Effects of Lipid Solid Mass Fraction and Non-Lipid Solids on Crystallization Behaviors of Model Fats under High Pressure
Abstract
1. Introduction
2. Results and Discussion
2.1. Crystallization Temperature (Ts) and Pressure Threshold
2.2. Induction Time of Crystallization (tc)
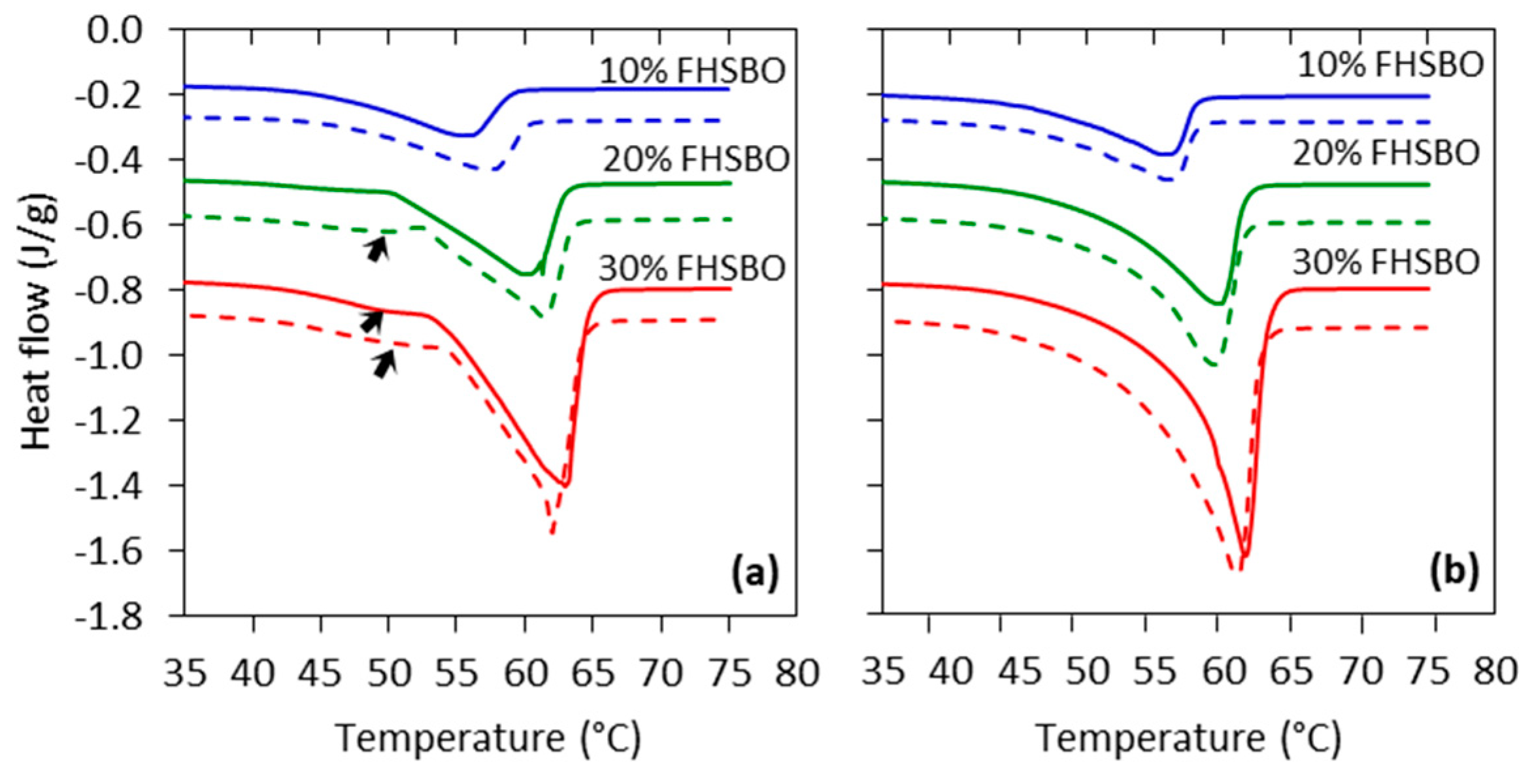
2.3. Melting Properties of the Crystallizaed Model Fats
2.4. Samples Solid Fat Content (SFC), Shear Storage Modulus, and Microstructure
3. Materials and Methods
3.1. Sample Preparation
3.2. Fatty Acid Composition
3.3. High-Pressure Crystallization Experiments
3.4. Atmospheric Crystallization Experiments (Control Sample)
3.5. Determination of Crystallization Temperature and Induction Time
3.6. Solid Fat Content (SFC)
3.7. Thermal Analysis
3.8. Small Amplitude Oscillatory Rheological Measurement
3.9. Microstructural Analysis
3.10. Statistical Analysis
4. Conclusions
Supplementary Materials
Author Contributions
Acknowledgments
Conflicts of Interest
References
- Sato, K. Crystallization of Lipids: Fundamentals and Applications in Food Cosmetics and Pharmaceuticals; Sato, K., Ed.; John Wiley & Sons Ltd.: Hoboken, NJ, USA, 2018; ISBN 9781118593929. [Google Scholar]
- Lopes, J.D.; Grosso, C.R.F.; De Andrade Calligaris, G.; Cardoso, L.P.; Basso, R.C.; Ribeiro, A.P.B.; Efraim, P. Solid lipid microparticles of hardfats produced by spray cooling as promising crystallization modifiers in lipid systems. Eur. J. Lipid Sci. Technol. 2015, 117, 1733–1744. [Google Scholar] [CrossRef]
- Stahl, M.A.; Buscato, M.H.M.; Grimaldi, R.; Cardoso, L.P.; Ribeiro, A.P.B. Structuration of lipid bases with fully hydrogenated crambe oil and sorbitan monostearate for obtaining zero-trans/low sat fats. Food Res. Int. 2018, 107, 61–72. [Google Scholar] [CrossRef] [PubMed]
- Ribeiro, A.P.B.; Masuchi, M.H.; Miyasaki, E.K.; Domingues, M.A.F.; Stroppa, V.L.Z.; de Oliveira, G.M.; Kieckbusch, T.G. Crystallization modifiers in lipid systems. J. Food Sci. Technol. 2015, 52, 3925–3946. [Google Scholar] [CrossRef] [PubMed]
- De Oliveira, G.M.; Ribeiro, A.P.B.; Kieckbusch, T.G. Hard fats improve technological properties of palm oil for applications in fat-based products. LWT–Food Sci. Technol. 2015, 63, 1155–1162. [Google Scholar] [CrossRef]
- Pernetti, M.; van Malssen, K.F.; Flöter, E.; Bot, A. Structuring of edible oils by alternatives to crystalline fat. Curr. Opin. Colloid Interface Sci. 2007, 12, 221–231. [Google Scholar] [CrossRef]
- Rogers, M.A. Novel structuring strategies for unsaturated fats–Meeting the zero-trans, zero-saturated fat challenge: A review. Food Res. Int. 2009, 42, 747–753. [Google Scholar] [CrossRef]
- Ribeiro, A.P.B.; Grimaldi, R.; Gioielli, L.A.; Dos Santos, A.O.; Cardoso, L.P.; Gonçalves, L.A.G. Thermal behavior, microstructure, polymorphism, and crystallization properties of zero trans fats from soybean oil and fully hydrogenated soybean oil. Food Biophys. 2009, 4, 106–118. [Google Scholar] [CrossRef]
- Svanberg, L.; Ahrné, L.; Lorén, N.; Windhab, E. Effect of sugar, cocoa particles and lecithin on cocoa butter crystallisation in seeded and non-seeded chocolate model systems. J. Food Eng. 2011, 104, 70–80. [Google Scholar] [CrossRef]
- Dhonsi, D.; Stapley, A.G.F. The effect of shear rate, temperature, sugar and emulsifier on the tempering of cocoa butter. J. Food Eng. 2006, 77, 936–942. [Google Scholar] [CrossRef]
- Maleky, F.; Smith, A.K.; Marangoni, A. Laminar Shear Effects on Crystalline Alignments and Nanostructure of a Triacylglycerol Crystal Network. Cryst. Growth Des. 2011, 11, 2335–2345. [Google Scholar] [CrossRef]
- Zulkurnain, M.; Maleky, F.; Balasubramaniam, V.M. High pressure crystallization of binary fat blend: A feasibility study. Innov. Food Sci. Emerg. Technol. 2016, 38, 302–311. [Google Scholar] [CrossRef]
- Delgado, A.; Kulisiewicz, L.; Rauh, C.; Benning, R. Basic aspects of phase changes under high pressure. Ann. NY Acad. Sci. 2010, 1189, 16–23. [Google Scholar] [CrossRef] [PubMed]
- Heremans, K. High pressure effects on proteins and other biomolecules. Annu. Rev. Biophys. Bioeng. 1982, 11, 1–12. [Google Scholar] [CrossRef] [PubMed]
- LeBail, A.; Boillereaux, L.; Davenel, A.; Hayert, M.; Lucas, T.; Monteau, J.Y. Phase transition in foods: Effect of pressure and methods to assess or control phase transition. Innov. Food Sci. Emerg. Technol. 2003, 4, 15–24. [Google Scholar] [CrossRef]
- Hiramatsu, N.; Inoue, T.; Suzuki, M.; Sato, K. Pressure study on thermal transitions of oleic acid polymorphs by high-pressure differential thermal analysis. Chem. Phys. Lipids 1989, 51, 47–53. [Google Scholar] [CrossRef]
- Kościesza, R.; Kulisiewicz, L.; Delgado, A. Observations of a high-pressure phase creation in oleic acid. High Press. Res. 2010, 30, 118–123. [Google Scholar] [CrossRef]
- Ferstl, P.; Gillig, S.; Kaufmann, C.; Dürr, C.; Eder, C.; Wierschem, A.; Russ, W. Pressure-induced phase transitions in triacylglycerides. Ann. NY Acad. Sci. 2010, 1189, 62–67. [Google Scholar] [CrossRef]
- Yasuda, A.; Mochizuki, K. The behavior of triglycerides under high pressure: The high pressure can stably crystallize cocoa butter in chocolate. High Press. Biotechnol. 1992, 224, 255–259. [Google Scholar]
- Greiner, M.; Reilly, A.M.; Briesen, H. Temperature- and pressure-dependent densities, self-diffusion coefficients, and phase behavior of monoacid saturated triacylglycerides: Toward molecular-level insights into processing. J. Agric. Food Chem. 2012, 60, 5243–5249. [Google Scholar] [CrossRef]
- Roßbach, A.; Bahr, L.A.; Gäbel, S.; Braeuer, A.S.; Wierschem, A. Growth Rate of Pressure-Induced Triolein Crystals. JAOCS J. Am. Oil Chem. Soc. 2019, 96, 25–33. [Google Scholar] [CrossRef]
- Yoshikawa, S.; Kida, H.; Sato, K. Promotional effects of new types of additives on fat crystallization. J. Oleo Sci. 2014, 63, 333–345. [Google Scholar] [CrossRef] [PubMed]
- Yoshikawa, S.; Kida, H.; Matsumura, Y.; Sato, K. Adding talc particles improves physical properties of palm oil-based shortening. Eur. J. Lipid Sci. Technol. 2016, 118, 1007–1017. [Google Scholar] [CrossRef]
- Higaki, K.; Koyano, T.; Hachiya, I.; Sato, K.; Suzuki, K. Rheological properties of β-fat gel made of binary mixtures of high-melting and low-melting fats. Food Res. Int. 2004, 37, 799–804. [Google Scholar] [CrossRef]
- Zulkurnain, M.; Balasubramaniam, V.M.; Maleky, F. Thermal Effects on Lipids Crystallization Kinetics under High Pressure. Cryst. Growth Des. 2017, 17, 4835–4843. [Google Scholar] [CrossRef]
- Tefelski, D.B.; Kulisiewicz, L.; Wierschem, A.; Delgado, A.; Rostocki, A.J.; Siegoczyński, R.M. The particle image velocimetry method in the study of the dynamics of phase transitions induced by high pressures in triolein and oleic acid. High Press. Res. 2011, 31, 178–185. [Google Scholar] [CrossRef]
- Hiramatsu, N.; Inoue, T.; Sato, T.; Suzuki, M.; Sato, K. Pressure effect on transformation of cis-unsaturated fatty acid polymorphs. 3. Erucic acid (cis-ω9-docosenoic acid) and asclepic acid (cis-ω7-octadecenoic acid). Chem. Phys. Lipids 1992, 61, 283–291. [Google Scholar] [CrossRef]
- Siegoczyński, R.; Kościesza, R.; Tefelski, D.B.; Kos, A. Molecular collapse–modification of the liquid structure induced by pressure in oleic acid. High Press. Res. 2009, 29, 61–66. [Google Scholar] [CrossRef]
- Ferstl, P.; Eder, C.; Ruß, W.; Wierschem, A. Pressure-induced crystallization of triacylglycerides. High Press. Res. 2011, 31, 339–349. [Google Scholar] [CrossRef]
- Maleky, F.; Acevedo, N.C.; Marangoni, A.G. Cooling rate and dilution affect the nanostructure and microstructure differently in model fats. Eur. J. Lipid Sci. Technol. 2012, 114, 748–759. [Google Scholar] [CrossRef]
- DeMan, L.; DeMan, J.M.; Blackman, B. Polymorphic behavior of some fully hydrogenated oils and their mixtures with liquid oil. J. Am. Oil Chem. Soc. 1989, 66, 1777–1780. [Google Scholar] [CrossRef]
- Rousseau, D.; Hodge, S.M.; Nickerson, M.T.; Paulson, A.T. Regulating the β′→β polymorphic transition in food fats. J. Am. Oil Chem. Soc. 2005, 82, 7–12. [Google Scholar] [CrossRef]
- Sevdin, S.; Yücel, U.; Alpas, H. Effect of High Hydrostatic Pressure (HHP) on Crystal Structure of Palm Stearin Emulsions. Innov. Food Sci. Emerg. Technol. 2017, 42, 42–48. [Google Scholar] [CrossRef]
- Lida, H.M.D.N.; Ali, A.R.M. Physicochemical characteristics of palm-based oil blends for the production of reduced fat spreads. JAOCS J. Am. Oil Chem. Soc. 1998, 75, 1625–1631. [Google Scholar] [CrossRef]
- Omonov, T.S.; Bouzidi, L.; Narine, S.S. Quantification of oil binding capacity of structuring fats: A novel method and its application. Chem. Phys. Lipids 2010, 163, 728–740. [Google Scholar] [CrossRef] [PubMed]
- Wassell, P.; Young, N.W.G. Food applications of trans fatty acid substitutes. Int. J. Food Sci. Technol. 2007, 42, 503–517. [Google Scholar] [CrossRef]
- Bouzidi, L.; Omonov, T.S.; Garti, N.; Narine, S.S. Relationships between molecular structure and kinetic and thermodynamic controls in lipid systems. Part I: Propensity for oil loss of saturated triacylglycerols. Food Funct. 2013, 4, 130–143. [Google Scholar] [CrossRef] [PubMed]
- Murphy, D.B. Fundamentals of Light Microscopy and Electronic Imaging; John Wiley & Sons Ltd.: Hoboken, NJ, USA, 2002. [Google Scholar]
- Bot, A.; Veldhuizen, Y.S.J.; den Adel, R.; Roijers, E.C. Non-TAG structuring of edible oils and emulsions. Food Hydrocoll. 2009, 23, 1184–1189. [Google Scholar] [CrossRef]
- Himawan, C.; Starov, V.M.; Stapley, A.G.F. Thermodynamic and kinetic aspects of fat crystallization. Adv. Colloid Interface Sci. 2006, 122, 3–33. [Google Scholar] [CrossRef]
- American Oil Chemists’ Society. Fatty acid composition by packed column gas chromatography. In Official Methods and Recommended Practices of the AOCS; AOCS Press: Champaign, IL, USA, 2011. [Google Scholar]
- Wunderlich, B. Thermal Analysis, 1st ed.; Academic Press: New York, NY, USA, 1990. [Google Scholar]
Sample Availability: Samples of the binary model fats are available from the authors. |




| Coefficients | 10% FHSBO | 20% FHSBO | 30% FHSBO | |||
|---|---|---|---|---|---|---|
| 0% Salt | 1% Salt | 0% Salt | 1% Salt | 0% Salt | 1% Salt | |
| a0 (°C/(100 MPa)2) | −1.17 | −1.06 | −1.36 | −1.34 | −1.57 | −1.65 |
| a1 (°C/100 MPa) | 18.4 | 19.0 | 20.3 | 19.9 | 21.2 | 21.1 |
| a2 (°C) | 32.72 | 32.45 | 38.94 | 39.57 | 41.86 | 42.70 |
| R2 | 0.999 | 0.999 | 0.999 | 0.999 | 0.999 | 0.998 |
| SSE | 6.94 | 6.49 | 3.63 | 4.54 | 5.3 | 8.63 |
| b0 (°C/100 MPa) | 5.5 | 5.4 | 6.0 | 5.8 | 6.9 | 6.9 |
| R2 (Tmax) | 0.999 | 0.996 | 0.997 | 0.999 | 0.998 | 0.998 |
| Pressure threshold (MPa) | 531.7 | 560.1 | 423.6 | 351.0 | 351.0 | 300.5 |
| Pressure (MPa) | Induction time of crystallization 1 (min) | |||||
|---|---|---|---|---|---|---|
| 10% FHSBO | 20% FHSBO | 30% FHSBO | ||||
| 0% Salt | 1% Salt | 0% Salt | 1% Salt | 0% Salt | 1% Salt | |
| 0.1 | 6.18 ± 0.2 Ai | 6.47 ± 0.0 ai | 4.53 ± 0.3 Aii | 4.20 ± 0.2 aii | 3.69 ± 0.1 Aiii | 3.68 ± 0.3 aiii |
| 100 | 2.69 ± 0.3 Bi | 2.74 ± 0.1 bi | 2.72 ± 0.1 Bi | 2.61 ± 0.0 bi | 2.49 ± 0.3 Bi | 2.33 ± 0.1 bi |
| 300 | 1.39 ± 0.1 Ci | 1.44 ± 0.1 ci | 0.85 ± 0.0 Cii | 0.82 ± 0.0 cii | 0.92 ± 0.2 Cii | 0.49 ± 0.1 ciii* |
| 600 | 0.66 ± 0.1 Di | 0.72 ± 0.0 di | 0.49 ± 0.0 Dii | 0.44 ± 0.0 dii | 0.46 ± 0.1 Dii | 0.43 ± 0.0 cii |
| Fatty Acid (%) | FHSBO | FHSBO:SBO (w/w%) | |||||
|---|---|---|---|---|---|---|---|
| 10:90 | 20:80 | 30:70 | |||||
| 0% Salt | 1% Salt | 0% Salt | 1% Salt | 0% Salt | 1% Salt | ||
| Linoleic acid (C18:2n6) | - | 49.6 | 50.6 | 44.0 | 44.6 | 39.4 | 39.0 |
| Stearic acid (C18:0) | 91.1 | 11.8 | 11.4 | 20.4 | 20.2 | 29.0 | 28.8 |
| Oleic acid (C18:1n9) | - | 20.6 | 21.9 | 18.4 | 19.1 | 15.9 | 16.3 |
| Palmitic acid (C16:0) | 8.9 | 11.1 | 10.8 | 11.2 | 10.9 | 11.1 | 10.6 |
| γ-Linolenic acid (C18:3n6) | - | 4.8 | 4.9 | 4.2 | 4.8 | 4.5 | 4.9 |
| Linolenic acid (C18:3n3) | - | 0.2 | 0.2 | 0.2 | 0.2 | 0.2 | 0.3 |
| Melting Point 1 (Tm, °C) | ||||||
| Pressure (MPa) | 10% FHSBO | 20% FHSBO | 30% FHSBO | |||
| 0% Salt | 1% Salt | 0% Salt | 1% Salt | 0% Salt | 1% Salt | |
| 0.1 | 57.10 ± 0.2 A | 57.64 ± 0.6 a | 60.61 ± 0.6 I | 61.23 ± 0.2 i | 62.74 ± 0.3 A | 62.11 ± 0.4 a |
| 100 | 56.31 ± 0.1 B | 56.89 ± 0.1 b | 59.29 ± 0.5 II | 59.34 ± 0.4 ii | 62.11 ± 0.3 B | 61.59 ± 0.3 ab |
| 300 | 56.37 ± 0.2 B | 56.30 ± 0.1 c | 59.48 ± 0.1 II | 59.58 ± 0.2 ii | 61.57 ± 0.1 C | 61.40 ± 0.1 b |
| 600 | 55.90 ± 0.2 C | 55.84 ± 0.1 d | 59.38 ± 0.2 II | 59.32 ± 0.3 ii | 61.83 ± 0.2 BC | 61.08 ± 0.2 b* |
| Onset of Melting 1 (To, °C) | ||||||
| Pressure (MPa) | 10% FHSBO | 20% FHSBO | 30% FHSBO | |||
| 0% Salt | 1% Salt | 0% Salt | 1% Salt | 0% Salt | 1% Salt | |
| 0.1 | 46.02 ± 0.5 A | 45.81 ± 0.4 a | 52.72 ± 2.0 A | 53.25 ± 2.3 a | 53.41 ± 0.8 A | 54.11 ± 0.9 ab |
| 100 | 46.37 ± 0.7 AB | 48.20 ± 0.1 d* | 52.50 ± 0.9 A | 52.14 ± 2.1 a | 56.12 ± 0.7 B | 53.98 ± 0.8 ab* |
| 300 | 47.23 ± 0.9 AB | 47.85 ± 0.2 c | 52.50 ± 1.6 A | 52.39 ± 2.0 a | 57.07 ± 1.6 B | 54.00 ± 0.2 a* |
| 600 | 47.72 ± 1.0 B | 46.87 ± 0.4 b | 51.76 ± 1.1 A | 53.58 ± 1.5 a* | 56.96 ± 1.0 B | 55.21 ± 0.6 b* |
| Specific Enthalpy of Melting 1 (ΔHm, J/g) | ||||||
| Pressure (MPa) | 10% FHSBO | 20% FHSBO | 30% FHSBO | |||
| 0% Salt | 1% Salt | 0% Salt | 1% Salt | 0% Salt | 1% Salt | |
| 0.1 | 17.67 ± 0.1 A | 16.86 ± 0.6 a* | 34.64 ± 1.1 A | 35.16 ± 0.4 a | 58.45 ± 2.1 A | 52.58 ± 2.3 a* |
| 100 | 18.86 ± 0.6 B | 16.62 ± 0.6 a* | 37.93 ± 1.0 B | 39.92 ± 1.6 b* | 60.88 ± 2.7 AB | 61.66 ± 2.7 b |
| 300 | 18.87 ± 0.5 B | 18.79 ± 0.2 b | 38.64 ± 2.0 B | 40.49 ± 2.3 b | 60.66 ± 1.6 AB | 67.51 ± 1.2 b* |
| 600 | 18.80 ± 0.3 B | 19.11 ± 0.2 b | 37.89 ± 1.0 B | 40.39 ± 1.0 b* | 63.34 ± 0.3 B | 70.61 ± 3.2 b* |
| Pressure (MPa) | Solid Fat Content 1 (SFC, %) | |||||
|---|---|---|---|---|---|---|
| 10% FHSBO | 20% FHSBO | 30% FHSBO | ||||
| 0% Salt | 1% Salt | 0% Salt | 1% Salt | 0% Salt | 1% Salt | |
| 0.1 | 10.92 ± 0.12 A | 10.97 ± 0.11 a | 19.31 ± 0.24 II | 19.58 ± 0.31 ii | 28.78 ± 0.15 B | 20.07 ± 0.46 b |
| 100 | 11.07 ± 0.04 A | 11.15 ± 0.12 a | 20.54 ± 0.05 I | 21.21 ± 0.04 i* | 29.83 ± 0.37 A | 31.28 ± 0.48 a* |
| 300 | 11.12 ± 0.03 A | 11.18 ± 0.17 a | 20.58 ± 0.05 I | 21.23 ± 0.06 i* | 29.66 ± 0.08 A | 32.38 ± 0.20 a* |
| 600 | 11.17 ± 0.05 A | 11.19 ± 0.17 a | 20.44 ± 0.04 I | 20.33 ± 0.07 i* | 29.78 ± 0.07 A | 31.63 ± 0.27 a* |
| Pressure (MPa) | Shear Storage Modulus 1 (G’, Pa) | |||||
|---|---|---|---|---|---|---|
| 10% FHSBO | 20% FHSBO | 30% FHSBO | ||||
| 0% Salt | 1% Salt | 0% Salt | 1% Salt | 0% Salt | 1% Salt | |
| 0.1 | 15.1 ± 3.2 C | 21.4 ± 2.0 d | 4.1 × 105 ± 1.2 × 105 I | 4.5 × 105 ± 9.9 × 104 ii | 2.4 × 106 ± 2.0 × 105 A | 2.3 × 106 ± 3.2 × 105 ab |
| 100 | 2.9 × 104 ± 4.3 × 103 B | 3.3 × 104 ± 1.4 × 103 c | 4.7 × 105 ± 5.4 × 104 I | 3.7 × 105 ± 3.7 × 104 ii* | 2.1 × 106 ± 7.1 × 104 B | 2.2 × 106 ± 4.0 × 104 b |
| 300 | 5.3 × 104 ± 1.8 × 103 A | 5.7 × 104 ± 2.7 × 103 b | 4.6 × 105 ± 1.2 × 104 I | 5.0 × 105 ± 2.9 × 104 i,ii | 2.3 × 106 ± 9.4 × 104 AB | 2.5 × 106 ± 1.6 × 105 ab |
| 600 | 6.1 × 104 ± 2.4 × 103 A | 9.4 × 104 ± 1.3 × 104 a | 5.9 × 105 ± 2.9 × 104 I | 6.4 × 105 ± 1.4 × 104 i* | 2.4 × 106 ± 1.2 × 105 A | 2.7 × 106 ± 1.1 × 105 a* |
© 2019 by the authors. Licensee MDPI, Basel, Switzerland. This article is an open access article distributed under the terms and conditions of the Creative Commons Attribution (CC BY) license (http://creativecommons.org/licenses/by/4.0/).
Share and Cite
Zulkurnain, M.; Balasubramaniam, V.M.; Maleky, F. Effects of Lipid Solid Mass Fraction and Non-Lipid Solids on Crystallization Behaviors of Model Fats under High Pressure. Molecules 2019, 24, 2853. https://doi.org/10.3390/molecules24152853
Zulkurnain M, Balasubramaniam VM, Maleky F. Effects of Lipid Solid Mass Fraction and Non-Lipid Solids on Crystallization Behaviors of Model Fats under High Pressure. Molecules. 2019; 24(15):2853. https://doi.org/10.3390/molecules24152853
Chicago/Turabian StyleZulkurnain, Musfirah, V.M. Balasubramaniam, and Farnaz Maleky. 2019. "Effects of Lipid Solid Mass Fraction and Non-Lipid Solids on Crystallization Behaviors of Model Fats under High Pressure" Molecules 24, no. 15: 2853. https://doi.org/10.3390/molecules24152853
APA StyleZulkurnain, M., Balasubramaniam, V. M., & Maleky, F. (2019). Effects of Lipid Solid Mass Fraction and Non-Lipid Solids on Crystallization Behaviors of Model Fats under High Pressure. Molecules, 24(15), 2853. https://doi.org/10.3390/molecules24152853

