The Synthesis of the Metabolites of 2′,3′,5′-Tri-O-acetyl-N6-(3-hydroxyphenyl) Adenosine (WS070117)
Abstract
:1. Introduction
2. Results and Discussion




3. Materials and Methods
3.1. General Information
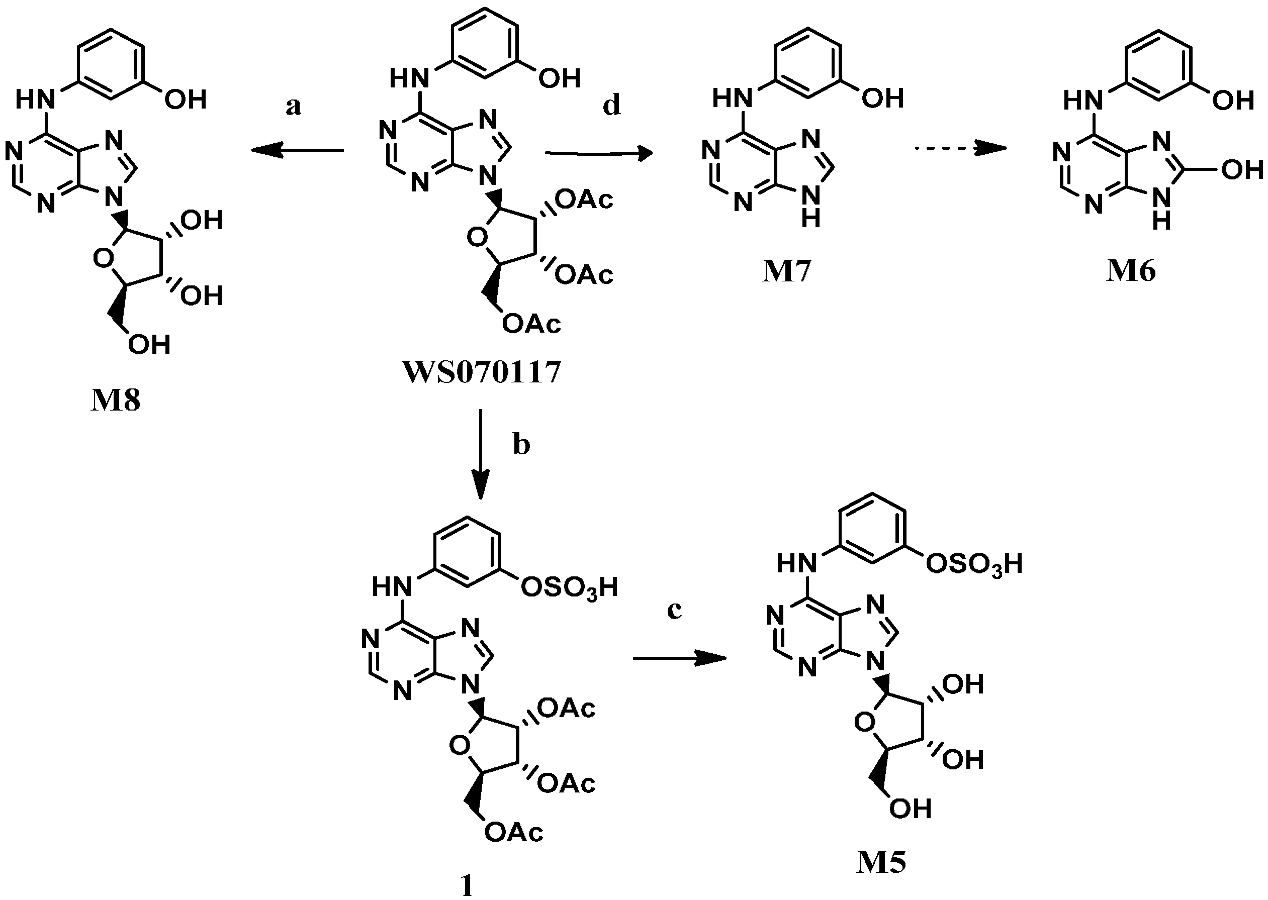
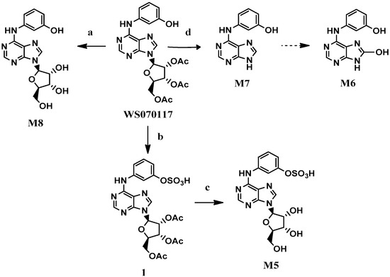
3.2. Synthesis of N6-(3-Hydroxyphenyl) Adenosine (M8)
3.3. Synthesis of N6-(3-O-Sulfophenyl) Adenosine (M5)
3.4. Synthesis of N6-(3-Hydroxyphenyl) Adenine (M7)
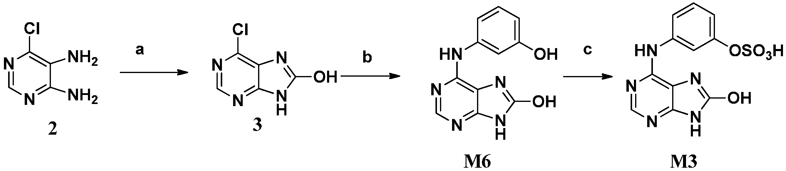
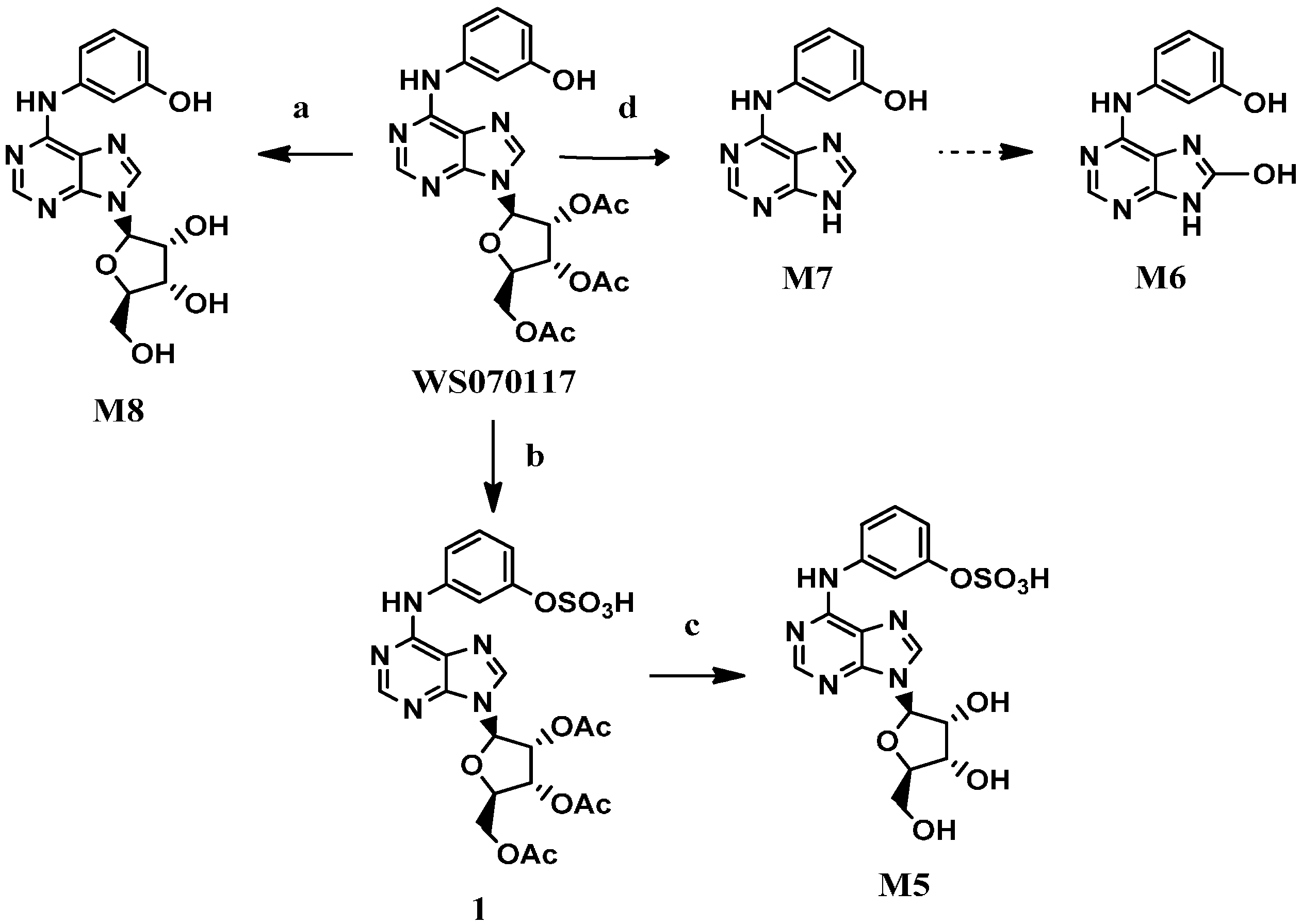
3.5. Synthesis of 8-Hydroxy-N6-(3-hydroxy-phenyl) Adenine (M6)
3.6. Synthesis of 8-Hydroxy-N6-(3-O-sulfophenyl) Adenine (M3)
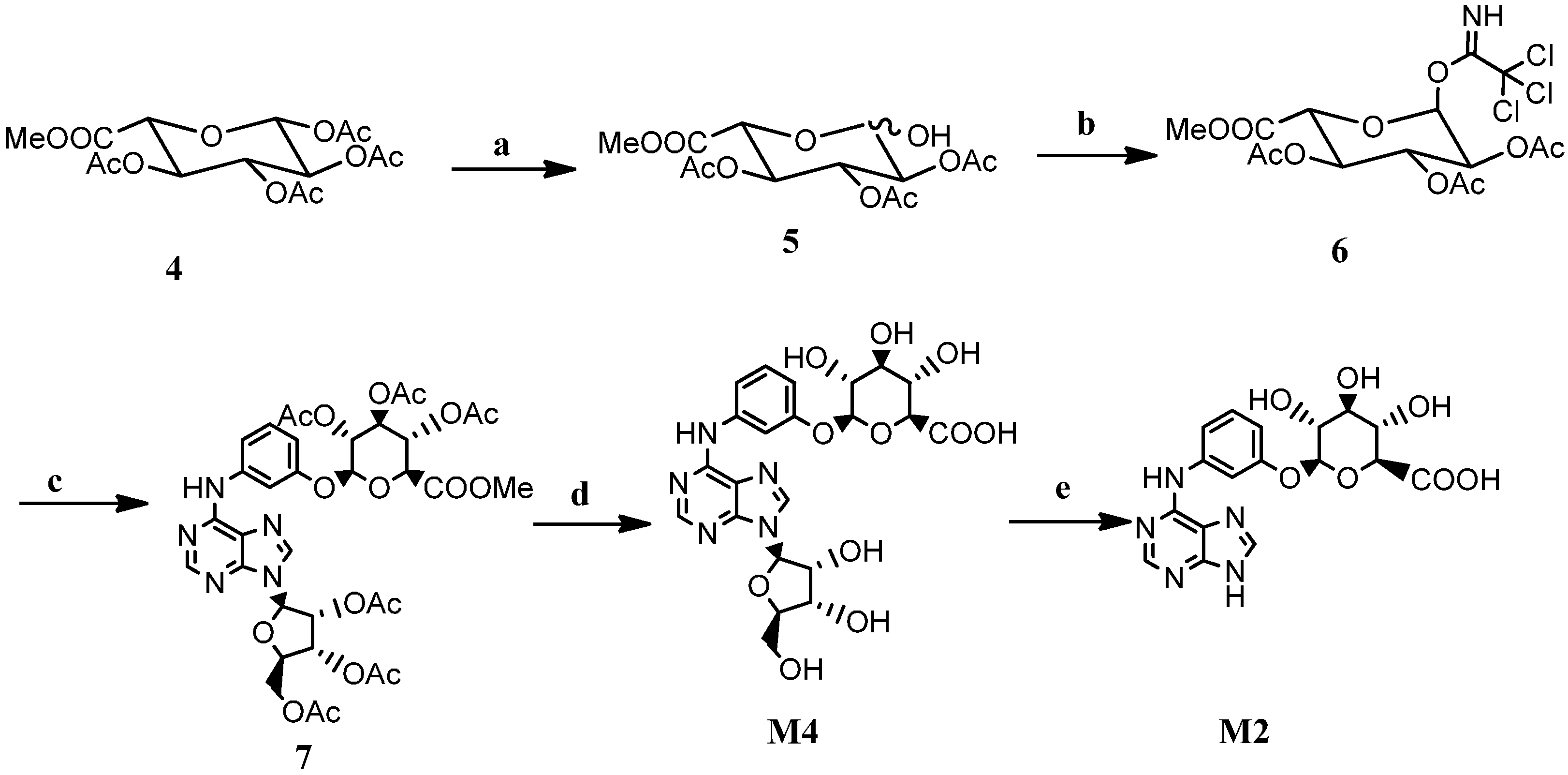
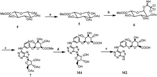
3.7. Synthesis of Intermediate 7
3.8. Synthesis of N6-(3-O-β-d-Glucuronyphenyl) Adenosine (M4)
3.9. Synthesis of N6-(3-O-β-d-Glucuronyphenyl) Adenine (M2)
4. Conclusions
Supplementary Materials
Acknowledgments
Author Contributions
Conflicts of Interest
References
- Hao, L.H.; Qu, K.; Xiong, L.; Wei, J.Z.; Zhu, H.B.; Wu, S. Synthesis and hypolipidemic activity of O5,N6-disubstituted adenosine derivative. Chin. J. Med. Chem. 2011, 21, 7–11. [Google Scholar]
- Huang, L.Z.; Fan, B.Y.; Ma, A.; Shaul, P.W.; Zhu, H.B. Inhibition of ATP-Binding Cassette Transporter A1 Protein Degradation Promotes HDL Cholesterol Efflux Capacity and Reverse Cholesterol Transport and Reduces Atherosclerosis in Mice. J. Lipid Res. 2015. [Google Scholar] [CrossRef]
- Guo, P.; Lian, Z.Q.; Sheng, L.H.; Wu, C.M.; Gao, J.; Li, J.; Wang, Y.; Guo, Y.S.; Zhu, H.B. The adenosine derivative 2′,3′,5′-tri-O-acetyl-N6-(3-hydroxylaniline) adenosine activates AMPK and regulates lipid metabolism in vitro and in vivo. Life Sci. 2012, 90, 1–7. [Google Scholar] [CrossRef] [PubMed]
- Lian, Z.Q.; Li, Y.; Gao, J.; Qu, K.; Li, J.; Hao, L.; Wu, S.; Zhu, H.B. A novel AMPK activator, WS070117, improves lipid metabolism discords in hamsters and HepG2 cells. Lipids Health Dis. 2011, 10, 67. [Google Scholar] [CrossRef] [PubMed]
- Liu, Y.; He, J.M.; Abliz, Z.; Zhu, H.B. In vitro stability and metabolism of O2′,O3′,O5′-tri-acetyl-N6-(3-hydroxylaniline) adenosine in rat, dog and human plasma: Chemical hydrolysis and role of plasma esterases. Xenobiotica 2011, 41, 549–560. [Google Scholar] [PubMed]
- Guo, W.; Jin, M.; Miao, Z.; Qu, K.; Liu, X.; Zhang, P.; Qin, H.; Zhu, H.; Wang, Y. Structure Elucidation of the Metabolites of 2′,3′,5′-Tri-O-Acetyl-N6-(3-Hydroxyphenyl) Adenosine in Rat Urine by HPLC-DAD, ESI-MS and Off-Line Microprobe NMR. PLoS ONE 2015, 10, e0127583. [Google Scholar] [CrossRef] [PubMed]
- Zhang, W.X.; Li, B.; Wu, H.N.; Wang, D.M.; Wu, S. Synthesis of impurities from novel cholesterol-lowering drug candidate WS070117. Chin. J. New Drugs 2015, 24, 1166–1170. [Google Scholar]
- Soidinsalo, O.; Wähälä, K. Synthesis of daidzein 7-O-β-d-glucuronide-4-O-sulfate. Steroids 2007, 72, 851–854. [Google Scholar] [CrossRef] [PubMed]
- Brill, W.K.D.; Riva-Toniolo, C. The bromination of purines with a charge transfer complex between bromine and lutidine. Tetrahedron Lett. 2001, 42, 6279–6282. [Google Scholar] [CrossRef]
- Shepherd, T.A.; Dally, R.D.; Joseph, S. Preparation of Pyrrolopyrimidinone Derivatives as AKT and p70S6 Kinase Inhibitors. U.S. Patent 2010012080, 2009. [Google Scholar]
- Chen, Y.; Li, Y.; Yu, H.; Sugiarto, G.; Thon, V.; Hwang, J.; Ding, L.; Hie, L.; Chen, X. Tailored Design and Synthesis of Heparan Sulfate Oligosaccharide Analogues Using Sequential One-Pot Multienzyme Systems. Angew. Chem. 2013, 125, 12068–12072. [Google Scholar] [CrossRef]
- Wang, Q.; Liu, G.D.; Gong, S.S.; Sun, Q. Microwave-Assisted FeCl3·6H2O-Catalyzed Regioselective Deprotection of Pyranose Anomeric O-Acetyl Group. Adv. Mater. Res. 2014, 830, 155–158. [Google Scholar] [CrossRef]
- Tran, A.T.; Deydier, S.; Bonnaffé, D.; Le Narvor, C. Regioselective green anomeric deacetylation catalyzed by lanthanide triflates. Tetrahedron Lett. 2008, 49, 2163–2165. [Google Scholar] [CrossRef]
- Sample Availability: Samples of the compounds are not available from the authors.
© 2015 by the authors. Licensee MDPI, Basel, Switzerland. This article is an open access article distributed under the terms and conditions of the Creative Commons by Attribution (CC-BY) license ( http://creativecommons.org/licenses/by/4.0/).
Share and Cite
Zhang, W.-X.; Wu, H.-N.; Li, B.; Wu, H.-L.; Wang, D.-M.; Wu, S. The Synthesis of the Metabolites of 2′,3′,5′-Tri-O-acetyl-N6-(3-hydroxyphenyl) Adenosine (WS070117). Molecules 2016, 21, 8. https://doi.org/10.3390/molecules21010008
Zhang W-X, Wu H-N, Li B, Wu H-L, Wang D-M, Wu S. The Synthesis of the Metabolites of 2′,3′,5′-Tri-O-acetyl-N6-(3-hydroxyphenyl) Adenosine (WS070117). Molecules. 2016; 21(1):8. https://doi.org/10.3390/molecules21010008
Chicago/Turabian StyleZhang, Wen-Xuan, Hong-Na Wu, Bo Li, Hong-Lin Wu, Dong-Mei Wang, and Song Wu. 2016. "The Synthesis of the Metabolites of 2′,3′,5′-Tri-O-acetyl-N6-(3-hydroxyphenyl) Adenosine (WS070117)" Molecules 21, no. 1: 8. https://doi.org/10.3390/molecules21010008
APA StyleZhang, W.-X., Wu, H.-N., Li, B., Wu, H.-L., Wang, D.-M., & Wu, S. (2016). The Synthesis of the Metabolites of 2′,3′,5′-Tri-O-acetyl-N6-(3-hydroxyphenyl) Adenosine (WS070117). Molecules, 21(1), 8. https://doi.org/10.3390/molecules21010008

