Cooperative Reinforcement of Ionic Liquid and Reactive Solvent on Enzymatic Synthesis of Caffeic Acid Phenethyl Ester as an In Vitro Inhibitor of Plant Pathogenic Bacteria
Abstract
:1. Introduction
2. Results and Discussion
2.1. Selective Complexation of TOPO and Caffeates in Cyclohexane/[Bmim][Tf2N]
2.2. Effect of TOPO Concentration in Cyclohexane
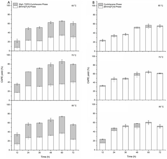
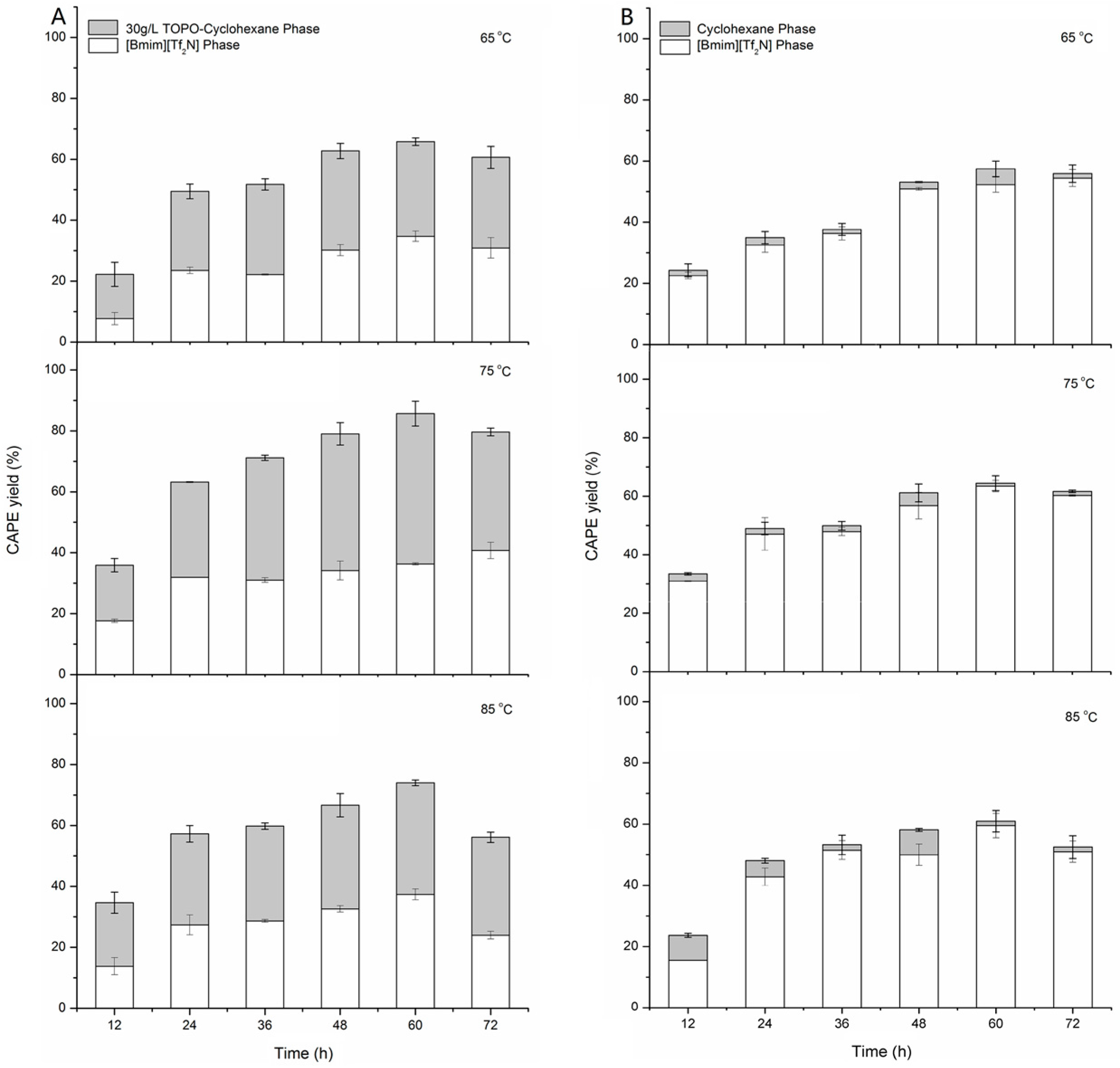
2.3. CAPE Synthesis from MC and PE Using the TOPO-Cyclohexane/[Bmim][Tf2N] System
2.4. Enzymatic Kinetics and Secondary Structure Change in TOPO-Cyclohexane/[Bmim][Tf2N]
2.5. Comparative Analysis of CAPE Synthesis Using Different Media
2.6. Antibacterial Activity of CAPE against R. solanacearum
3. Materials and Methods
3.1. Materials and Strains
3.2. Selective Complexing Feasibility of TOPO and Caffeates in Cyclohexane/[Bmim][Tf2N]
3.3. Lipase-Catalyzed Synthesis of CAPE from MC and PE via Transesterification Using the TOPO-Cyclohexane/[Bmim][Tf2N] System
3.4. Enzymatic Kinetics of CAPE Synthesis Using the Biphase System
3.5. HPLC Analysis of Caffeates in the Enzymatic Synthesis of CAPE Using the Biphasic System
3.6. ESI-LC-MS and 1H-NMR Analysis of Synthesis Product Using the Biphasic System
3.7. Characteristics of Lipase and Complex Formation Measured by FTIR Spectrometry
3.8. Antibacterial Activity of CAPE against R. solanacearum
3.9. Statistical Analysis
4. Conclusions
Supplementary Materials
Acknowledgments
Author Contributions
Conflicts of Interest
References
- Gong, P.F.; Xu, J.H. Bio-resolution of a chiral epoxide using whole cells of Bacillus megaterium ECU1001 in a biphasic system. Enzyme Microb. Tech. 2005, 36, 252–257. [Google Scholar] [CrossRef]
- Guo, W.G.; Wu, B.; Zhou, X.; Chen, P.; Wang, X.; Zhou, Y.G.; Liu, Y.; Li, C. Formal asymmetric catalytic thiolation with a bifunctional catalyst at a water-oil interface: Synthesis of benzyl thiols. Angew. Chem. Int. Edit. 2015, 54, 4522–4526. [Google Scholar] [CrossRef] [PubMed]
- Pigaleva, M.A.; Elmanovich, I.V.; Kononevich, Y.N.; Gallyamov, M.O.; Muzafarov, A.M. A biphase H2O/CO2 system as a versatile reaction medium for organic synthesis. RSC Adv. 2015, 5, 103573–103608. [Google Scholar] [CrossRef]
- De Pater, J.; Deelman, B.J.; Elsevier, C.J.; van Koten, G. Multiphase systems for the recycling of alkoxycarbonylation catalysts. Adv. Synth. Catal. 2006, 348, 1447–1458. [Google Scholar] [CrossRef]
- Wang, J.; Gong, A.; Yang, C.F.; Bao, Q.; Shi, X.Y.; Han, B.B.; Wu, X.Y.; Wu, F.A. An effective biphase system accelerates hesperidinase-catalyzed conversion of rutin to isoquercitrin. Sci. Rep. 2015, 5, 8682. [Google Scholar] [CrossRef] [PubMed]
- Bornscheuer, U.T.; Huisman, G.W.; Kazlauskas, R.J.; Lutz, S.; Moore, J.C.; Robins, K. Engineering the third wave of biocatalysis. Nature 2012, 485, 185–194. [Google Scholar] [CrossRef] [PubMed]
- Wang, Y.L.; Zhi, H.Z.; Luo, J. A facile and efficient protocol for esterification and acetalization in a PEG(1000)-D(A)IL/toluene thermoregulated catalyst-media combined systems. J. Mol. Catal. A-Chem. 2013, 379, 46–52. [Google Scholar] [CrossRef]
- Ha, S.H.; Anh, T.V.; Lee, S.H.; Koo, Y. Effect of ionic liquids on enzymatic synthesis of caffeic acid phenethyl ester. Bioproc. Biosyst. Eng. 2012, 35, 235–240. [Google Scholar] [CrossRef] [PubMed]
- Wang, J.; Gu, S.S.; Cui, H.S.; Wu, X.Y.; Wu, F.A. A novel continuous flow biosynthesis of caffeic acid phenethyl ester from alkyl caffeate and phenethanol in a packed bed microreactor. Bioresource Technol. 2014, 158, 39–47. [Google Scholar] [CrossRef] [PubMed]
- Wang, J.; Wang, S.S.; Li, Z.J.; Gu, S.S.; Wu, X.Y.; Wu, F.A. Ultrasound irradiation accelerates the lipase-catalyzed synthesis of methyl caffeate in an ionic liquid. J. Mol. Catal. B-Enzym. 2015, 111, 21–28. [Google Scholar] [CrossRef]
- Wang, J.; Li, J.; Zhang, L.X.; Gu, S.S.; Wu, F.A. Lipase-catalyzed synthesis of caffeic acid phenethyl ester in ionic liquids: Effect of specific ions and reaction parameters. Chin. J. Chem. Eng. 2013, 21, 1376–1385. [Google Scholar] [CrossRef]
- Liu, C.; Li, X.M.; Jin, Z.L. Progress in thermoregulated liquid/liquid biphasic catalysis. Catal. Today 2015, 247, 82–89. [Google Scholar] [CrossRef]
- Dobbs, A.P.; Kimberley, M.R. Fluorous phase chemistry: A new industrial technology. J. Fluor. Chem. 2002, 118, 3–17. [Google Scholar] [CrossRef]
- Araia, M.; Fujitaa, S.; Shirai, M. Multiphase catalytic reactions in/under dense phase CO2. J. Supercrit. Fluid 2009, 47, 351–356. [Google Scholar] [CrossRef]
- Grunberger, D.; Banerjee, R.; Eisinger, K.; Oltz, E.M.; Efros, L.; Caldwell, M.; Estevez, V.; Nakanishi, K. Preferential cyto-toxicity on tumor-cells by caffeic acid phenethyl ester isolated from propolis. Experientia 1988, 44, 230–232. [Google Scholar] [CrossRef] [PubMed]
- Son, S.; Lobkowsky, E.B.; Lewis, B.A. Caffeic acid phenethyl ester (CAPE): Synthesis and X-ray crystallographic analysis. Chem. Pharm. Bull. 2001, 49, 236–238. [Google Scholar] [CrossRef] [PubMed]
- Chen, H.; Ju, H.; Twu, Y.; Chen, J.; Chang, C.J.; Liu, Y.; Chang, C.; Shieh, C. Optimized enzymatic synthesis of caffeic acid phenethyl ester by RSM. New Biotechnol. 2010, 27, 89–93. [Google Scholar] [CrossRef] [PubMed]
- Widjaja, A.; Yeh, T.; Ju, Y. Enzymatic synthesis of caffeic acid phenethyl ester. J. Chin. Insti. Chem. Eng. 2008, 39, 413–418. [Google Scholar] [CrossRef]
- Gu, S.S.; Wang, J.; Wei, X.B.; Cui, H.S.; Wu, X.Y.; Wu, F.A. Enhancement of lipase-catalyzed synthesis of caffeic acid phenethyl ester in ionic liquid with DMSO co-solvent. Chin. J. Chem. Eng. 2014, 22, 1314–1321. [Google Scholar] [CrossRef]
- Wang, J.; Lu, D.Q.; Zhao, H.; Ling, X.Q.; Jiang, B.; Ouyang, P.K. Application of response surface methodology optimization for the production of caffeic acid from tobacco waste. Afr. J. Biotech. 2009, 8, 1416–1424. [Google Scholar]
- Wang, S.S.; Li, Z.J.; Sheng, S.; Wu, F.A.; Wang, J. Microfluidic biocatalysis enhances the esterification of caffeic acid and methanol under continuous-flow conditions. J. Chem. Technol. Biot. 2016, 91, 555–562. [Google Scholar] [CrossRef]
- Sang, H.L.; Ha, S.H.; Hiep, N.M.; Chang, W.J.; Koo, Y.M. Lipase-catalyzed synthesis of glucose fatty acid ester using ionic liquids mixtures. J. Biotechnol. 2008, 133, 486–489. [Google Scholar]
- Schuur, B.; Verkuijl, B.; Minnaard, A.J.; de Vries, J.G.; Heeres, H.J.; Feringa, B.L. Chiral separation by enantioselective liquid-liquid extraction. Org. Biomol. Chem. 2011, 9, 36–51. [Google Scholar] [CrossRef] [PubMed]
- Wang, J.; Lu, D.Q.; Sun, Q.J.; Zhao, H.; Ling, X.Q.; Ouyang, P.K. Reactive extraction and recovery of mono-caffeoylquinic acids from tobacco wastes by trialkylphosphine oxide. Chem. Eng. Sci. 2012, 78, 53–62. [Google Scholar] [CrossRef]
- Bogel-Łukasik, R.; Lourenço, N.M. T.; Vidinha, P.; Silva, M.D.R.G.; Afonso, C.A.M.; Ponte, M.N.D.; Barreiros, S. Lipase catalysed mono and di-acylation of secondary alcohols with succinic anhydride in organic media and ionic liquids. Green Chem. 2008, 10, 243–248. [Google Scholar] [CrossRef]
- Arasoglu, T.; Derman, S.; Mansuroglu, B. Comparative evaluation of antibacterial activity of caffeic acid phenethyl ester and PLGA nanoparticle formulation by different methods. Nanotechnology 2016, 27, 025103. [Google Scholar] [CrossRef] [PubMed]
- Ravn, H.; Andary, C.; Kovacs, G.; Molgaard, P. Caffeic acid-esters as in vitro inhibitors of plant pathogenic bacteria and fungi. Biochem. Syst. Ecol. 1989, 17, 175–184. [Google Scholar] [CrossRef]
- Lee, Y.J.; Liao, P.H.; Chen, W.K.; Yang, C.Y. Preferential cytotoxicity of caffeic acid phenethyl ester analogues on oral cancer cells. Cancer Lett. 2000, 153, 51–56. [Google Scholar] [CrossRef]
- Chen, Y.J.; Shiao, M.S.; Hsu, M.L.; Tsai, T.H.; Wang, S.Y. Effect of caffeic acid phenethyl ester, an antioxidant from propolis, on inducing apoptosis in human leukemic HL-60 cells. J. Agric. Food Chem. 2001, 49, 5615–5619. [Google Scholar] [CrossRef] [PubMed]
- Kartal, M.; Yildiz, S.; Kaya, S.; Kurucu, S.; Topçu, G. Antimicrobial activity of propolis samples from two different regions of Anatolia. J. Ethnopharmacol. 2003, 86, 69–73. [Google Scholar] [CrossRef]
- Abdellatif, M.M.; Windle, H.J.; Homasany, B.S.; Sabra, K.; Kelleher, D. Caffeic acid phenethyl ester modulates Helicobacter pylori-induced nuclear factor-kappa B and activator protein-1 expression in gastric epithelial cells. Brit. J. Pharmacol. 2005, 146, 1139–1147. [Google Scholar] [CrossRef] [PubMed]
- Yang, C.F.; Zhou, Y.; Zheng, Y.; Li, C.L.; Sheng, S.; Wang, J.; Wu, F.A. Enzymatic modification of chitosan by cinnamic acids: Antibacterial activity against Ralstonia solanacearum. Int. J. Biol. Macromol. 2016, 87, 577–585. [Google Scholar] [CrossRef] [PubMed]
- Yuliar; Nion, Y.A.; Toyota, K. Recent trends in control methods for bacterial wilt diseases caused by Ralstonia solanacearum. Microbes Environ. 2015, 30, 1–11. [Google Scholar]
- Kim, B.S.; French, E.; Caldwell, D.; Harrington, E.J.; Iyer-Pascuzzi, A.S. Bacterial wilt disease: Host resistance and pathogen virulence mechanisms. Physiol. Mol. Plant Pathol. 2016, 95, 37–43. [Google Scholar] [CrossRef]
- Mohapatra, P.K.; Raut, D.R.; Sengupta, A. Extraction of uranyl ion from nitric acid medium using solvent containing TOPO and its mixture with D2EHPA in room temperature ionic liquids. Sep. Purif. Technol. 2014, 133, 69–75. [Google Scholar] [CrossRef]
- Wang, R.J.; Yang, X.Y.; Gao, R.J.; Yang, Y.; Wang, X.J.; Cao, S.G. Enzymatic synthesis of cyclohexyl-α and β-d-glucosides catalyzed by α- and β-glucosidase in a biphase system. J. Mol. Catal. B-Enzym. 2009, 56, 131–135. [Google Scholar] [CrossRef]
- Cao, S.L.; Huang, Y.M.; Li, X.H.; Xu, P.; Wu, H.; Li, N.; Lou, W.Y.; Zong, M.H. Preparation and characterization of immobilized lipase from Pseudomonas cepacia onto magnetic cellulose nanocrystals. Sci. Rep. 2016, 6, 20420. [Google Scholar] [CrossRef] [PubMed]
- Pang, N.; Gu, S.S.; Wang, J.; Cui, H.S.; Wang, F.Q. A.; Liu, X.; Zhao, X.Y.; Wu, F.A. A novel chemoenzymatic synthesis of propyl caffeate using lipase-catalyzed transesterification in ionic liquid. Bioresour. Technol. 2013, 139, 337–342. [Google Scholar] [CrossRef] [PubMed]
- Castro, G.R.; Knubovets, T. Homogeneous biocatalysis in organic solvents and water-organic mixtures. Crit. Rev. Biotechnol. 2003, 23, 195–231. [Google Scholar] [CrossRef] [PubMed]
- Secundo, F.; Carrea, G. Lipase activity and conformation in neat organic solvents. J. Mol. Catal. B-Enzym. 2002, 19, 93–102. [Google Scholar] [CrossRef]
- Mutschler, J.; Rausis, T.; Bourgeois, J.M.; Zufferey, D.; Mohrenz, I.V.; Fischer, F. Ionic liquid-coated immobilized lipase for the synthesis of methylglucose fatty acid esters. Green Chem. 2009, 11, 1793–1800. [Google Scholar] [CrossRef]
- Qin, J.; Zou, X.; Lv, S.; Jin, Q.; Wang, X. Influence of ionic liquids on lipase activity and stability in alcoholysis reactions. RSC Adv. 2016, 6, 87703–87709. [Google Scholar] [CrossRef]
- De Diego, T.; Lozano, P.; Gmouh, S.; Vaultier, M.; Iborra, J.L. Understanding structure-stability relationships of Candida antartica lipase B in ionic liquids. Biomacromolecules 2005, 6, 1457–1464. [Google Scholar] [CrossRef] [PubMed]
- Li, P.; Shi, L.; Gao, M.N.; Yang, X.; Xue, W.; Jin, L.H.; Hu, D.Y.; Song, B.A. Antibacterial activities against rice bacterial leaf blight and tomato bacterial wilt of 2-mercapto-5-substituted-1,3,4-oxadiazole/thiadiazole derivatives. Bioorg. Med. Chem. Lett. 2015, 25, 481–484. [Google Scholar] [CrossRef] [PubMed]
- Wang, X.; Yin, J.; Shi, L.; Zhang, G.; Song, B. Design, synthesis, and antibacterial activity of novel Schiff base derivatives of quinazolin-4(3H)-one. Eur. J. Med. Chem. 2014, 77, 65–74. [Google Scholar] [CrossRef] [PubMed]
- Yang, L.; Ding, W.; Xu, Y.; Wu, D.; Li, S.; Chen, J.; Guo, B. New insights into the antibacterial activity of hydroxycoumarins against Ralstonia solanacearum. Molecules 2016, 21, 468. [Google Scholar] [CrossRef] [PubMed]
- Li, C.; Yu, J. Chemical composition, antimicrobial activity and mechanism of action of essential oil from the leaves of Macleaya cordata (willd.) R. Br. J. Food Saf. 2015, 35, 227–236. [Google Scholar] [CrossRef]
- Li, L.; Dan, W.; Tan, F.; Cui, L.; Yuan, Z.; Wu, W.; Zhang, J. Synthesis and antibacterial activities of yanglingmycin analogues. Chem. Pharm. Bull. 2015, 63, 33–37. [Google Scholar] [CrossRef] [PubMed]
- Niu, S.; Liu, D.; Proksch, P.; Shao, Z.; Lin, W. New polyphenols from a deep sea Spiromastix sp. fungus, and their antibacterial activities. Mar. Drugs 2015, 13, 2526–2540. [Google Scholar] [CrossRef] [PubMed]
- Nakamura, K.; Nakajima, T.; Aoyama, T.; Okitsu, S.; Koyama, M. One-pot esterification and amidation of phenolic acids. Tetrahedron 2014, 70, 8097–8107. [Google Scholar] [CrossRef]
- Sample Availability: Samples of the compounds are available from the authors.







| Molecular Target | Before (cm−1) | After (cm−1) | Δυ (cm−1) |
|---|---|---|---|
| P=O in TOPO changed by MC | 1176 | 1157 | −19 |
| P=O in TOPO changed by CAPE | 1176 | 1151 | −25 |
| –COO– in MC changed by TOPO | 1683 | 1631 | −52 |
| –COO– in CAPE changed by TOPO | 1684 | 1631 | −53 |
| –Ph–OH in MC changed by TOPO | 3326 | 3210 | −16 |
| –Ph–OH in CAPE changed by TOPO | 3326 | 3261 | −65 |
| Medium | Km(app) (mM) | R2 |
|---|---|---|
| [Bmim][Tf2N] a | 1.46 | 0.9381 |
| Cyclohexane/[Bmim][Tf2N] (1:1, v/v) b | 3.75 | 0.9986 |
| 30 g/L TOPO-cyclohexane/[Bmim][Tf2N] (1:1, v/v) b | 1.35 | 0.9310 |
| Medium | α-Helix (%) | β-Sheet (%) | ||||||
|---|---|---|---|---|---|---|---|---|
| 0 h | 12 h | 36 h | 60 h | 0 h | 12 h | 36 h | 60 h | |
| [Bmim][Tf2N] a | 12.8 | 65.8 | 0.0 | 19.0 | 55.2 | 21.5 | 18.3 | 36.0 |
| Cyclohexane/[Bmim][Tf2N] (1:1, v/v) b | 12.8 | 12.4 | 9.4 | 6.1 | 55.2 | 4.8 | 0.0 | 0.0 |
| 30 g/L TOPO-cyclohexane/[Bmim][Tf2N] (1:1, v/v) c | 12.8 | 37.9 | 25.3 | 0.0 | 55.2 | 10.2 | 2.2 | 13.2 |
| R. solanacearum Strains | EC50 (mg/mL) | 95% Confidence Level |
|---|---|---|
| GMI1000 | 0.17 | −0.162–0.178 |
| GIM1.76 | 0.31 | −0.542–0.322 |
| GIM1.74 | 0.51 | 0.073–1.231 |
| GIM1.71 | 0.75 | 0.349–0.808 |
| RS-5 | 0.24 | −0.05–0.323 |
| Compounds or Natural Extracts | Bacterial Strain | Inhibition Effect | References | ||
|---|---|---|---|---|---|
| EC50 (µg/mL) a | MIC (µg/mL) b | DIZ (mm) c | |||
| 2-Mercapto-5-substituted-1,3,4-oxadiazole/thiadiazole derivatives | R. solanacearum | 15.14–109.61 | -- d | -- | [44] |
| Imine derivatives of quinazoline-4(3H)-one | R. solanacearum | 38.64–201.52 | -- | -- | [45] |
| Coumarin | R. solanacearum | 198.64 | 384 | -- | [46] |
| Leaf essential oil isolated from Macleaya cordata R. Br | R. solanacearum | -- | 125 | 18.6 ± 1.9 | [47] |
| Yanglingmycin and its analogues | R. solanacearum | -- | 3.91–125 | -- | [48] |
| Polyphenols isolated from Spiromastix sp. MCCC 3A00308 | R. solanacearum | -- | 0.5–128 | -- | [49] |
| CTS-g-CA | R. solanacearum including GMI1000, GIM1.76, GIM1.74, GIM1.71 and RS-5 | 42.1–800.0 | -- | -- | [32] |
| CAPE | R. solanacearum including GMI1000, GIM1.76, GIM1.74, GIM1.71 and RS-5 | 165.2–752.7 | -- | -- | This work |
© 2017 by the authors. Licensee MDPI, Basel, Switzerland. This article is an open access article distributed under the terms and conditions of the Creative Commons Attribution (CC-BY) license ( http://creativecommons.org/licenses/by/4.0/).
Share and Cite
Xu, Y.; Sheng, S.; Liu, X.; Wang, C.; Xiao, W.; Wang, J.; Wu, F.-A. Cooperative Reinforcement of Ionic Liquid and Reactive Solvent on Enzymatic Synthesis of Caffeic Acid Phenethyl Ester as an In Vitro Inhibitor of Plant Pathogenic Bacteria. Molecules 2017, 22, 72. https://doi.org/10.3390/molecules22010072
Xu Y, Sheng S, Liu X, Wang C, Xiao W, Wang J, Wu F-A. Cooperative Reinforcement of Ionic Liquid and Reactive Solvent on Enzymatic Synthesis of Caffeic Acid Phenethyl Ester as an In Vitro Inhibitor of Plant Pathogenic Bacteria. Molecules. 2017; 22(1):72. https://doi.org/10.3390/molecules22010072
Chicago/Turabian StyleXu, Yan, Sheng Sheng, Xi Liu, Chao Wang, Wei Xiao, Jun Wang, and Fu-An Wu. 2017. "Cooperative Reinforcement of Ionic Liquid and Reactive Solvent on Enzymatic Synthesis of Caffeic Acid Phenethyl Ester as an In Vitro Inhibitor of Plant Pathogenic Bacteria" Molecules 22, no. 1: 72. https://doi.org/10.3390/molecules22010072
APA StyleXu, Y., Sheng, S., Liu, X., Wang, C., Xiao, W., Wang, J., & Wu, F.-A. (2017). Cooperative Reinforcement of Ionic Liquid and Reactive Solvent on Enzymatic Synthesis of Caffeic Acid Phenethyl Ester as an In Vitro Inhibitor of Plant Pathogenic Bacteria. Molecules, 22(1), 72. https://doi.org/10.3390/molecules22010072

