Metabolites and Biological Activities of Thymus zygis, Thymus pulegioides, and Thymus fragrantissimus Grown under Organic Cultivation
Abstract
1. Introduction
2. Results and Discussion
2.1. Nutritional Composition
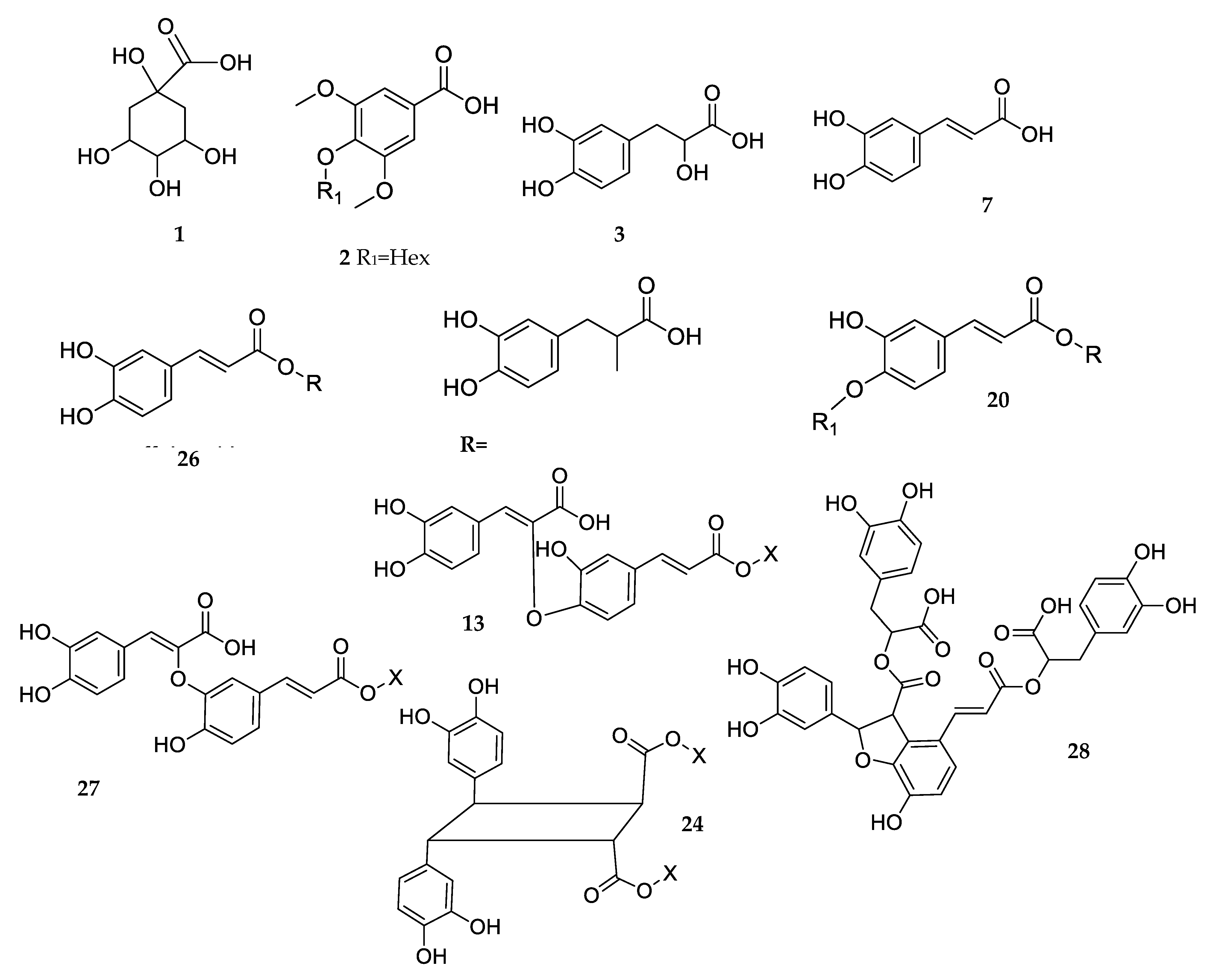
2.2. Phenolic Characterization of Thymus Decoctions
2.3. Antioxidant Activity
2.4. Antibacterial Activity
3. Materials and Methods
3.1. Chemicals
3.2. Plant Cultivation and Material
3.3. Extraction of Phenolic Compounds
3.4. Nutritional Value
3.5. Identification and Quantification of Phenolic Compounds
3.6. Antioxidant Activity
3.6.1. DPPH●Scavenging Test
3.6.2. Reducing Power Test
3.7. Antimicrobial Activity
3.8. Statistical Analysis
4. Conclusions
Supplementary Materials
Author Contributions
Acknowledgments
Conflicts of Interest
References
- Pirbalouti, A.; Bistghani, Z.; Malekpoor, F. An overview on genus Thymus. J. Herb. Drugs 2015, 6, 93–100. [Google Scholar]
- Morales, R. The history, botany and taxonomy of the genus Thymus. In Thyme, the Genus Thymus; Stahl-Biskup, E., Sáez, F., Eds.; Taylor & Francis: London, UK, 2002; ISBN 0415284880. [Google Scholar]
- Pereira, O.R.; Cardoso, S.M. Overview on Mentha and Thymus Polyphenols. Curr. Anal. Chem. 2013, 9, 382–396. [Google Scholar] [CrossRef]
- Rougemont, G.M. A Field Guide to the Crops of Britain and Europe; Collins: London, UK, 1989; ISBN 9780002197137. [Google Scholar]
- Willer, H.; Schaack, D.; Lernoud, J. Organic Farming and Market Development in Europe and the European Union. In The World of Organic Agriculture—Statistics and Emerging Trends 2017; Organics International: Bonn, Germany, 2017. [Google Scholar]
- Rajeswara Rao, B.; Rajput, D. Organic Farming: Medicinal and Aromatic Plants. In National Seminar on Organic Farming: Current Scenario and Future Thrust; A.N.G.R. Agricultural University: Hyderabad, India, 2005. [Google Scholar]
- Brezeanu, C.; Brezeanu, P.M.; Ambaras, S.; Robu, T.; Dobrescu, A. Prioritization of the écologie cultivation of certain species which are less spread, but have multiple potential uses (culinary, medicinal, melliferous, decorative). Acta Hortic. 2016, 1125, 91–97. [Google Scholar] [CrossRef]
- Malik, A.A.; Ahmad, J.; Abdin, M.Z. Development of organic cultivation of medicinal plants in the North India. Herba Pol. 2013, 59. [Google Scholar] [CrossRef]
- Barański, M.; Średnicka-Tober, D.; Volakakis, N.; Seal, C.; Sanderson, R.; Stewart, G.B.; Benbrook, C.; Biavati, B.; Markellou, E.; Giotis, C.; et al. Higher antioxidant and lower cadmium concentrations and lower incidence of pesticide residues in organically grown crops: A systematic literature review and meta-analyses. Br. J. Nutr. 2014, 112, 794–811. [Google Scholar] [CrossRef] [PubMed]
- Sousa, C.; Valentão, P.; Pereira, D.M.; Andrade, P.B. Phytochemical and antioxidant characterization of Brassica oleracea var. costata extracts. Recent Prog. Med. Plants 2009, 24, 299–328. [Google Scholar]
- Horváth, G.; Szabó, L.; Héthelyi, É.; Lemberkovics, É. Essential oil composition of three cultivated Thymus chemotypes from Hungary. J. Essent. Oil Res. 2006, 18, 315–317. [Google Scholar] [CrossRef]
- Zarzuelo, A.; Crespo, E. The medicinal and non-medicinal uses of thyme. In Thyme, the Genus Thymus; Stahl-Biskup, E., Sáez, F., Eds.; Taylor & Francis: London, UK, 2002; ISBN 0415284880. [Google Scholar]
- Kiani, M.; Firoozian, F.; Moradkhani, S. Formulation and physicochemical evaluation of toothpaste formulated with Thymus vulgaris essential oil. J. HerbMed Pharmacol. 2017, 6, 130–135. [Google Scholar]
- Stahl-Biskup, E. Thyme as a herbal drug—Pharmacopoeias and other product characteristics. In Thyme, the Genus Thymus; Stahl-Biskup, E., Sáez, F., Eds.; Taylor & Francis: London, UK, 2002; ISBN 0415284880. [Google Scholar]
- Lawrence, B.M.; Tucker, A.O. The genus Thymus as a source of commercial products. In Thyme, the Genus Thymus; Stahl-Biskup, E., Sáez, F., Eds.; Taylor & Francis: London, UK, 2002; ISBN 0415284880. [Google Scholar]
- Carović-Stanko, K.; Petek, M.; Grdiša, M.; Pintar, J.; Bedeković, D.; Ćustić, M.H.; Satovic, Z. Medicinal plants of the family Lamiaceae as functional foods-A review. Czech J. Food Sci. 2016, 34, 377–390. [Google Scholar] [CrossRef]
- Brewer, M.S. Natural Antioxidants: Sources, Compounds, Mechanisms of Action, and Potential Applications. Compr. Rev. Food Sci. Food Saf. 2011, 10, 221–247. [Google Scholar] [CrossRef]
- Fernandes, Â.S.F.; Barros, L.; Carvalho, A.M.; Ferreira, I.C.F.R. Lipophilic and hydrophilic antioxidants, lipid peroxidation inhibition and radical scavenging activity of two Lamiaceae food plants. Eur. J. Lipid Sci. Technol. 2010, 112, 1115–1121. [Google Scholar] [CrossRef]
- Kindl, M.; Blažeković, B.; Bucar, F.; Vladimir-Knežević, S. Antioxidant and anticholinesterase potential of six thymus species. Evid.-Based Complement. Altern. Med. 2015, 2015. [Google Scholar] [CrossRef] [PubMed]
- Szostak-Wegierek, D.; Kllosiewicz-Latoszek, L.; Szostak, W.B.; Cybulska, B. The role of dietary fats for preventing cardiovascular disease. Rocz. Panstw. Zakl. Hig. 2014, 64, 2013–2014. [Google Scholar]
- FAO Fats and fatty acids in human nutrition: Report of an expert consultation. In FAO Food and Nutrition Paper; Food and Agriculture Organization of the United Nations: Rome, Italy, 2010; Volume 91, ISBN 9789251067338.
- Martin, C.A.; De Almeida, V.V.; Ruiz, M.R.; Visentainer, J.E.L.; Matshushita, M.; De Souza, N.E.; Visentainer, J.V. Ácidos graxos poliinsaturados ômega-3 e ômega-6: Importância e ocorrência em alimentos. Rev. Nutr. 2006, 19, 761–770. [Google Scholar] [CrossRef]
- Simopoulos, A.P. The importance of the ratio of omega-6/omega-3 essential fatty acids. Biomed. Pharmacother. 2002, 56, 365–379. [Google Scholar] [CrossRef]
- Afonso, A.F.; Pereira, O.R.; Neto, R.T.; Silva, A.M.S.; Cardoso, S.M. Health-promoting effects of Thymus herba-barona, Thymus pseudolanuginosus, and Thymus caespititius decoctions. Int. J. Mol. Sci. 2017, 18. [Google Scholar] [CrossRef] [PubMed]
- Miron, T.L.; Plaza, M.; Bahrim, G.; Ibáñez, E.; Herrero, M. Chemical composition of bioactive pressurized extracts of Romanian aromatic plants. J. Chromatogr. A 2011, 1218, 4918–4927. [Google Scholar] [CrossRef] [PubMed]
- Pereira, O.R.; Peres, A.M.; Silva, A.M.S.; Domingues, M.R.M.; Cardoso, S.M. Simultaneous characterization and quantification of phenolic compounds in Thymus × citriodorus using a validated HPLC-UV and ESI-MS combined method. Food Res. Int. 2013, 54, 1773–1780. [Google Scholar] [CrossRef]
- Sevindik, H.G.; Ozgen, U.; Atila, A.; Er, H.O.; Kazaz, C.; Duman, H. Phtytochemical studies and quantitative HPLC analysis of rosmarinic acid and luteolin 5-O-β-d-glucopyranoside on Thymus praecox subsp. grossheimii var. grossheimii. Chem. Pharm. Bull. 2015, 63, 720–725. [Google Scholar] [CrossRef] [PubMed]
- Ložiene, K.; Venskutonis, P.R.; Šipailiene, A.; Labokas, J. Radical scavenging and antibacterial properties of the extracts from different Thymus pulegioides L. chemotypes. Food Chem. 2007, 103, 546–559. [Google Scholar] [CrossRef]
- Baharfar, R.; Azimi, R.; Mohseni, M. Antioxidant and antibacterial activity of flavonoid-, polyphenol- and anthocyanin-rich extracts from Thymus kotschyanus boiss & hohen aerial parts. J. Food Sci. Technol. 2015, 52, 6777–6783. [Google Scholar] [CrossRef] [PubMed]
- Benbelaïd, F.; Khadir, A.; Abdoune, M.A.; Bendahou, M. Phytochemical screening and in vitro antimicrobial activity of Thymus lanceolatus Desf. from Algeria. Asian Pac. J. Trop. Dis. 2013, 3, 454–459. [Google Scholar] [CrossRef]
- Mahboubi, A.; Kamalinejad, M.; Ayatollahi, A.M.; Babaeian, M. Total phenolic content and antibacterial activity of five plants of labiatae against four foodborne and some other bacteria. Iran. J. Pharm. Res. 2014, 13, 559–566. [Google Scholar] [PubMed]
- Muhaisen, H.M.H.; Ab-Mous, M.M.; Ddeeb, F.A.; Rtemi, A.A.; Taba, O.M.; Parveen, M. Antimicrobial agents from selected medicinal plants in Libya. Chin. J. Integr. Med. 2016, 22, 177–184. [Google Scholar] [CrossRef] [PubMed]
- Ertürk, Ö. Antibacterial and antifungal effects of alcoholic extracts of 41 medicinal plants growing in Turkey. Czech J. Food Sci. 2010, 28, 53–60. [Google Scholar] [CrossRef]
- Ferreira, F.M.; Dinis, L.T.; Azedo, P.; Galhano, C.I.C.; Simões, A.; Cardoso, S.M.; Domingues, M.R.M.; Pereira, O.R.; Palmeira, C.M.; Peixoto, F.P. Antioxidant capacity and toxicological evaluation of Pterospartum tridentatum flower extracts. CYTA J. Food 2012, 10, 92–102. [Google Scholar] [CrossRef]
- Association of Official Analytical Chemists (AOAC). Official Methods of Analysis, 16th ed.; AOAC: Arlington, VA, USA, 1995. [Google Scholar]
- Van Netten, C.; Hoption Cann, S.A.; Morley, D.R.; Van Netten, J.P. Elemental and radioactive analysis of commercially available seaweed. Sci. Total Environ. 2000, 255, 169–175. [Google Scholar] [CrossRef]
- Pereira, O.R.; Silva, A.M.S.; Domingues, M.R.M.; Cardoso, S.M. Identification of phenolic constituents of Cytisus multiflorus. Food Chem. 2012, 131, 652–659. [Google Scholar] [CrossRef]
- Pereira, O.R.; Macias, R.I.R.; Perez, M.J.; Marin, J.J.G.; Cardoso, S.M. Protective effects of phenolic constituents from Cytisus multiflorus, Lamium album L. and Thymus citriodorus on liver cells. J. Funct. Foods 2013, 5, 1170–1179. [Google Scholar] [CrossRef]
- Catarino, M.D.; Silva, A.M.S.; Saraiva, S.C.; Sobral, A.J.F.N.; Cardoso, S.M. Characterization of phenolic constituents and evaluation of antioxidant properties of leaves and stems of Eriocephalus africanus. Arab. J. Chem. 2015. [Google Scholar] [CrossRef]
- Ruiz, S.P.; Anjos, M.M. Dos; Carrara, V.S.; de Lima, J.N.; Cortez, D.A.G.; Nakamura, T.U.; Nakamura, C.V.; De Abreu Filho, B.A. Evaluation of the antibacterial activity of Piperaceae extracts and Nisin on Alicyclobacillus acidoterrestris. J. Food Sci. 2013, 78. [Google Scholar] [CrossRef] [PubMed]




| Total Content | T. zygis | T. pulegioides | T. fragrantissimus |
|---|---|---|---|
| Total Carbohydrates (g/100 g dw) | 86.88 ± 0.51 | 81.22 ± 0.90 | 77.56 ± 0.16 |
| Protein (g/100 g dw) | 3.59 ± 0.13 | 8.28 ± 0.81 | 10.49 ± 0.13 |
| Ash (g/100 g dw) | 5.02 ± 0.25 | 8.24 ± 0.06 | 7.66 ± 0.22 |
| Minerals (mg/100 g dw) * | |||
| Na | 7.6 | 7.4 | 9.0 |
| K | 1229.3 | 2185.6 | 1719.5 |
| Ca | 566.0 | 1039.4 | 865.6 |
| Mg | 119.8 | 148.3 | 241.8 |
| Fe | 4.4 | 1.9 | 7.8 |
| Mn | 9.8 | 15.7 | 6.9 |
| Cu | 0.1 | 0.1 | 0.3 |
| Zn | 2.1 | 1.7 | 2.7 |
| Fat (g/100 g dw) | 4.52 ± 0.12 | 2.27 ± 0.03 | 4.30 ±0.19 |
| Fatty acids (relative %) * | |||
| C12: 0 | 0.48 | 0.5 | 0.7 |
| C14: 0 | 1.2 | 1.1 | 1.4 |
| C16: 0 | 18.8 | 23.6 | 23.3 |
| C18: 0 | 3.2 | 3.3 | 2.8 |
| C18: 1n9 | 16.9 | 19.0 | 8.6 |
| C18: 2n6c | 32.6 | 20.4 | 19.3 |
| C18: 3n3 | 15.6 | 27.6 | 36.2 |
| C20: 0 | 2.8 | 1.8 | 2.6 |
| C22: 1n9 | 8.3 | 2.7 | 5.0 |
| SFA | 26.5 | 30.2 | 30.9 |
| MUFA | 25.3 | 20.9 | 13.8 |
| PUFA | 48.3 | 48.9 | 55.3 |
| PUFA/SFA | 1.8 | 1.6 | 1.8 |
| n-6/n-3 | 2.1 | 0.8 | 0.5 |
| Caloric content (kcal/100 g dw) | 402.50 ± 0.42 | 378.39 ± 0.08 | 390.86 ± 1.83 |
| T. zygis | T. pulegioides | T. fragrantissimus | |
|---|---|---|---|
| Yield of Extraction (%) | 12.39 ± 0.60 a | 24.86 ± 1.71 b | 15.67 ± 4.56 a |
| Total phenolic compounds (μg GAE/mg of extract) | 287.86 ± 18.50 a | 390.94 ± 2.48 b | 287.08 ± 3.76 a |
| NP | RT (min) | λmax | Compound | [M − H]− | MS2 Main Fragments ESI-MSn (m/z) | T. zig | T. pul | T. fragr |
|---|---|---|---|---|---|---|---|---|
| 1 | 1.3 | 298 | Quinic Ac | 191 | 111, 173, 93, 85 | D | D | D |
| 2 | 1.6 | 277 | Syringic Ac hex | 359 | 197, 179, 135 | D | D | D |
| 3 | 1.8 | 281 | Danshensu | 197 | 179, 73 | D | D | D |
| 4 | 1.9 | 283 | Eriod di-O-hex | 611 | 449, 287 | - | D | - |
| 5 | 2.4 | 271, 326 | Api di-C-glc | 593 | 473, 503, 575, 353 | 1.60 ± 0.32 a | - | 2.69 ± 0.50 a |
| 6 | 3.3 | 283 | Eriod-O-hex (isom1) | 449 | 287 | - | 9.43 ± 0.21 | - |
| 7 | 289, 321 | CaffAc | 179 | 135 | 8.46 ± 0.02 a | 2.54 ± 0.14 b | ||
| 8 | 3.4 | 285 | SA F der | 375 | 313, 179 | D | - | D |
| 9 | 3.7 | 283 | Eriod-O-hex (isom2) | 449 | 287 | 6.02 ± 0.94 a | 9.90 ± 0.19 b | 2.71 ± 0.03 c |
| 10 | 4.1 | 281, 342 | Querc glcA | 477 | 301 | - | 3.28 ± 0.03 a | 1.13 ± 0.25 b |
| 11 | 4.2 | 282, 342 | Querc-O-hex | 463 | 301 | 2.97 ± 0.90 a | - | 1.48 ± 0.02 b |
| 12 | 4.6 | 341 | Lut-C-glc | 447 | 357, 285, 327 | 4.86 ± 0.03 a | 8.27 ± 0.13 b | 2.00 ± 0.02 c |
| 13 | 5.6 | 281, 342 | SA I/H | 537 | 339, 493 | - | D | - |
| 14 | 6.2 | 258, 268, 342 | Lut-O-di glc | 593 | 285, 447 | 1.19 ± 0.01 a | - | 0.36 ± 0.02 b |
| 15 | 6.2 | 283 | Nar-O-glc | 433 | 271, 313 | - | 1.90 ± 0.97 | - |
| 16 | 6.8 | 282, 333 | Scut-O-glcA | 461 | 285, 175, 284, 257 | D | D | - |
| 17 | 7.0 | 254, 265, 345 | Lut-O-glcA (isom1) | 461 | 285 | 7.57 ± 0.05 a | 26.14 ± 0.78 b | 16.86 ± 0.21 c |
| 18 | 7.1 | 283 | Eriod-O-glcA | 463 | 287, 175, 151 | - | D | D |
| 19 | 7.3 | 282, 336 | Querc-O-pent | 433 | 301 | D | - | - |
| 20 | 7.6 | 288, 321 | RA hex | 521 | 359 | D | - | D |
| 21 | 254, 267, 344 | Lut-O-glcA (isom2) | 461 | 285 | - | D | - | |
| 22 | 8.5 | 240, 339 | Chrys-O-hex | 461 | 299, 285 | 0.78 ± 0.01 a | 12.00 ± 0.15 b | |
| 23 | 281 | CaffAc der | 553 | 465, 311, 535, 357 | - | - | D | |
| 24 | 8.7 | 283 | Sagerinic Ac | 719 | 359, 539, 521, 341 | D | D | D |
| 25 | 9.3 | 267, 334 | Api-O-glcA | 445 | 269, 175 | D | 9.20 ± 0.21 a | 1.76 ± 0.10 b |
| 26 | 9.6 | 290, 328 | RA | 359 | 223, 197, 179 | 62.36 ± 2.72 a | 81.65 ± 7.02 b | 81.04 ± 7.93 b |
| 27 | 9.8 | 287, 311 | CaffRA (isom1) | 537 | 493, 515, 357, 335, 519, 153 | 2.79 ± 0.24 a | 5.25 ± 0.19 b | - |
| 28 | 10.1 | 287, 328 | SA B | 717 | 519, 357, 555, 359 | 1.89 ± 0.20 | - | - |
| 29 | 10.7 | 290, 323 | CaffRA (isom2) | 537 | 493, 359, 519, 179 | 19.40 ± 0.76 a | 57.73 ± 1.95 b | 16.21 ± 0.54 c |
| 30 | 12.1 | 288, 322 | CaffRA (isom3) | 537 | 375, 493, 357, 359 | D | D | D |
| 31 | 12.5 | 287, 328 | CaffRA (isom4) | 537 | 439, 519, 357, 197, 493, 323, 331, 313 | - | D | - |
| 32 | 12.8 | 288, 323 | CaffRA (isom5) | 537 | 519, 359, 357, 339, 235, 493, 279, 207 | - | D | - |
| Total | 119.90 ± 3.31 a | 225.79 ± 15.08 b | 126.65 ± 9.73 a | |||||
| Caffeic acid and derivatives | 94.89 ± 1.84 a | 144.63 ± 8.79 b | 101.12 ± 6.75 a | |||||
| Flavones | 16.01 ± 0.27 a | 55.62 ± 1.05 b | 21.67 ± 0.59 c | |||||
| Flavonols | 2.97 ± 0.90 a | 3.28 ± 0.03 a | 2.62 ± 0.25 a | |||||
| Flavanones | 6.02 ± 0.94 a | 19.93 ± 0.46 b | 2.71 ± 0.03 c |
| T. zygis | T. pulegioides | T. fragrantissimus | Standard | |
|---|---|---|---|---|
| Antioxidant properties | ||||
| DPPH● (1) (μg/mL) | 12.65 ± 2.30 a,b | 9.50 ± 1.98 a,b | 12.87 ± 3.79 a | 6.90 ± 0.5 b |
| Reducing Power (2) (μg/mL) | 33.66 ± 1.93 a | 30.73 ± 1.48 a | 32.44 ± 4.27 a | 16.30 ± 1.5 b |
| Antibacterial properties (3) (MIC/MBC, mg/mL) | ||||
| G (+) bacteria | ||||
| Staphylococcus aureus | 1.13/1.13 | 5.75/5.75 | 3.75/3.75 | 0.25/0.25 |
| Staphylococcus epidermidis | 4.50/4.50 | 5.75/11.50 | 7.50/>7.50 | <0.06/<0.06 |
| G (−) bacteria | ||||
| Salmonella typhimurium | 4.50/4.50 | 5.75/11.50 | 7.50/7.50 | 0.50/0.50 |
| Escherichia coli | >4.5/>4.5 | >11.50/>11.50 | 7.50/>7.50 | 0.50/0.50 |
| Pseudomonas aeruginosa | 4.5/>4.5 | 5.75/11.50 | 7.50/>7.50 | 0.50/1.0 |
© 2018 by the authors. Licensee MDPI, Basel, Switzerland. This article is an open access article distributed under the terms and conditions of the Creative Commons Attribution (CC BY) license (http://creativecommons.org/licenses/by/4.0/).
Share and Cite
Afonso, A.F.; Pereira, O.R.; Válega, M.; Silva, A.M.S.; Cardoso, S.M. Metabolites and Biological Activities of Thymus zygis, Thymus pulegioides, and Thymus fragrantissimus Grown under Organic Cultivation. Molecules 2018, 23, 1514. https://doi.org/10.3390/molecules23071514
Afonso AF, Pereira OR, Válega M, Silva AMS, Cardoso SM. Metabolites and Biological Activities of Thymus zygis, Thymus pulegioides, and Thymus fragrantissimus Grown under Organic Cultivation. Molecules. 2018; 23(7):1514. https://doi.org/10.3390/molecules23071514
Chicago/Turabian StyleAfonso, Andrea F., Olívia R. Pereira, Mónica Válega, Artur M. S. Silva, and Susana M. Cardoso. 2018. "Metabolites and Biological Activities of Thymus zygis, Thymus pulegioides, and Thymus fragrantissimus Grown under Organic Cultivation" Molecules 23, no. 7: 1514. https://doi.org/10.3390/molecules23071514
APA StyleAfonso, A. F., Pereira, O. R., Válega, M., Silva, A. M. S., & Cardoso, S. M. (2018). Metabolites and Biological Activities of Thymus zygis, Thymus pulegioides, and Thymus fragrantissimus Grown under Organic Cultivation. Molecules, 23(7), 1514. https://doi.org/10.3390/molecules23071514

