A Combined Experimental and Computational Study of Chrysanthemin as a Pigment for Dye-Sensitized Solar Cells
Abstract
1. Introduction
2. Results and Discussion
2.1. Theoretical Characterization of Chrysanthemin
2.2. Chrysanthemin as Pigment for DSSCs
2.2.1. Bonding to the Substrate
2.2.2. Energy Level Alignment
2.2.3. Electron Transfer
2.2.4. pKa and Proton Affinity
2.3. DSSCs Based on the Roselle Calyx Extracts
2.3.1. Extracts Characterization
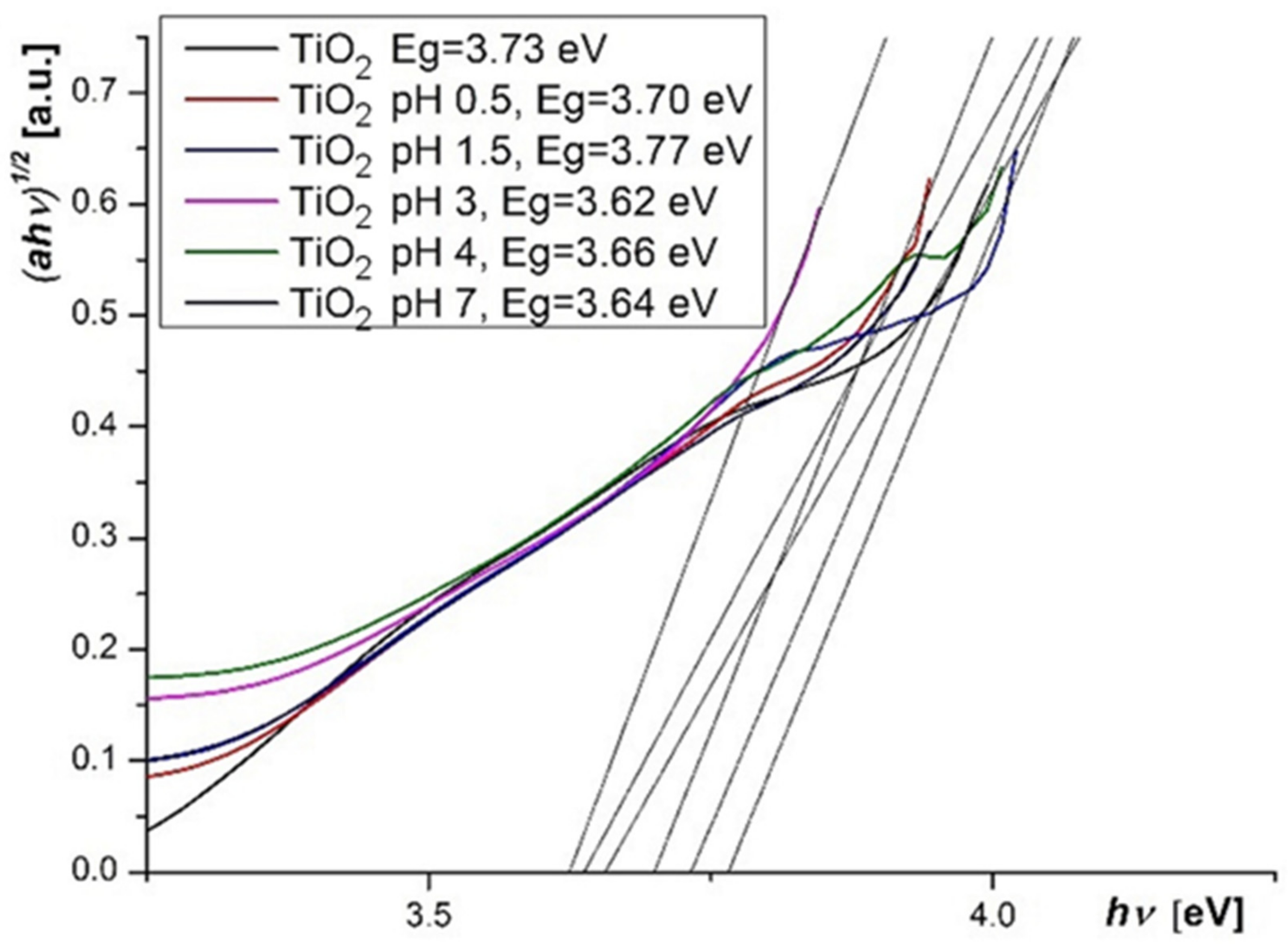
2.3.2. Photoanode Characterization
2.3.3. Photoelectrochemical measurement
3. Materials and Methods
3.1. Materials
3.2. Methods
3.2.1. Computational Details
3.2.2. Vegetal Extracts
3.2.3. Dye-Sensitized Solar Cells Preparation
3.2.4. Characterization and Measurements
4. Conclusions
Author Contributions
Funding
Data Availability Statement
Acknowledgments
Conflicts of Interest
Sample Availability:
References
- O’Regan, B.; Grätzel, M. A low-cost, high-efficiency solar cell based on dye-sensitized colloidal TiO2 films. Nature 1991, 353, 737–740. [Google Scholar] [CrossRef]
- Grätzel, M. Photoelectrochemical cells. Nature 2001, 414, 338–344. [Google Scholar] [CrossRef] [PubMed]
- Nazeeruddin, M.K.; Baranoff, E.; Grätzel, M. Dye-sensitized solar cells: A brief overview. Sol. Energy 2011, 85, 1172–1178. [Google Scholar] [CrossRef]
- Bisquert, J. Theory of the impedance of charge transfer via surface states in dye-sensitized solar cells. J. Electroanal. Chem. 2010, 646, 43–51. [Google Scholar] [CrossRef]
- Calogero, G.; Bartolotta, A.; Di Marco, G.; Di Carlo, A.; Bonaccorso, F. Vegetable-based dye-sensitized solar cells. Chem. Soc. Rev. 2015, 44, 3244–3294. [Google Scholar] [CrossRef] [PubMed]
- Shalini, S.; Balasundaraprabhu, R.; Prasanna, S.; Mallick, T.K.; Senthilarasu, S. Review on natural dye sensitized solar cells: Operation, materials and methods. Renew. Sustain. Energy Rev. 2015, 51, 1306–1325. [Google Scholar] [CrossRef]
- Kumara, N.T.R.N.; Lim, A.; Lim, C.M.; Petra, M.I.; Ekanayake, P. Recent progress and utilization of natural pigments in dye sensitized solar cells: A review. Renew. Sustain. Energy Rev. 2017, 78, 301–317. [Google Scholar] [CrossRef]
- Yildiz, Z.K.; Atilgan, A.; Atli, A.; Özel, K.; Altinkaya, C.; Yildiz, A. Enhancement of efficiency of natural and organic dye sensitized solar cells using thin film TiO2 photoanodes fabricated by spin-coating. J. Photochem. Photobiol. A Chem. 2019, 368, 23–29. [Google Scholar] [CrossRef]
- Hamadanian, M.; Safaei-Ghomi, J.; Hosseinpour, M.; Masoomi, R.; Jabbari, V. Uses of new natural dye photosensitizers in fabrication of high potential dye-sensitized solar cells (DSSCs). Mater. Sci. Semicond. Process. 2014, 27, 733–739. [Google Scholar] [CrossRef]
- Oprea, C.I.; Dumbrava, A.; Enache, I.; Georgescu, A.; Girtu, M.A. A combined experimental and theoretical study of natural betalain pigments used in dye-sensitized solar cells. J. Photochem. Photobiol. A Chem. 2012, 240, 5–13. [Google Scholar] [CrossRef]
- Dumbrava, A.; Enache, I.; Oprea, C.I.; Georgescu, A.; Girtu, M.A. Toward a more efficient utilisation of betalains as pigments for dye-sensitized solar cells. Dig. J. Nanomater. Biostructures 2012, 7, 339–351. [Google Scholar]
- Singh, L.K.; Koiry, B.P. Natural dyes and their effect on efficiency of TiO2 based DSSCs: A comparative study. Mater. Today Proc. 2018, 5, 2112–2122. [Google Scholar] [CrossRef]
- Gu, P.; Yang, D.; Zhu, X.; Sun, H.; Li, J. Fabrication and characterization of dye-sensitized solar cells based on natural plants. Chem. Phys. Lett. 2018, 693, 16–22. [Google Scholar] [CrossRef]
- Dangles, O.; Fenger, J.A. The chemical reactivity of anthocyanins and its consequences in food science and nutrition. Molecules 2018, 23, 1970. [Google Scholar] [CrossRef]
- Moncada, M.C.; Moura, S.; Melo, M.J.; Roque, A.; Lodeiro, C.; Pina, F. Complexation of aluminum (III) by anthocyanins and synthetic flavylium salts. A Source Blue Purple Color. Inorg. Chim. Acta 2003, 356, 51–61. [Google Scholar] [CrossRef]
- Obouayeba, A.P.; Soumahin, E.F.; Diarrassouba, M.; Kouakou, T.H. Purification and identification of some anthocyanins from Hibiscus sabdariffa, a medicinal plant of the Ivorian Pharmacopeia. Int. J. Curr. Res. Biosci. Plant Biol. 2015, 2, 123–131. [Google Scholar]
- Hinojosa-Gómez, J.; Martin-Hernández, C.S.; Heredia, J.B.; León-Félix, J.; Osuna-Enciso, T.; Muy-Rangel, M.D. Roselle (Hibiscus sabdariffa L.) cultivars calyx produced hydroponically: Physicochemical and nutritional quality. Chil. J. Agric. Res. 2018, 78, 478–485. [Google Scholar] [CrossRef]
- Sindi, H.A.; Marshall, L.J.; Morgan, M.R.A. Comparative chemical and biochemical analysis of extracts of Hibiscus sabdariffa. Food Chem. 2014, 164, 23–29. [Google Scholar] [CrossRef]
- Iosub, I.; Kajzar, F.; Makowska-Janusik, M.; Meghea, A.; Tane, A.; Rau, I. Electronic structure and optical properties of some anthocyanins extracted from grapes. Opt. Mater. 2012, 34, 1644–1650. [Google Scholar] [CrossRef]
- Dumbrava, A.; Georgescu, A.; Damache, G.; Badea, C.; Enache, I.; Oprea, C.; Girtu, M.A. Dye-sensitized solar cells based on nanocrystalline TiO2 and natural pigments. J. Optoelectron. Adv. Mater. 2008, 10, 2996–3002. [Google Scholar]
- Galoppini, E. Linkers for anchoring sensitizers to semiconductor nanoparticles. Coord. Chem. Rev. 2004, 248, 1283–1297. [Google Scholar] [CrossRef]
- Taya, S.A.; El-Agez, T.M.; Al-Mogiar, H.A.; Ghamri, H.S.; Abdel-Latif, M.S. Solar cells sensitized with the extracts of Hibiscus Sabdariffa and Rosa Damascena flowers. Int. J. Renew. Energy Res. 2016, 6, 687–694. [Google Scholar]
- Oprea, C.I.; Panait, P.; Cimpoesu, F.; Ferbinteanu, M.; Gîrţu, M.A. Density Functional Theory (DFT) study of coumarin-based dyes adsorbed on TiO2 nanoclusters—Applications to Dye-Sensitized Solar Cells. Materials 2013, 6, 2372–2392. [Google Scholar] [CrossRef] [PubMed]
- Dissanayake, D.P.; Senthilnithy, R. Thermodynamic cycle for the calculation of ab initio pKa values for hydroxamic acids. J. Mol. Struct. 2009, 910, 93–98. [Google Scholar] [CrossRef]
- Zeng, Y.; Chen, X.; Zhao, D.; Li, H.; Zhang, Y.; Xiao, X. Estimation of pKa values for carboxylic acids, alcohols, phenols and amines using changes in the relative Gibbs free energy. Fluid Phase Equilibria 2012, 313, 148–155. [Google Scholar] [CrossRef]
- Lee, C.; Yang, W.; Parr, R.G. Development of the Colle–Salvetti correlation-energy formula into a functional of the electron density. Phys. Rev. B 1988, 37, 785–789. [Google Scholar] [CrossRef] [PubMed]
- Longo, C.; De Paoli, M.A. Dye-sensitized solar cells: A successful combination of materials. J. Braz. Chem. Soc. 2003, 14, 889–901. [Google Scholar] [CrossRef]
- Godbout, N.; Salahub, D.R.; Andzelmen, J.; Wimmer, E. Optimization of Gaussian-type basis sets for local spin density functional calculations. Part I. Boron through neon, optimization technique and validation. Can. J. Chem. 1992, 70, 560–571. [Google Scholar] [CrossRef]
- Borkowski, T.; Szymusiak, H.; Gliszczynska-Swigło, A.; Rietjens, I.M.C.M.; Tyrakowska, B. Radical scavenging capacity of wine anthocyanins is strongly pH-dependent. J. Agric. Food Chem. 2005, 53, 5526–5534. [Google Scholar] [CrossRef]
- Dumbrava, A.; Lungu, J.; Ion, A. Green seaweeds extract as co-sensitizer for dye sensitized solar cells. Sci. Study Res. Chem. Chem. Eng. Biotechnol. Food Ind. 2016, 17, 013–025. [Google Scholar]
- Dumbrava, A.; Berger, D.; Prodan, G.; Matei, C.; Moscalu, F.; Diacon, A. Influence of synthesis route on the structure and properties of zinc oxide nanoparticles functionalized with anthocyanins from raw vegetable extracts. ECS J. Solid State Sci. Technol. 2017, 6, 870–878. [Google Scholar] [CrossRef]
- Oren-Shamir, M. Does anthocyanin degradation play a significant role in determining pigment concentration in plants? Plant Sci. 2009, 177, 310–316. [Google Scholar] [CrossRef]
- Tauc, J.; Grigorovici, R.; Vancu, A. Optical properties and electronic structure of amorphous germanium. Phys. Status Solidi B 1966, 15, 627–637. [Google Scholar] [CrossRef]
- Wang, Z.S.; Zhou, G. Effect of surface protonation of TiO2 on charge recombination and conduction band edge movement in Dye-Sensitized Solar Cells. J. Phys. Chem. C 2009, 113, 15417–15421. [Google Scholar] [CrossRef]
- Reddya, K.M.; Manoramaa, S.V.; Reddy, A.R. Bandgap studies on anatase titanium dioxide nanoparticles. Mater. Chem. Phys. 2002, 78, 239–245. [Google Scholar] [CrossRef]
- Casida, M.E.; Jamorski, C.; Casida, K.C.; Salahub, D.R. Molecular excitation energies to high-lying bound states from time-dependent density-functional response theory: Characterization and correlation of the time dependent local density approximation ionization threshold. J. Chem. Phys. 1998, 108, 4439–4449. [Google Scholar] [CrossRef]
- Barone, V.; Cossi, M. Quantum calculation of molecular energies and energy gradients in solution by a conductor solvent model. J. Phys. Chem. A 1998, 102, 1995–2001. [Google Scholar] [CrossRef]
- Tomasi, J.; Mennucci, B.; Cammi, R. Quantum mechanical continuum solvation models. Chem. Rev. 2005, 105, 2999–3093. [Google Scholar] [CrossRef]
- Frisch, M.J.; Trucks, G.W.; Schlegel, H.B.; Scuseria, G.E.; Robb, M.A.; Cheeseman, J.R.; Scalmani, G.; Barone, V.; Mennucci, B.; Petersson, G.A.; et al. Gaussian 09, Revision D.01; Gaussian, Inc.: Wallingford, CT, USA, 2013; Available online: https://gaussian.com (accessed on 21 December 2020).
- Ito, S.; Murakami, T.N.; Comte, P.; Liska, P.; Grätzel, C.; Nazeeruddin, M.K.; Grätzel, M. Fabrication of thin film dye sensitized solar cells with solar to electric power conversion efficiency over 10%. Thin Solid Film. 2008, 516, 4613–4619. [Google Scholar] [CrossRef]
- Lungu, J.; Georgescu, A.; Dumbrava, A. Enhancing the efficiency of azo-based dye sensitized solar cells by surface treatments. Sci. Study Res. Chem. Chem. Eng. Biotechnol. Food Ind. 2015, 16, 069–074. [Google Scholar]
- Nazeeruddin, M.K.; Kay, A.; Rodicio, I.; Humphry-Baker, R.; Muller, E.; Liska, P.; Vlachopoulos, N.; Grätzel, M. Conversion of light to electricity by cis-X2bis(2,2′-bipyridyl-4,4′-dicarboxylate)ruthenium(II) charge-transfer sensitizers (X = C1-, Br-, I-, CN-, and SCN-) on nanocrystalline TiO2 electrodes. J. Am. Chem. Soc. 1993, 115, 6382–6390. [Google Scholar] [CrossRef]
- Calogero, G.; Di Marco, G. Red Sicilian orange and purple eggplant fruits as natural sensitizers for dye-sensitized solar cells. Sol. Energy Mater. Sol. Cells 2008, 92, 1341–1346. [Google Scholar] [CrossRef]
- Smestad, G.P. Education and solar conversion: Demonstrating electron transfer. Sol. Energy Mater. Sol. Cells 1998, 55, 157–178. [Google Scholar] [CrossRef]
- Georgescu, A.; Damache, G.; Girtu, M.A. Class A small area solar simulator for dye-sensitized solar cell testing. J. Optoelectron. Adv. Mater. 2008, 10, 3003–3007. [Google Scholar]
- Dumbrava, A.; Prodan, G.; Moscalu, F. Investigations on the influence of surfactant in morphology and optical properties of zinc oxide nanopowders for dye-sensitized solar cells applications. Mater. Sci. Semicond. Process. 2013, 16, 1095–1104. [Google Scholar] [CrossRef]













| Species | Energy (eV) | Wavelength (nm) | Oscillator Strength (f) | MO Configuration (Coefficient) |
|---|---|---|---|---|
| Cyanidin 3-glucoside deprotonated in sites 1, 2, and 3 | 1.8184 | 681.83 | f = 0.4237 | H − 3 →L (−0.12961) H − 1 →L (−0.11120) H →L (0.69480) H ←L (−0.13067) |
| Original Species | Deprotonated Species | Zero-Point Corrected Energy (Hartree) | PA (kcal/mol) | Gibbs Free Energy (kcal/mol) | pKa |
|---|---|---|---|---|---|
| A+H1H2H3H4 | AH2H3H4 | −1639.529214 | 871.788 | −1,028,859.26 | −0.96 |
| A+H1H2H3H4 | AH1H2H4 | −1639.524791 | 869.013 | −1,028,857.07 | 0.68 |
| A+H1H2H3H4 | AH1H2H3 | −1639.523299 | 868.077 | −1,028,856.50 | 1.06 |
| AH2H3H4 | A−H2H3 | −1639.086931 | 594.251 | −1,028,581.86 | 6.15 |
| AH2H3H4 | A−H2H4 | −1639.086807 | 594.174 | −1,028,581.23 | 6.62 |
| AH1H2H4 | A−H1H2 | −1639.076644 | 587.796 | −1,028,575.27 | 9.38 |
| A+H1H2H3H4 | AH1H3H4 | −1639.502941 | 855.302 | −1,028,843.04 | 10.93 |
| AH2H3H4 | A−H3H4 | −1639.061685 | 578.409 | −1,028,566.40 | 17.49 |
| A−H2H3 | A2−H2 | −1638.619739 | 301.084 | −1,028,287.98 | 18.24 |
| A−H2H3 | A2−H3 | −1638.608313 | 293.914 | −1,028,281.17 | 23.23 |
| A−H2H4 | A2−H4 | −1638.607290 | 293.272 | −1,028,280.31 | 23.39 |
| A2−H2 | A3− | −1638.139932 | - | −1,027,986.90 | 23.51 |
| Sample | Voc (mV) | J (mA/cm2) | Pmax (μW) | FF | Rsh (Ω) | Rs (Ω) | η (%) |
|---|---|---|---|---|---|---|---|
| N719 | 683 | 4.992 | 1789.71 | 0.668 | 13,600 | 32.8 | 2.279 |
| pH = 0.5 | 425 | 0.087 | 17.43 | 0.603 | 67,721 | 792.7 | 0.022 |
| pH = 1.5 | 441 | 0.134 | 32.4 | 0.700 | 146,235 | 388.4 | 0.041 |
| pH = 3 | 430 | 0.117 | 23.52 | 0.595 | 55,800 | 733.3 | 0.030 |
| pH = 4 | 431 | 0.125 | 28.38 | 0.672 | 197,000 | 365.8 | 0.036 |
| pH = 7 | 392 | 0.046 | 7.59 | 0.537 | 467,540 | 2602.5 | 0.010 |
Publisher’s Note: MDPI stays neutral with regard to jurisdictional claims in published maps and institutional affiliations. |
© 2021 by the authors. Licensee MDPI, Basel, Switzerland. This article is an open access article distributed under the terms and conditions of the Creative Commons Attribution (CC BY) license (http://creativecommons.org/licenses/by/4.0/).
Share and Cite
Ndiaye, A.; Dioum, A.; Oprea, C.I.; Dumbrava, A.; Lungu, J.; Georgescu, A.; Moscalu, F.; Gîrţu, M.A.; Beye, A.C.; Youm, I. A Combined Experimental and Computational Study of Chrysanthemin as a Pigment for Dye-Sensitized Solar Cells. Molecules 2021, 26, 225. https://doi.org/10.3390/molecules26010225
Ndiaye A, Dioum A, Oprea CI, Dumbrava A, Lungu J, Georgescu A, Moscalu F, Gîrţu MA, Beye AC, Youm I. A Combined Experimental and Computational Study of Chrysanthemin as a Pigment for Dye-Sensitized Solar Cells. Molecules. 2021; 26(1):225. https://doi.org/10.3390/molecules26010225
Chicago/Turabian StyleNdiaye, Atoumane, Alle Dioum, Corneliu I. Oprea, Anca Dumbrava, Jeanina Lungu, Adrian Georgescu, Florin Moscalu, Mihai A. Gîrţu, Aboubaker Chedikh Beye, and Issakha Youm. 2021. "A Combined Experimental and Computational Study of Chrysanthemin as a Pigment for Dye-Sensitized Solar Cells" Molecules 26, no. 1: 225. https://doi.org/10.3390/molecules26010225
APA StyleNdiaye, A., Dioum, A., Oprea, C. I., Dumbrava, A., Lungu, J., Georgescu, A., Moscalu, F., Gîrţu, M. A., Beye, A. C., & Youm, I. (2021). A Combined Experimental and Computational Study of Chrysanthemin as a Pigment for Dye-Sensitized Solar Cells. Molecules, 26(1), 225. https://doi.org/10.3390/molecules26010225

