Solid-State Highly Efficient DR Mono and Poly-dicyano-phenylenevinylene Fluorophores
Abstract
1. Introduction
2. Results and Discussion
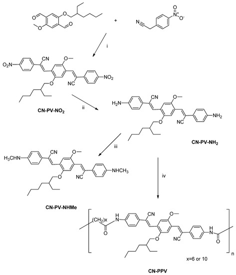
2.1. General Route for the Synthesis of Fluorophores
2.2. Photophysical Properties
2.3. X-ray Crystallography
2.4. Computational Studies
3. Materials and Methods
3.1. Preparation of CN-PV-NO2
3.2. Preparation of CN-PV-NH2
3.3. Preparation of CN-PV-NHMe
3.4. Preparation of CN-PPV
3.5. PLQY Measurements
3.6. X-ray Crystallography
3.7. Computational Studies
4. Conclusions
Supplementary Materials
Author Contributions
Funding
Conflicts of Interest
References
- Lindla, F.; Boesing, M.; van Gemmern, P.; Bertram, D.; Keiper, D.; Heuken, M.; Kalisch, H.; Jansen, R.H. Employing exciton transfer molecules to increase the lifetime of phosphorescent red organic light emitting diodes. Appl. Phys. Lett. 2011, 98, 84. [Google Scholar] [CrossRef]
- Shi, C.; Guo, Z.; Yan, Y.; Zhu, S.; Xie, Y.; Zhao, Y.S.; Zhu, W.; Tian, H. Self-assembly solid-state enhanced red emission of quinolinemalononitrile: Optical waveguides and stimuli response. ACS Appl. Mater. Inter. 2012, 5, 192–198. [Google Scholar] [CrossRef] [PubMed]
- Song, M.; Park, J.S.; Kim, C.-H.; Kim, J.S.; Gal, Y.-S.; Lee, J.W.; Jin, S.-H. Development of efficient solution-processed red phosphorescent organic light-emitting diodes using carrier transport materials. Synth. Met. 2010, 160, 1623–1626. [Google Scholar] [CrossRef]
- Bruno, A.; Borriello, C.; Luccio, T.D.; Nenna, G.; Sessa, L.; Concilio, S.; Haque, S.A.; Minarini, C. White light-emitting nanocomposites based on an oxadiazole-carbazole copolymer (POC) and InP/ZnS quantum dots. J. Nanopart. Res. 2013, 15, 2085. [Google Scholar] [CrossRef]
- Concilio, S.; Bugatti, V.; Iannelli, P.; Piotto, S.P. Synthesis and characterization of new photoluminescent oxadiazole/carbazole-containing polymers. Int. J. Polym. Sci. 2010, 2010, 581056. [Google Scholar] [CrossRef]
- Concilio, S.; Bugatti, V.; Neitzert, H.C.; Landi, G.; De Sio, A.; Parisi, J.; Piotto, S.; Iannelli, P. Zn-complex based on oxadiazole/carbazole structure: Synthesis, optical and electric properties. Thin Solid Films 2014, 556, 419–424. [Google Scholar] [CrossRef]
- Kim, S.O.; Lee, K.H.; Kwon, H.J.; Kim, Y.K.; Yoon, S.S. Diarylamino-substituted stilbene derivatives for blue organic light-emitting diodes. In Proceedings of the 3rd Nanoelectronics Conference (INEC 2010), Hong Kong, China, 3–8 January 2010; pp. 678–679. [Google Scholar]
- Argeri, M.; Borbone, F.; Caruso, U.; Causà, M.; Fusco, S.; Panunzi, B.; Roviello, A.; Shikler, R.; Tuzi, A. Color tuning and noteworthy photoluminescence quantum yields in crystalline mono-/dinuclear Zn II complexes. Eur. J. Inorg. Chem. 2014, 2014, 5916–5924. [Google Scholar] [CrossRef]
- Borbone, F.; Caruso, U.; Causà, M.; Fusco, S.; Panunzi, B.; Roviello, A.; Shikler, R.; Tuzi, A. Series of o,n,o-tridentate ligands zinc (II) complexes with high solid-state photoluminescence quantum yield. Eur. J. Inorg. Chem. 2014, 2014, 2695–2703. [Google Scholar] [CrossRef]
- Caruso, U.; Panunzi, B.; Roviello, A.; Tingoli, M.; Tuzi, A. Two aminobenzothiazole derivatives for Pd (II) and Zn (II) coordination: Synthesis, characterization and solid state fluorescence. Inorg. Chem. Commun. 2011, 14, 46–48. [Google Scholar] [CrossRef]
- Borbone, F.; Caruso, U.; Concilio, S.; Nabha, S.; Panunzi, B.; Piotto, S.; Shikler, R.; Tuzi, A. Mono-, di-, and polymeric pyridinoylhydrazone Zn II complexes: Structure and photoluminescent properties. Eur. J. Inorg. Chem. 2016, 2016, 818–825. [Google Scholar] [CrossRef]
- Bruno, A.; Villani, F.; Grimaldi, I.; Loffredo, F.; Morvillo, P.; Diana, R.; Haque, S.; Minarini, C. Morphological and spectroscopic characterizations of inkjet-printed poly(3-hexylthiophene-2, 5-diyl): Phenyl-C61-butyric acid methyl ester blends for organic solar cell applications. Thin Solid Films 2014, 560, 14–19. [Google Scholar] [CrossRef]
- Morvillo, P.; Bobeico, E.; Esposito, S.; Diana, R. Effect of the active layer thickness on the device performance of polymer solar cells having [60]PCBM and [70]PCBM as electron acceptor. Energy Procedia 2012, 31, 69–73. [Google Scholar] [CrossRef]
- Kim, M.; Whang, D.R.; Gierschner, J.; Park, S.Y. A distyrylbenzene based highly efficient deep red/near-infrared emitting organic solid. J. Mater. Chem. C 2015, 3, 231–234. [Google Scholar] [CrossRef]
- Du, C.; Ye, S.; Liu, Y.; Guo, Y.; Wu, T.; Liu, H.; Zheng, J.; Cheng, C.; Zhu, M.; Yu, G. Fused-seven-ring anthracene derivative with two sulfur bridges for high performance red organic light-emitting diodes. Chem. Commun. 2010, 46, 8573–8575. [Google Scholar] [CrossRef] [PubMed]
- Zhao, Q.; Sun, J.Z. Red and near infrared emission materials with AIE characteristics. J. Mater. Chem. C 2016, 4, 10588–10609. [Google Scholar] [CrossRef]
- Wang, Y.J.; Shi, Y.; Wang, Z.; Zhu, Z.; Zhao, X.; Nie, H.; Qian, J.; Qin, A.; Sun, J.Z.; Tang, B.Z. A red to near-IR fluorogen: Aggregation-induced emission, large stokes shift, high solid efficiency and application in cell-imaging. Chem.-Eur. J. 2016, 22, 9784–9791. [Google Scholar] [CrossRef] [PubMed]
- Yang, W.; Liu, C.; Gao, Q.; Du, J.; Shen, P.; Liu, Y.; Yang, C. A morphology and size-dependent on-off switchable NIR-emitting naphthothiazolium cyanine dye: AIE-active ciee effect. Opt. Mater. 2017, 66, 623–629. [Google Scholar] [CrossRef]
- Zhang, J.N.; Kang, H.; Li, N.; Zhou, S.M.; Sun, H.M.; Yin, S.W.; Zhao, N.; Tang, B.Z. Organic solid fluorophores regulated by subtle structure modification: Color-tunable and aggregation-induced emission. Chem. Sci. 2017, 8, 577–582. [Google Scholar] [CrossRef] [PubMed]
- Cho, N.S.; Hwang, D.-H.; Jung, B.-J.; Lim, E.; Lee, J.; Shim, H.-K. Synthesis, characterization, and electroluminescence of new conjugated polyfluorene derivatives containing various dyes as comonomers. Macromolecules 2004, 37, 5265–5273. [Google Scholar] [CrossRef]
- Dos Santos, D.; Beljonne, D.; Cornil, J.; Brédas, J. Electronic structure of the lowest singlet and triplet excited states in cyano-substituted oligo(phenylene vinglene)s. Chem. Phys. 1998, 227, 1–10. [Google Scholar] [CrossRef]
- Gill, R.E.; van Hutten, P.F.; Meetsma, A.; Hadziioannou, G. Synthesis and crystal structure of a cyano-substituted oligo(p-phenylenevinylene). Chem. Mater. 1996, 8, 1341–1346. [Google Scholar] [CrossRef]
- Makowski, B.T.; Lott, J.; Valle, B.; Singer, K.D.; Weder, C. Functionalized cyano-opvs as melt-processable two-photon absorbers. J. Mater. Chem. 2012, 22, 5190–5196. [Google Scholar] [CrossRef]
- Wen, W.; Shi, Z.-F.; Cao, X.-P.; Xu, N.-S. Triphenylethylene-based fluorophores: Facile preparation and full-color emission in both solution and solid states. Dyes Pigments 2016, 132, 282–290. [Google Scholar] [CrossRef]
- Roviello, A.; Borbone, F.; Carella, A.; Diana, R.; Roviello, G.; Panunzi, B.; Ambrosio, A.; Maddalena, P. High quantum yield photoluminescence of new polyamides containing oligo-PPV amino derivatives and related oligomers. J. Polym. Sci. Pol. Chem. 2009, 47, 2677–2689. [Google Scholar] [CrossRef]
- Friend, R.; Greenham, N.; Skotheim, T.; Elsenbaumer, R.; Reynolds, J. Handbook of Conducting Polymers, 2nd ed.; Marcel Dekker: New York, NY, USA, 1998. [Google Scholar]
- Cirpan, A.; Rathnayake, H.P.; Gunbas, G.; Lahti, P.M.; Karasz, F.E. New conjugated materials containing cyano substituents for light-emitting diodes. Synth. Met. 2006, 156, 282–286. [Google Scholar] [CrossRef]
- Chen, S.; Su, C.; Su, A.; Chen, S. Molecular aggregation and luminescence behavior of bulk poly(2,5,2′,5′-tetrahexyloxy-8,7′-dicyano-di-p-phenylenevinylene). J. Phys. Chem. B 2004, 108, 8855–8861. [Google Scholar] [CrossRef]
- Upamali, K.A.; Estrada, L.A.; De, P.K.; Cai, X.; Krause, J.A.; Neckers, D.C. Carbazole-based cyano-stilbene highly fluorescent microcrystals. Langmuir 2011, 27, 1573–1580. [Google Scholar] [CrossRef] [PubMed]
- Park, J.; Seo, J.; Lim, S.; Ryu, G.; Shin, D.; Kim, Y. The effect of the molecular structure of organic material on the properties of solid-state fluorescence and electroluminescence. J. Phys. Chem. Solids 2008, 69, 1314–1319. [Google Scholar] [CrossRef]
- Shimizu, M.; Kaki, R.; Takeda, Y.; Hiyama, T.; Nagai, N.; Yamagishi, H.; Furutani, H. 1,4-bis(diarylamino)-2,5-bis(4-cyanophenylethenyl)benzenes: Fluorophores exhibiting efficient red and near-infrared emissions in solid state. Angew. Chem. Int. Ed. 2012, 51, 4095–4099. [Google Scholar] [CrossRef] [PubMed]
- Melhuish, W. Quantum efficiencies of fluorescence of organic substances: Effect of solvent and concentration of the fluorescent solute1. J. Phys. Chem. 1961, 65, 229–235. [Google Scholar] [CrossRef]
- De Mello, J.C.; Wittmann, H.F.; Friend, R.H. An improved experimental determination of external photoluminescence quantum efficiency. Adv. Mater. 1997, 9, 230–232. [Google Scholar] [CrossRef]
- SADABS, version 2.03; Bruker AXS Inc.: Madison, WI, USA, 2001.
- Altomare, A.; Burla, M.C.; Camalli, M.; Cascarano, G.L.; Giacovazzo, C.; Guagliardi, A.; Moliterni, A.G.; Polidori, G.; Spagna, R. SIR97: A new tool for crystal structure determination and refinement. J. Appl. Crystallogr. 1999, 32, 115–119. [Google Scholar] [CrossRef]
- Sheldrick, G.M. Crystal structure refinement with SHELXL. Acta Crystallogr. 2015, C71, 3–8. [Google Scholar]
- Farrugia, L.J. Wingx and ortep for windows: An update. J. Appl. Crystallogr. 2012, 45, 849–854. [Google Scholar] [CrossRef]
- Farrugia, L.J. Ortep-3 for windows-a version of Ortep-III with a graphical user interface (GUI). J. App. Crystallogr. 1997, 30, 565. [Google Scholar] [CrossRef]
- Macrae, C.F.; Bruno, I.J.; Chisholm, J.A.; Edgington, P.R.; McCabe, P.; Pidcock, E.; Rodriguez-Monge, L.; Taylor, R.; Streek, J.V.; Wood, P.A. Mercury csd 2.0–new features for the visualization and investigation of crystal structures. J. Appl. Crystallogr. 2008, 41, 466–470. [Google Scholar] [CrossRef]
- Bochevarov, A.D.; Harder, E.; Hughes, T.F.; Greenwood, J.R.; Braden, D.A.; Philipp, D.M.; Rinaldo, D.; Halls, M.D.; Zhang, J.; Friesner, R.A. Jaguar: A high-performance quantum chemistry software program with strengths in life and materials sciences. Int. J. Quantum Chem. 2013, 113, 2110–2142. [Google Scholar] [CrossRef]
- Schrödinger Release 2018-1: Jaguar; Schrödinger, LLC: New York, NY, USA, 2018.
Sample Availability: Samples of the compounds CN-PV-NH2, CN-PV-NHMe and CN-PPV are available from the authors. |







| Compound | λabs-sol (nm) a | λem-sol (nm) b | λabs-film (nm) c | λem-film (nm) d | PLQY% Film e | PLQY% Solution f |
|---|---|---|---|---|---|---|
| CN-PV-NH2 | 436 i; 449 ii | 536 i; 609 ii | 476 j; 462 jj | 530 j; 559 jj | 5 ± 1 j; 27 ± 5 jj | 26 ± 3 |
| CN-PV-NHMe | 464 i; 470 ii | 554 i; 622 ii | 495 j; 474 jj | 635 j; 598 jj | 53 ± 5 j; 50 ± 8 jj | 29 ± 3 |
| CN-PPV | 441 i; 445 ii | 518 i,ii | 458 j | 613 j | 18 ± 3 j | 26 ± 3 |
| Oxidation Potential (eV) | Reduction Potential (eV) | Hole Reorganization Energy (eV) | Electron Reorganization Energy (eV) | Triplet Energy (eV) | λabs Solution (nm) | λem Solution (nm) | Triplet Stabilization Energy (eV) |
| −0.022 | −1.754 | 0.229 | 0.457 | 1.477 | 487 | 587 | 0.313 |
| Triplet Reorganization Energy (eV) | Electron Small Polaron Stabilization Energy (eV) | Hole Extraction Potential (eV) | Electron Extraction Potential (eV) | Hole Small Polaron Stabilization Energy (eV) | Dipole (D) | Scaled HOMO (eV) | Scaled LUMO (eV) |
| 0.603 | 0.328 | 5.429 | −1.330 | 0.116 | 0.420 | −4.508 | −2.776 |
© 2018 by the authors. Licensee MDPI, Basel, Switzerland. This article is an open access article distributed under the terms and conditions of the Creative Commons Attribution (CC BY) license (http://creativecommons.org/licenses/by/4.0/).
Share and Cite
Panunzi, B.; Diana, R.; Concilio, S.; Sessa, L.; Shikler, R.; Nabha, S.; Tuzi, A.; Caruso, U.; Piotto, S. Solid-State Highly Efficient DR Mono and Poly-dicyano-phenylenevinylene Fluorophores. Molecules 2018, 23, 1505. https://doi.org/10.3390/molecules23071505
Panunzi B, Diana R, Concilio S, Sessa L, Shikler R, Nabha S, Tuzi A, Caruso U, Piotto S. Solid-State Highly Efficient DR Mono and Poly-dicyano-phenylenevinylene Fluorophores. Molecules. 2018; 23(7):1505. https://doi.org/10.3390/molecules23071505
Chicago/Turabian StylePanunzi, Barbara, Rosita Diana, Simona Concilio, Lucia Sessa, Rafi Shikler, Shiran Nabha, Angela Tuzi, Ugo Caruso, and Stefano Piotto. 2018. "Solid-State Highly Efficient DR Mono and Poly-dicyano-phenylenevinylene Fluorophores" Molecules 23, no. 7: 1505. https://doi.org/10.3390/molecules23071505
APA StylePanunzi, B., Diana, R., Concilio, S., Sessa, L., Shikler, R., Nabha, S., Tuzi, A., Caruso, U., & Piotto, S. (2018). Solid-State Highly Efficient DR Mono and Poly-dicyano-phenylenevinylene Fluorophores. Molecules, 23(7), 1505. https://doi.org/10.3390/molecules23071505

