Sign in to use this feature.

Years

Between: -

Subjects

remove_circle_outline
remove_circle_outline
remove_circle_outline
remove_circle_outline
remove_circle_outline
remove_circle_outline
remove_circle_outline
remove_circle_outline
remove_circle_outline

Journals

remove_circle_outline
remove_circle_outline
remove_circle_outline
remove_circle_outline
remove_circle_outline
remove_circle_outline
remove_circle_outline
remove_circle_outline
remove_circle_outline
remove_circle_outline
remove_circle_outline
remove_circle_outline
remove_circle_outline
remove_circle_outline
remove_circle_outline
remove_circle_outline

Article Types

Countries / Regions

remove_circle_outline
remove_circle_outline
remove_circle_outline
remove_circle_outline
remove_circle_outline
remove_circle_outline

Search Results (1,373)

Search Parameters:
Keywords = Thymus

Order results
Result details
Results per page
Select all
Export citation of selected articles as:
21 pages, 1508 KB  
Article
Evaluation of Immunotoxicity Induced by Organophosphorus Pesticide Malathion
by Weichunbai Zhang, Minhan Lou, Ling Yong, Xiao Xiao, Chunlai Liang, Wei Wang, Hui Yang, Xudong Jia, Yin Wang and Yan Song
Toxics 2026, 14(4), 279; https://doi.org/10.3390/toxics14040279 - 26 Mar 2026
Viewed by 231
Abstract
Malathion (MLT) is an organophosphate pesticide widely used worldwide. Due to its environmental persistence and accumulation in living organisms, concerns have been raised regarding its potential health effects beyond the classical mechanism of cholinergic inhibition, particularly its impact on immune function. In this [...] Read more.
Malathion (MLT) is an organophosphate pesticide widely used worldwide. Due to its environmental persistence and accumulation in living organisms, concerns have been raised regarding its potential health effects beyond the classical mechanism of cholinergic inhibition, particularly its impact on immune function. In this study, we aimed to systematically evaluate the immunotoxicity of MLT in mice and identify the lowest-observed-adverse-effect level (LOAEL) for immunotoxic effects. Key parameters assessed included body and organ weights, hematological and clinical chemistry profiles, histopathological changes, and immune function indicators. The results showed that exposure to MLT, particularly at low and intermediate doses, led to a significant increase in thymus weight, along with marked reductions in interleukin-10 (IL-10) levels, neutrophils, polychromatic erythroblasts, and monocyte lineage cells. Histological examination revealed atrophy of splenic white pulp, indicating immunopathological alterations predominantly at these dose levels. In contrast, immunoglobulin G (IgG) levels increased in a dose-dependent manner, possibly reflecting a compensatory humoral response to the observed suppression of cellular immune components. Meanwhile, the plaque-forming cell (PFC) response exhibited a dose-dependent trend but was significantly inhibited only at the highest dose, suggesting a complex, non-linear effect on humoral immunity. Based on significant alterations in thymus weight, cellular immune parameters, and splenic histopathology observed at the lowest dose tested (16 mg/kg bw), this value was preliminarily identified as the LOAEL for MLT-induced immunotoxicity in mice. Full article
Show Figures

Figure 1

10 pages, 1271 KB  
Article
A Recombinant Subunit Vaccine Against Chicken Infectious Anemia Virus Elicits Protective Immunity via VP2-Assisted VP1 Refolding
by Shihao Li, Mingxue Hu, Yanping Zhang, Yulu Duan, Ru Guo, Huijing Sun, Wenzhuo Ma, Xiaole Qi, Hongyu Cui, Suyan Wang, Yuntong Chen, Yongzhen Liu and Yulong Gao
Vaccines 2026, 14(4), 292; https://doi.org/10.3390/vaccines14040292 - 25 Mar 2026
Viewed by 220
Abstract
Background: Chicken infectious anemia virus (CIAV) is a globally significant immunosuppressive pathogen that causes substantial economic losses to the poultry industry, with particularly severe outbreaks in China in recent years. Given the limitations of existing vaccines, especially the residual virulence associated with live [...] Read more.
Background: Chicken infectious anemia virus (CIAV) is a globally significant immunosuppressive pathogen that causes substantial economic losses to the poultry industry, with particularly severe outbreaks in China in recent years. Given the limitations of existing vaccines, especially the residual virulence associated with live attenuated vaccines, there is an urgent need to develop novel, safer, and more effective vaccine strategies. Methods: In this study, the VP1 and VP2 genes of CIAV were cloned and expressed in Escherichia coli to develop a cost-effective subunit vaccine. Since VP1 primarily formed inclusion bodies, a “VP2-assisted co-refolding” strategy was employed. This involved denaturing VP1 and refolding it via gradient dialysis in the presence of soluble VP2, thereby leveraging VP2’s natural chaperone-like function to restore conformational epitopes. The refolded VP1/VP2 protein complexes, emulsified at different ratios, were used to immunize 3-day-old specific pathogen-free (SPF) chickens, followed by challenge with a virulent CIAV strain. Results: The vaccine formulation with a VP1:VP2 ratio of 1:1 provided the best protection, achieving 71.4% (5/7) protective efficacy, as evidenced by significantly reduced thymic atrophy and a higher thymus index. Conclusions: These findings validate the feasibility of using an economical prokaryotic expression system combined with a rational protein refolding strategy to produce a protective subunit vaccine candidate against CIAV, offering a promising alternative for disease control. Full article
(This article belongs to the Special Issue Vaccines and Animal Health: 2nd Edition)
Show Figures

Figure 1

26 pages, 1953 KB  
Article
Peripheral Oxidation-Inflammation and Immunosenescence in Triple-Transgenic Mice for Alzheimer’s Disease (3xTg-AD) at Early Neuropathological Stages of Disease and Decrease of Immune Impairment by Voluntary Exercise
by Mónica De la Fuente, Antonio Garrido, Carmen Vida, Rashed Manassra and Lydia Gimenez-Llort
Biomolecules 2026, 16(3), 475; https://doi.org/10.3390/biom16030475 - 22 Mar 2026
Viewed by 231
Abstract
Inflammatory-oxidative stress generated by immune cells plays an important role in aging and in age-related neurodegenerative disorders such as Alzheimer’s disease (AD). Triple-transgenic mice for AD (3xTg-AD) are a suitable model for mimicking this disease in an age-dependent manner. We previously showed that [...] Read more.
Inflammatory-oxidative stress generated by immune cells plays an important role in aging and in age-related neurodegenerative disorders such as Alzheimer’s disease (AD). Triple-transgenic mice for AD (3xTg-AD) are a suitable model for mimicking this disease in an age-dependent manner. We previously showed that peritoneal leukocyte functions and their redox-inflammatory state are altered early in female 3xTg-AD mice, which exhibit premature aging compared to non-transgenic (NTg) animals. However, their characteristics at 9 months of age, when they present an early neuropathological state, and the sex differences are not known. Here, we analyzed several spleen and thymus leukocyte functions (chemotaxis, natural killer activity, and lymphoproliferation in response to mitogens), pro-inflammatory (IL-1B, TNF-alpha) and anti-inflammatory (IL-10) released cytokine concentrations, and redox parameters (glutathione concentrations and glutathione peroxidase, glutathione reductase, and xanthine oxidase activities) in male and female 3xTg-AD mice compared to age-matched controls. We also analyzed the effects of voluntary physical exercise on immune functions. Our results show that 9-month-old male and female 3xTg-AD mice have worse immune functions, redox state, and inflammation than NTg counterparts. Physical exercise improves immune function. Thus, accelerated aging reflected by peripheral immunosenescence and oxidation-inflammation in 3xTg-AD mice precedes hallmark neuropathology, and exercise can slow down AD progression. Full article
Show Figures

Figure 1

13 pages, 613 KB  
Article
Effects of Enzyme–Microbe Co-Fermented Ganoderma lucidum Spent Substrate on Growth Performance, Apparent Nutrient Digestibility, Organ Indices, and Gut Microbiota in Yellow-Feathered Broilers
by Bo Fan, Mengyun Li, Zhifang Shi, Xuanyang Li, Tongshuai Liu, Pu Cheng and Lei Xi
Animals 2026, 16(6), 949; https://doi.org/10.3390/ani16060949 - 18 Mar 2026
Viewed by 154
Abstract
The effects of dietary supplementation of enzyme–microbe co-fermented Ganoderma lucidum spent substrate (EFGLS) on growth performance, apparent nutrient digestibility, organ indices, and cecal microbiota in yellow-feathered broilers are investigated. Healthy broilers (450 individuals of 22 days age) of similar body weight were randomly [...] Read more.
The effects of dietary supplementation of enzyme–microbe co-fermented Ganoderma lucidum spent substrate (EFGLS) on growth performance, apparent nutrient digestibility, organ indices, and cecal microbiota in yellow-feathered broilers are investigated. Healthy broilers (450 individuals of 22 days age) of similar body weight were randomly assigned to three dietary treatments (five replicates/treatment, 30 birds/replicate). A control group received a corn–soybean meal-based basal diet; treatments received diets containing 1.5% or 3.0% EFGLS. Over six weeks, treatment-group broilers exhibited significantly greater average daily gain and a lower feed-to-gain ratio compared with the control group (p < 0.001); differences in apparent nutrient digestibility in EFGLS-supplemented groups were not significant. A thymus index was significantly higher in the 1.5% than 3.0% EFGLS group (p < 0.05); Pielou’s evenness, Shannon, and Simpson indices of cecal microbiota were significantly higher in the 3.0% EFGLS group than control group (p < 0.05); and a dominance index was significantly higher in the control group than in treatment groups. Under study conditions, dietary supplementation with EFGLS improved growth performance in broilers, associated with favorable changes in apparent nutrient digestibility, immune organ development, and cecal microbial community structure. Accordingly, we recommend a dietary supplementation level of 1.5% EFGLS. Full article
(This article belongs to the Special Issue Feed Additives in Animal Nutrition)
Show Figures

Figure 1

21 pages, 2033 KB  
Article
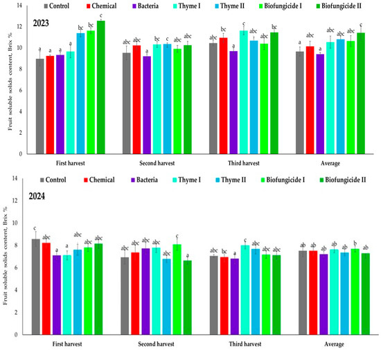
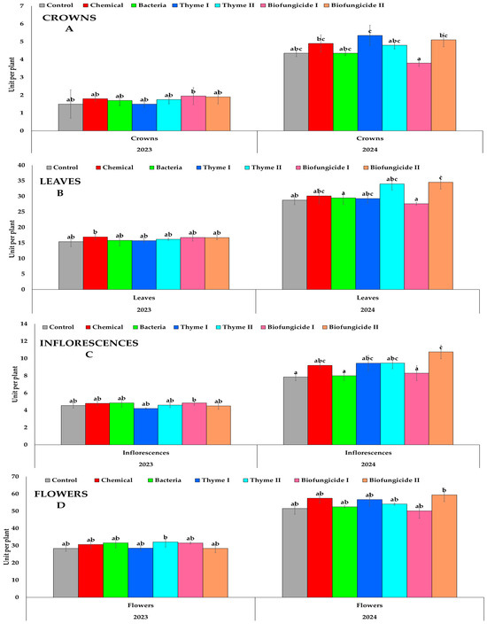
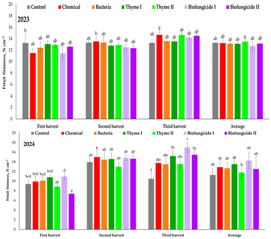
The Influence of Biological Measures on Strawberry Plant Growth, Yield, and Fruit Quality
by Neringa Rasiukevičiūtė, Armina Morkeliūnė, Ingrida Mažeikienė, Daiga Birzleja, Juozas Lanauskas and Alma Valiuškaitė
Plants 2026, 15(6), 929; https://doi.org/10.3390/plants15060929 - 18 Mar 2026
Viewed by 343
Abstract
Finding safe and efficient plant protection measures is one of the major challenges in horticulture. This study evaluated the biological effects of the Thymus vulgaris essential oil and of Bacillus halotolerans and B. velezensis bacterial mixture on strawberry growth and fruit quality properties, [...] Read more.
Finding safe and efficient plant protection measures is one of the major challenges in horticulture. This study evaluated the biological effects of the Thymus vulgaris essential oil and of Bacillus halotolerans and B. velezensis bacterial mixture on strawberry growth and fruit quality properties, as well as on Botrytis cinerea severity. The experiment was conducted in a high-tunnel greenhouse with the strawberry cv. Sonsation. Treatments: (1) Control—untreated; (2) Bacteria—with Bacillus halotolerans and B. velezensis, four times during flowering; (3) Thyme I—T. vulgaris essential oil (EO), four times during flowering; (4) Thyme II—T. vulgaris EO, four applications supplemented by three additional applications during fruit ripening; (5) Biofungicide I—Bacillus subtilis QST 713, four times supplemented by three applications; (6) Biofungicide II—Clonostachys rosea J1446, four times during flowering. In the first year (2023), the highest total yield was observed in Thyme II, and in the second year (2024), the highest total yield was observed in Thyme I. The results did not reveal any visual phytotoxic effect on plant leaves. The average fruit diameter increased from 28 mm up to 31 mm in 2023 and from 35 mm to 39 mm in 2024. The average soluble solids content increased from 9.4 to 11.4 °Brix in 2023 and from 7.2 to 7.7 °Brix in 2024. The highest ascorbic acid content in 2023 was observed in Biofungicide II and Biofungicide I treatments, respectively, 79.9 mg % and 75.4 mg %. Similarly, in 2024, the highest ascorbic acid content was observed in Bacteria, Biofungicide I, and Biofungicide II treatments—39.3–40.2 mg %. In vitro, the lowest B. cinerea severity on strawberry leaves in 2023 was recorded in Thyme I and Thyme II treatments (~6–7%), while in 2024, the severity in these treatments was higher −20–22%. Thyme treatment showed a stable reduction in B. cinerea on leaves in vitro over both years. Full article
Show Figures

Figure 1

17 pages, 1179 KB  
Article
Species-Specific Metabolite Profiles and Biological Activities of Bulgarian Thymus Species from Section Hyphodromi
by Denitsa Kancheva, Milena Nikolova, Vasil Georgiev, Borislav Georgiev, Elina Yankova-Tsvetkova and Ina Aneva
Plants 2026, 15(6), 927; https://doi.org/10.3390/plants15060927 - 17 Mar 2026
Viewed by 292
Abstract
This study investigates the phytochemical composition and biological activity of eight Thymus species distributed in Bulgaria, with a focus on taxa from section Hyphodromi. High-performance liquid chromatography (HPLC) and gas chromatography–mass spectrometry (GC–MS) were used to characterize the methanolic (MeOH) and diethyl [...] Read more.
This study investigates the phytochemical composition and biological activity of eight Thymus species distributed in Bulgaria, with a focus on taxa from section Hyphodromi. High-performance liquid chromatography (HPLC) and gas chromatography–mass spectrometry (GC–MS) were used to characterize the methanolic (MeOH) and diethyl ether (Et2O) extracts, respectively. MeOH extracts revealed high concentrations of phenolic acids, particularly rosmarinic acid, salicylic acid, and flavonoid glycosides, with T. atticus, T. jalasianus, and T. leucotrichus showing the most diverse profiles. Et2O extracts were dominated by triterpenic acids (ursolic and oleanolic) and monoterpenes such as thymol and carvacrol, especially in T. zygioides and T. leucotrichus. All MeOH extracts exhibited significant antioxidant activity in the DPPH assay (IC50 < 50 µg/mL), with T. jalasianus and T. atticus demonstrating the strongest effects. Radical scavenging potential generally followed the trend of total phenolic content. Moderate acetylcholinesterase-inhibitory activity was observed only in T. zygioides and T. leucotrichus. The study reports for the first time data on the biological activity and metabolic composition of extracts from endemic and rare species and from the species of Bulgarian origin. The results provide new data on the phytochemical composition and in vitro antioxidant and acetylcholinesterase-inhibitory activities of selected Thymus species, contributing to the characterization of their overall in vitro biochemical profiles. Full article
(This article belongs to the Section Phytochemistry)
Show Figures

Figure 1

37 pages, 4652 KB  
Article
Synthesis, Characterization, and Bioactivity of a Dioxime-Based Copper(II) Complex: SOD/Catalase Mimicry, DNA/HSA Binding, and In Silico Evaluation for Cuproptosis-Mediated Anticancer Activity
by Mortaga M. Abou-Krisha, Abd El-Motaleb M. Ramadan, Heba A. Sahyon and Ahmed M. Fathy
Inorganics 2026, 14(3), 84; https://doi.org/10.3390/inorganics14030084 - 16 Mar 2026
Viewed by 334
Abstract
Cisplatin’s chemotherapy is hindered by drug resistance and toxicity, making copper complexes a potential alternative. A novel copper(II) complex, [CuLBr], was synthesized from a tetradentate vicinal dioxime ligand (H2L) and characterized. [CuLBr] features a distorted square pyramidal geometry with a CuN [...] Read more.
Cisplatin’s chemotherapy is hindered by drug resistance and toxicity, making copper complexes a potential alternative. A novel copper(II) complex, [CuLBr], was synthesized from a tetradentate vicinal dioxime ligand (H2L) and characterized. [CuLBr] features a distorted square pyramidal geometry with a CuN4Br chromophore. DFT calculations showed a narrowed HOMO-LUMO gap and increased electrophilicity, enhancing its chemical reactivity. [CuLBr] exhibited potent biomimetic catalytic activity, functioning as an efficient superoxide dismutase mimic and catalase mimic. Biophysical studies (UV-Vis, fluorescence, and viscosity) demonstrated a strong, spontaneous affinity of [CuLBr] for calf thymus DNA and Human Serum Albumin, suggesting groove-binding and static quenching mechanisms. In vitro assays revealed superior anticancer activity against HepG-2, HCT-116, and MDA-MB-231 cell lines, with greater selectivity than the free ligand and doxorubicin. Molecular docking studies reveal a high binding affinity of [CuLBr] with key proteins, including ferredoxin-1 and VEGF. This may suggest potential dual mechanisms of action, involving the induction of cuproptosis and the inhibition of tumor angiogenesis. These findings position [CuLBr] as an effective multi-metal-based anticancer agent with advantageous selectivity. Full article
Show Figures

Figure 1

25 pages, 1855 KB  
Article
Bioprocessed Black Rice Bran and Balloon Flower Root Cooperatively Regulate IgE, Epithelial Signaling, and Th1/Th2 Balance to Induce Therapeutic Response in a Mouse Model of Atopic Dermatitis
by Kyung Hee Lee, Ki Sun Kwon, Woon Sang Hwang, Alan D. Friedman, Wha Young Lee, Jeanman Kim, Sang Jong Lee, Sung Phil Kim and Mendel Friedman
Int. J. Mol. Sci. 2026, 27(6), 2691; https://doi.org/10.3390/ijms27062691 - 16 Mar 2026
Viewed by 246
Abstract
Atopic dermatitis (AD) is a chronic inflammatory skin disorder characterized by epidermal barrier dysfunction and dysregulated immune responses, particularly an imbalance between T helper type 1 (Th1) and type 2 (Th2) cytokines. Natural products with immunomodulatory activity have attracted increasing attention as potential [...] Read more.
Atopic dermatitis (AD) is a chronic inflammatory skin disorder characterized by epidermal barrier dysfunction and dysregulated immune responses, particularly an imbalance between T helper type 1 (Th1) and type 2 (Th2) cytokines. Natural products with immunomodulatory activity have attracted increasing attention as potential strategies for regulating allergic inflammation. In this study, we investigated the immunomodulatory effects of bioprocessed black rice bran (BRB-F) and bioprocessed balloon flower root (BFR-F). In vitro assays using human B cells, mast cells, and keratinocytes were conducted to evaluate IgE production, mast cell degranulation, and epithelial inflammatory mediator release. The efficacy of the BRB-F:BFR-F mixture was further evaluated in BALB/c mice with 2,4-dinitrochlorobenzene (DNCB)/Dermatophagoides farinae extract (DFE)-induced AD-like dermatitis. BRB-F and BFR-F suppressed IgE production, attenuated mast cell degranulation and thymic stromal lymphopoietin (TSLP) release, and reduced keratinocyte-derived inflammatory mediators (thymus and activation-regulated chemokine (TARC), macrophage-derived chemokine (MDC), and IL-6). In mice, dietary supplementation with the BRB-F:BFR-F mixture (10–80 mg/kg/day) dose-dependently improved clinical skin lesions and histopathological changes, with serum IgE reduced by up to 87.1% at the highest dose. The treatment significantly suppressed Th2 cytokine mRNA expression in ear tissue (IL-4, IL-5, and IL-13) by 37.2%, 32.7%, and 34.0%, respectively, compared with the positive control. In contrast, splenic Th1 cytokine mRNA expression (IL-2, IL-12, and IFN-γ) was partially restored by 37.1%, 22.5%, and 18.7%, respectively. These findings indicate that BRB-F and BFR-F modulate multiple immune pathways and help restore Th1/Th2 immune balance, suggesting their potential as functional materials for regulating immune dysregulation associated with AD. Full article
Show Figures

Figure 1

28 pages, 5291 KB  
Article
CD127+ Natural Killer Cells Represent a Distinct, Interleukin-15-Independent and Thymus-Independent Subset in Mice
by Yuna Kim, Seon-Yeong Hwang, Young-Jin Kwon, Ji-Eun Kim, Lata Rajbongshi, Su-Rin Lee, Seongwon Joo, Seongheum Park, Sae-Ock Oh, Byoung-Soo Kim, Dongjun Lee and Sik Yoon
Int. J. Mol. Sci. 2026, 27(6), 2667; https://doi.org/10.3390/ijms27062667 - 14 Mar 2026
Viewed by 212
Abstract
Natural killer (NK) cells, key effectors of innate immunity, are classically categorized into CD56dim and CD56bright subsets in humans. While murine NK cell heterogeneity has become increasingly recognized, the classification of mature NK cell subsets remains incompletely defined. Here, we comprehensively [...] Read more.
Natural killer (NK) cells, key effectors of innate immunity, are classically categorized into CD56dim and CD56bright subsets in humans. While murine NK cell heterogeneity has become increasingly recognized, the classification of mature NK cell subsets remains incompletely defined. Here, we comprehensively characterized CD127+ NK cells in mice and identified them as a distinct, mature subset, developing independently of the thymus and interleukin (IL)-15 signaling. Flow cytometric analyses revealed that CD127+ NK cells are broadly distributed across lymphoid and non-lymphoid tissues—including in C57BL/6 wild-type and athymic Foxn1−/− mice—and exhibit a surface phenotype distinct from CD127 NK and thymus-derived CD127+ NK cells. Functional assays demonstrated that CD127+ NK cells produce interferon-γ and exert cytotoxic activity, despite expressing markers typically associated with immature NK cells. CD127+ NK cells were absent in IL-7Rα−/− mice but present in IL-15−/− and IL-15Rα−/− mice, indicating a selective dependence on IL-7 signaling. IL-7 promoted their proliferation and activation both in vitro and in vivo. These findings revise current models of NK cell development by identifying a novel, IL-7-responsive, IL-15-independent, thymus-independent, and functionally competent CD127+ NK cell subset that is phenotypically distinct from helper-like innate lymphoid cells (ILCs). This study provides a framework for future investigations on NK cell heterogeneity, tissue specialization, and cytokine-mediated regulation. Full article
(This article belongs to the Special Issue Advanced Research on Immune Cells and Cytokines (3rd Edition))
Show Figures

Figure 1

15 pages, 4703 KB  
Article
Tempol Exerts Radioprotective Effects by Suppressing Radiation-Induced DNA Double-Strand Break Formation
by Shinya Masugata, Megumi Sasatani, Tsutomu Shimura and Asako J. Nakamura
Int. J. Mol. Sci. 2026, 27(6), 2601; https://doi.org/10.3390/ijms27062601 - 12 Mar 2026
Viewed by 195
Abstract
Concerns about radiation exposure following the Fukushima Nuclear Power Plant accident continue to grow, and health risks associated with medical radiation have also become an important issue. Therefore, identifying agents that can mitigate radiation-related health effects is necessary. We focused on the antioxidant [...] Read more.
Concerns about radiation exposure following the Fukushima Nuclear Power Plant accident continue to grow, and health risks associated with medical radiation have also become an important issue. Therefore, identifying agents that can mitigate radiation-related health effects is necessary. We focused on the antioxidant 4-hydroxy-2,2,6,6-tetramethylpiperidine-N-oxyl (tempol) and investigated its radioprotective mechanisms. HeLa and TIG-3 cells were irradiated with X-rays, γ-rays, or heavy-ion beams. The effect of tempol on reactive oxygen species (ROS) production was evaluated using fluorescence-activated cell sorting (FACS) analysis. DNA double-strand break (DSB) formation was assessed by γ-H2AX immunofluorescence staining. In mice, γ-H2AX formation in the thymus and duodenum were evaluated after acute or chronic γ-ray exposure. Inflammatory responses were analyzed through macrophage infiltration and TNF mRNA expression, while apoptosis was measured using Annexin V staining. Tempol suppressed ROS production and γ-H2AX foci formation following irradiation. It also reduced γ-H2AX induction in mouse tissues. Activated macrophage infiltration and TNF expression in the duodenum tended to decrease in tempol-treated mice, whereas apoptotic levels showed no significant differences. Notably, tempol more effectively inhibited γ-H2AX formation during chronic irradiation than acute exposure. These findings suggest that tempol mitigates radiation-induced inflammation and reduces DNA damage, supporting its potential as a radioprotective agent. Full article
Show Figures

Graphical abstract

25 pages, 1442 KB  
Article
Synergistic and Additive Interactions in Essential Oils Obtained from Combined Plant Materials: Enhanced Control of Insect Pests
by Imtinene Hamdeni, Sonia Boukhris-Bouhachem, Mounir Louhaichi, Abdennacer Boulila, Ismail Amri, Juan José R. Coque and Lamia Hamrouni
Molecules 2026, 31(6), 945; https://doi.org/10.3390/molecules31060945 - 12 Mar 2026
Viewed by 337
Abstract
Essential oils (EOs) from combined plant materials offer a promising alternative to conventional extraction by enhancing chemical diversity and bioactivity. This study evaluated the chemical composition and insecticidal properties of individual and combined plant EOs from Cymbopogon citratus, Eucalyptus camaldulensis, Eucalyptus [...] Read more.
Essential oils (EOs) from combined plant materials offer a promising alternative to conventional extraction by enhancing chemical diversity and bioactivity. This study evaluated the chemical composition and insecticidal properties of individual and combined plant EOs from Cymbopogon citratus, Eucalyptus camaldulensis, Eucalyptus lehmannii, Salvia rosmarinus and Thymus vulgaris were evaluated against aphids. Binary and ternary combinations were prepared in equal proportions prior to hydrodistillation. GC-MS analysis revealed significant compositional shifts in EOs from combined plant materials. Major compounds in individual oils included citral (53.11%) and neral (29.14%) in C. citratus, thymol (70.84%) in T. vulgaris, and eucalyptol as the predominant compound in E. camaldulensis (66.51%), E. lehmannii (56.99%) and S. rosmarinus (46.56%), respectively. In the combined oils, the relative abundance of these constituents was altered, and in some cases new constituents were introduced. Principal Component Analysis (PCA) and Hierarchical Cluster Analysis (HCA) revealed that combined plant EOs clustered near their parental oils, indicating compositional inheritance. Contact toxicity assay against Aphis fabae demonstrated enhanced efficacy of the combined oils, with reduced LC50 values (1.39 µL mL−1 for E. camaldulensis + T. vulgaris) and synergistic interactions, indicated by a co-toxicity coefficient (CTC) of 221.58 and elevated synergistic factors. Pearson correlation analysis and Partial Least Squares (PLS) regression jointly identified Acorenone B and thymol as negatively, and caryophyllene as positively correlated compounds, all with relatively high contribution to insecticidal activity, ranking highest with a Variable Importance in Projection (VIP) scores > 1.0. While PLS model had modest predictive power, the integration of these statistical approaches supports the insecticidal potential of combined plant-derived EOS in laboratory bioassays and indicates their relevance to sustainable crop protection. Full article
(This article belongs to the Special Issue Essential Oils—Third Edition)
Show Figures

Graphical abstract

24 pages, 8610 KB  
Article
Effects of Dietary Methionine and Lysine Balance on Intestinal Function and Immune Organ Development in Wanxi White Geese During the Brooding Period
by Shaoqi Shi, Changsheng Jiang, Suting Fang, Leilei Li, Xiaojin Li, Ahmed H. Ghonaim, Man Ren and Shenghe Li
Animals 2026, 16(6), 872; https://doi.org/10.3390/ani16060872 - 11 Mar 2026
Viewed by 267
Abstract
(1) Background: This experiment investigated the effects of balancing methionine or lysine under different dietary protein levels on intestinal function and immune organ development in Wanxi white geese during the brooding period. (2) Methods: A total of 180 one-day-old Wanxi white geese were [...] Read more.
(1) Background: This experiment investigated the effects of balancing methionine or lysine under different dietary protein levels on intestinal function and immune organ development in Wanxi white geese during the brooding period. (2) Methods: A total of 180 one-day-old Wanxi white geese were randomly divided into six groups using a 2 × 3 factorial design, with amino acid balance (lysine or methionine) and dietary crude protein levels (20%, 18%, and 16%) as experimental factors. Each group consisted of five replicates with six geese per replicate. The feeding trial lasted 28 days. (3) Results: The lysine-balanced diet significantly increased jejunal lipase activity in 14-day-old geese (p < 0.05). In contrast, the methionine-balanced diet significantly enhanced ileal trypsin, maltase, and amylase activities at 14 days, as well as ileal trypsin activity at 28 days (p < 0.05). Lysine balance markedly improved jejunal weight and muscularis thickness, ileal weight, villus height, and villus-to-crypt (V/C) ratio in 14-day-old geese, and further increased jejunal villus height and ileal crypt depth and muscularis thickness at 28 days (p < 0.05). Methionine balance significantly elevated total antioxidant capacity (T-AOC) in the jejunum and ileum of geese at both 14 and 28 days (p < 0.05). Moreover, the methionine-balanced group exhibited a significantly higher thymus index and spleen index in 28-day-old geese compared with the lysine-balanced group (p < 0.05). Notably, geese fed the 18% crude protein diet showed significantly greater follicular and medullary areas of the bursa of Fabricius at 14 days than those fed 20% or 16% protein diets (p < 0.05). (4) Conclusions: Appropriate dietary protein reduction combined with balanced lysine or methionine supplementation effectively enhances intestinal digestive function, antioxidant capacity, and immune organ development in Wanxi white geese. Among the tested treatments, a dietary protein level of 18% produced the most favorable overall outcomes during the brooding period. Full article
(This article belongs to the Special Issue Optimizing Alternative Protein Sources for Sustainable Poultry Diet)
Show Figures

Figure 1

30 pages, 1752 KB  
Review
Traditional Uses of Thymus Species in the Balkans: Ethnopharmacology, Food, and Cultural Heritage
by Ina Aneva, Marija Marković, Katarina Husnjak Malovec, Zheko Naychov, Irena Mincheva, Vesna Stankov-Jovanović and Ekaterina Kozuharova
Life 2026, 16(3), 452; https://doi.org/10.3390/life16030452 - 10 Mar 2026
Viewed by 352
Abstract
Thymus species play an important role in traditional medicine, food practices, and cultural heritage across the Balkan Peninsula, a region characterized by high floristic diversity and long-standing ethnobotanical traditions. This review provides a comprehensive synthesis of published ethnobotanical and ethnopharmacological data on the [...] Read more.
Thymus species play an important role in traditional medicine, food practices, and cultural heritage across the Balkan Peninsula, a region characterized by high floristic diversity and long-standing ethnobotanical traditions. This review provides a comprehensive synthesis of published ethnobotanical and ethnopharmacological data on the traditional uses of Thymus species in the Balkans. A systematic survey of literature published between 1900 and 2022 was conducted using major scientific databases and classical ethnobotanical sources, covering Albania, Bosnia and Herzegovina, Bulgaria, Croatia, Greece, Kosovo, Montenegro, North Macedonia, Romania, Serbia, Slovenia, and the European part of Turkey. In total, 553 records of traditional use were documented. The results reveal that Thymus taxa are most frequently employed for the treatment of respiratory and gastrointestinal disorders, followed by applications related to the nervous, urinary, cardiovascular, and integumentary systems. Culinary uses such as spices, herbal teas, beverages, and food preservatives are widely reported, highlighting the close connection between medicinal and dietary traditions. The analysis also identifies significant taxonomic inconsistencies in the ethnobotanical literature, particularly the frequent misapplication of names such as T. serpyllum and T. vulgaris, which complicates the interpretation of traditional knowledge. Overall, the strong cross-cultural consistency of uses across Balkan countries supports the pharmacological relevance of Thymus species and aligns well with modern phytotherapeutic evaluations. This review underscores the importance of critically integrating ethnobotanical data, taxonomic accuracy, and contemporary phytotherapy to better understand and utilize the therapeutic potential of Thymus species. Full article
(This article belongs to the Section Plant Science)
Show Figures

Figure 1

24 pages, 3772 KB  
Article
Immune-Enhancement Effects of 6-Methoxykaempferol on Cyclophosphamide-Induced Immunosuppression via Improving Antioxidant Enzyme Expression, NF-κB and MAPK Signaling, and Modulating Gut Microbiome
by Na-Yeon Jang, Varun Jaiswal, Miey Park and Hae-Jeung Lee
Antioxidants 2026, 15(3), 334; https://doi.org/10.3390/antiox15030334 - 6 Mar 2026
Viewed by 525
Abstract
The immune system maintains homeostasis through coordinated innate and adaptive responses, and its imbalance increases disease susceptibility. The immunomodulatory effects of 6-methoxykaempferol (6MK), a methoxylated flavonoid found in sweet cherries, were studied in a mouse model of cyclophosphamide (CPA)-induced immunosuppression. The expression of [...] Read more.
The immune system maintains homeostasis through coordinated innate and adaptive responses, and its imbalance increases disease susceptibility. The immunomodulatory effects of 6-methoxykaempferol (6MK), a methoxylated flavonoid found in sweet cherries, were studied in a mouse model of cyclophosphamide (CPA)-induced immunosuppression. The expression of key signaling proteins in the NF-κB and MAPK pathways was studied to explore the underlying molecular mechanisms. The Toll-like receptor-4/myeloid differentiation factor-2 receptor complex (TLR4/MD2), which can stimulate the immune response by activating these pathways, was used to study possible interactions with 6MK using docking analysis. 6MK administration significantly restored immune organ integrity (spleen up to 15.1% and thymus up to 16.8%), enhanced NK cell function (up to 43.8%), promoted T (up to 24.5%) and B cell proliferation (up to 26.4%), increased pro- and anti-inflammatory cytokine (IL-1β, IL-6, TNF-α, IL-4, IL-10, and TGF-β) levels, and elevated NO (up to 25.6%) and immunoglobulin (IgG, IgA, and IgM) concentrations. Additionally, 6MK upregulated antioxidant enzymes (CAT, HO-1, and SOD) and reactivated suppressed NF-κB and MAPK pathways. The docking-supported hypothesis, based on putative interactions and the estimated free energy of binding, suggests that 6MK possesses agonistic potential for the TLR4/MD2. Changes in the gut microbiome due to 6MK treatment, such as an increase in alpha diversity, abundance of Dorea longicatena, and the upregulation of formaldehyde-consuming pathways, may also contribute to immune enhancement. These findings show that 6MK may alleviate immunosuppression, suggesting its potential for future studies targeting immune-related diseases and conditions. Full article
Show Figures

Graphical abstract

26 pages, 883 KB  
Review
Clinical Potential of Essential Oils: Cytotoxicity, Selectivity Index and Antimicrobial Activity Against Gram-Negative ESKAPEE Pathogens
by Biruk Bayleyegn Belete, Jerome Ozkan, Parthasarathi Kalaiselvan, Muhammad Yasir and Mark Willcox
Antibiotics 2026, 15(3), 274; https://doi.org/10.3390/antibiotics15030274 - 6 Mar 2026
Viewed by 946
Abstract
Background: Novel therapeutic compounds with strong efficacy and low resistance potential are urgently needed to combat life-threatening infections caused by antibiotic-resistant ESKAPEE pathogens. These pathogens contribute globally to a large share of bloodstream, respiratory, urinary, and wound infections, and often have levels of [...] Read more.
Background: Novel therapeutic compounds with strong efficacy and low resistance potential are urgently needed to combat life-threatening infections caused by antibiotic-resistant ESKAPEE pathogens. These pathogens contribute globally to a large share of bloodstream, respiratory, urinary, and wound infections, and often have levels of high antimicrobial resistance. This review examined the antimicrobial efficacy of different plant essential oils (EOs) against Gram-negative ESKAPEE pathogens and their cytotoxic effects and calculated selectivity indices in cancer and normal cell lines. Methods: This review was developed using studies retrieved from PubMed, Scopus, and Web of Science, covering publications between 2013 and 2024 using the search terms: “essential oils”, “plant extracts”, “safety”, “cytotoxicity”, “cell lines”, “human”, “in-vitro”, antimicrobial”, “antibacterial” and “antibiotic” with Boolean operators (“AND”, “OR”, “NOT”). Only studies that reported both antimicrobial inhibitory concentrations and concentrations causing toxicity to mammalian cells were included in the final review. These data were then used to calculate the selectivity indices of the EOs (toxic concentration/antimicrobial inhibitory concentration) to give an initial assessment of safety. Results: Ocimum basilicum EOs had strong antibacterial effects against the Gram-negative ESKAPEE pathogens Escherichia coli, Pseudomonas aeruginosa, and Klebsiella pneumoniae, with minimum inhibitory concentrations (MICs) as low as 1 μg/mL and high selectivity indices of >80.4. Likewise, Satureja nabateorum EOs had potent antibacterial activity, with a low MIC of 0.1 μg/mL against K. pneumoniae, 2.3 μg/mL against E. coli, and 12.5 μg/mL against P. aeruginosa, along with a very high selectivity index (>100). Other EOs such as those from Eucalyptus spp., Thymus spp., Mentha spp., Cinnamomum spp., Artemisia spp., and Aquilaria crassna also had broad-spectrum antibacterial potential and minimal toxicity toward mammalian cells, making them promising candidates for safe and effective antimicrobial agents in clinical and industrial applications. However, several EOs had selectivity indices of <10, indicating that at their MIC they would also be potentially highly cytotoxic. EOs tended to show increased toxicity to cells derived from cancers. Conclusions and recommendations: Certain EOs are highly active against Gram-negative ESKAPEE pathogens. They are also toxic to cancer-derived mammalian cells. Additional studies using normal cell lines and clinical trials are warranted to further validate their safety and therapeutic potential. Full article
Show Figures

Figure 1

Back to TopTop