Degradation Kinetics and Shelf Life of N-acetylneuraminic Acid at Different pH Values
Abstract
1. Introduction
2. Results and Discussion
2.1. Impact of Autoclaving on the Stability of Neu5Ac
2.2. Stability of Neu5Ac during Heat Treatment at Different pH Values
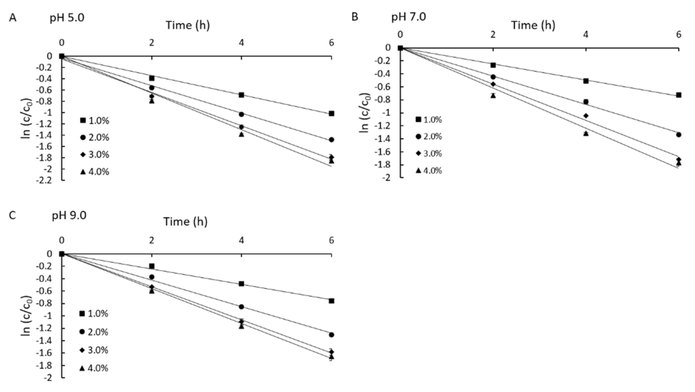
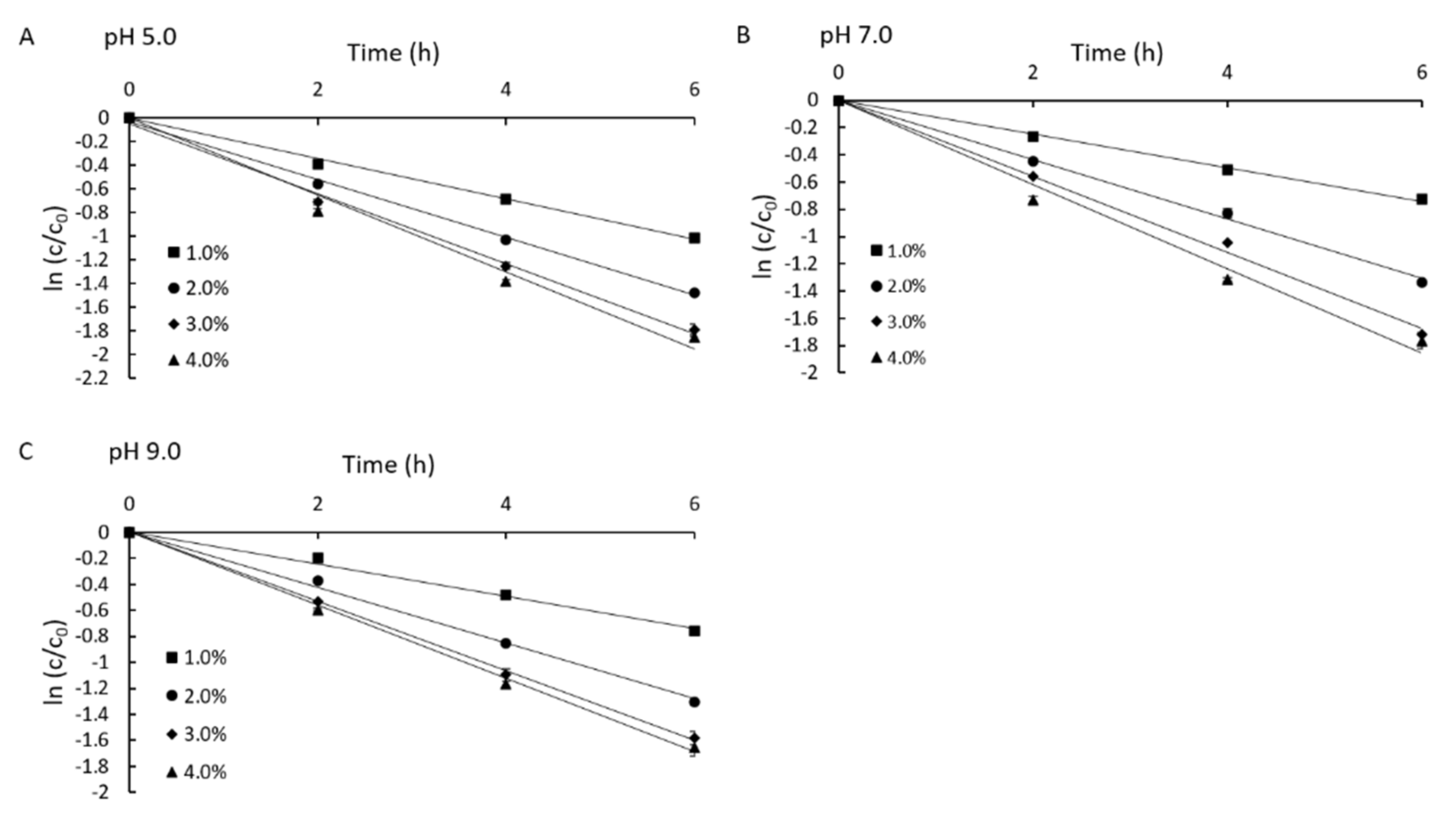
2.3. Kinetics of the Thermal Degradation of Neu5Ac
2.4. The Effect of H2O2 on the Stability of Neu5Ac
2.5. Determination of the Shelf Life of Neu5Ac in Aqueous Solution at 25 and 50 °C
3. Materials and Methods
3.1. Reagents
3.2. Preparation of the Neu5Ac Solution
3.3. Sample Preparation for Autoclaving
3.4. Sample Preparation for the Measurement of the Degradation Kinetics and Thermodynamic Studies
3.5. Kinetic Modeling of N-Acetylneuraminic Acid Degradation
3.6. The Effect of H2O2 on the Stability of Neu5Ac
3.7. Determination of Shelf Life
3.8. The Determination of Neu5Ac Content and Analytical Method Validation
3.9. Statistical Analysis
4. Conclusions
Supplementary Materials
Author Contributions
Funding
Conflicts of Interest
References
- Schauer, R.; Kamerling, J.P. Exploration of the Sialic Acid World. Adv. Carbohydr. Chem. Biochem. 2018, 75, 1–213. [Google Scholar] [CrossRef] [PubMed]
- Brown, E.B.; Brey, W.S.; Weltner, W. Cell-surface carbohydrates and their interactions: I. NMR of N-acetyl neuraminic acid. Biochimi. Biophys. Acta 1975, 399, 124–130. [Google Scholar] [CrossRef]
- Friebolin, H.; Supp, M.; Brossmer, R.; Keilich, G.; Ziegler, D. 1H-NMR Investigations on the Mutarotation of N-Acetyl-D-neuraminic Acid. Angew. Chem. 1980, 19, 208–209. [Google Scholar] [CrossRef]
- Klepach, T.; Carmichael, I.; Serianni, A.S. 13C-Labeled N-Acetyl-neuraminic Acid in Aqueous Solution: Detection and Quantification of Acyclic Keto, Keto Hydrate, and Enol Forms by 13C NMR Spectroscopy. J. Am. Chem. Soc. 2008, 130, 11892–11900. [Google Scholar] [CrossRef] [PubMed]
- Ogura, H.; Furuhata, K.; Saitô, H.; Izumi, G.; Itoh, M.; Shitori, Y. Stereochemical characterization of hydrated and dehydrated crystals of N-acetylneuraminic acid as revealed by the IR, CD, and 13C cross polarization-magic angle spinning NMR spectroscopy. Chem. Lett. 1984, 13, 1003–1006. [Google Scholar] [CrossRef]
- Röhrig, C.H.; Choi, S.S.; Baldwin, N. The nutritional role of free sialic acid, a human milk monosaccharide, and its application as a functional food ingredient. Crit. Rev. Food Sci. Nutr. 2015, 57, 1017–1038. [Google Scholar] [CrossRef] [PubMed]
- Schauer, R. Achievements and challenges of sialic acid research. Glycoconj. J. 2000, 17, 485–499. [Google Scholar] [CrossRef]
- Maru, I.; Ohnishi, J.; Ohta, Y.; Tsukada, Y. Why is sialic acid attracting interest now? Complete enzymatic synthesis of sialic acid with N-acylglucosamine 2-epimerase. J. Biosci. Bioeng. 2002, 93, 258–265. [Google Scholar] [CrossRef]
- Varki, A. Sialic acids in human health and disease. Trends. Mol. Med. 2008, 14, 351–360. [Google Scholar] [CrossRef]
- Chen, X.; Varki, A. Advances in the biology and chemistry of sialic acids. ACS Chem. Biol. 2010, 5, 163–176. [Google Scholar] [CrossRef]
- Cevalloscasals, B.A.; Cisneroszevallos, L. Stability of anthocyanin-based aqueous extracts of Andean purple corn and red-fleshed sweet potato compared to synthetic and natural colorants. Food Chem. 2004, 86, 69–77. [Google Scholar] [CrossRef]
- Wu, Y.; Mao, J.; Mei, L.; Liu, S. Kinetic studies of the thermal degradation of sulforaphane and its hydroxypropyl-β-cyclodextrin inclusion complex. Food Res. Int. 2013, 53, 529–533. [Google Scholar] [CrossRef]
- Wu, Y.; Mao, J.; You, Y.; Liu, S. Study on degradation kinetics of sulforaphane in broccoli extract. Food Chem. 2014, 235–239. [Google Scholar] [CrossRef]
- Mercali, G.D.; Gurak, P.D.; Schmitz, F.; Marczak, L.D. Evaluation of non-thermal effects of electricity on anthocyanin degradation during ohmic heating of jaboticaba (Myrciaria cauliflora) juice. Food Chem. 2015, 200–205. [Google Scholar] [CrossRef]
- Georgieva, V.; Zvezdova, D.; Vlaev, L. Non-isothermal kinetics of thermal degradation of chitosan. Chem. Cent. J. 2012, 6, 81. [Google Scholar] [CrossRef] [PubMed]
- Luo, K.; Yang, Q.; Pang, Y.; Wang, D.; Li, X.; Lei, M.; Huang, Q. Unveiling the mechanism of biochar-activated hydrogen peroxide on the degradation of ciprofloxacin. Chem. Eng. J. 2019, 374, 520–530. [Google Scholar] [CrossRef]
- Jirasatid, S.; Limroongreungrat, K.; Chaikham, P.; Nopharatana, M. Kinetics study of quality of Mee-Krob during storage and development of a shelf life model. Int. Food Res. J. 2019, 6, 489–498. [Google Scholar]
- Adams, J.B. Thermal degradation of anthocyanins with particular reference to the 3-glycosides of cyanidin. I. In acidified aqueous solution at 100 °C. J. Sci. Food Agric. 1973, 24, 747–762. [Google Scholar] [CrossRef]
- Fossen, T.; Cabrita, L.; Andersen, O.M. Colour and stability of pure anthocyanins influenced by pH including the alkaline region. Food Chem. 1998, 63, 435–440. [Google Scholar] [CrossRef]
- Zhang, M.; Lei, N.; Zhu, T.; Zhang, Z. Thermal processing effects on the chemical constituent and antioxidant activity of s-alk(en)ylcysteine s-oxides (alliin) extract. LWT Food Sci. Technol. 2013, 51, 309–313. [Google Scholar] [CrossRef]
- Zhao, H.; Zhan, X.B.; Zhu, Y.H.; Zhang, L.M. Hydrolyzation of Polysialic Acid and Purification of Sialic Acid. J. Wuxi Univ. Light Ind. 2004, 23, 16–19. [Google Scholar]
- Liu, D.; Sun, J.; Simmons, B.A.; Singh, S. N-Heterocyclic Carbene Promoted Decarboxylation of Lignin-Derived Aromatic Acids. ACS Sustain. Chem. Eng. 2018, 6, 7232–7238. [Google Scholar] [CrossRef]
- Lima, C.S.; Rabelo, S.C.; Ciesielski, P.N.; Roberto, I.C.; Rocha, G.J.; Driemeier, C. Multiscale Alterations in Sugar Cane Bagasse and Straw Submitted to Alkaline Deacetylation. ACS Sustain. Chem. Eng. 2018, 6, 3796–3804. [Google Scholar] [CrossRef]
- Lin, C.C.; Lin, H.Y.; Hsu, L.J. Degradation of ofloxacin using UV/H2O2 process in a large photoreactor. Sep. Purif. Technol. 2016, 168, 57–61. [Google Scholar] [CrossRef]
- Gaddam, S.; Stagner, W.C. Sucrose Octaacetate Chemical Kinetics and Shelf Lives at Various Formulation pHs. AAPS Pharm. Sci. Tech. 2018, 19, 176–183. [Google Scholar] [CrossRef]
- Cemeroglu, B.; Velioglu, S.; Isik, S. Degradation Kinetics of Anthocyanins in Sour Cherry Juice and Concentrate. J. Food Sci. 1994, 59, 1216–1218. [Google Scholar] [CrossRef]
- Loypimai, P.; Moongngarm, A.; Chottanom, P. Thermal and pH degradation kinetics of anthocyanins in natural food colorant prepared from black rice bran. Food Sci. Technol. 2015, 53, 461–470. [Google Scholar] [CrossRef]
- Mercali, G.D.; Jaeschke, D.P.; Tessaro, I.C.; Marczak, L.D. Degradation kinetics of anthocyanins in acerola pulp: Comparison between ohmic and conventional heat treatment. Food Chem. 2013, 136, 853–857. [Google Scholar] [CrossRef]
- Peron, D.V.; Fraga, S.; Antelo, F. Thermal degradation kinetics of anthocyanins extracted from juçara (Euterpe edulis Martius) and “Italia” grapes (Vitis vinifera L.), and the effect of heating on the antioxidant capacity. Food Chem. 2017, 232, 836–840. [Google Scholar] [CrossRef]
- Kang, J.; Gu, P.; Wang, Y.; Li, Y.; Yang, F.; Wang, Q.; Qi, Q. Engineering of an N-acetylneur-aminic acid synthetic pathway in Escherichia coli. Metab. Eng. 2012, 14, 623–629. [Google Scholar] [CrossRef] [PubMed]





| pH | T (°C) | K (h−1) | R2 | t1/2 (h) | Ea (kJ/mol) | D (h) | Z (°C) | ΔH (kJ/mol) | ΔG (kJ/mol) | ΔS (J/mol) |
|---|---|---|---|---|---|---|---|---|---|---|
| 1.0 | 60 | 0.0150 d | 0.9797 | 46.21 | 71.25 | 153.51 | 32.3 | 68.48 | 93.49 | −75.10 |
| 70 | 0.0296 c | 0.9673 | 23.42 | 77.79 | 68.40 | 94.44 | −75.93 | |||
| 80 | 0.0567 b | 0.9838 | 12.22 | 40.61 | 68.32 | 95.37 | −76.66 | |||
| 90 | 0.1288 a | 0.9763 | 5.38 | 17.88 | 68.23 | 95.68 | −75.62 | |||
| 2.0 | 60 | 0.0095 d | 0.9838 | 72.96 | 72.50 | 242.38 | 31.5 | 69.73 | 94.75 | −75.12 |
| 70 | 0.0222 c | 0.9668 | 31.22 | 103.72 | 69.65 | 95.26 | −74.66 | |||
| 80 | 0.0498 b | 0.9728 | 13.92 | 46.24 | 69.57 | 95.75 | −74.19 | |||
| 90 | 0.0799 a | 0.9693 | 8.68 | 28.82 | 69.48 | 97.12 | −76.14 | |||
| 11.0 | 60 | 0.0230 d | 0.9626 | 30.14 | 68.84 | 100.11 | 33.3 | 66.07 | 92.30 | −78.78 |
| 70 | 0.0406 c | 0.9422 | 17.07 | 56.71 | 65.99 | 93.54 | −80.33 | |||
| 80 | 0.0803 b | 0.9959 | 8.63 | 28.67 | 65.91 | 94.35 | −80.58 | |||
| 90 | 0.1808 a | 0.9535 | 3.83 | 12.74 | 65.82 | 94.66 | −79.44 | |||
| 12.0 | 60 | 0.1277 d | 0.9596 | 5.43 | 58.50 | 18.03 | 39.2 | 55.74 | 87.56 | −95.55 |
| 70 | 0.2177 c | 0.9790 | 3.18 | 10.58 | 55.66 | 88.75 | −96.48 | |||
| 80 | 0.3684 b | 0.9871 | 1.88 | 6.25 | 55.58 | 89.88 | −97.18 | |||
| 90 | 0.7493 a | 0.9883 | 0.93 | 3.07 | 55.49 | 90.37 | −96.07 |
Sample Availability: Samples of the compounds are available from the authors. |
Publisher’s Note: MDPI stays neutral with regard to jurisdictional claims in published maps and institutional affiliations. |
© 2020 by the authors. Licensee MDPI, Basel, Switzerland. This article is an open access article distributed under the terms and conditions of the Creative Commons Attribution (CC BY) license (http://creativecommons.org/licenses/by/4.0/).
Share and Cite
Zhu, W.; Chen, X.; Yuan, L.; Wu, J.; Yao, J. Degradation Kinetics and Shelf Life of N-acetylneuraminic Acid at Different pH Values. Molecules 2020, 25, 5141. https://doi.org/10.3390/molecules25215141
Zhu W, Chen X, Yuan L, Wu J, Yao J. Degradation Kinetics and Shelf Life of N-acetylneuraminic Acid at Different pH Values. Molecules. 2020; 25(21):5141. https://doi.org/10.3390/molecules25215141
Chicago/Turabian StyleZhu, Weiwei, Xiangsong Chen, Lixia Yuan, Jinyong Wu, and Jianming Yao. 2020. "Degradation Kinetics and Shelf Life of N-acetylneuraminic Acid at Different pH Values" Molecules 25, no. 21: 5141. https://doi.org/10.3390/molecules25215141
APA StyleZhu, W., Chen, X., Yuan, L., Wu, J., & Yao, J. (2020). Degradation Kinetics and Shelf Life of N-acetylneuraminic Acid at Different pH Values. Molecules, 25(21), 5141. https://doi.org/10.3390/molecules25215141
