2 | 1.26 | 27.1 | 62.9 | 12.38 | 0.0593 | 1.41 |
| TP247 | 589 | 57.8 | 70 | 61.9 | 3.94 | 20.2 | 16.75 | 1.58 | 90.1 | 63.4 | 29.23 | 0.1288 | 11.44 |
| TP261 | 2840 | 248 | 379 | 427 | 15.1 | 101 | 5.62 | 3.36 | 66.57 | 67.03 | 48.58 | 0.1326 | 5.54 |
| TP337 | 294 | 31.2 | 32 | 24.2 | 2.29 | 988 | 2.29 | 2.57 | 12.31 | 0.4955 | 7.35 | 0.0187 | 2.33 |
| TP323 | 61.6 | 7.35 | 6.06 | 3.58 | 0.604 | 2.01 | 3.24 | 2.65 | 20.76 | 1.06 | 23.93 | 0.4744 | 80.03 |
| TP339 | 21.3 | 2.77 | 1.93 | 0.954 | 0.247 | 0.68 | 0.59 | 0.36 | 5.54 | 0.0835 | 1.63 | 0.0068 | 1.04 |
| TP341A, B | 48 | 5.86 | 4.62 | 2.6 | 0.493 | 1.56 | 2.29 | 1.75 | 16.64 | 0.5014 | 5.73 | 0.0195 | 6.49 |
| TP355 | 249 | 26.9 | 27 | 19.7 | 2.01 | 8.35 | 5.25 | 4.7 | 42.33 | 0.0879 | 20.07 | 0.336 | 10.1 |
| TP357 | 279 | 29.8 | 30.5 | 22.5 | 2.21 | 9.36 | 3.01 | 0.94 | 43.23 | 0.0879 | 13.44 | 0.2764 | 12.09 |
Publisher’s Note: MDPI stays neutral with regard to jurisdictional claims in published maps and institutional affiliations. |
© 2021 by the authors. Licensee MDPI, Basel, Switzerland. This article is an open access article distributed under the terms and conditions of the Creative Commons Attribution (CC BY) license (https://creativecommons.org/licenses/by/4.0/).
Share and Cite
Jiménez-Holgado, C.; Calza, P.; Fabbri, D.; Dal Bello, F.; Medana, C.; Sakkas, V. Investigation of the Aquatic Photolytic and Photocatalytic Degradation of Citalopram. Molecules 2021, 26, 5331. https://doi.org/10.3390/molecules26175331
Jiménez-Holgado C, Calza P, Fabbri D, Dal Bello F, Medana C, Sakkas V. Investigation of the Aquatic Photolytic and Photocatalytic Degradation of Citalopram. Molecules. 2021; 26(17):5331. https://doi.org/10.3390/molecules26175331
Chicago/Turabian StyleJiménez-Holgado, Cristina, Paola Calza, Debora Fabbri, Federica Dal Bello, Claudio Medana, and Vasilios Sakkas. 2021. "Investigation of the Aquatic Photolytic and Photocatalytic Degradation of Citalopram" Molecules 26, no. 17: 5331. https://doi.org/10.3390/molecules26175331
APA StyleJiménez-Holgado, C., Calza, P., Fabbri, D., Dal Bello, F., Medana, C., & Sakkas, V. (2021). Investigation of the Aquatic Photolytic and Photocatalytic Degradation of Citalopram. Molecules, 26(17), 5331. https://doi.org/10.3390/molecules26175331

