Drug Side-Effect Prediction Via Random Walk on the Signed Heterogeneous Drug Network
Abstract
1. Introduction
2. Materials
2.1. Drug Chemical Profile
2.2. Drug Side-Effect Profile
2.3. Drug Biological Profile
2.4. Construction of the Signed Drug Heterogeneous Information Network
2.4.1. Unsigned Drug Subnetworks
2.4.2. Signed Drug Subnetwork
3. Methods
3.1. Random Walk on the Signed HIN
3.1.1. Biased Random Walk on a Signed Graph
3.1.2. Biased Random Walk Procedure on an Unsigned Graph
3.2. Learning Drug Embeddings
3.3. Prediction Formulation
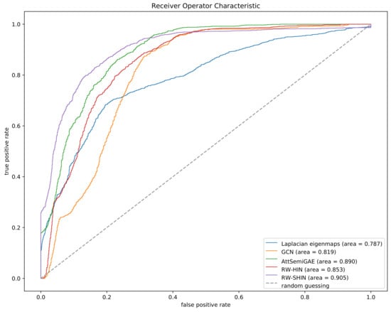
4. Results and Discussions
4.1. Performance Evaluation Metrics
4.2. Baselines
- Laplacian eigenmaps [34]: Laplacian eigenmaps is a typical matrix factorization method that has been widely adopted for data analysis of biomedical networks. It aims at factorizing a data matrix of a graph into lower dimensional matrices while preserving the topological properties of the original graph. For the drug HIN, we concatenated the Laplacian eigenmaps of each unsigned subnetwork to construct feature vectors of drugs for side-effect prediction.
- GCN [35]: GCN is a recently proposed network embedding method that is based on the spectral convolutional operation and realizes state-of-the-art performance on important prediction problems in recommender systems. Here, we linearly integrated the similarity matrices of the unsigned subnetworks in the drug HIN and learned the drug embeddings using GCN.
- AttSemiGAE [14]: AttSemiGAE utilizes multiview graph autoencoders (GAEs) and adds an attentive mechanism for determining the weights for each view with respect to the corresponding prediction tasks. Here, each unsigned subnetwork in the drug HIN is regarded as a single-view graph in the AttSemiGAE algorithm and the supervised information is the known side-effects of the drugs.
- RW-HIN: For further validation of the impacts of action modes on the quality of side-effect predictions, we designed a network embedding algorithm that ignores the signed drug information, namely, RW-HIN. The algorithm is based on random walk on an unsigned graph.
4.3. Result of Comparison
4.4. Case Studies
4.5. Performance Comparison among Embedding Dimensions
5. Conclusions and Future Work
Author Contributions
Funding
Conflicts of Interest
References
- Giacomini, K.M.; Krauss, R.M.; Dan, M.R.; Eichelbaum, M.; Hayden, M.R.; Nakamura, Y. When good drugs go bad. Nature 2007, 446, 975–977. [Google Scholar] [CrossRef] [PubMed]
- Yamanishi, Y.; Pauwels, E.; Kotera, M. Drug side-effect prediction based on the integration of chemical and biological spaces. J. Chem. Inf. Model. 2012, 52, 3284–3292. [Google Scholar] [CrossRef]
- Li, J.; Zheng, S.; Chen, B.; Butte, A.J.; Swamidass, S.J.; Lu, Z. A survey of current trends in computational drug repositioning. Brief. Bioinform. 2015, 17, 2–12. [Google Scholar] [CrossRef]
- Xu, B.; Shi, X.; Zhao, Z.; Zheng, W. Leveraging biomedical resources in bi-lstm for drug–drug interaction extraction. IEEE Access 2018, 6, 33432–33439. [Google Scholar] [CrossRef]
- Vilar, S.; Tatonetti, N.P.; Hripcsak, G. 3D pharmacophoric similarity improves multi adverse drug event identification in pharmacovigilance. Sci. Rep. 2015, 5, 8809. [Google Scholar] [CrossRef] [PubMed]
- Rong, L.; Dong, Y.; Kuang, Q.; Wu, Y.; Li, Y.; Min, Z.; Li, M. Inductive matrix completion for predicting adverse drug reactions (adrs) integrating drug–target interactions. Chemom. Intell. Lab. Syst. 2015, 144, 71–79. [Google Scholar]
- Zhang, P.; Wang, F.; Hu, J.; Sorrentino, R. Label propagation prediction of drug–drug interactions based on clinical side effects. Sci. Rep. 2015, 5, 12339. [Google Scholar] [CrossRef] [PubMed]
- Zheng, Y.; Peng, H.; Ghosh, S.; Lan, C.; Li, J. Inverse similarity and reliable negative samples for drug side-effect prediction. BMC Bioinform. 2019, 19, 554. [Google Scholar] [CrossRef]
- Zhang, W.; Liu, F.; Luo, L.; Zhang, J. Predicting drug side effects by multi-label learning and ensemble learning. BMC Bioinform. 2015, 16, 365. [Google Scholar] [CrossRef] [PubMed]
- Liu, M.; Wu, Y.; Chen, Y.; Sun, J.; Zhao, Z.; Chen, X.W.; Matheny, M.E.; Xu, H. Large-scale prediction of adverse drug reactions using chemical, biological, and phenotypic properties of drugs. J. Am. Med. Inform. Assoc. 2012, 19, e28–e35. [Google Scholar] [CrossRef]
- Yan, S.; Xu, D.; Zhang, B.; Zhang, H.J.; Yang, Q.; Lin, S. Graph embedding and extensions: A general framework for dimensionality reduction. IEEE Trans. Pattern Anal. Mach. Intell. 2006, 29, 40–51. [Google Scholar] [CrossRef]
- Cao, S. Deep Neural Network foR Learning Graph Representations. In Proceedings of the Thirtieth Aaai Conference on Artificial Intelligence, Phoenix, AZ, USA, 12–17 February 2016. [Google Scholar]
- Huang, Z.; Mamoulis, N. Heterogeneous information network embedding for meta path based proximity. arXiv 2017, arXiv:1701.05291. [Google Scholar]
- Ma, T.; Xiao, C.; Zhou, J.; Wang, F. Drug similarity integration through attentive multi-view graph auto-encoders. arXiv 2018, arXiv:1804.10850. [Google Scholar]
- Hu, B.; Wang, H.; Wang, L.; Yuan, W. Adverse Drug Reaction Predictions Using Stacking Deep Heterogeneous Information Network Embedding Approach. Molecules 2018, 23, 3193. [Google Scholar] [CrossRef]
- Campillos, M.; Kuhn, M.; Gavin, A.C.; Jensen, L.J.; Bork, P. Drug target identification using side-effect similarity. Science 2008, 321, 263–266. [Google Scholar] [CrossRef] [PubMed]
- Mizutani, S.; Pauwels, E.; Stoven, V.; Goto, S.; Yamanishi, Y. Relating drug–protein interaction network with drug side effects. Bioinformatics 2012, 28, i522–i528. [Google Scholar] [CrossRef]
- Yamanishi, Y.; Kotera, M.; Moriya, Y.; Sawada, R.; Goto, S. Dinies: Drug–target interaction network inference engine based on supervised analysis. Nucleic Acids Res. 2014, 42, W39–W45. [Google Scholar] [CrossRef]
- Torres, N.B.; Altafini, C. Drug combinatorics and side effect estimation on the signed human drug–target network. BMC Syst. Biol. 2015, 10, 74. [Google Scholar] [CrossRef]
- Iacono, G.; Altafini, C. Monotonicity, frustration, and ordered response: An analysis of the energy landscape of perturbed large-scale biological networks. BMC Syst. Biol. 2010, 4, 83. [Google Scholar] [CrossRef]
- Iacono, G.; Ramezani, F.; Soranzo, N.; Altafini, C. Determining the distance to monotonicity of a biological network: A graph-theoretical approach. IET Syst. Biol. 2010, 4, 223. [Google Scholar] [CrossRef]
- Milo, R.; Shen-Orr, S.; Itzkovitz, S.; Kashtan, N.; Chklovskii, D.; Alon, U. Network motifs: Simple building blocks of complex networks. Science 2002, 298, 824–827. [Google Scholar] [CrossRef] [PubMed]
- Sontag, E.D. Monotone and near-monotone biochemical networks. Syst. Synth. Biol. 2007, 1, 59–87. [Google Scholar] [CrossRef] [PubMed]
- Wang, H.; Zhang, F.; Min, H.; Xing, X.; Guo, M.; Qi, L. Shine: Signed heterogeneous information network embedding for sentiment link prediction. arXiv 2017, arXiv:1712.00732. [Google Scholar]
- Lovász, L. Random walks on graphs: A survey. In Combinatorics, Paul Erdos Is Eighty; János Bolyai Mathematical Society: Hungary, Budapest, 1993; pp. 353–397. [Google Scholar]
- Mikolov, T.; Sutskever, I.; Chen, K.; Corrado, G.; Dean, J. Distributed representations of words and phrases and their compositionality. Adv. Neural Inf. Process. Syst. 2013, 26, 3111–3119. [Google Scholar]
- Knox, C.; Law, V.; Jewison, T.; Liu, P.; Wishart, D.S. Drugbank 3.0: A comprehensive resource for ‘omics’ research on drugs. Nucleic Acids Res. 2010, 39, D1035–D1041. [Google Scholar] [CrossRef] [PubMed]
- Hu, B.; Wang, H.; Yu, X.; Yuan, W.; He, T. Sparse network embedding for community detection and sign prediction in signed social networks. J. Ambient Intell. Hum. Comput. 2019, 10, 175–186. [Google Scholar] [CrossRef]
- Grover, A.; Leskovec, J. Node2vec: Scalable feature learning for networks. arXiv 2016, arXiv:1607.00653. [Google Scholar]
- Wang, Y.; Xiao, J.; Suzek, T.O.; Zhang, J.; Wang, J.; Bryant, S.H. Pubchem: A public information system for analyzing bioactivities of small molecules. Nucleic Acids Res. 2009, 37, W623–W633. [Google Scholar] [CrossRef]
- Kuhn, M.; Campillos, M.; Letunic, I.; Jensen, L.J.; Bork, P. A side effect resource to capture phenotypic effects of drugs. Mol. Syst. Biol. 2010, 6, 343. [Google Scholar] [CrossRef]
- Tatonetti, N.P.; Ye, P.P.; Daneshjou, R.; Altman, R.B. Data-driven prediction of drug effects and interactions. Sci. Transl. Med. 2012, 4, 125ra31. [Google Scholar] [CrossRef]
- Hastie, T.; Tibshirani, R.; Friedman, J.; Franklin, J. The elements of statistical learning: Data mining, inference and prediction. Math. Intell. 2005, 27, 83–85. [Google Scholar]
- Belkin, M. Laplacian eigenmaps and spactral techniques for embedding and clustering. Adv. Neural Inf. Process. Syst. 2002, 14, 585–591. [Google Scholar]
- Kipf, T.N.; Welling, M. Semi-supervised classification with graph convolutional networks. arXiv 2016, arXiv:1609.02907. [Google Scholar]
- Ishide, T. Denopamine, a selective beta1-receptor agonist and a new coronary vasodilator. Curr. Med. Res. Opin. 2002, 18, 407–413. [Google Scholar] [CrossRef] [PubMed]
- Wang, L.; Wang, H.; Song, Y.; Wang, Q. MCPL-Based FT-LSTM: Medical Representation Learning-Based Clinical Prediction Model for Time Series Events. IEEE Accesss 2019, 7, 70253–70264. [Google Scholar] [CrossRef]











| Edge Sign | Action Modes in DrugBank |
|---|---|
| Positive (+) | agonist; partial agonist; activator; stimulator; inducer; positive allosteric modulator; potentiator; positive modulator |
| Negative (−) | Inhibitor; inhibitory allosteric modulator; inhibitor competitive; antagonist; partial antagonist; negative modulator; inverse agonist; blocker; suppressor; desensitize the target; neutralizer; reducer |
| Not classifiable (0) | antibody; cofactor; modulator; binder; chaperone; cleavage; metabolizer; ligand; product of; component of; chelator; cross-linking/alkylation; intercalation; adduct; acetylation; allosteric modulator |
| Number of Triads | Number of T1 (+ + +) | Number of T2 (− − +) | Number of T3 (+ + −) | Number of T4 (− − −) |
|---|---|---|---|---|
| 33,470 | 19,700 (58.86%) | 12,266 (36.65%) | 1216 (3.63%) | 288 (0.86%) |
| Method | |||
|---|---|---|---|
| random | 20 ± 2.48 | 52 ± 3.46 | 97 ± 3.44 |
| Laplacian eigenmaps | 228 ± 8.08 | 316 ± 7.23 | 429 ± 6.45 |
| GCN | 249 ± 7.28 | 343 ±6.39 | 441 ± 5.27 |
| AttSemiGAE | 264 ± 4.79 | 365 ± 5.81 | 460± 6.42 |
| RW-HIN | 258 ±8.12 | 328 ± 7.47 | 454 ± 7.18 |
| RW-SHIN | 276 ±5.48 | 354 ± 6.32 | 465 ± 8.93 |
| Betaxolol | Confirmed | Dobutamine | Confirmed | |
|---|---|---|---|---|
| dysphasia | yes | hypokalemia | yes | |
| perforated gastric ulcer | no | sneezing | no | |
| nausea | yes | pruritus | yes | |
| headache | yes | nausea | yes | |
| mood disorders | yes | insomnia | no | |
| shoulder pain | no | streptococcal pharyngitis | no | |
| hypercholesterolemia | yes | heartburn | yes | |
| otitis externa | yes | skin necrosis | yes | |
| tumor | no | adrenal disease | no | |
| ear pain | yes | dyskinesia | no |
© 2019 by the authors. Licensee MDPI, Basel, Switzerland. This article is an open access article distributed under the terms and conditions of the Creative Commons Attribution (CC BY) license (http://creativecommons.org/licenses/by/4.0/).
Share and Cite
Hu, B.; Wang, H.; Yu, Z. Drug Side-Effect Prediction Via Random Walk on the Signed Heterogeneous Drug Network. Molecules 2019, 24, 3668. https://doi.org/10.3390/molecules24203668
Hu B, Wang H, Yu Z. Drug Side-Effect Prediction Via Random Walk on the Signed Heterogeneous Drug Network. Molecules. 2019; 24(20):3668. https://doi.org/10.3390/molecules24203668
Chicago/Turabian StyleHu, Baofang, Hong Wang, and Zhenmei Yu. 2019. "Drug Side-Effect Prediction Via Random Walk on the Signed Heterogeneous Drug Network" Molecules 24, no. 20: 3668. https://doi.org/10.3390/molecules24203668
APA StyleHu, B., Wang, H., & Yu, Z. (2019). Drug Side-Effect Prediction Via Random Walk on the Signed Heterogeneous Drug Network. Molecules, 24(20), 3668. https://doi.org/10.3390/molecules24203668

