Antiradical and Antioxidative Activity of Azocalix[4]arene Derivatives: Combined Experimental and Theoretical Study
Abstract
1. Introduction
2. Results and Discussion
2.1. Hydroxyl Radical Scavenging Activity
2.2. Pyrogallol Autoxidation Inhibition Activity
2.3. Phenolic O–H BDEs, Proton Affinities (PAs) and Electron Transfer Enthalpies of Phenolate Anions
2.4. Spin Density Distribution Analysis of Phenoxyl Radicals
3. Materials and Methods
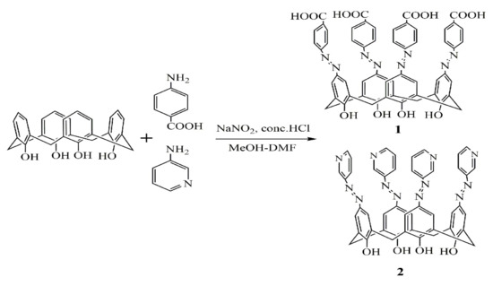
3.1. Synthesis of 5,11,17,23-tetrakis[(p-carboxyphenyl)azo]-25,26,27,28-tetrahydroxycalix[4]arene (1) and 5,11,17,23-tetrakis[(3-pyridine) azo]-25,26,27,28-tetrahydroxycalix[4]arene (2)
3.2. Hydroxyl Radical Scavenging and Pyrogallol Autoxidation Inhibition
3.3. Density Functional Theory Study of the Antiradical and Antioxidative Mechanism
4. Conclusions
Author Contributions
Funding
Conflicts of Interest
References
- Mathews, C.K.; van Holde, K.E.; Ahern, K.G. Biochemistry, 3rd ed.; Part IV; Benjamin Cummings: San Francisco, CA, USA, 2001. [Google Scholar]
- Valko, M.; Leibfritz, D.; Moncol, J.; Cronin, M.T.D.; Mazur, M.; Telser, J. Free radicals and antioxidants in normal physiological functions and human disease. Int. J. Biochem. Cell Biol. 2007, 39, 44–84. [Google Scholar] [CrossRef] [PubMed]
- Ikeda, A.; Shinkai, S. Novel Cavity Design Using Calix[n]arene Skeletons: Toward Molecular Recognition and Metal Binding. Chem. Rev. 1997, 97, 1713–1734. [Google Scholar] [CrossRef] [PubMed]
- Mokhtari, B.; Pourabdollah, K.; Dalali, N. Analytical applications of calixarenes from 2005 up-to-date. J. Incl. Phenom. Macrocycl. Chem. 2011, 69, 1–55. [Google Scholar] [CrossRef]
- Pur, F.N. Calixdrugs: Calixarene-based cluster of established therapeutic drug agents. Mol. Divers. 2016, 20, 781–787. [Google Scholar] [CrossRef]
- Seiffarth, K.; Schulz, M.; Gormar, G.; Bachmann, J. Calix[n]arenes-New light stabilizers for polyolefins. Polym. Degrad. Stab. 1989, 24, 73–80. [Google Scholar] [CrossRef]
- Chennakesavulu, K.; Sreedevi, P.; Basaria, M.R.; Reddy, G.R.; Sasipraba, T.; Raju, G.B.; Prabhakar, S. Thermal decomposition mechanism of p-tert-butyl-calix[n]arenes. Thermochim. Acta 2014, 575, 55–63. [Google Scholar] [CrossRef]
- Feng, W.; Yuan, L.; Zheng, S.; Huang, G.; Qiao, J.; Zhou, Y. The effect of p-tert-butylcalix[n]arene on γ-radiation degradation of polypropylene. Radiat. Phys. Chem. 2000, 57, 425–429. [Google Scholar] [CrossRef]
- Jipa, S.; Zaharescu, T.; Setnescu, R.; Setnescu, T.; Dumitru, M.; Gorghiu, L.M.; Mihalcea, I.; Bumbac, M. Effect of calixarenes on thermal stability of polyethylenes. Polym. Degrad. Stab. 2003, 80, 203–208. [Google Scholar] [CrossRef]
- Stephens, E.K.; Tauran, Y.; Coleman, A.W.; Fitzgerald, M. Structural requirements for anti-oxidant activity of calix[n]arenes and their associated anti-bacterial activity. Chem. Commun. 2015, 51, 851–854. [Google Scholar] [CrossRef]
- Pur, F.N.; Dilmaghani, K.A. New Antiradical Clusters Synthesized Using the First Green Biginelli Reactions of Calix[4]Arene. Pharm. Chem. J. 2016, 50, 80–82. [Google Scholar] [CrossRef]
- Lu, L.; Ruan, Z.; Ni, J.; Chen, J.; Shu, H.; Wang, Y.; Liu, Y. Improvement of antioxidative activity of resveratrol by calix[4]arene-like tetramer: A theoretical study. Comput. Theor. Chem. 2019, 1148, 1–7. [Google Scholar] [CrossRef]
- Li, H.; Zhong, Y.; Wu, W.; Zhang, L.; Lai, X.; Zeng, X. Phenolic antioxidants based on calixarene: Synthesis, structural characterization and antioxidative properties in natural rubber. J. Appl. Polym. Sci. 2017, 134, 45144. [Google Scholar] [CrossRef]
- Consoli, G.M.L.; Galante, E.; Daquino, C.; Granata, G.; Cunsolo, F.; Geraci, C. Hydroxycinnamic acid clustered by a calixarene platform: Radical scavenging and antioxidant activity. Tetrahedron Lett. 2006, 47, 6611–6614. [Google Scholar] [CrossRef]
- Baxendale, J.H.; Wilson, J.A. The photolysis of hydrogen peroxide at high light intensities. Trans. Faraday Soc. 1957, 53, 344–356. [Google Scholar] [CrossRef]
- Chenna, M.; Messaoudi, K.; Drouiche, N.; Lounici, H. Study and modeling of the organophosphorus compound degradation by photolysis of hydrogen peroxide in aqueous media by using experimental response surface design. J. Ind. Eng. Chem. 2016, 33, 307–315. [Google Scholar] [CrossRef]
- Šnyrychová, I.; Hideg, E. The first application of terephthalate fluorescence for highly selective detection of hydroxyl radicals in thylakoid membranes. Funct. Plant Biol. 2007, 34, 1105–1111. [Google Scholar] [CrossRef]
- Zhao, J.; Dong, W.; Zhang, X.; Chai, H.; Huang, Y. FeNPs@Co3O4 hollow nanocages hybrids as effective peroxidase mimics for glucose biosensing. Sens. Actuators B Chem. 2018, 263, 575–584. [Google Scholar] [CrossRef]
- Siegel, S.M.; Siegel, B.Z. Autoxidation of Pyrogallol: General Characteristics and Inhibition by Catalase. Nature 1958, 181, 1153–1154. [Google Scholar] [CrossRef]
- Li, X. Improved Pyrogallol Autoxidation Method: A Reliable and Cheap Superoxide-Scavenging Assay Suitable for All Antioxidants. J. Agric. Food Chem. 2012, 60, 6418–6424. [Google Scholar] [CrossRef]
- Lu, L.; Zhu, S.; Zhang, H.; Li, F.; Zhang, S. Theoretical study of complexation of resveratrol with cyclodextrins and cucurbiturils: Structure and antioxidative activity. RSC Adv. 2015, 5, 14114–14122. [Google Scholar] [CrossRef]
- Lu, L.; Zhu, S.; Zhang, H.; Zhang, S. Improvement of antioxidative activity of resveratrol by elongating conjugated chain: A DFT theoretical study. Comput. Theor. Chem. 2013, 1019, 39–47. [Google Scholar] [CrossRef]
- Wayner, D.D.M.; Lusztyk, E.; Page, D.; Ingold, K.U.; Mulder, P.; Laarhoven, L.J.J.; Aldrich, H.S. Effects of Solvation on the Enthalpies of Reaction of tert-Butoxyl Radicals with Phenol and on the Calculated O–H Bond Strength in Phenol. J. Am. Chem. Soc. 1995, 117, 8737–8744. [Google Scholar] [CrossRef]
- Lucarini, M.; Pedrielli, P.; Pedulli, G.F.; Cabiddu, S.; Fattuoni, C. Bond Dissociation Energies of O−H Bonds in Substituted Phenols from Equilibration Studies. J. Org. Chem. 1996, 61, 9259–9263. [Google Scholar] [CrossRef]
- Lucarini, M.; Pedulli, G.F.; Cipollone, M. Bond Dissociation Enthalpy of.alpha.-Tocopherol and Other Phenolic Antioxidants. J. Org. Chem. 1994, 59, 5063–5070. [Google Scholar] [CrossRef]
- Wright, J.S.; Carpenter, D.J.; McKay, D.J.; Ingold, K.U. Theoretical Calculation of Substituent Effects on the O−H Bond Strength of Phenolic Antioxidants Related to Vitamin E. J. Am. Chem. Soc. 1997, 119, 4245–4252. [Google Scholar] [CrossRef]
- Kosinova, P.; Meo, F.D.; Anouar, E.H.; Duroux, J.L.; Trouillas, P. H-atom acceptor capacity of free radicals used in antioxidant measurements. Int. J. Quantum Chem. 2011, 111, 1131–1142. [Google Scholar] [CrossRef]
- Borgohain, R.; Guha, A.K.; Pratihar, S.; Handique, J.G. Antioxidant activity of some phenolic aldehydes and their diimine derivatives: A DFT study. Comput. Theor. Chem. 2015, 1060, 17–23. [Google Scholar] [CrossRef]
- Marklund, S.; Marklund, G. Involvement of the Superoxide Anion Radical in the Autoxidation of Pyrogallol and a Convenient Assay for Superoxide Dismutase. Eur. J. Biochem. 1974, 47, 469–474. [Google Scholar] [CrossRef]
- Gutsche, C.D.; Iqbal, M.; Stewart, D. Calixarenes. 19. Syntheses procedures for p-tert-butylcalix[4]arene. J. Org. Chem. 1986, 51, 742–745. [Google Scholar] [CrossRef]
- Gutsche, C.D.; Lin, L.G. Calixarenes 12: The synthesis of functionalized calixarenes. Tetrahedron 1986, 42, 1633–1640. [Google Scholar] [CrossRef]
- Morita, Y.; Agawa, T.; Nomura, E.; Taniguchi, H. Syntheses and NMR behavior of calix[4]quinone and calix[4]hydroquinone. J. Org. Chem. 1992, 57, 3658–3662. [Google Scholar] [CrossRef]
- Xing, B.; Choi, M.; Zhou, Z.; Xu, B. Spontaneous Enrichment of Organic Molecules from Aqueous and Gas Phases into a Stable Metallogel. Langmuir 2002, 18, 9654–9658. [Google Scholar] [CrossRef]
- Lu, L.; Zhu, S.; Liu, X.; Xie, Z.; Yan, X. Highly selective chromogenic ionophores for the recognition of chromium(III) based on a water-soluble azocalixarene derivative. Anal. Chim. Acta 2005, 535, 183–187. [Google Scholar] [CrossRef]
- Armstrong, W.A.; Facey, R.A.; Grant, D.W.; Humphreys, W.D. A tissue-equivalent chemical dosimeter sensitive to 1 rad. Can. J. Chem. 1963, 41, 1575–1577. [Google Scholar] [CrossRef]
- Becke, A.D. Density-functional exchange-energy approximation with correct asymptotic behavior. Phys. Rev. A 1988, 38, 3098–3100. [Google Scholar] [CrossRef]
- Perdew, J.P. Density-functional approximation for the correlation energy of the inhomogeneous electron gas. Phys. Rev. B 1986, 33, 8822–8824. [Google Scholar] [CrossRef]
- Frisch, M.J.; Trucks, G.W.; Schlegel, H.B.; Scuseria, G.E.; Robb, M.A.; Cheeseman, J.R.; Scalmani, G.; Barone, V.; Mennucci, B.; Petersson, G.A.; et al. Gaussian 09; Revision B.02; Gaussian, Inc.: Pittsburgh, PA, USA, 2009. [Google Scholar]
Sample Availability: Samples of the compounds are available from the authors. |






| Compounds | O–H BDEs (kcal/mol) | Phenolate Anion | |
|---|---|---|---|
| PAs (kcal/mol) | ETEs (kcal/mol) | ||
| Calix[4]arene | 82.17 * | 276.59 | 117.74 |
| p-carboxyphenyl-azo-phenol | 81.26 | 278.57 | 115.21 |
| 3-aminopyridine-azo-phenol | 81.42 | 279.54 | 114.41 |
| 1 | 76.39 * | 265.85 | 122.89 |
| 2 | 77.97 * | 266.70 | 123.64 |
© 2019 by the authors. Licensee MDPI, Basel, Switzerland. This article is an open access article distributed under the terms and conditions of the Creative Commons Attribution (CC BY) license (http://creativecommons.org/licenses/by/4.0/).
Share and Cite
Ni, J.; Lu, L.; Liu, Y. Antiradical and Antioxidative Activity of Azocalix[4]arene Derivatives: Combined Experimental and Theoretical Study. Molecules 2019, 24, 485. https://doi.org/10.3390/molecules24030485
Ni J, Lu L, Liu Y. Antiradical and Antioxidative Activity of Azocalix[4]arene Derivatives: Combined Experimental and Theoretical Study. Molecules. 2019; 24(3):485. https://doi.org/10.3390/molecules24030485
Chicago/Turabian StyleNi, Jiaqi, Lilin Lu, and Yi Liu. 2019. "Antiradical and Antioxidative Activity of Azocalix[4]arene Derivatives: Combined Experimental and Theoretical Study" Molecules 24, no. 3: 485. https://doi.org/10.3390/molecules24030485
APA StyleNi, J., Lu, L., & Liu, Y. (2019). Antiradical and Antioxidative Activity of Azocalix[4]arene Derivatives: Combined Experimental and Theoretical Study. Molecules, 24(3), 485. https://doi.org/10.3390/molecules24030485

