A New UPLC-qTOF Approach for Elucidating Furan and 2-Methylfuran Metabolites in Human Urine Samples after Coffee Consumption
Abstract
1. Introduction
2. Results and Discussion
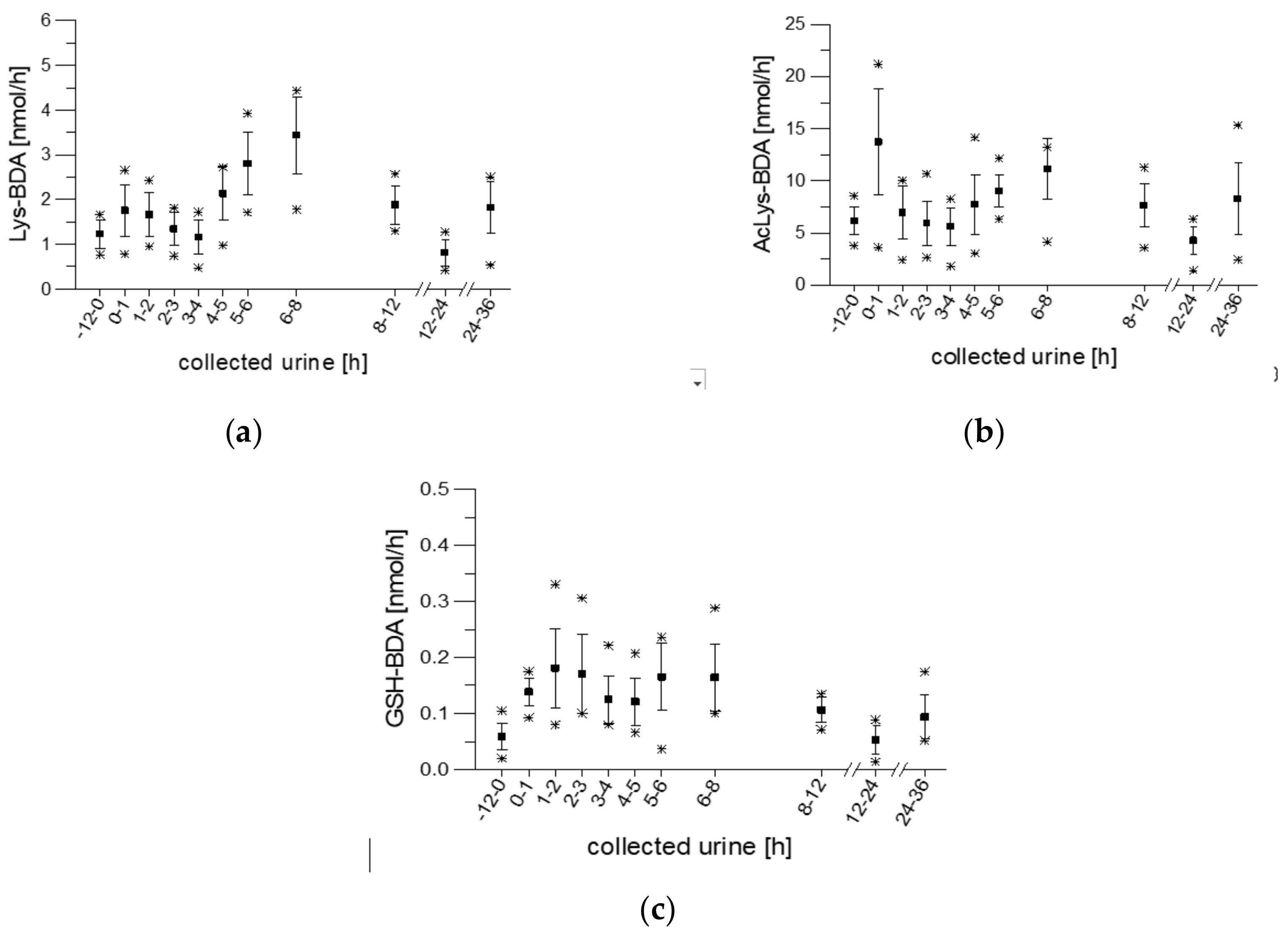
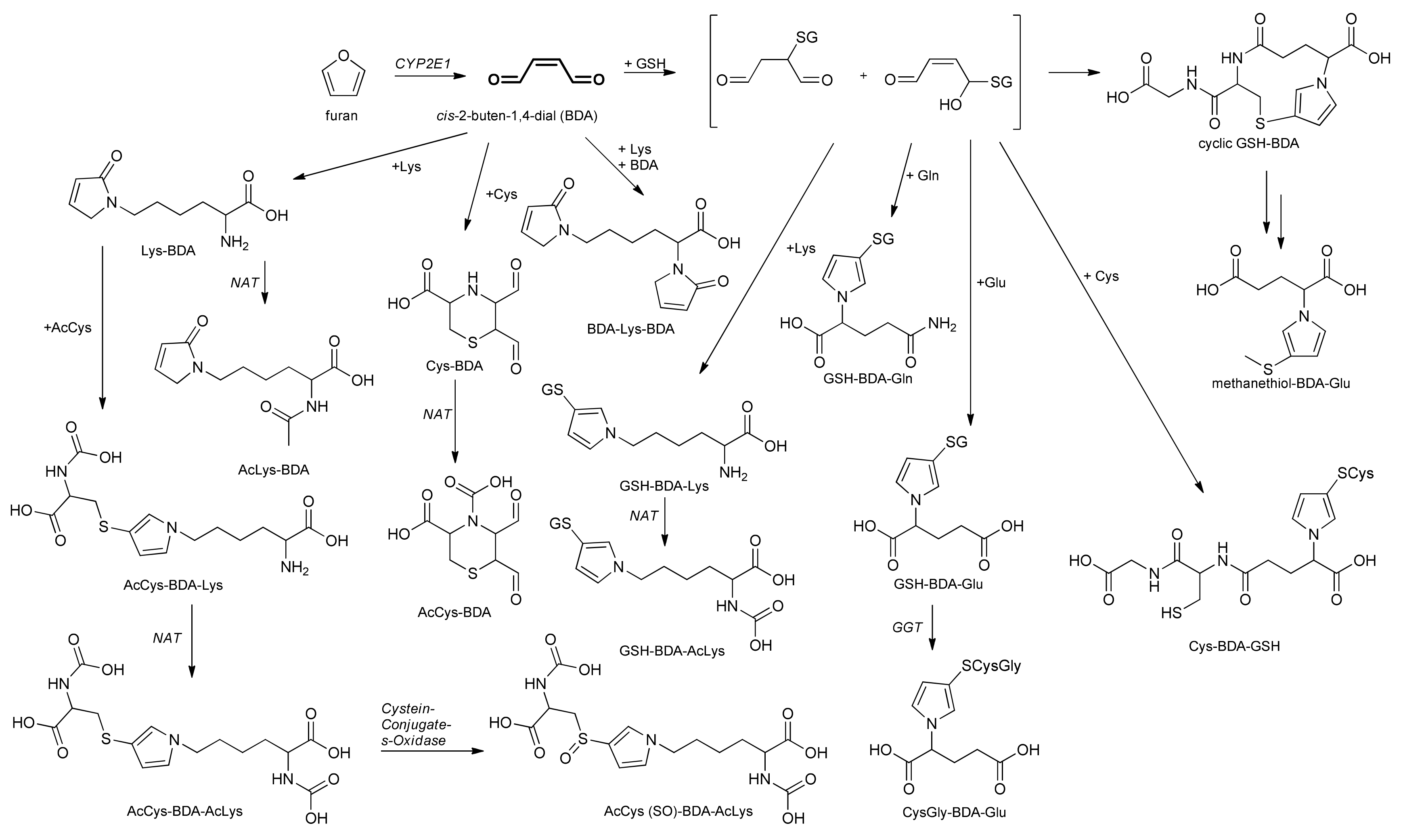
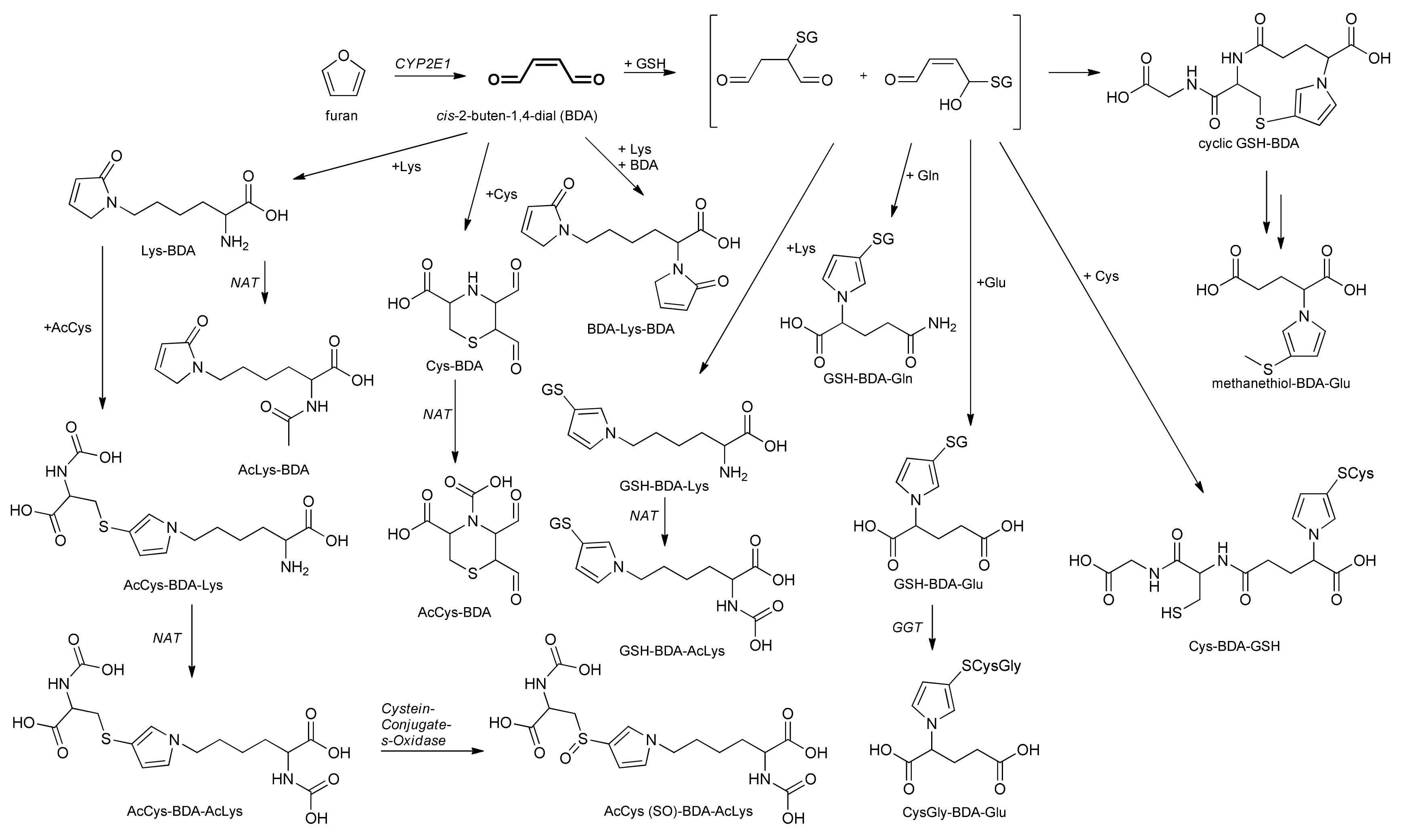
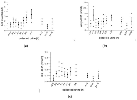
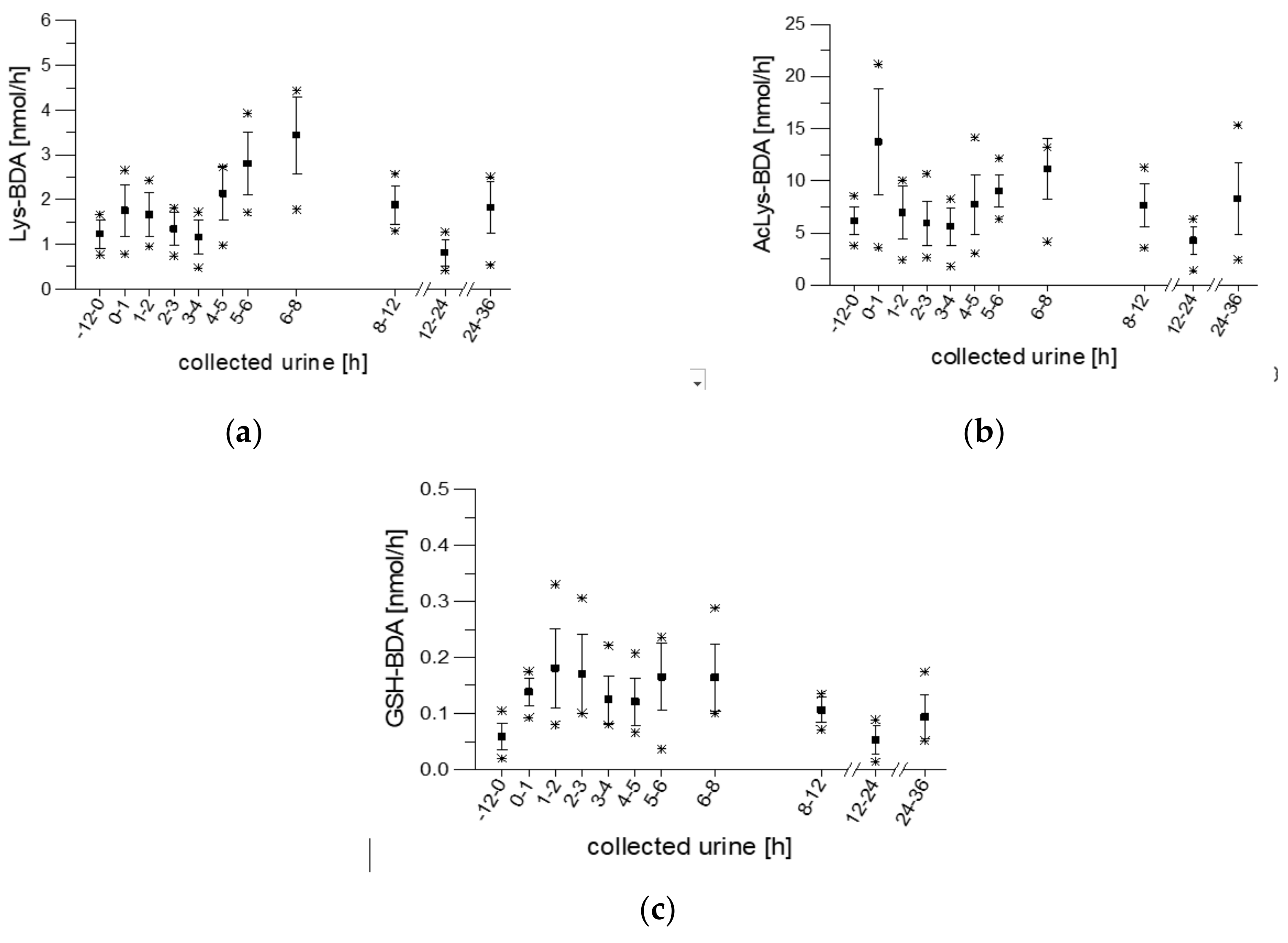
2.1. Identification of Furan-Derived Metabolites
2.2. Identification of 2-Methylfuran Derived Metabolites
3. Materials and Methods
3.1. Chemicals and Reagents
3.2. Human Urine Samples
3.3. Liquid Chromatography-High Resolution Mass Spectrometry (LC-HRMS)
3.4. Data Evaluation and Illustration
4. Conclusions
Supplementary Materials
Author Contributions
Funding
Acknowledgments
Conflicts of Interest
References
- IARC. Dry Cleaning, Some Chlorinated Solvents and Other Industrial Chemicals; International Agency for Research on Cancer: Lyon, France, 1995; ISBN 978-92-832-1563-9. [Google Scholar]
- National Center for Biotechnology Information. 2-Methylfuran. Available online: https://pubchem.ncbi.nlm.nih.gov/compound/2-methylfuran (accessed on 23 March 2020).
- European Food Safety Authority. Update of results on the monitoring of furan levels in food. EFSA J. 2010, 8, 1702. [Google Scholar] [CrossRef]
- Altaki, M.; Santos, F.J.; Galceran, M. Occurrence of furan in coffee from Spanish market: Contribution of brewing and roasting. Food Chem. 2011, 126, 1527–1532. [Google Scholar] [CrossRef]
- Fromberg, A.; Fagt, S.; Granby, K. Furan in heat processed food products including home cooked food products and ready-to-eat products. EFSA Support. Publ. 2009, 6. [Google Scholar] [CrossRef]
- Knutsen, H.K.; Alexander, J.; Barregård, L.; Bignami, M.; Brüschweiler, B.; Ceccatelli, S.; Cottrill, B.; Dinovi, M.; Edler, L.; Grasl-Kraupp, B.; et al. Risks for public health related to the presence of furan and methylfurans in food. EFS2 2017, 15. [Google Scholar] [CrossRef]
- Locas, C.P.; Yaylayan, V.A. Origin and mechanistic pathways of formation of the parent furan—A food toxicant. J. Agric. Food Chem. 2004, 52, 6830–6836. [Google Scholar] [CrossRef]
- Limacher, A.; Kerler, J.; Davidek, T.; Schmalzried, F.; Blank, I. Formation of furan and methylfuran by maillard-type reactions in model systems and Food. J. Agric. Food Chem. 2008, 56, 3639–3647. [Google Scholar] [CrossRef]
- Adams, A.; Bouckaert, C.; Van Lancker, F.; De Meulenaer, B.; De Kimpe, N. Amino acid catalysis of 2-alkylfuran formation from lipid oxidation-derived α,β-unsaturated aldehydes. J. Agric. Food Chem. 2011, 59, 11058–11062. [Google Scholar] [CrossRef]
- Neuwirth, C.; Mosesso, P.; Pepe, G.; Fiore, M.; Malfatti, M.; Turteltaub, K.; Dekant, W.; Mally, A. Furan carcinogenicity: DNA binding and genotoxicity of furan in rats in vivo. Mol. Nutr. Food Res. 2012, 56, 1363–1374. [Google Scholar] [CrossRef]
- National Toxicology Program. Toxicology and Carcinogenesis Studies of Furan (CAS No. 110-00-9) in F344 rats and B6C3F1 mice (gavage studies). Natl. Toxicol. Program Tech. Rep. Ser. 1993, 402, 1–286. [Google Scholar]
- De Conti, A.; Kobets, T.; Escudero-Lourdes, C.; Montgomery, B.; Tryndyak, V.P.; Beland, F.A.; Doerge, D.R.; Pogribny, I.P. Dose- and time-dependent epigenetic changes in the livers of fisher 344 rats exposed to furan. Toxicol. Sci. 2014, 139, 371–380. [Google Scholar] [CrossRef]
- Peterson, L.A.; Naruko, K.C.; Predecki, D.P. A Reactive metabolite of furan,cis-2-butene-1,4-dial, is mutagenic in the ames assay. Chem. Res. Toxicol. 2000, 13, 531–534. [Google Scholar] [CrossRef]
- Palmen, N.; Evelo, C.T. Glutathione depletion in human erythrocytes and rat liver: A study on the interplay between bioactivation and inactivation functions of liver and blood. Toxicol. Vitr. 1996, 10, 273–281. [Google Scholar] [CrossRef]
- Ravindranath, V.; Burka, L.; Boyd, M. Reactive metabolites from the bioactivation of toxic methylfurans. Science 1984, 224, 884–886. [Google Scholar] [CrossRef]
- Gill, S.S.; Kavanagh, M.; Cherry, W.; Barker, M.; Weld, M.; Cooke, G.M. A 28-day Gavage Toxicity Study in Male Fischer 344 Rats with 2-methylfuran. Toxicol. Pathol. 2013, 42, 352–360. [Google Scholar] [CrossRef] [PubMed]
- Kremer, J.I.; Gömpel, K.; Bakuradze, T.; Eisenbrand, G.; Richling, E. Urinary excretion of niacin metabolites in humans after coffee consumption. Mol. Nutr. Food Res. 2018, 62, e1700735. [Google Scholar] [CrossRef]
- Kremer, J.I.; Pickard, S.; Stadlmair, L.F.; Glaß-Theis, A.; Buckel, L.; Bakuradze, T.; Eisenbrand, G.; Richling, E. Alkylpyrazines from coffee are extensively metabolized to pyrazine carboxylic acids in the human body. Mol. Nutr. Food Res. 2019, 63, e1801341. [Google Scholar] [CrossRef]
- Moro, S.; Chipman, J.K.; Wegener, J.W.; Hamberger, C.; Dekant, W.; Mally, A. Furan in heat-treated foods: Formation, exposure, toxicity, and aspects of risk assessment. Mol. Nutr. Food Res. 2012, 56, 1197–1211. [Google Scholar] [CrossRef]
- Kremer, J.I.; Karlstetter, D.; Klier, C.; Rohtermund, J.; Thomas, H.; Becker, H.; Lang, L.; Bakuradze, T.; Eisenbrand, G.; Richling, E. Detection and stability of BDA-lysine and -glutathione metabolites as urinary exposure biomarkers for furan in humans. Naunyn-Schmiedebergs Arch. Pharmacol. 2020, 393 (Suppl. 1), S1–S97. [Google Scholar] [CrossRef]
- Peterson, L.A.; Cummings, M.E.; Chan, J.Y.; Vu, C.C.; Matter, B.A. Identification of acis-2-butene-1,4-dial-derived glutathione conjugate in the urine of furan-treated rats. Chem. Res. Toxicol. 2006, 19, 1138–1141. [Google Scholar] [CrossRef]
- Lu, D.; Sullivan, M.M.; Phillips, M.B.; Peterson, L.A. Degraded protein adducts ofcis-2-butene-1,4-dial are urinary and hepatocyte metabolites of furan. Chem. Res. Toxicol. 2009, 22, 997–1007. [Google Scholar] [CrossRef]
- Grill, A.E.; Schmitt, T.; Gates, L.A.; Lu, D.; Bandyopadhyay, D.; Yuan, J.M.; Murphy, S.E.; Peterson, L.A. Abundant rodent furan-derived urinary metabolites are associated with tobacco smoke exposure in humans. Chem. Res. Toxicol. 2015, 28, 1508–1516. [Google Scholar] [CrossRef] [PubMed]
- Kellert, M.; Wagner, S.; Lutz, U.; Lutz, W.K. Biomarkers of furan exposure by metabolic profiling of rat urine with liquid chromatography-tandem mass spectrometry and principal component analysis. Chem. Res. Toxicol. 2008, 21, 761–768. [Google Scholar] [CrossRef] [PubMed]
- Rietjens, I.M.C.M.; Recker, T.; Günther, H.; Hanlon, P.; Honda, H.; Mally, A.; O’Hagan, S.; Scholz, G.; Seidel, A.; Swenberg, J.; et al. Exposure assessment of process-related contaminants in food by biomarker monitoring. Arch. Toxicol. 2018, 92, 15–40. [Google Scholar] [CrossRef] [PubMed]
- Hamberger, C.; Kellert, M.; Schauer, U.M.; Dekant, W.; Mally, A. Hepatobiliary toxicity of furan: Identification of furan metabolites in bile of male F344/N rats. Drug Metab. Dispos. 2010, 38, 1698–1706. [Google Scholar] [CrossRef]
- World Medical Association. WMA Declaration of Helsinki: Ethical Principles for Medical Research Involving Human Subjects. Available online: https://www.wma.net/policies-post/wma-declaration-of-helsinki-ethical-principles-for-medical-research-involving-human-subjects/ (accessed on 18 September 2020).













| Metabolite | Chemical Formula | Exact Mass (Da) | Found at m/z | Retention Time (min) | Matrices where Previously Found and References |
|---|---|---|---|---|---|
| GSH-BDA | C14H17N3O6S | 355.083809 | 356.1000 [M + H]+ | 7.63 | human urine [19,20,21], urine, bile, and hepatocytes of rats [22] |
| Lys-BDA | C10H16N2O3 | 212.11609 | 213.1232 [M + H]+ | 2.27 | human urine [20,23] |
| AcLys-BDA | C12H18N2O4 | 254.12666 | 255.1345 [M + H]+ | 4.36 | human urine [20,23]; rat urine [19,23] |
| AcCys-BDA-Lys | C15H23N3O5S | 357.13584 | 356.1167 [M − H]− | 7.58 | human urine and rat urine [23]; rat urine [23,24]; rat hepatocytes [22] |
| AcCys-BDA-AcLys | C17H25N3O6S | 399.14641 | 400.1471 [M + H]+ | 1.24 | urine, bile, and hepatocytes of rats [19,22,23,24] |
| AcCys (SO)-BDA-AcLys | C17H25N3O7S | 415.14132 | 416.1484 [M + H]+ | 4.46 | rat urine [19,23,24] |
| methanethiol-BDA-Glu | C10H13NO4S | 243.05653 | 244.0793 [M + H]+ | 1.05 | rat urine [19,24] |
| GSH-BDA-Lys | C20H31N5O8S | 501.18933 | 502.1740 [M + H]+ | 7.57 | rat urine [25]; rat hepatocytes [19,22] |
| GSH-BDA-Gln | C19H27N5O9S | 501.15295 | 500.1478 [M −H]− | 7.59 | rat urine [25]; rat hepatocytes [19,22] |
| GSH-BDA-AcLys | C22H33N5O9S | 543.19990 | 544.2036 [M + H]+ | 7.59 | rat hepatocytes [19,22] |
| GSH-BDA-Glu | C19H26N4O10S | 502.13696 | 503.1497 [M + H]+ | 1.47 | rat bile [19,22,26] |
| Cys-BDA-GSH | C17H24N4O8S2 | 476.10356 | 475.0941 [M − H]− | 7.68 | rat bile [19,26] |
| CysGyl-BDA-GSH | C19H27N5O9S2 | 533.12502 | 532.1480 [M − H]− | 7.60 | rat bile [19,26] |
| BDA-Lys-BDA | C14H18N2O4 | 278.12666 | 277.1187 [M − H]− | 7.57 | not previously reported, but postulated |
| Cys-BDA | C7H9NO3S | 187.03031 | 188.0384 [M + H]+ | 3.32 | not yet reported in the literature, only theoretical |
| Metabolite | Chemical Formula | Exact Massbreeak//(Da) | Found at m/z | Retention Time (min) | Previously Detected in (References) |
|---|---|---|---|---|---|
| AcCys-BDA | C9H11NO5S | 245.25234 | 246.0431 [M + H]+ | 1.46 | not previously reported, but postulated |
| Lys-AcA | C11H20N2O3 | 228.14739 | 227.1386 [M − H]− | 3.87 | not previously reported, but postulated |
| AcLys-AcA | C13H20N2O4 | 268.30890 | 267.1258 [M − H]− | 7.65 | not previously reported, but postulated |
| AcCys-AcA | C10H13NO5S | 259.05144 | 258.0441 [M − H]− | 7.58 | not previously reported, but postulated |
Publisher’s Note: MDPI stays neutral with regard to jurisdictional claims in published maps and institutional affiliations. |
© 2020 by the authors. Licensee MDPI, Basel, Switzerland. This article is an open access article distributed under the terms and conditions of the Creative Commons Attribution (CC BY) license (http://creativecommons.org/licenses/by/4.0/).
Share and Cite
Stegmüller, S.; Beißmann, N.; Kremer, J.I.; Mehl, D.; Baumann, C.; Richling, E. A New UPLC-qTOF Approach for Elucidating Furan and 2-Methylfuran Metabolites in Human Urine Samples after Coffee Consumption. Molecules 2020, 25, 5104. https://doi.org/10.3390/molecules25215104
Stegmüller S, Beißmann N, Kremer JI, Mehl D, Baumann C, Richling E. A New UPLC-qTOF Approach for Elucidating Furan and 2-Methylfuran Metabolites in Human Urine Samples after Coffee Consumption. Molecules. 2020; 25(21):5104. https://doi.org/10.3390/molecules25215104
Chicago/Turabian StyleStegmüller, Simone, Nadine Beißmann, Jonathan Isaak Kremer, Denise Mehl, Christian Baumann, and Elke Richling. 2020. "A New UPLC-qTOF Approach for Elucidating Furan and 2-Methylfuran Metabolites in Human Urine Samples after Coffee Consumption" Molecules 25, no. 21: 5104. https://doi.org/10.3390/molecules25215104
APA StyleStegmüller, S., Beißmann, N., Kremer, J. I., Mehl, D., Baumann, C., & Richling, E. (2020). A New UPLC-qTOF Approach for Elucidating Furan and 2-Methylfuran Metabolites in Human Urine Samples after Coffee Consumption. Molecules, 25(21), 5104. https://doi.org/10.3390/molecules25215104

