Next Article in Journal
A New Protocol for the Synthesis of New Thioaryl-Porphyrins Derived from 5,10,15,20-Tetrakis(pentafluorophenyl)porphyrin: Photophysical Evaluation and DNA-Binding Interactive Studies
Previous Article in Journal
Optimization of Fermentation Condition for Echinacoside Yield Improvement with Penicillium sp. H1, an Endophytic Fungus Isolated from Ligustrum lucidum Ait Using Response Surface Methodology
 
 
Font Type:
Arial Georgia Verdana
Font Size:
Aa Aa Aa
Line Spacing:
Column Width:
Background:
Article

Acylphloroglucinol Derivatives from Garcinia multiflora with Anti-Inflammatory Effect in LPS-Induced RAW264.7 Macrophages

1
School of Pharmacy, College of Pharmacy, Kaohsiung Medical University, Kaohsiung 807, Taiwan
2
Institute of Traditional Medicine, National Yang-Ming University, Taipei 112, Taiwan
3
Bioresource Collection and Research Center (BCRC), Food Industry Research and Development Institute (FIRDI), Hsinchu 300, Taiwan
4
National Museum of Marine Biology and Aquarium, Pingtung 944, Taiwan
5
Faculty of Pharmacy, School of Pharmaceutical Sciences, National Yang-Ming University, Taipei 112, Taiwan
6
Department of Medical Research, China Medical University Hospital, China Medical University, Taichung 404, Taiwan
*
Authors to whom correspondence should be addressed.
These authors contributed equally to this work.
Molecules 2018, 23(10), 2587; https://doi.org/10.3390/molecules23102587
Submission received: 16 September 2018 / Revised: 3 October 2018 / Accepted: 7 October 2018 / Published: 10 October 2018
(This article belongs to the Section Natural Products Chemistry)

Abstract

Two new acylphloroglucinol derivatives, 13,14-didehydroxygarcicowin C (1) and 13,14-didehydroxyisoxanthochymol (2), have been isolated from the stems of Garcinia multiflora, together with seven known compounds (39). The structures of new compounds 1 and 2 were elucidated by MS and extensive 1D/2D NMR spectroscopic analyses. Among the isolates, 13,14-didehydroxy-isoxanthochymol (2) and sampsonione B (3) exhibited inhibition against lipopolysaccharide (LPS)-induced NF-κB activation in macrophages at 30 μM with relative luciferase activity values (inhibitory %) of 0.75 ± 0.03 (24 ± 4%) and 0.12 ± 0.03 (88 ± 4%), respectively. Additionally, sampsonione B (3) reduced LPS-induced nitric oxide (NO) production in murine RAW264.7 macrophages and did not induce cytotoxicity against RAW 264.7 cells after 24 h treatment. Compound 3 is worth further investigation and may be expectantly developed as an anti-inflammatory drug candidate.

Graphical Abstract

1. Introduction

Garcinia multiflora Champ. (Guttiferae) is a small evergreen tree [1], usually growing 5–15 m tall, distributed in South China, Taiwan, and Hong Kong. Fruit from this plant is edible. In Taiwan, the genus Garcinia is represented by three species, Garcinia multiflora, Garcinia linii, and Garcinia subelliptica. Xanthones [2,3,4,5], acylphloroglucinols [6,7,8,9], flavanones [10], and their derivatives are distributed in plants of the genus Garcinia. Multiple activities have been reported for these derivatives such as cytotoxic [3,4,5], anti-microbial [2], anti-inflammatory [6,7,8], anti-oxidant [2], and AChE enzymes inhibitory activities [10]. Aberrant inflammation is associated with many diseases such as arthritis, asthma, and cancer [11]. Among immune cells, macrophages are highly responsive to lipopolysaccharide (LPS) and activated macrophages produce multiple pro-inflammatory molecules (such as nitric oxide (NO)). Nuclear factor κB (NF-κB) [12,13] is a transcription factor mediating inflammatory responses and known as a drug target for anti-inflammatory strategy. In our research on the anti-inflammatory constituents of Formosan plants, numerous species had been screened for inhibitory activity on LPS-induced NF-κB activation, and G. multiflora was found to be an active species. Phytochemical investigations on the stems of G. multiflora has resulted in the isolation of two new acylphloroglucinol derivatives, 13,14-didehydroxygarcicowin C (1) and 13,14-didehydroxy-isoxanthochymol (2), along with seven known compounds. We evaluated the anti-inflammatory effect of the isolated compounds in LPS-stimulated RAW264.7 macrophages and found that 13,14-didehydroxyisoxanthochymol (2) and sampsonione B (3) decreased NF-κB activity. Moreover, sampsonione B (3) inhibited the production of nitric oxide (NO) in LPS-activated macrophages. In this article, the structural elucidation of 1 and 2 and the inhibitory activity of the isolates on LPS-induced NF-κB activation are described.

2. Results and Discussion

2.1. Isolation and Structural Elucidation

Chromatographic isolation and purification of the EtOAc-soluble fraction of a MeOH extract of stems of G. multiflora on a silica gel column and preparative thin-layer chromatography (TLC) obtained two new (1 and 2) and seven known compounds (39) (Figure 1).
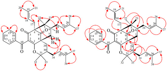
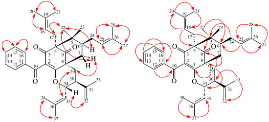
13,14-Didehydroxygarcicowin C (1) was obtained as colorless, amorphous powder. The ESI-MS (Figure S1) displayed the quasi-molecular ion [M + H]+ at m/z 569, implying a molecular formula of C38H49O4, which was confirmed by the HR-ESI-MS (m/z 569.36284 [M + H]+, calcd 569.36254) (Figure S2) and by the 1H, 13C, and DEPT NMR data. The presence of carbonyl groups was revealed by the bands at 1729, 1682, and 1645 cm−1 in the IR spectrum and was confirmed by signals at δC 209.0, 193.8, and 193.1 in the 13C NMR spectrum. The 1H and 13C NMR spectrum (Table 1) (Figures S3 and S4) of 1 showed signals for an acylphloroglucinol derivative based on the presence of a 2,2-dimethylbicyclo[3.3.1]nonane ring system, a benzoyl group, two isoprenyl groups, and another C10 unit (C-29 through C-38). The 1H NMR data of 1 were similar to those of garcicowin C (Figure 2) [14], except that the benzoyl group [δH 7.38 (2H, t, J = 7.5 Hz, H-13, and H-15), 7.50 (1H, t, J = 7.5 Hz, H-14), and 7.77 (2H, d, J = 7.5 Hz, H-12, and H-16)] of 1 replaced the 3,4-dihydroxybenzoyl group of garcicowin C. This was supported by the HMBC correlations observed between H-12 (δH 7.77) and C-10 (δC 193.1), C-14 (δC 133.0), and C-16 (δC 128.7). The relative configuration of 1 was deduced from the NOESY cross-peaks (Figure 3) of H-17/H-22, H-22/H-6, Hα-7/H-22, Hα-7/H-29, Hα-29/H-35, and H-34/H-32. Consequently, H-6, the isoprenyl group at C-4, and the bond between C-8 and C-29 are on the α-side, and H-34 and the prop-1-en-2-yl group at C-30 are on the β-side of 1. According to the data of the 1H–1H COSY (Figure S5) and NOESY (Figure S6) spectra, a computer-created 3D structure was established by applying the above-mentioned molecular modeling program with MM2 force-field calculations for energy minimization. The NOESY experiment of 1 showed selected cross-peaks as shown in the 3D drawing (Figure 4). The calculated distances between H-17/H-22 (2.248 Å), H-22/H-6 (2.304 Å), Hα-7/H-29 (2.281 Å), Hα-29/H-35 (2.552 Å), and H-34/H-32 (2.364 Å) are all less than 4.00 Å; this corresponds with the well-defined NOESY examined for each of the proton pairs. The absolute configuration of 1 was indicated by CD Cotton effects at 311 (Δε + 2.1), 267 (Δε − 8.5), 223 (Δε + 5.2) nm in analogy with garcicowin C [15]. The full assignment of 13C and 1H NMR resonances was substantiated by DEPT, 1H–1H COSY, NOESY (Figure 3), HMBC (Figure 3) (Figure S7), and HSQC (Figure S8) experiments. On the basis of the above evidence, the structure of 1 was established as 13,14-didehydroxygarcicowin C.
13,14-Didehydroxyisoxanthochymol (2) was isolated as a colorless amorphous powder with molecular formula C38H50O4 as established by ESI-MS (Figure S9) and HR-ESI-MS (Figure S10), revealing an [M + H]+ ion at m/z 571.37822 (calcd for C38H51O4, 571.37819). The presence of carbonyl groups was revealed by the bands at 1724, 1675, and 1637 cm−1 in the IR spectrum and was confirmed by signals at δC 207.1, 193.8, and 193.7 in the 13C NMR spectrum. The 1H- and 13C NMR spectrum (Table 1) (Figures S11 and S12) of 2 showed signals for an acylphloroglucinol derivative based on the presence of a 2,2-dimethylbicyclo[3.3.1]nonane ring system, a benzoyl group, three isoprenyl groups, and another C5 unit (C-29 through C-33). The NMR data of 2 was similar to those of isoxanthochymol (Figure 5) [16], except that the benzoyl group [δH 7.36 (2H, t, J = 7.5 Hz, H-13 and H-15), 7.49 (1H, t, J = 7.5 Hz, H-14), and 7.72 (2H, d, J = 7.5 Hz, H-12 and H-16)] of 2 replaced the 3,4-dihydroxybenzoyl group of isoxanthochymol [16]. This was supported by the HMBC correlations observed between H-12 (δH 7.72) and C-10 (δC 193.8), C-14 (δC 132.9), and C-16 (δC 128.8). The relative configuration of 2 was determined by NOESY cross-peaks (Figure 6) of H-17/H-22, H-22/H-6, Hα-7/H-22, Hα-7/H-29, Hα-29/H-30, and Hβ-7/H-34. Consequently, H-6, the isoprenyl group at C-4, and the bond between C-8 and C-29 are on the α-side, and the isoprenyl group at C-6 and the isoprenyl group at C-30 are on the β-side of 2. A computer-created 3D structure (Figure 7) was established by applying the above-mentioned molecular modeling program with MM2 force-field calculations for energy minimization. The calculated distances between H-17/H-22 (2.301 Å), H-22/H-6 (2.274 Å), H-22/Hα-7 (3.109 Å), Hα-29/H-30 (2.546 Å), Hβ-7/H-34 (2.128 Å), and Hβ-7/H-24 (3.246 Å) are all less than 4.00 Å; this corresponds with the well-defined NOESY observed for each of the proton pairs. The absolute configuration of 2 was confirmed by the similar CD Cotton effects [270 (Δε + 13.6), 224 (Δε − 8.4) nm] compared with analogous benzoylphloroglucinol derivative, isoxanthochymol [16]. The structure elucidation of 2 was confirmed by 1H–1H COSY (Figure S13) and NOESY (Figure 6) (Figure S14) techniques and 13C NMR assignments were supported by DEPT, HMBC (Figure 6) (Figure S15), and HSQC (Figure S16) experiments. According to the above evidence, the structure of 2 was established as 13,14-didehydroxyisoxanthochymol.

2.2. Structure Identification of the Known Isolates

The known isolated compounds were easily identified by a comparison of spectroscopic and physical data (1H NMR, UV, MS, [α]D, and IR) with corresponding authentic samples or literature values, and this included two acylphloroglucinol derivatives, sampsonione B (3) [17] and garcinol (4) [16], a biphenyl derivative, 3-hydroxy-5-methoxybiphenyl (5) [18], a ferulic acid ester derivative, 1,24-tetracosanediol diferulate (6) [19], a triterpene, friedelan-3-one (7) [20], and a mixture of steroids, β-sitostenone (8) [21] and stigmasta-4,22-dien-3-one (9) [22].

2.3. Biological Studies

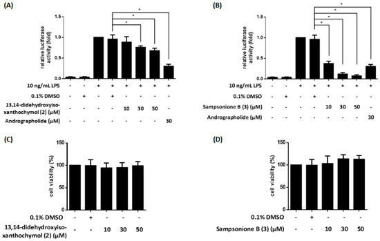
NF-κB [12,13] plays an essential role in inflammatory responses. We previously established an LPS-responsive macrophage cell clone (RAW264.7/Luc-P1), in which NF-κB activity correlates with the luciferase gene expression [23]. The RAW 264.7/Luc-P1 cells allowed us to successfully identify NF-κB-suppressing compounds such as fisetin and methyl isornate [24,25]. Therefore, we applied this system to measure the effects of isolated compounds on NF-κB activity, and their inhibitory activities (with inhibitory percentages) are summarized in Table 2. 13,14-Didehydroxyisoxantho-chymol (2) and sampsonione B (3) show significant inhibition of LPS-stimulated NF-κB activity (Figure 8A,B). Moreover, 13,14-didehydroxyisoxanthochymol (2) and sampsonione B (3) did not induce cytotoxicity against RAW 264.7/Luc-P1 cells after 24 h treatment (Figure 8C,D).
LPS-mediated NF-κB activation results in upregulation of pro-inflammatory molecules, such as NO, in macrophages [12,26]. Thus, NO generation is a hallmark of inflammatory responses. Our study further evaluated the potential anti-inflammatory compounds, 13,14-didehydroxy- isoxanthochymol (2) and sampsonione B (3) on NO production. The result showed that 13,14-didehydroxyisoxanthochymol (2) did not obviously affect LPS-induced NO generation in RAW264.7 macrophages and did not display cytotoxicity against RAW 264.7 cells after 24 h treatment (Figure 9A,C). In contrast, sampsonione B (3) could suppress LPS-induced NO generation in a concentration-dependent manner (Figure 9B) without causing significant cytotoxicity (Figure 9D).
It is observed that the inhibition on NO production is in a close correlation with NF-κB activation (e.g. compound 3 in Figure 8B and Figure 9B). Thus, compound 3 may be involved in NF-κB-dependent NO regulation.

3. Experimental Section

3.1. General Procedures

Ultraviolet (UV) spectra were measured on a Jasco UV-240 spectrophotometer (Jasco Co., Hachioji, Japan). Optical rotations were measured using a Jasco DIP-370 polarimeter (Jasco Co., Hachioji, Japan) in MeOH. CD spectra were obtained on a Jasco J-815 spectropolarimeter (Jasco Co., Hachioji, Japan). Infrared (IR) spectra (neat or KBr) were determined on a Perkin Elmer 2000 FT-IR spectrometer (Perkin-Elmer Corp., Waltham, MA, USA). Nuclear magnetic resonance (NMR) spectra, including nuclear Overhauser effect spectrometry (NOESY), correlation spectroscopy (COSY), heteronuclear single-quantum coherence (HSQC), and heteronuclear multiple-bond correlation (HMBC) experiments, were measured on a Varian Inova 500 spectrometer (Varian, Palo Alto, CA, USA) operating at 125 MHz (13C) and 500 MHz (1H), respectively, with chemical shifts given in ppm (δ) using tetramethylsilane (TMS) as an internal standard. Electrospray ionization (ESI) and high-resolution electrospray ionization (HRESI)-mass spectra were determined on a Bruker APEX II mass spectrometer (Bruker, Billerica, MA, USA). Silica gel 60 F-254 (Merck, Darmstadt, Germany) was used for preparative thin-layer chromatography (PTLC) and thin-layer chromatography (TLC). Silica gel (70–230 and 230–400 mesh, Merck) was used for column chromatography (CC).

3.2. Plant Material

The stems of G. multiflora was collected from Mudan, Pingtung County, Taiwan, in December 2012 and identified by Dr. M. H. Yen (School of Pharmacy, College of Pharmacy, Kaohsiung Medical University, Taiwan). A voucher specimen (GM-201212) was deposited in the Faculty of Pharmacy, School of Pharmaceutical Sciences, National Yang-Ming University, Taipei, Taiwan.

3.3. Extraction and Isolation

The dried stems of G. multiflora (5.4 kg) were extracted three times with MeOH (10 L each) for 3 days. The MeOH extracts were concentrated under reduced pressure at 35 °C, and the residue (211 g) was partitioned between EtOAc and H2O (1:1). The EtOAc layer was concentrated to give a residue (fraction A, 118 g). The water layer was further extracted with n-BuOH, and the water-soluble part (fraction C, 41 g) and the n-BuOH-soluble part (fraction B, 45 g) were separated. Fraction A (118 g) was separated on silica gel (70–230 mesh, 5.2 kg), eluting with CH2Cl2, gradually increasing the polarity with MeOH to give 13 fractions: A1 (2 L, CH2Cl2), A2 (2 L, CH2Cl2/MeOH, 90:1), A3 (2 L, CH2Cl2/MeOH, 80:1), A4 (1 L, CH2Cl2/MeOH, 50:1), A5 (1 L, CH2Cl2/MeOH, 40:1), A6 (2 L, CH2Cl2/MeOH, 30:1), A7 (2 L, CH2Cl2/MeOH, 20:1), A8 (5 L, CH2Cl2/MeOH, 10:1), A9 (7 L, CH2Cl2/MeOH, 5:1), A10 (2 L, CH2Cl2/MeOH, 4:1), A11 (4 L, CH2Cl2/MeOH, 2:1), A12 (5 L, CH2Cl2/MeOH, 1:1), and A13 (5 L, MeOH).
Fraction A2 (5.6 g) was chromatographed further on silica gel (70–230 mesh, 250 g) eluting with n-hexane/acetone (20:1–0:1) to give 10 fractions (each 1.2 L, A2-1−A2-10). Compound 7 (7.2 mg) was yielded from fraction A2-1 (85 mg) by recrystallization with n-hexane/EtOAc. Compounds 8 and 9 (12.2 mg) were obtained from fraction A2-2 (358 mg) by recrystallization with n-hexane/EtOAc. Fraction A2-4 (126 mg) was purified further by preparative TLC (silica gel, CH2Cl2) to obtain 1 (5.2 mg) and 2 (2.3 mg). Part (168 mg) of fraction A2-5 was purified by preparative TLC (silica gel, n-hexane/EtOAc, 6:1) to obtain 3 (2.2 mg). Part (120 mg) of fraction A2-7 was purified by preparative TLC (silica gel, n-hexane/EtOAc, 3:1) to afford 5 (2.2 mg). Part (89 mg) of fraction A2-9 was purified by preparative TLC (silica gel, CHCl3) to obtain 6 (2.5 mg). Fraction A3 (4.5 g) was chromatographed further on silica gel (230–400 mesh, 205 g) eluting with n-hexane/EtOAc (15:1–0:1) to give 7 fractions (each 1 L, A3-1–A3-7). Part (172 mg) of fraction A3-5 was purified by preparative TLC (silica gel, n-hexane/acetone, 2:1) to afford 4 (6.2 mg).
13,14-didehydroxygarcicowin C (1): amorphous powder; [α] D 25 = −68.6 (c 0.18, CHCl3); CD (MeOH, Δε): 311 (+2.1), 267 (−8.5), 223 (+5.2) nm; UV (MeOH): λmax (log ε) = 250 (3.90), 273 (sh, 3.77) nm; IR (KBr): υmax = 1729 (C=O), 1682 (C=O), 1645 (C=O) cm−1; ESI-MS: m/z = 569 [M + H]+; HR-ESI-MS: m/z = 569.36284 [M + H]+ (calcd for C38H49O4, 569.36254); 1H and 13C NMR data: see Table 1.
13,14-didehydroxyisoxanthochymol (2): amorphous powder; [α] D 25 = +205.7 (c 0.15, CHCl3); CD (MeOH, Δε): 270 (+13.6), 224 (−8.4) nm; UV (MeOH): λmax (log ε) = 203 (4.16), 249 (3.96), 276 (sh, 4.02) nm; IR (KBr): υmax = 1724 (C=O), 1675 (C=O), 1637 (C=O) cm−1; ESI-MS: m/z = 571 [M + H]+; HR-ESI-MS: m/z = 571.37822 [M + H]+ (calcd for C38H51O4, 571.37819); 1H and 13C NMR data: see Table 1.

3.4. Biological Assay

The effect of the isolates on LPS-induced NF-κB activation in RAW 264.7/Luc-P1 macrophage was assessed by determining the luminescence resulted from luciferase activity in a concentration-dependent manner. The purity of the tested compounds was >98% as identified by MS and NMR.

3.4.1. Cells and Culture Medium

The RAW 264.7/Luc-P1 cell is an LPS-responsive cell line with an integrated reporter gene (pELAM1-Luc) [23]. The murine RAW 264.7 macrophage and RAW 264.7/Luc-P1 cells were cultured and originated conditions as described previously [23,24].

3.4.2. Luciferase Reporter Assay

The RAW 264.7/Luc-P1 cells (1.5 × 105 cells in 24-well plates) were treated with pure compounds, the positive control (30 μM andrographolide) or vehicle (0.1% DMSO) for 1 h and then LPS (10 ng/mL) for 23 h. The treated cells were then collected and assessed using luciferase assays (Promega, Madison, WI, USA) as described previously [25].

3.4.3. 3-(4,5-Dimethylthiazol-2-yl)-2,5-diphenyltetrazolium Bromide (MTT) Assay

RAW 264.7/Luc-P1 cells or RAW 264.7 cells (104 cells in 96-well plates) were treated with 13,14-didehydroxyisoxanthochymol (2), sampsonione B (3) and 0.1% DMSO for 24 h. MTT assays were performed as described previously [25].

3.4.4. Nitric Oxide (NO) Production

The RAW 264.7 cells (4 × 104 cells in 96-well plates) were treated with 13,14-didehydroxy- isoxanthochymol (2), sampsonione B (3) and 0.1% DMSO for 1 h and then incubated with LPS (1μg/mL) for 23 h. The 100 μL of cell culture medium with an equal volume of Griess reagent (0.1% naphthylethylenediamine dihydrochloride and 1% sulfanilamide in 2.5% phosphoric acid) in a 96-well plate was incubated for 10 min. The absorbance at 550 nm was measured by using a Model 680 Microplate Reader (Bio-rad, Hercules, CA, USA). The level of NO production was calculated from sodium nitrite (NaNO2) standard curve [27].

3.4.5. Statistical Analysis

The data are displayed as mean ± SD from three independent experiments. Statistical analysis was performed using Student’s t test. Differences were considered as statistically significant when p < 0.05.

4. Conclusions

Our research on the phytochemical investigation of G. multiflora has led to the isolation of two new (1, 2) and seven known (39) compounds. The structures of these isolates were established by spectroscopic data. Based on the results of our bioactivity assays, among the isolates, 13,14-didehydroxyisoxanthochymol (2) and sampsonione B (3) exhibited inhibition against lipopolysaccharide (LPS)-induced NF-κB activation in macrophages at 30 μM with relative luciferase activity values of 0.75 ± 0.03 and 0.12 ± 0.03, respectively. Furthermore, samposonione B (3) showed LPS-induced NO generation in concentration dependent manner. Thus, our research suggests G. multiflora and its isolated compound (especially 3) are worth further study and may be expectantly developed as the candidates for the prevention or treatment of diverse inflammatory diseases.

Supplementary Materials

Supplementary materials are available online, Figures S1–S8: MS, 1D, and 2D-NMR spectra for 13,14-didehydroxygarcicowin C (1), Figures S9–S16: MS, 1D, and 2D-NMR spectra for 13,14-didehydroxyisoxanthochymol (2).

Author Contributions

L.-Y.C. and J.-J.C. performed the isolation and structure elucidation of the constituents and manuscript writing. Y.-C.T., S.-L.F., M.-I.C., M.-J.C. and P.-J.S. conducted the bioassay and analyzed the data. J.-J.C. planned, designed, and organized all of the research of this study and the preparation of the manuscript. All authors read and approved the final version of the manuscript.

Funding

This research received no external funding.

Acknowledgments

This research was supported by a grant from the Ministry of Science and Technology of the Republic of China (No. MOST 106-2320-B-010-033-MY3 and MOST 103-2320-B-010-007-MY3), awarded to J.-J. Chen and S.-L. Fu. We are grateful to Ming-Hong Yen for unselfishly providing us with plant material (the stems of G. multiflora).

Conflicts of Interest

The authors declare no conflict of interest.

References

  1. Robson, N.K.B. ‘Guttiferae’ in ‘Flora of Taiwan’, 2nd ed.; Editorial Committee of the Flora of Taiwan: Taipei, Taiwan, 1996; Volume 2, pp. 694–714.
  2. Mohamed, G.A.; Ibrahim, S.R.M.; Shaaban, M.I.A.; Ross, S.A. Mangostanaxanthones I and II, new xanthones from the pericarp of Garcinia mangostana. Fitoterapia 2014, 98, 215–221. [Google Scholar] [CrossRef] [PubMed]
  3. Sukandar, E.R.; Ersam, T.; Fatmawati, S.; Siripong, P.; Aree, T.; Tip-pyang, S. Cylindroxanthones A–C, three xanthones and their cytotoxicity from the stem bark of Garcinia cylindrocarpa. Fitoterapia 2016, 108, 62–65. [Google Scholar] [CrossRef] [PubMed]
  4. Sukandar, E.R.; Siripong, P.; Khumkratok, S.; Tip-pyang, S. New depsidones and xanthone from the roots of Garcinia schomburgkiana. Fitoterapia 2016, 111, 73–77. [Google Scholar] [CrossRef] [PubMed]
  5. Tang, Z.Y.; Xia, Z.X.; Qiao, S.P.; Jiang, C.; Shen, G.R.; Cai, M.X.; Tang, X.Y. Four new cytotoxic xanthones from Garcinia nujiangensis. Fitoterapia 2015, 102, 109–114. [Google Scholar] [CrossRef] [PubMed]
  6. Chen, J.J.; Ting, C.W.; Hwang, T.L.; Chen, I.S. Benzophenone derivatives from the fruits of Garcinia multiflora and their anti-inflammatory activity. J. Nat. Prod. 2009, 72, 253–258. [Google Scholar] [CrossRef] [PubMed]
  7. Weng, J.R.; Tsao, L.T.; Wang, J.P.; Wu, R.R.; Lin, C.N. Anti-inflammatory phloroglucinols and terpenoids from Garcinia subelliptica. J. Nat. Prod. 2014, 67, 1796–1799. [Google Scholar] [CrossRef] [PubMed]
  8. Weng, J.R.; Lin, C.N.; Tsao, L.T.; Wang, J.P. Novel and anti-inflammatory constituents of Garcinia subelliptica. Chem. Eur. J. 2003, 9, 1958–1963. [Google Scholar] [CrossRef] [PubMed]
  9. Wu, C.C.; Lu, Y.H.; Wei, B.L.; Yang, S.C.; Won, S.J.; Lin, C.N. Phloroglucinols with prooxidant activity from Garcinia subelliptica. J. Nat. Prod. 2008, 71, 246–250. [Google Scholar] [CrossRef] [PubMed]
  10. Tan, W.N.; Khairuddean, M.; Wong, K.C.; Khaw, K.Y.; Vikneswaran, M. New cholinesterase inhibitors from Garcinia atroviridis. Fitoterapia 2014, 97, 261–267. [Google Scholar] [CrossRef] [PubMed]
  11. Killeen, M.J.; Linder, M.; Pontoniere, P.; Crea, R. NF-κB signaling and chronic inflammatory diseases: Exploring the potential of natural products to drive new therapeutic opportunities. Drug Discov. Today 2014, 19, 373–378. [Google Scholar] [CrossRef] [PubMed]
  12. Karin, M.; Clevers, H. Reparative inflammation takes charge of tissue regeneration. Nature 2016, 529, 307–315. [Google Scholar] [CrossRef] [PubMed]
  13. Riedel, C.U.; Foata, F.; Philippe, D.; Adolfsson, O.; Eikmanns, B.J.; Blum, S. Anti-inflammatory effects of bifidobacteria by inhibition of LPS-induced NF-κB activation. World J. Gastroenterol. 2006, 12, 3729–3735. [Google Scholar] [CrossRef] [PubMed]
  14. Xu, G.; Kan, W.L.T.; Zhou, Y.; Song, J.Z.; Han, Q.B.; Qiao, C.F.; Cho, C.H.; Rudd, J.A.; Lin, G.; Xu, H.X. Cytotoxic acylphloroglucinol derivatives from the twig of Garcinia cowa. J. Nat. Prod. 2010, 73, 104–108. [Google Scholar] [CrossRef] [PubMed]
  15. Stark, T.D.; Lӧsch, S.; Wakamatsu, J.; Balemba, O.B.; Frank, O.; Hofmann, T. UPLC-ESI-TOF MS-based metabolite profiling of the antioxidative food supplement Garcinia buchananii. J. Agric. Food Chem. 2015, 63, 7169–7179. [Google Scholar] [CrossRef] [PubMed]
  16. Socolsky, C.; Plietker, B. Total synthesis and absolute configuration assignment of MRSA active garcinol and isogarcinol. Chem. Eur. J. 2015, 21, 3053–3061. [Google Scholar] [CrossRef] [PubMed]
  17. Hu, L.H.; Sim, K.Y. Complex caged polyisoprenylated benzophenone derivatives, sampsonione A and B, from Hypericum sampsonii. Tetrahedron Lett. 1998, 39, 7999–8002. [Google Scholar] [CrossRef]
  18. Song, M.C.; Nigussie, F.; Jeong, T.S.; Lee, C.Y.; Regassa, F.; Markos, T.; Baek, N.I. Phenolic compounds from the roots of Lindera fruticosa. J. Nat. Prod. 2006, 69, 853–855. [Google Scholar] [CrossRef] [PubMed]
  19. Ma, C.Y.; Liu, W.K.; Che, C.T. Lignanamides and nonalkaloidal components of Hyoscyamus niger seeds. J. Nat. Prod. 2002, 65, 206–209. [Google Scholar] [CrossRef] [PubMed]
  20. Hisham, A.; Jaya Kumar, G.; Fujimoto, Y.; Hara, N. Salacianone and salacianol, two triterpenes from Salacia beddomei. Phytochemistry 1995, 40, 1227–1231. [Google Scholar] [CrossRef]
  21. Ibrahimm, S.R.M.; Elkhayat, E.S.; Mohamed, G.A.; Khedr, A.I.M.; Fouad, M.A.; Kotb, M.H.R.; Ross, S.A. Aspernolides F and G, new butyrolatones from the endophytic fungus Aspergillus terreus. Phytochemistry Lett. 2015, 14, 84–90. [Google Scholar] [CrossRef]
  22. Monção, N.B.N.; Araújo, B.Q.; do Nascimento Silva, J.; Lima, D.J.B.; Ferreira, P.M.P.; da Silva Airoldi, F.P.; Pessoa, C.; das, G.L.; Citó, A.M. Assessing chemical constituents of Mimosa caesalpiniifolia stem bark: Possible bioactive components accountable for the cytotoxic effect of M. caesalpiniifolia on human tumour cell lines. Molecules 2015, 20, 4204–4224. [Google Scholar] [CrossRef] [PubMed]
  23. Fu, S.L.; Hsu, H.Y.; Lee, P.Y.; Hou, W.C.; Hung, C.L.; Lin, C.H.; Chen, C.M.; Huang, Y.J. Dioscorin isolated from Dioscorea alata activates TLR4-signaling pathways and induces cytokine expression in macrophages. Biochem. Biophys. Res. Commun. 2006, 339, 137–144. [Google Scholar] [CrossRef] [PubMed]
  24. Liu, S.H.; Lin, C.H.; Hung, S.K.; Chou, J.H.; Chi, C.W.; Fu, S.L. Fisetin inhibits liopolysaccharide-induced macrophage activation and dendritic cell maturation. J. Agric. Food Chem. 2010, 58, 10831–10839. [Google Scholar] [CrossRef] [PubMed]
  25. Tsai, Y.C.; Chen, S.H.; Lin, L.C.; Fu, S.L. Anti-inflammatory principles from Sarcandra glabra. J. Agric. Food Chem. 2017, 65, 6497–6505. [Google Scholar] [CrossRef] [PubMed]
  26. MacMicking, J.; Xie, Q.W.; Nathan, C. Nitric oxide and macrophage function. Ann. Rev. Immunol. 1997, 15, 323–350. [Google Scholar] [CrossRef] [PubMed]
  27. Wang, S.L.; Tsai, Y.C.; Fu, S.L.; Cheng, M.J.; Chung, M.I.; Chen, J.J. 2-(2-Phenylethyl)-4H-chromen-4-one derivatives from the resinous wood of Aquilaria sinensis with anti-inflammatory effect in LPS-induced macrophages. Molecules 2018, 23, 289. [Google Scholar] [CrossRef] [PubMed]
Sample Availability: Samples of the compounds are available from the authors.
Figure 1. The chemical structures of compounds 19 isolated from Garcinia multiflora.
Figure 1. The chemical structures of compounds 19 isolated from Garcinia multiflora.
Molecules 23 02587 g001
Figure 2. The chemical structure of garcicowin C.
Figure 2. The chemical structure of garcicowin C.
Molecules 23 02587 g002
Figure 3. Key NOESY (Molecules 23 02587 i001) and HMBC (Molecules 23 02587 i002) correlations of 1.
Figure 3. Key NOESY (Molecules 23 02587 i001) and HMBC (Molecules 23 02587 i002) correlations of 1.
Molecules 23 02587 g003
Figure 4. Selected NOESY correlations and relative configuration of 1.
Figure 4. Selected NOESY correlations and relative configuration of 1.
Molecules 23 02587 g004
Figure 5. The chemical structure of isoxanthochymol.
Figure 5. The chemical structure of isoxanthochymol.
Molecules 23 02587 g005
Figure 6. Key NOESY (Molecules 23 02587 i001) and HMBC (Molecules 23 02587 i002) correlations of 2.
Figure 6. Key NOESY (Molecules 23 02587 i001) and HMBC (Molecules 23 02587 i002) correlations of 2.
Molecules 23 02587 g006
Figure 7. Selected NOESY correlations and relative configuration of 2.
Figure 7. Selected NOESY correlations and relative configuration of 2.
Molecules 23 02587 g007
Figure 8. The compounds 2 and 3 inhibit NF-κB activation in lipopolysaccharide (LPS)-induced RAW 264.7/Luc-P1 cells. The luciferase activities of 13,14-didehydroxyisoxanthochymol (2) (A) and sampsonione B (3) (B) in LPS-stimulated RAW 264.7/Luc-P1 macrophages were observed. Andrographolide is the positive control. The cell viability of RAW 264.7/Luc-P1 cells incubated with 13,14-didehydroxyisoxanthochymol (2) (C) or sampsonione B (3) (D) for 24 h was measured using MTT assay. * indicates significant difference vs. LPS-treated vehicle control (p < 0.05).
Figure 8. The compounds 2 and 3 inhibit NF-κB activation in lipopolysaccharide (LPS)-induced RAW 264.7/Luc-P1 cells. The luciferase activities of 13,14-didehydroxyisoxanthochymol (2) (A) and sampsonione B (3) (B) in LPS-stimulated RAW 264.7/Luc-P1 macrophages were observed. Andrographolide is the positive control. The cell viability of RAW 264.7/Luc-P1 cells incubated with 13,14-didehydroxyisoxanthochymol (2) (C) or sampsonione B (3) (D) for 24 h was measured using MTT assay. * indicates significant difference vs. LPS-treated vehicle control (p < 0.05).
Molecules 23 02587 g008
Figure 9. The effects of compounds 2 and 3 on nitric oxide (NO) production in LPS-induced RAW 264.7 macrophages. The effects of 13,14-didehydroxyisoxanthochymol (2) (A) and sampsonione B (3) (B) in LPS-treated RAW 264.7 macrophages were detected by Griess reagent. Andrographolide is the positive control. The cell viability of RAW 264.7 cells incubated with 13,14-didehydroxy- isoxanthochymol (2) (C) or sampsonione B (3) (D) for 24 h was measured using MTT assay. * indicates significant difference vs. LPS-treated vehicle control (p < 0.05).
Figure 9. The effects of compounds 2 and 3 on nitric oxide (NO) production in LPS-induced RAW 264.7 macrophages. The effects of 13,14-didehydroxyisoxanthochymol (2) (A) and sampsonione B (3) (B) in LPS-treated RAW 264.7 macrophages were detected by Griess reagent. Andrographolide is the positive control. The cell viability of RAW 264.7 cells incubated with 13,14-didehydroxy- isoxanthochymol (2) (C) or sampsonione B (3) (D) for 24 h was measured using MTT assay. * indicates significant difference vs. LPS-treated vehicle control (p < 0.05).
Molecules 23 02587 g009
Table 1. 1H NMR (500 MHz) and 13C NMR (125 MHz) data for compounds 1 and 2 in CDCl3.
Table 1. 1H NMR (500 MHz) and 13C NMR (125 MHz) data for compounds 1 and 2 in CDCl3.
Position1 2
δC, typeδH (J in Hz)δC, typeδH (J in Hz)
1170.8, C 171.5, C
2129.1, C 125.3, C
3193.8, C 193.7, C
469.2, C 68.3, C
546.7, C 46.3, C
646.4, CH1.51, m46.2, CH1.45, m
738.1, CH22.60, d (14.5)39.5, CH22.28, d (14.5)
1.89, dd (14.5, 7.5) 1.98, dd (14.5, 7.0)
848.1, C 51.2, C
9209.0, C 207.1, C
10193.1, C 193.8, C
11137.5, C 137.5, C
12128.7, CH7.77, d (7.5)128.8, CH7.72, d (7.5)
13128.3, CH7.38, t (7.5)128.3, CH7.36, t (7.5)
14133.0, CH7.50, t (7.5)132.9, CH7.49, t (7.5)
15128.3, CH7.38, t (7.5)128.3, CH7.36, t (7.5)
16128.7, CH7.77, d (7.5)128.8, CH7.72, d (7.5)
1725.3, CH22.66, dd (13.5, 8.0)25.5, CH22.68, dd (14.0, 8.5)
2.47, m 2.43, dd (14.0, 5.0)
18119.8, CH4.91, br t (8.0)119.8, CH4.95, dd (8.5, 5.0)
19134.6, C 134.7, C
2026.1, CH31.62, s26.2, CH31.62, s
2118.1, CH31.56, s18.0, CH31.58, s
2226.8, CH31.00, s26.8, CH30.98, s
2322.3, CH31.18, s22.5, CH31.17, s
2429.3, CH22.53, m29.3, CH22.65, m
2.23, m 2.19, m
25124.9, CH4.94, br t (7.5)124.9, CH4.90, br t (7.0)
26133.1, C 133.1, C
2726.0, CH31.71, s26.0, CH31.70, s
2818.2, CH31.67, s18.1, CH31.69, s
2933.2, CH22.32, t (14.0)28.4, CH23.05, dd (14.0, 3.5)
1.75, dd (14.0, 2.5) 0.92, m
3042.8, CH2.46, m42.8, CH1.39, m
31143.5, C 86.4, C
32113.9, CH24.80, s28.5, CH30.83, s
4.84, s
3320.3, CH31.66, s21.3, CH31.23, s
3479.7, CH4.20, t (9.0)29.6, CH22.03, m
1.78, m
35121.4, CH5.01, br d (9.0)121.4, CH5.19, br t (6.5)
36141.7, C 133.7, C
3725.7, CH31.61 s25.8, CH31.77 s
3817.8, CH31.10 s18.1, CH31.60 s
Table 2. The effects of compounds 17 from the stems of Garcinia multiflora on NF-κB activation in RAW 264.7/Luc-P1 cells.
Table 2. The effects of compounds 17 from the stems of Garcinia multiflora on NF-κB activation in RAW 264.7/Luc-P1 cells.
Compounds aRelative Luciferase ActivityInhibition (%) e
Mean ± SD dMean ± SD d
13,14-Didehydroxygarcicowin C (1)0.78 ± 0.1121 ± 11
13,14-Didehydroxyisoxanthochymol (2)0.75 ± 0.03 *24 ± 4 *
Sampsonione B (3)0.12 ± 0.03 *88 ± 4 *
Garcinol (4)1.23 ± 0.21
3-Hydroxy-5-methoxybiphenyl (5)0.85 ± 0.0614 ± 3
1,24-Tetracosanediol diferulate (6)0.96 ± 0.083 ± 10
Friedelan-3-one (7)1.04 ± 0.20
LPS-treated vehicle control b0.94 ± 0.095 ± 9
Andrographolide c0.31± 0.05 *70 ± 5 *
a Compounds 17: 30 μM. b Vehicle control: 0.1% DMSO. c Andrographolide (30 μM) is the positive control. d Data are displayed as the mean ± SD from three independent experiments. * indicates significant difference versus lipopolysaccharide (LPS) (1 μg/mL)-treated vehicle control (p < 0.05). e Inhibition (%) = [1 − luciferase activity (compounds)/luciferase activity (LPS-treated control)] × 100.

Share and Cite

MDPI and ACS Style

Cheng, L.-Y.; Tsai, Y.-C.; Fu, S.-L.; Cheng, M.-J.; Sung, P.-J.; Chung, M.-I.; Chen, J.-J. Acylphloroglucinol Derivatives from Garcinia multiflora with Anti-Inflammatory Effect in LPS-Induced RAW264.7 Macrophages. Molecules 2018, 23, 2587. https://doi.org/10.3390/molecules23102587

AMA Style

Cheng L-Y, Tsai Y-C, Fu S-L, Cheng M-J, Sung P-J, Chung M-I, Chen J-J. Acylphloroglucinol Derivatives from Garcinia multiflora with Anti-Inflammatory Effect in LPS-Induced RAW264.7 Macrophages. Molecules. 2018; 23(10):2587. https://doi.org/10.3390/molecules23102587

Chicago/Turabian Style

Cheng, Lin-Yang, Yun-Chen Tsai, Shu-Ling Fu, Ming-Jen Cheng, Ping-Jyun Sung, Mei-Ing Chung, and Jih-Jung Chen. 2018. "Acylphloroglucinol Derivatives from Garcinia multiflora with Anti-Inflammatory Effect in LPS-Induced RAW264.7 Macrophages" Molecules 23, no. 10: 2587. https://doi.org/10.3390/molecules23102587

APA Style

Cheng, L.-Y., Tsai, Y.-C., Fu, S.-L., Cheng, M.-J., Sung, P.-J., Chung, M.-I., & Chen, J.-J. (2018). Acylphloroglucinol Derivatives from Garcinia multiflora with Anti-Inflammatory Effect in LPS-Induced RAW264.7 Macrophages. Molecules, 23(10), 2587. https://doi.org/10.3390/molecules23102587

Article Metrics

Back to TopTop