Next Article in Journal
Trypanocidal Activity of Long Chain Diamines and Aminoalcohols
Next Article in Special Issue
Heterocycles 38. Biocatalytic Synthesis of New Heterocyclic Mannich Bases and Derivatives
Previous Article in Journal
Combinational Treatment of Curcumin and Quercetin against Gastric Cancer MGC-803 Cells in Vitro
Previous Article in Special Issue
Synthesis, Characterization, Antimicrobial Screening and Free-Radical Scavenging Activity of Some Novel Substituted Pyrazoles
 
 
Font Type:
Arial Georgia Verdana
Font Size:
Aa Aa Aa
Line Spacing:
Column Width:
Background:
Article

Uses of 3-(2-Bromoacetyl)-2H-chromen-2-one in the Synthesis of Heterocyclic Compounds Incorporating Coumarin: Synthesis, Characterization and Cytotoxicity

by
Rafat M. Mohareb
1,* and
Nadia Y. MegallyAbdo
2
1
Chemistry Department, Faculty of Science, Cairo University, Giza 12613, Egypt
2
Chemistry Department, Faculty of Education, Alexandria University, Alexandria 21526, Egypt
*
Author to whom correspondence should be addressed.
Molecules 2015, 20(6), 11535-11553; https://doi.org/10.3390/molecules200611535
Submission received: 1 June 2015 / Revised: 17 June 2015 / Accepted: 18 June 2015 / Published: 23 June 2015
(This article belongs to the Collection Heterocyclic Compounds)

Abstract

:
In this work, 3-bromoacetylcoumarin was used as the key starting material for the synthesis of pyran, pyridine, thiophene, thiazole and pyrazole derivatives through its reaction with different reagents. The structures of the newly synthesized compounds were confirmed on the basis of their spectral data and elemental analyses. All of the synthesized compounds were screened for their in vitro anticancer activity against six human cancer cell lines, namely: human gastric cancer (NUGC), human colon cancer (DLD1), human liver cancer (HA22T and HEPG2), nasopharyngeal carcinoma (HONE1), human breast cancer (MCF) and normal fibroblast cells (WI38). The IC50 values (the sample concentration that produces 50% reduction in cell growth) in nanomolars (nM)) showed most of the compounds exhibited significant cytotoxic effect. Among these derivatives, compound 6d showed almost equipotent cytotoxic activity against NUGC (IC50 = 29 nM) compared to the standard CHS 828 (IC50 = 25 nM).

Graphical Abstract

1. Introduction

Coumarins are a large group of naturally occurring compounds synthesized by numerous plant species as well as by some bacteria and fungi [1,2]. According to their chemical structure, they belong to the family of benzopyrones and represent a significant source of inspiration for new anticancer agents [3]. Benzopyran-2-ones are extremely variable in structure, due to various types of substitutions in their basic structure, which could influence their biological activity. A literature survey revealed their broad spectrum and diverse biological activities such as anti-microbial, anti-inflammatory, analgesic, anti-oxidant, antimalarial, anticancer, anti-tuberculosis and anti-HIV [4,5,6,7,8,9,10,11,12], particularly their cytotoxic activity against numerous types of cancers including malignan melanoma, leukemia, renal cell carcinoma, prostate and breast cancer cells progression [13,14,15]. Also, certain platinum (II) complexes of aminocoumarins show very good in vitro cytotoxicity [16]. A variety of mechanisms have been proposed, such as interfering with estrogen synthesis, interfering with cell cycle progression or even acting as inhibitors of cytochrome P450 1 [17].
Despite numerous attempts to search for more effective antitumor agents, coumarin still remains as one of the most versatile class of compound against cancer cell lines and are an important component among the molecules in drug discovery. Warfarin (Figure 1) reduces metastases from intestinal carcinomas to a great extent [18] and is also used as an adjunct to the surgical treatment of malignant tumors [19]. In addition, daphnetin (Figure 1) inhibits tyrosine kinase, epidermal growth factor receptor, serine/threonine- specific protein kinase, and protein kinase C in vitro [20]. Also, dihydropyrazole-substituted benzopyran-2-one (Figure 1) was identified as a novel class of MEK 1 kinase inhibitors [21].
Figure 1. Anticancer and kinase inhibitors, benzopyrone derivatives.
Figure 1. Anticancer and kinase inhibitors, benzopyrone derivatives.
Molecules 20 11535 g001
Hybrid molecules, combining coumarins with different bioactive molecules like: pyran [22], pyridine [23], thiazole [24] and pyrazole [25] have recently been reported; these studies resulted in new compounds exhibiting significant anticancer activities.
On the basis of such findings, we report here the synthesis of new compounds containing the benzopyran-2-one nucleus substituted at position 3 with different bioisosteric moieties, such as pyran, pyridine, thiophene, thiazole and pyrazole, derivatives starting from the 3-(2-bromoacetyl)-2H-chromen-2-one (1) or 3-oxo-3-(2-oxo-2H-chromen-3-yl)propanenitrile (8). All of the newly synthesized compounds have been evaluated for their in vitro cytotoxicity against six human cancer cell lines and normal fibroblast cells.

2. Results and Discussion

2.1. Chemistry

In continuation of our work to synthesize polyfunctionalized biologically active heterocyclic compounds [26,27,28,29], we investigated the use of the 3-(2-bromoacetyl)-2H-chromen-2-one (1) [30,31] to synthesize thiophene, thiazole, pyrazole, pyran and pyridine derivatives incorporating a coumarin moiety. The aim of our work is the search for new possible anticancer agents. Thus, the reaction of compound 1 with benzenediazonium chloride gave the hydrazidic halide derivative 2. The analytical and spectral data of compound 2 were the tools of its structure confirmation. Compound 1 reacted with malononitrile in the presence of ammonium acetate in an oil bath at 120 °C to give 2-(2-hydroxy-1-(2-oxo-2H-chromen-3-yl)ethylidene)malononitrile (3). This reaction involved an initial Knoevenagel condensation followed by hydrolysis of the α-bromo group into an OH moiety.
Next, we moved to studying the reactivity of compound 1 towards thiophene formation via the Gewald’s thiophene synthesis [32,33]. Thus, the reaction of compound 1 with elemental sulfur and either malononitrile or ethyl cyanoacetate in absolute ethanol solution containing triethylamine gave the thiophene derivatives 4a and 4b, respectively. The analytical and spectral data of the latter compounds were the basis of their structural elucidation. Thus, the 1H-NMR spectrum of compound 4a (as an example) showed the presence of two singlets at δ 3.60, 6.90; corresponding to NH2 (D2O exchangeable) and coumarin H–4 in addition to a multiplet at δ 7.07–7.85; corresponding to the four aromatic protons. Moreover, the 13C-NMR spectrum showed the presence of δ 116.3 (CN), 166.2 (CO) along with the signals for coumarin and thiophene carbons.
The presence of the α-bromocarbonyl moiety in compound 1 showed interesting reactivity towards thiazole formation. Thus, the reaction of compound 1 with phenylisothiocyanate and aromatic amines like either aniline, p-toluidine, 4-methoxyaniline or 4-chloroaniline gave the thiazole derivatives 5ad, respectively. The structures of the latter products were established on the basis of their respective analytical and spectral data. Thus, the 1H-NMR spectrum of 5a showed the presence of two singlets at δ 3.99, 6.67 ppm corresponding to thiazole H–4 and coumarin H–4 in addition to a multiplet at δ 7.43–8.58; corresponding to 2C6H5 and C6H4 protons. In addition, the 13C-NMR spectrum revealed the presence of δ 164.3 (CO), 173.4 (C=N) beside the signals for coumarin, thiazole and 2C6H5 carbons (Scheme 1).
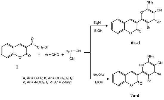
The multicomponent reactions of compound 1 with aromatic aldehydes and malononitrile were studied in order to generate potentially biologically active pyran and pyridine derivatives. Thus, the reaction of compound 1 with benzaldehyde, 4-methoxybenzaldehyde, 4-chlorobenzaldehyde or furfural gave the pyran derivatives 6ad, respectively. On the other hand, carrying the same reaction but using a catalytic amount of ammonium acetate instead of triethylamine gave the pyridine derivatives 7ad, respectively. The analytical and spectral data of 6ad and 7ad are consistent with their respective structures (see experimental section) (Scheme 2).
The α-bromocarbonyl moiety present in compound 1 showed high reactivity towards nucleophilic displacement reactions. Thus, compound 1 reacted with potassium cyanide in aqueous medium to give the 3-oxo-3-(2-oxo-2H-chromen-3-yl)propanenitrile (8), the structure of which was based on analytical and spectral data. Compound 8 underwent heterocyclization reactions through its reaction with different chemical reagents. Thus, it reacted with either hydrazine hydrate or phenylhydrazine to give the pyrazole derivatives 9a and 9b, respectively. On the other hand, the multicomponent reaction of compound 8 with benzaldehyde, 4-methoxybenzaldehyde, 4-chlorobenzaldehyde or furfural gave the pyran derivatives 10ad, respectively. Alternatively, performing the same reaction but using a catalytic amount of ammonium acetate instead of triethylamine gave the pyridine derivatives 11ad, respectively (Scheme 3).The newly synthesized products were screened against different cancer cell lines where most of them showed remarkable activities.
Scheme 1. Synthesis of compounds 2, 3, 4a, b and 5ad.
Scheme 1. Synthesis of compounds 2, 3, 4a, b and 5ad.
Molecules 20 11535 g006
Scheme 2. Synthesis of compounds 6ad and 7ad.
Scheme 2. Synthesis of compounds 6ad and 7ad.
Molecules 20 11535 g007
Scheme 3. Synthesis of compounds 9a, b, 10ad and 11ad.
Scheme 3. Synthesis of compounds 9a, b, 10ad and 11ad.
Molecules 20 11535 g008

2.2. In Vitro Cytotoxicity

2.2.1. Effect on the Growth of Human Cancer Cell Lines

The heterocyclic compounds, prepared in this study, were evaluated according to standard protocols for their in vitro cytotoxicity against six human cancer cell lines including cells derived from human gastric cancer (NUGC), human colon cancer (DLD1), human liver cancer (HA22T and HEPG2), nasopharyngeal carcinoma (HONE1), human breast cancer (MCF) and normal fibroblast cells (WI38). For comparison purposes, CHS 828, a pyridyl cyanoguanidine, was used as a standard antitumor drug (Figure 2) [34]. All of the IC50 values (concentration that produces 50% reduction in cell growth) in nanomolars (nM) are listed in Table 1. All of the synthesized compounds showed potent inhibition with IC50 values in the nM range and the results are represented graphically in Figure 3, Figure 4 and Figure 5. All the synthesized compounds were tested for their cytotoxicity against normal fibroblast cells. The results obtained showed that normal fibroblast cells (WI38) were affected to a much lesser extent (IC50 > 10,000 nM).
Figure 2. Chemical structure of CHS 828.
Figure 2. Chemical structure of CHS 828.
Molecules 20 11535 g002
Table 1. Cytotoxicity of compounds 2, 3, 4a,b, 5ad, 6ad, 7ad, 9a,b, 10ad and 11ad against a variety of cancer cell lines a [IC50 b (nM)].
Table 1. Cytotoxicity of compounds 2, 3, 4a,b, 5ad, 6ad, 7ad, 9a,b, 10ad and 11ad against a variety of cancer cell lines a [IC50 b (nM)].
Compound No.Cytotoxicity (IC50 in nM)
NUGCDLDIHA22THEPG2HONE1MCFWI38
2486011241741480288na
31156128016501226699821910
4a3250272212282055780
4b84167219202312101142na
5a228569213111220522011632
5b221110701288130221791229489
5c162239627421206701180490
5d3816312037444411264860
6a109230312385911852176na
6b33242667226516928532854280
6c382832268683167289480
6d29982109360279931na
7a38893166399423463379
7b782532783738180409160
7c983212841622143na
7d68216352273211861128na
9a34704821693594421293na
9b11232237158041542661652na
10a5374401165276662732533417
10b1335228389132021822121na
10c312193417339989584na
10d476810233222202254na
11a680222314334623164940128
11b124583065215167039na
11c127748320614241770839na
11d64934601373121118840652
CHS 828252315206712451518na
a NUGC, gastric cancer; DLDI, colon cancer; HA22T, liver cancer; HEPG2, liver cancer; HONEI, nasopharyngeal carcinoma; MCF, breast cancer; WI38, normal fibroblast cells. b The sample concentration produces a 50% reduction in cell growth. na, not applicable.
Figure 3. Cytotoxicity of compounds 2, 4a, 4b, 5a, 5c, 5d, 9a, 9b and CHS 828 against NUGC, gastric cancer; DLDI, colon cancer; HA22T, liver cancer; HEPG2, liver cancer; HONEI, nasopharyngeal carcinoma and MCF, breast cancer.
Figure 3. Cytotoxicity of compounds 2, 4a, 4b, 5a, 5c, 5d, 9a, 9b and CHS 828 against NUGC, gastric cancer; DLDI, colon cancer; HA22T, liver cancer; HEPG2, liver cancer; HONEI, nasopharyngeal carcinoma and MCF, breast cancer.
Molecules 20 11535 g003
Figure 4. Cytotoxicity of 4H-pyran derivatives 6ad, 10ad and CHS 828 against NUGC, gastric cancer; DLDI, colon cancer; HA22T, liver cancer; HEPG2, liver cancer; HONEI, nasopharyngeal carcinoma and MCF, breast cancer.
Figure 4. Cytotoxicity of 4H-pyran derivatives 6ad, 10ad and CHS 828 against NUGC, gastric cancer; DLDI, colon cancer; HA22T, liver cancer; HEPG2, liver cancer; HONEI, nasopharyngeal carcinoma and MCF, breast cancer.
Molecules 20 11535 g004
Figure 5. Cytotoxicity of 1,4-dihydropyridine derivatives 7ad, 11ad and CHS 828 against NUGC, gastric cancer; DLDI, colon cancer; HA22T, liver cancer; HEPG2, liver cancer; HONEI, nasopharyngeal carcinomaand MCF, breast cancer.
Figure 5. Cytotoxicity of 1,4-dihydropyridine derivatives 7ad, 11ad and CHS 828 against NUGC, gastric cancer; DLDI, colon cancer; HA22T, liver cancer; HEPG2, liver cancer; HONEI, nasopharyngeal carcinomaand MCF, breast cancer.
Molecules 20 11535 g005

2.2.2. Structure Activity Relationship

In this study, when correlating the structures of the synthesized compounds with their anticancer activity, it has been observed that most of the synthesized compounds exhibited significant cytotoxic effects with IC50 values < 900 nM. Normal fibroblast cells (WI38) were affected to a much lesser extent (IC50 > 10,000 nM).
Phenylacetohydrazonoyl bromide derivative 2 was active against four cancer cell lines, namely NUGC, DLDI, HEPG2 and MCF with IC50 of 48, 60, 174 and 288 nM, respectively.
Comparing the cytotoxicity of the thiophene derivatives 4a and 4b, one can say that the cytotoxicity of 4a was higher than that of 4b. The presence of CN group with the thiophene ring in 4a was responsible for its high potency.
Among the thiazole derivatives 5ad, compound 5d is the most active derivative. It showed high potency against NUGC, DLDI, HA22T and HONEL with IC50 of 38, 163, 120 and 441 nM, respectively. Such high potency of 5d is due to the presence of the 4-chlorophenyl moiety with the thiazole ring. The presence of p-tolyl moiety in 5b decreases the activity relative to the unsubstituted phenyl derivative 5a. On the other hand, the introduction of 4-OCH3 group in 5c revealed better cytotoxicity against DLDI and HONEL than 5a.
Considering the bromo-4H-pyran derivatives 6ad, compounds 6c and 6d revealed higher cytotoxic activity than 6a and 6b, both of them were active against most cancer cell lines. Compound 6d showed almost equipotent activity against NUGC (IC50 = 29 nM) compared with the standard CHS 828 (IC50 = 25 nM). At the same time, 6c exhibited the highest cytotoxicity among the four derivatives against MCF with IC50 = 89 nM. The reason for the high cytotoxicity of compounds 6c and 6d was attributed to the presence of the 4-chlorophenyl and the furan moieties, respectively.
The 5-bromo-1,4-dihydropyridine derivatives 7ad showed optimal cytotoxic activity. Compounds 7a, 7b and 7c exhibited cytotoxic activity towards the six cancer cell lines. Compound 7c incorporating with the 4-chlorophenyl moiety showed the highest potency among the four compounds with IC50 of 32 and 43 nM against DLDI and MCF, respectively. In general, the presence of the 5-bromopyridine moiety in compounds 7ac was responsible for their high potency.
Comparing the cytotoxicity of the pyrazole derivatives 9a and 9b, it was clear that the cytotoxicity of 9a was higher than that of 9b. It was clear that the N-phenylpyrazolyl moiety in compound 9b was responsible for its lower potency.
Among the 4H-pyran-3,5-dicarbonitrile 10ad, compounds 10c and 10d showed higher cytotoxicity than 10a and 10b. Such high potency was attributed to the presence of 4-chlorophenyl group in the case of compound 10c, and the furan moiety in case of compound 10d, together with the pyran ring.
Among the 1,4-dihydropyridine-3,5-dicarbonitrile derivatives 11ad, compound 11b with the 4-methoxyphenyl moiety showed the highest activity among the four derivatives. Compound 11b showed high potency against NUGC, DLDI, HEPG2 and MCF cell lines with IC50 of 124, 58, 215 and 39 nM, respectively.
Comparing the cytotoxicity of the bromo-4H-pyran derivatives 6ad and 4H-pyran-3,5-dicarbonitrile 10ad, it was obvious that the presence of bromine atom together with the furan moiety in 6d was responsible for its higher cytotoxicity than 10d. Also the presence of a bromine atom in the 1,4-dihydropyridine derivatives 7ac revealed higher cytotoxic activity than the 1,4-dihydropyridine-3,5-dicarbonitriles 11ac [35,36].

3. Experimental

3.1. Chemistry

All melting points were determined on a Stuart apparatus and the values given are uncorrected. IR spectra (KBr, cm−1) were determined on a Shimadzu IR 435 spectrophotometer (Faculty of Pharmacy, Cairo University, Egypt). 1H-NMR and 13C-NMR spectra were recorded on Bruker Ascend 400 MHz spectrophotometers (Microanalytical Unit, Faculty of Pharmacy, Cairo University, Egypt) using TMS as the internal standard. Chemical shift values were recorded in ppm on δ scale. The electron impact (EI) mass spectra were recorded on a Hewlett Packard 5988 spectrometer (Microanalysis Center, Cairo University, Egypt). Elemental analyses were carried out at the Microanalysis Center, Cairo University, Egypt; found values were within ±0.35% of the theoretical ones. The progress of the reactions was monitored using thin layer chromatography (TLC) sheets precoated with UV fluorescent silica gel Merck 60F 254 and were visualized using UV lamp. The 3-(2-bromoacetyl)-2H-chromen-2-one (1) [30,31] was obtained using the reported procedure by the reaction of 3-acetylcoumarin in chloroform solution with bromine together with continuous stirring.

3.1.1. Synthesis of 2-oxo-2-(2-oxo-2H-chromen-3-yl)-N'-phenylacetohydrazonoylbromide (2)

To a cold solution of the 3-(2-bromoacetyl)-2H-chromen-2-one (1) (2.67 g, 0.01 mol) in ethanol (30 mL) containing sodium acetate (2.5 g), a cold solution of benzenediazonium chloride (0.01 mol) (prepared by the addition of sodium nitrite solution (0.7 g, 0.01 mol) to a cold solution of aniline (0.93 g, 0.01 mol) in concentrated hydrochloric acid (12 mL) with continuous stirring) was added while stirring. The reaction mixture was kept at room temperature for 1 h and the formed solid product was collected by filtration and crystallized from ethanol. Yield: 85%;m.p.: 88–90 °C; IR (KBr, cm−1): 3425 (NH), 3058 (CH, aromatic), 1726, 1695 (2C=O), 1601 (C=N); 1H-NMR (DMSO-d6): δ 6.81 (s, 1H, coumarin H-4), 6.94–8.13 (m, 9H, C6H5, C6H4), 10.41 (s, 1H, NH, D2O exchangeable); 13C-NMR (DMSO-d6): δ 116.0, 118.9, 119.0, 119.2, 122.6, 124.8, 126.7, 129.6, 132.3, 134.6, 142.0, 143.1 (coumarin, C6H5 C), 164.0, 164.2 (2C=O), 175.3 (C=N); MS: m/z (%) 371 (M+). Anal. Calcd. for C17H11BrN2O3: C, 55.01; H, 2.99; N, 7.55. Found: C, 55.32; H, 3.29; N, 7.33.

3.1.2. Synthesis of 2-(2-Hydroxy-1-(2-oxo-2H-chromen-3-yl)ethylidene)malononitrile (3)

A mixture of 1 (2.67 g, 0.01 mol), malononitrile (0.66 g, 0.1 mol) and ammonium acetate (0.5 g)were heated in an oil bath at 120 °C for 1 h then left to cool. The reaction product was dissolved in ethanol, poured onto ice water and neutralized by hydrochloric acid. The solid product was precipitated, filtered, washed with water, and crystallized from ethanol. Yield: 75%; m.p.: 162–164 °C; IR (KBr, cm−1): 3432 (OH), 3089 (CH, aromatic), 2206 (CN), 1709 (C=O); 1H-NMR (DMSO-d6): δ 5.15 (s, 2H, CH2), 6.95 (s, 1H, coumarin H-4), 7.15–7.96 (m, 4H, C6H4), 10.58 (s, 1H, OH, D2O exchangeable); 13C-NMR (DMSO-d6): δ 61.1 (CH2), 98.6, 102.3 (C=C), 116.8, 117.4 (2CN), 121.3, 123.6, 124.2, 125.8, 126.8, 129.4, 130.2, 132.9 (coumarin C), 163.5 (CO); MS: m/z (%) 252 (M+). Anal. Calcd. for C14H8N2O3: C, 66.67; H, 3.20; N, 11.11. Found: C, 66.32; H, 3.09; N, 11.05.

3.1.3. General Procedure for the Synthesis of 4a,b

A mixture of 1 (2.67 g, 0.01 mol) in absolute ethanol (40 mL) containing triethylamine (1.0 mL) and elemental sulfur (0.32 g, 0.01 mol) and either malononitrile (0.66 g, 0.01 mol) or ethyl cyanoacetate (1.13 g, 0.01 mol) was heated under reflux for 2 h. The reaction mixture was left to cool to room temperature and the formed solid product was collected by filtration and crystallized from ethanol.
2-Amino-5-bromo-4-(2-oxo-2H-chromen-3-yl)thiophene-3-carbonitrile (4a). Yield: 71%; m.p.: 180–182 °C; IR (KBr, cm−1): 3427 (NH2), 3034 (CH, aromatic), 2209 (CN), 1703 (C=O); 1H-NMR (DMSO-d6): δ 3.60 (s, 2H, NH2, D2O exchangeable), 6.90 (s, 1H, coumarin H-4), 7.07–7.85 (m, 4H, C6H4); 13C-NMR (DMSO-d6): δ 116.3 (CN), 119.3, 122.5, 124.2, 126.8, 129.6, 130.2, 134.5, 138.0, 139.8, 140.2, 143.8, 154.2 (coumarin, thiophene C), 166.2 (CO); MS: m/z (%) 347 (M+). Anal. Calcd. for C14H7BrN2O2S: C, 48.43; H, 2.03; N, 8.07; S, 9.24. Found: C, 48.68; H, 2.29; N, 8.39; S, 9.03.
Ethyl 2-amino-5-bromo-4-(2-oxo-2H-chromen-3-yl)thiophene-3-carboxylate (4b). Yield: 61%; m.p.: 177–179 °C; IR (KBr, cm−1): 3438 (NH2), 3089 (CH, aromatic), 1720, 1705 (2C=O); 1H-NMR (DMSO-d6): δ 1.15 (t, 3H, J = 7.2 Hz, CH2–CH3), 3.11 (q, 2H, J = 7.2 Hz, CH2–CH3), 3.69 (s, 2H, NH2, D2O exchangeable), 6.95 (s, 1H, coumarin H-4), 7.35–7.51 (m, 4H, C6H4); 13C-NMR (DMSO-d6): δ 22.3 (ester CH3), 58.7 (ester CH2), 119.3, 121.3, 122.8, 123.5, 124.8, 126.9, 127.3, 129.5, 130.8, 132.5, 134.9, 144.2 (coumarin, thiophene C), 166.0, 166.4 (2CO); MS: m/z (%) 394 (M+). Anal. Calcd. for C16H12BrNO4S: C, 48.74; H, 3.07; N, 3.55; S, 8.13. Found: C, 48.88; H, 3.39; N, 3.88; S, 7.89.

3.1.4. General Procedure for the Synthesis of 5ad

A mixture of 1 (2.67 g, 0.01 mol), phenylisothiocyante (0.01 mol) and either of aniline (0.35 g, 0.01 mol), p-toluidine (0.04 g, 0.01 mol), 4-methoxyaniline (0.46 g, 0.01 mol) or 4-chloroaniline (0.47 g, 0.01 mol) in absolute ethanol (40 mL) containing triethylamine (1.0 mL) was heated under reflux for 2 h, left to cool to room temperature, poured onto ice/water, and neutralized by hydrochloric acid. The precipitated solid was collected by filtration, washed with water and crystallized from ethanol.
3-(3-Phenyl-2-(phenylimino)-2,3-dihydrothiazol-5-yl)-2H-chromen-2-one (5a). Yield: 76%; m.p.: 158–160 °C; IR (KBr, cm−1): 3064 (CH, aromatic), 1723 (C=O), 1609 (C=N); 1H-NMR (DMSO-d6): δ 3.99 (s, 1H, thiazole H-4), 6.67 (s, 1H, coumarin H-4), 7.43–8.58 (m, 14H, 2C6H5, C6H4); 13C-NMR (DMSO-d6): δ 119.3, 120.8, 121.3, 122.6, 124.3, 124.8, 126.2, 127.0, 127.3, 128.1, 129.2, 130.2, 132.8, 133.2, 138.4, 140.3, 142.8, 144.5 (coumarin, thiazole, 2C6H5 C), 164.3 (CO), 173.4 (C=N); MS: m/z (%) 396 (M+). Anal. Calcd. for C24H16N2O2S: C, 72.71; H, 4.07; N, 7.07; S, 8.09. Found: C, 72.43; H, 4.09; N, 7.29; S, 8.39.
3-(2-(Phenylimino)-3-(p-tolyl)-2,3-dihydrothiazol-5-yl)-2H-chromen-2-one (5b). Yield: 69%; m.p.: 99–101 °C; IR (KBr, cm−1): 3033 (CH, aromatic), 1721 (C=O), 1600 (C=N); 1H-NMR (DMSO-d6): δ 2.25 (s, 3H, CH3), 3.98 (s, 1H, thiazole H-4), 6.60 (s, 1H, coumarin H-4), 7.09–7.50 (m, 13H, C6H5, 2C6H4); 13C-NMR (DMSO-d6): δ 20.8 (CH3), 120.2, 121.4, 121.8, 122.4, 123.9, 124.4, 125.2, 126.9, 128.0, 130.2, 132.5, 133.2, 136.3, 138.8, 141.6, 142.9, 143.4, 144.6 (coumarin, thiazole, C6H5, C6H4 C), 164.1 (CO), 173.8 (C=N); MS: m/z (%) 410 (M+). Anal. Calcd. for C25H18N2O2S: C, 73.15; H, 4.42; N, 6.82; S, 7.81. Found: C, 73.45; H, 4.09; N, 6.69; S, 7.64.
3-(3-(4-Methoxyphenyl)-2-(phenylimino)-2,3-dihydrothiazol-5-yl)-2H-chromen-2-one (5c). Yield: 72%; m.p.: 103–105 °C; IR (KBr, cm−1): 3053 (CH, aromatic), 1717 (C=O), 1603 (C=N); 1H-NMR (DMSO-d6): δ 3.79 (s, 3H, OCH3), 4.45 (s, 1H, thiazole H-4), 6.82 (s, 1H, coumarin H-4), 6.88–7.50 (m, 13H, C6H5, 2C6H4); 13C-NMR (DMSO-d6): δ 32.9 (OCH3), 120.4, 120.9, 121.3, 123.0, 123.6, 124.1, 125.3, 127.3, 128.6, 130.6, 132.8, 136.4, 138.4, 138.9, 139.5, 140.8, 143.6, 144.8 (coumarin, thiazole, C6H5, C6H4C), 164.6 (CO), 173.2 (C=N); MS: m/z (%) 426 (M+). Anal. Calcd. for C25H18N2O3S: C, 70.40; H, 4.25; N, 6.57; S, 7.52. Found: C, 70.13; H, 4.08; N, 6.82; S, 7.29.
3-(3-(4-Chlorophenyl)-2-(phenylimino)-2,3-dihydrothiazol-5-yl)-2H-chromen-2-one (5d). Yield: 71%; m.p.: 123–125 °C; IR (KBr; cm−1): 3030 (CH; aromatic); 1719 (C=O); 1597 (C=N); 1H-NMR (DMSO-d6): δ 3.98 (s, 1H, thiazole H-4); 6.56 (s, 1H, coumarin H-4); 6.99–7.54 (m; 13H, C6H5, 2 C6H4); 13C-NMR (DMSO-d6): δ 119.8, 120.4, 121.2, 122.4, 123.9, 124.6, 125.4, 126.0, 127.6, 128.2, 129.1, 130.3, 131.2, 132.8, 137.3, 140.5, 142.8, 144.4 (coumarin, thiazole, C6H5, C6H4 C); 164.9 (CO), 173.5 (C=N); MS: m/z (%) 430 (M+). Anal. Calcd. for C24H15ClN2O2S: C; 66.90; H; 3.51; N; 6.50; S; 7.44. Found: C; 66.66; H; 3.77; N; 6.82; S; 7.69.

3.1.5. General Procedure for the Synthesis of Compounds 6ad

A mixture of compound 1 (2.67 g, 0.01 mol), malononitrile (0.66 g, 0.01 mol) and either benzaldehyde (1.06 g, 0.01 mol), 4-methoxybenzaldehyde (1.36 g, 0.01 mol), 4-chlorobenzaldehyde (1.27 g, 0.01 mol) or furfural (0.96 g, 0.01 mol) in absolute ethanol (40 mL) containing triethylamine (1.0 mL) was heated under reflux for 2 h, left to cool to room temperature, poured onto ice/water, and neutralized by hydrochloric acid. The precipitated solid was collected by filtration, washed with water and crystallized from ethanol.
2-Amino-5-bromo-6-(2-oxo-2H-chromen-3-yl)-4-phenyl-4H-pyran-3-carbonitrile (6a). Yield: 68%; m.p.: 140–142 °C; IR (KBr, cm−1): 3408 (NH2), 3063 (CH, aromatic), 2212 (CN), 1723 (C=O); 1H-NMR (DMSO-d6): δ 3.46 (s, 2H, NH2, D2O exchangeable), 5.01 (s, 1H, pyran H-4), 7.02 (s, 1H, coumarin H-4), 7.24–7.98 (m, 9H, C6H5, C6H4); 13C-NMR (DMSO-d6): δ 65.8 (pyran C-4), 116.8 (CN), 121.3, 121.8, 122.4, 122.8, 123.2, 124.7, 126.7, 127.8, 128.3, 129.6, 130.6, 131.8, 133.9, 140.8, 142.3, 143.9 (coumarin, pyran, C6H5 C), 164.9 (CO); MS: m/z (%) 421 (M+). Anal. Calcd. for C21H13BrN2O3: C, 59.88; H, 3.11; N, 6.65. Found: C, 59.58; H, 3.02; N, 6.39.
2-Amino-5-bromo-4-(4-methoxyphenyl)-6-(2-oxo-2H-chromen-3-yl)-4H-pyran-3-carbonitrile (6b). Yield: 65%; m.p.: 193–195 °C; IR (KBr, cm−1): 3415 (NH2), 3070 (CH, aromatic), 2219 (CN), 1720 (C=O); 1H-NMR (DMSO-d6): δ 3.11 (s, 3H, OCH3), 3.46 (s, 2H, NH2, D2O exchangeable), 5.68 (s, 1H, pyran H-4), 7.09 (s, 1H, coumarin H-4), 7.34–7.87 (m, 8H, 2C6H4); 13C-NMR (DMSO-d6): δ 34.8 (OCH3), 65.4 (pyran C-4), 116.8 (CN), 119.3, 121.3, 122.4, 122.8, 123.2, 124.7, 125.1, 125.8, 126.7, 127.8, 129.3, 130.6, 133.9, 140.8, 142.3, 143.9 (coumarin, pyran, C6H4 C), 164.9 (CO); MS: m/z (%) 451 (M+). Anal. Calcd. for C22H15BrN2O4: C, 58.55; H, 3.35; N, 6.21. Found: C, 58.66; H, 3.12; N, 5.91.
2-Amino-5-bromo-4-(4-chlorophenyl)-6-(2-oxo-2H-chromen-3-yl)-4H-pyran-3-carbonitrile (6c). Yield: 65%; m.p.: 178–180 °C; IR (KBr, cm−1): 3410 (NH2), 3067 (CH, aromatic), 2211 (CN), 1720 (C=O); 1H-NMR (DMSO-d6): δ 3.31 (s, 2H, NH2, D2O exchangeable), 5.73 (s, 1H, pyran H-4), 6.73 (s, 1H, coumarin H-4), 6.93–7.72 (m, 8H, 2C6H4); 13C-NMR (DMSO-d6): δ 65.8 (pyran C-4), 116.6 (CN), 119.3, 120.8, 121.6, 122.3, 123.6, 123.9, 125.3, 125.9, 126.8, 127.3, 130.9, 132.2, 138.9, 140.2, 142.6, 143.1 (coumarin, pyran, C6H4 C), 164.6 (CO); MS: m/z (%) 455 (M+). Anal. Calcd. for C21H12BrClN2O3: C, 55.35; H, 2.65; N, 6.15. Found: C, 55.21; H, 2.95; N, 5.93.
2-Amino-5-bromo-4-(furan-2-yl)-6-(2-oxo-2H-chromen-3-yl)-4H-pyran-3-carbonitrile (6d). Yield: 73%; m.p.: 148–150 °C; IR (KBr, cm−1): 3420 (NH2), 3048 (CH, aromatic), 2216 (CN), 1727 (C=O); 1H-NMR (DMSO-d6): δ 3.31 (s, 2H, NH2, D2O exchangeable), 5.80 (s, 1H, pyran H-4), 7.12 (s, 1H, coumarin H-4), 7.30–8.00 (m, 7H, C6H4, furan); 13C-NMR (DMSO-d6): δ 65.8 (pyran C-4), 116.4 (CN), 118.9, 121.8, 122.1, 122.7, 123.2, 124.2, 125.2, 126.0, 126.4, 128.4, 130.9, 134.5, 141.6, 140.6, 143.9, 148.2 (coumarin, pyran, furan C), 164.6 (CO); MS: m/z (%) 411 (M+). Anal. Calcd. for C19H11BrN2O4: C, 55.50; H, 2.70; N, 6.81. Found: C, 55.31; H, 3.01; N, 6.62.

3.1.6. General Procedure for the Synthesis of 7ad

A mixture of compound 1 (2.67 g, 0.01 mol), malonanitrile (0.66 g, 0.01 mol) and either benzaldehyde (1.06 g, 0.01 mol), 4-methoxybenzaldehyde (1.36 g, 0.01 mol), 4-chlorobenzaldehyde (1.27 g, 0.01 mol) or furfural (0.96 g, 0.01 mol) in absolute ethanol (40 mL) containing ammonium acetate (0.5 g) was heated under reflux for 3 h, left to cool to room temperature, poured onto ice/water, and neutralized with hydrochloric acid. The precipitated solid was collected by filtration, washed with water and crystallized from ethanol.
2-Amino-5-bromo-6-(2-oxo-2H-chromen-3-yl)-4-phenyl-1,4-dihydropyridine-3-carbonitrile (7a). Yield: 80%; m.p.: 171–173 °C; IR (KBr, cm−1): 3415–3346 (NH2, NH), 3064 (CH, aromatic), 2209 (CN), 1714 (C=O); 1H-NMR (DMSO-d6): δ 3.48 (s, 2H, NH2, D2O exchangeable), 7.15 (s, 1H, pyridine H-4), 7.20 (s, 1H, coumarin H-4), 7.34–7.69 (m, 9H, C6H5, C6H4), 9.16 (s, 1H, NH, D2O exchangeable); 13C-NMR (DMSO-d6): δ 62.3 (pyridine C-4), 116.9 (CN), 119.3, 120.3, 121.9, 123.8, 124.5, 124.8, 125.8, 126.2, 126.9, 128.0, 128.3, 130.3, 132.4, 139.3, 140.9, 143.2 (coumarin, pyridine, C6H5 C), 165.3 (CO); MS: m/z (%) 420 (M+). Anal. Calcd. for C21H14BrN3O2: C, 60.02; H, 3.36; N, 10.00. Found: C, 59.89; H, 3.18; N, 9.73.
2-Amino-5-bromo-4-(4-methoxyphenyl)-6-(2-oxo-2H-chromen-3-yl)-1,4-dihydropyridine-3-carbonitrile (7b). Yield: 82%; m.p.: 164–166 °C; IR (KBr, cm−1): 3407–3365 (NH2, NH), 3064 (CH, aromatic), 2207 (CN), 1710 (C=O); 1H-NMR (DMSO-d6): δ 3.66 (s, 3H, OCH3), 3.84 (s, 2H, NH2, D2O exchangeable), 6.92 (s, 1H, pyridine H-4), 6.95 (s, 1H, coumarin H-4), 6.97–7.98 (m, 8H, 2C6H4), 9.86 (s, 1H, NH, D2O exchangeable); 13C-NMR (DMSO-d6): δ 38.9 (OCH3), 62.8 (pyridine C-4), 116.3 (CN), 120.1, 120.3, 122.6, 123.2, 124.5, 124.6, 125.8, 126.8, 127.4, 129.8, 132.6, 136.2, 137.4, 139.2, 140.6, 143.8 (coumarin, pyridine, C6H4 C), 164.4 (CO); MS: m/z (%) 450 (M+). Anal. Calcd. for C22H16BrN3O3: C, 58.68; H, 3.58; N, 9.33. Found: C, 58.38; H, 3.28; N, 9.67.
2-Amino-5-bromo-4-(4-chlorophenyl)-6-(2-oxo-2H-chromen-3-yl)-1,4-dihydropyridine-3-carbonitrile (7c). Yield: 81%; m.p.: 206–208 °C;IR (KBr, cm−1): 3412–3360 (NH2, NH), 3055 (CH, aromatic), 2183 (CN), 1704 (C=O); 1H-NMR (DMSO-d6): δ 3.88 (s, 2H, NH2, D2O exchangeable), 6.92 (s, 1H, pyridine H-4), 6.95 (s, 1H, coumarin H-4), 6.98–7.94 (m, 8H, 2C6H4), 10.00 (s, 1H, NH, D2O exchangeable); 13C-NMR (DMSO-d6): δ 62.8 (pyridine C-4), 116.8 (CN), 120.4, 121.8, 122.9, 123.1, 124.3, 125.4, 126.9, 127.5, 128.3, 130.5, 133.2, 135.4, 136.8, 139.7, 140.2, 142.5 (coumarin, pyridine, C6H4 C), 164.8 (CO); MS: m/z (%) 454 (M+). Anal. Calcd. for C21H13BrClN3O2: C, 55.47; H, 2.88; N, 9.24. Found: C, 55.19; H, 3.08; N, 9.05.
2-Amino-5-bromo-4-(furan-2-yl)-6-(2-oxo-2H-chromen-3-yl)-1,4-dihydropyridine-3-carbonitrile (7d). Yield: 83%; m.p.: 205–207 °C; IR (KBr, cm−1): 3425–3387 (NH2, NH), 3045 (CH, aromatic), 2210 (CN), 1709 (C=O); 1H-NMR (DMSO-d6): δ 3.92 (s, 2H, NH2, D2O exchangeable), 6.46 (s, 1H, pyridine H-4), 6.77 (s, 1H, coumarin H-4), 6.90–8.08 (m, 7H, C6H4, furan), 8.82 (s, 1H, NH, D2O exchangeable); 13C-NMR (DMSO-d6): δ 63.0 (pryidine C-4), 116.9 (CN), 120.8, 121.3, 122.7, 123.5, 124.8, 125.6, 126.6, 127.2, 128.1, 129.2, 129.6, 130.6, 133.3, 135.3, 138.9, 144.7 (coumarin, pyridine, furan C), 166.2 (CO); MS: m/z (%) 410 (M+). Anal. Calcd. for C19H12BrN3O3: C, 55.63; H, 2.95; N, 10.24. Found: C, 55.39; H, 3.11; N, 10.51.

3.1.7. Synthesis of 3-oxo-3-(2-oxo-2H-chromen-3-yl)propanenitrile (8)

A solution of compound 1 (2.67 g, 0.01 mol) in absolute ethanol (40 mL) was heated at 60 °C, then added to a solution of KCN (0.65 g, 0.01 mol in 10 mL water). The mixture was stirred for 0.5 h and the product was precipitated by adding ice and few drops of hydrochloric acid. The precipitated solid was collected by filtration, washed with water and crystallized from ethanol. Yield: 85%; m.p.: 158–160 °C; IR (KBr, cm−1): 3091 (CH, aromatic), 2247 (CN), 1739 (C=O); 1H-NMR (DMSO-d6): δ 5.08 (s, 2H, CH2), 6.63 (s, 1H, coumarin H-4), 6.88–7.83 (m, 4H, C6H4); 13C-NMR (DMSO-d6): δ 61.1 (CH2), 116.3 (CN), 121.0, 122.6, 123.8, 125.0, 126.2, 127.2, 129.4, 130.3, 133.2 (coumarin C), 162.2 (CO). MS: m/z (%) 213 (M+). Anal. Calcd. for C12H7NO3: C, 67.61; H, 3.31; N, 6.57. Found: C, 67.35; H, 3.11; N, 6.78.

3.1.8. General Procedure for the Synthesis of Compounds 9a,b

A solution of compound 8 (2.13 g, 0.01 mol) and either hydrazine hydrate (0.5 g, 0.01 mol) or phenylhydrazine (1.08 g, 0.01 mol) in absolute ethanol (40 mL) was heated under reflux for 2 h, left to cool to room temperature, poured onto ice/water containing few drops hydrochloric acid. The resulting product was collected by filtration, washed with water and crystallized from ethanol.
3-(5-Amino-1H-pyrazol-3-yl)-2H-chromen-2-one (9a). Yield: 83%;m.p.: 218–220 °C; IR (KBr, cm−1): 3416–3368 (NH2, NH), 3044(CH, aromatic), 1718 (C=O), 1611 (C=N); 1H-NMR (DMSO-d6): δ 3.92 (s, 2H, NH2, D2O exchangeable), 6.81 (s, 1H, pyrazole H-4), 6.90 (s, 1H, coumarin H-4), 6.93–7.84 (m, 4H, C6H4), 11.19 (s, 1H, NH, D2O exchangeable); 13C-NMR (DMSO-d6): δ 121.0, 122.6, 124.2, 125.9, 129.0, 130.6, 133.3, 135.3, 138.9, 140.2 (coumarin, pyrazole C), 165.3 (CO), 172.6 (C=N); MS: m/z (%) 227 (M+). Anal. Calcd. for C12H9N3O2: C, 63.43; H, 3.99; N, 18.49. Found: C, 63.52; H, 4.25; N, 18.22.
3-(5-Amino-1-phenyl-1H-pyrazol-3-yl)-2H-chromen-2-one (9b) Yield: 85%; m.p.: 158–160 °C; IR (KBr, cm−1): 3430 (NH2), 3056 (CH, aromatic), 1721 (C=O), 1607 (C=N); 1H-NMR (DMSO-d6): δ 3.88 (s, 2H, NH2, D2O exchangeable), 6.85 (s, 1H, pyrazole H-4), 6.89 (s, 1H, coumarin H-4), 6.95–7.83 (m, 9H, C6H5, C6H4); 13C-NMR (DMSO-d6): δ 120.3, 121.3, 122.9, 123.5, 124.8, 126.4, 127.4, 130.8, 131.4, 133.2, 135.6, 133.1, 136.5, 138.0 (coumarin, pyrazole, C6H5 C), 165.8 (CO), 172.3 (C=N); MS: m/z (%) 303 (M+). Anal. Calcd. for C18H13N3O2: C, 71.28; H, 4.32; N, 13.85. Found: C, 71.53; H, 4.09; N, 13.92.

3.1.9. General Procedure for the Synthesis of Compounds 10ad

A mixture of compound 8 (2.67 g, 0.01 mol), malonanitrile (0.66 g, 0.01 mol) and either benzaldehyde (1.06 g, 0.01 mol), 4-methoxybenzaldehyde (1.36 g, 0.01 mol), 4-chlorobenzaldehyde (1.27 g, 0.01 mol) or furfural (0.96 g, 0.01 mol) in absolute ethanol (40 mL) containing triethylamine (1.0 mL) was heated under reflux for 2 h, left to cool to room temperature, poured onto ice/water, and neutralized by hydrochloric acid. The precipitated solid was collected by filtration, washed with water and crystallized from ethanol.
2-Amino-6-(2-oxo-2H-chromen-3-yl)-4-phenyl-4H-pyran-3,5-dicarbonitrile (10a). Yield: 88%; m.p.: 173–175 °C; IR (KBr, cm−1): 3432 (NH2), 3064 (CH, aromatic), 2200 (CN), 1723 (C=O); 1H-NMR (DMSO-d6): δ 3.73 (s, 2H, NH2, D2O exchangeable), 6.78 (s, 1H, pyran H-4), 6.85 (s, 1H, coumarin H-4), 7.14–7.92 (m, 9H, C6H5, C6H4); 13C-NMR (DMSO-d6): δ 62.8 (pyran C-4), 116.3, 117.3 (2CN), 119.8, 120.8, 123.2, 124.2, 125.1, 126.8, 127.9, 128.4, 129.3, 130.1, 132.3, 133.4, 134.8, 135.1, 138.2, 140.6 (coumarin, pyran, C6H5 C), 164.2 (CO); MS: m/z (%) 367 (M+). Anal. Calcd. for C22H13N3O3: C, 71.93; H, 3.57; N, 11.44. Found: C, 71.65; H, 3.88; N, 11.42.
2-Amino-4-(4-methoxyphenyl)-6-(2-oxo-2H-chromen-3-yl)-4H-pyran-3,5-dicarbonitrile (10b). Yield: 75%; m.p.: 113–115 °C; IR (KBr, cm−1): 3431 (NH2), 3053 (CH, aromatic), 2217 (CN), 1726 (C=O); 1H-NMR (DMSO-d6): δ 3.74 (s, 2H, NH2, D2O exchangeable), 3.88 (s, 3H, OCH3), 6.75 (s, 1H, pyran H-4), 6.89 (s, 1H, coumarin H-4), 6.95–7.99 (m, 8H, 2C6H4); 13C-NMR (DMSO-d6): δ 28.9 (OCH3), 63.1 (pyran C-4), 115.9, 116.2 (2CN), 118.3, 119.6, 121.8, 122.9, 123.5, 124.0, 125.3, 126.5, 127.2, 129.5, 130.4, 132.4, 134.2, 135.2, 136.8, 141.2 (coumarin, pyran, C6H4 C), 163.8 (CO). MS: m/z (%) 397 (M+). Anal. Calcd. for C23H15N3O4: C, 69.52; H, 3.80; N, 10.57. Found: C, 69.38; H, 3.62; N, 10.29.
2-Amino-4-(4-chlorophenyl)-6-(2-oxo-2H-chromen-3-yl)-4H-pyran-3,5-dicarbonitrile (10c). Yield: 88%; m.p.: 178–180 °C; IR (KBr, cm−1): 3432 (NH2), 3046 (CH, aromatic), 2198 (CN), 1725 (C=O); 1H-NMR (DMSO-d6): δ 3.89 (s, 2H, NH2, D2O exchangeable), 6.77 (s, 1H, pyran H-4), 6.89 (s, 1H, coumarin H-4), 6.98–8.05 (m, 8H, 2C6H4); 13C-NMR (DMSO-d6): δ 63.7 (pyran C-4), 116.2, 116.8 (2CN), 119.1, 119.6, 122.4, 123.1, 123.8, 124.7, 125.9, 127.3, 129.3, 131.1, 133.6, 134.8, 137.2, 138.2, 138.6, 141.8 (coumarin, pyran, C6H4 C), 164.9 (CO); MS: m/z (%) 401 (M+). Anal. Calcd. for C22H12ClN3O3: C, 65.76; H, 3.01; N, 10.46. Found: C, 65.42; H, 3.29; N, 10.72.
2-Amino-4-(furan-2-yl)-6-(2-oxo-2H-chromen-3-yl)-4H-pyran-3,5-dicarbonitrile (10d). Yield: 84%; m.p.: 133–135 °C; IR (KBr, cm−1): 3426 (NH2), 3033 (CH, aromatic), 2214 (CN), 1724 (C=O); 1H-NMR (DMSO-d6): δ 3.88 (s, 2H, NH2, D2O exchangeable), 6.51 (s, 1H, pyran H-4), 6.54 (s, 1H, coumarin H-4), 6.77–8.29 (m, 7H, C6H4, furan); 13C-NMR (DMSO-d6): δ 62.9 (pyran C-4), 116.4, 116.9 (2CN), 120.4, 122.4, 123.1, 123.8, 125.3, 127.3, 128.9, 129.4, 134.6, 136.2, 137.8, 138.6, 139.3, 140.1, 141.8, 144.8 (coumarin, pyran, furan C), 164.9 (CO); MS: m/z (%) 357 (M+). Anal. Calcd. for C20H11N3O4: C, 67.23; H, 3.10; N, 11.76. Found: C, 67.55; H, 2.86; N, 11.81.

3.1.10. General Procedure for the Synthesis of Compounds 11ad

A mixture of compound 8 (2.67 g, 0.01 mol), malonanitrile (0.66 g, 0.01 mol) and either benzaldehyde (1.06 g, 0.01 mol), 4-methoxybenzaldehyde (1.36 g, 0.01 mol), 4-chlorobenzaldehyde (1.27 g, 0.01 mol) or furfural (0.96 g, 0.01 mol) in absolute ethanol (40 mL) containing ammonium acetate (0.5 g) was heated under reflux for 3 h, left to cool to room temperature, poured onto ice/water, and neutralized by hydrochloric acid. The precipitated solid was collected by filtration, washed with water and crystalized from ethanol.
2-Amino-6-(2-oxo-2H-chromen-3-yl)-4-phenyl-1,4-dihydropyridine-3,5-dicarbonitrile (11a) Yield: 85%; m.p.: 133–135 °C; IR (KBr, cm−1): 3430–3378 (NH2, NH), 3079 (CH, aromatic), 2197 (CN), 1716 (C=O); 1H-NMR (DMSO-d6): δ 3.88 (s, 2H, NH2, D2O exchangeable), 6.78 (s, 1H, pyridine H-4), 6.92 (s, 1H, coumarin H-4), 6.95–7.96 (m, 9H, C6H5, C6H4), 8.60 (s, 1H, NH, D2O exchangeable); 13C-NMR (DMSO-d6): δ 64.2 (pyridine C-4), 116.2, 116.8 (2CN), 119.1, 119.6, 120.8, 121.6, 122.4, 123.1, 123.8, 125.9, 127.3, 128.0, 129.2, 130.7, 133.6, 134.8, 137.2, 141.8 (coumarin, pyridine, C6H5 C), 164.3 (CO); (MS: m/z (%) 366 (M+). Anal. Calcd. for C22H14N4O2: C, 72.12; H, 3.85; N, 15.29. Found: C, 72.38; H, 4.13; N, 15.05.
2-Amino-4-(4-methoxyphenyl)-6-(2-oxo-2H-chromen-3-yl)-1,4-dihydropyridine-3,5-dicarbonitrile (11b). Yield: 90%; m.p.: 99–101 °C; IR (KBr, cm−1): 3429–3382 (NH2, NH), 3054 (CH, aromatic), 2221 (CN), 1720 (C=O); 1H-NMR (DMSO-d6): δ 3.75 (s, 3H, OCH3), 3.88 (s, 2H, NH2, D2O exchangeable), 6.77 (s, 1H, pyridine H-4), 6.87 (s, 1H, coumarin H-4), 6.90–7.99 (m, 8H, 2C6H4), 8.39 (s, 1H, NH, D2O exchangeable); 13C-NMR (DMSO-d6): δ 33.8 (OCH3), 63.8 (pyridine C-4), 116.0, 116.6 (2CN), 119.6, 120.8, 122.6, 122.9, 123.2, 124.6, 125.9, 126.2, 128.6, 128.8, 129.8, 130.9, 132.8, 134.3, 137.2, 144.2 (coumarin, pyridine, C6H4 C), 164.9 (CO); MS: m/z (%) 396 (M+). Anal. Calcd. for C23H16N4O3: C, 69.69; H, 4.07; N, 14.13. Found: C, 69.38; H, 4.09; N, 14.39.
2-Amino-4-(4-chlorophenyl)-6-(2-oxo-2H-chromen-3-yl)-1,4-dihydropyridine-3,5-dicarbonitrile (11c). Yield: 85%; m.p.: 197–199 °C; IR (KBr, cm−1): 3443–3375 (NH2, NH), 3054 (CH, aromatic), 2200 (CN), 1709 (C=O); 1H-NMR (DMSO-d6): δ 3.86 (s, 2H, NH2, D2O exchangeable), 6.74 (s, 1H, pyridine H-4), 6.96 (s, 1H, coumarin H-4), 7.09–7.97 (m, 8H, 2 C6H4), 10.00 (s, 1H, NH, D2O exchangeable); 13C-NMR (DMSO-d6): δ 63.9 (pyridine C-4), 116.2, 116.8 (2CN), 119.8, 120.3, 121.4, 122.6, 124.9, 125.2, 127.8, 129.3, 132.4, 133.0, 134.1, 137.2, 138.0, 139.3, 139.9, 144.0 (coumarin, pyridine, C6H4 C), 163.0 (CO); MS: m/z (%) 400 (M+). Anal. Calcd. for C22H13ClN4O2: C, 65.92; H, 3.27; N, 13.98. Found: C, 66.22; H, 3.02; N, 13.83.
2-Amino-4-(furan-2-yl)-6-(2-oxo-2H-chromen-3-yl)-1,4-dihydropyridine-3,5-dicarbonitrile (11d). Yield: 85%; m.p.: 168–170 °C; IR (KBr, cm−1): 3427–3375 (NH2, NH), 3034 (CH, aromatic), 2214 (CN), 1715 (C=O); 1H-NMR (DMSO-d6): δ 3.84 (s, 2H, NH2, D2O exchangeable), 6.55 (s, 1H, pyridine H-4), 6.90 (s, 1H, coumarin H-4), 6.98–8.09 (m, 7H, C6H4, furan), 8.81 (s, 1H, NH, D2O exchangeable); 13C-NMR (DMSO-d6): δ 63.8 (pyridine C-4), 116.3, 116.9 (2CN), 119.2, 120.7, 121.8, 122.3, 123.3, 126.9, 127.3, 128.3, 129.9, 130.6, 131.4, 132.8, 134.3, 136.4, 138.2, 143.4 (coumarin, pyridine, furan C), 164.8 (CO); MS: m/z (%) 356 (M+). Anal. Calcd. for C20H12N4O3: C, 67.41; H, 3.39; N, 15.72. Found: C, 67.66; H, 3.59; N, 15.88.

3.2. In Vitro Cytotoxic Assay

3.2.1. Chemicals

Fetal bovine serum (FBS) and l-glutamine, were purchased from Gibco Invitrogen Co. (Scotland, UK). RPMI-1640 medium was purchased from Cambrex (East Rutherford, NJ, USA). Dimethyl sulfoxide (DMSO), CHS 828, penicillin, streptomycin and sulforhodamine B (SRB) were purchased from Sigma Chemical Co. (Saint Louis, MO, USA).

3.2.2. Cell Cultures

Cell cultures were obtained from the European Collection of Cell Cultures (ECACC, Salisbury, UK) and human gastric cancer (NUGC), human colon cancer (DLD1), human liver cancer (HA22T and HEPG2), human breast cancer (MCF), nasopharyngeal carcinoma (HONE1) and normal fibroblast cells (WI38) were kindly provided by the National Cancer Institute (NCI, Cairo, Egypt). They were grown as a monolayer and routinely maintained in RPMI-1640 medium supplemented with 5% heat inactivated FBS, 2 mM glutamine and antibiotics (penicillin 100 U/mL, streptomycin 100 g/mL) at 37 °C in a humidified atmosphere containing 5% CO2. Exponentially growing cells were obtained by plating 1.5 × 105 cells/mL for the six human cancer cell lines followed by 24 h of incubation. The effect of the vehicle solvent (DMSO) on the growth of these cell lines was evaluated in all the experiments by exposing untreated control cells to the maximum concentration (0.5%) of DMSO used in each assay.

4. Conclusions

The present study reports the successful synthesis, characterization and anticancer evaluation of new series of pyran, pyridine, thiophene, thiazole and pyrazole derivatives starting from 3-bromoacetylcoumarin through its reaction with different reagents. Most compounds showed potent inhibition with IC50 ˂ 900 nM. Among these derivatives, compound 6d showed almost equipotent cytotoxic activity against NUGC (IC50 = 29 nM) compared to the standard CHS 828 (IC50 = 25 nM). Normal fibroblast cells (WI38) were affected to a much lesser extent (IC50 > 10,000 nM). The results suggest that these compounds may serve as lead chemical entities for further modification in the search of new classes of potential anticancer agents.

Author Contributions

R.M.M. and N.Y.M.A. designed research. N.Y.M.A. performed experiments and analyzed the data. All authors contributed to the paper and approved the manuscript.

Conflicts of Interest

The authors declare no conflict of interest.

References

  1. Raistrick, H.; Stickings, C.E.; Thomas, R. Studies in the biochemistry of micro-organisms. Alternariol and alternariolmonomethyl ether, metabolic products of Alternariatenuis. Biochem. J. 1953, 55, 421–433. [Google Scholar] [PubMed]
  2. Hinman, J.W.; Caron, E.L.; Hoeksema, H. The Structure of novobiocin. J. Am. Chem. Soc. 1957, 79, 3789–3800. [Google Scholar] [CrossRef]
  3. Belluti, F.; Fontana, G.; Dal Bo, L.; Carenini, N.; Giommarelli, C.; Zunino, F. Design, synthesis and anticancer activities of stilbene-coumarin hybrid compounds: Identification of novel proapoptotic agents. Bioorg. Med. Chem. 2010, 18, 3543–3550. [Google Scholar] [CrossRef] [PubMed]
  4. Lacy, A. Studies on coumarins and coumarin-related compounds to determine their therapeutic role in the treatment of cancer. Curr. Pharm. Des. 2004, 10, 3797–3811. [Google Scholar] [CrossRef] [PubMed]
  5. Borges, F.; Roleira, F.; Milhazes, N.; Santana, L.; Uriarte, E. Simple coumarins and analogues in medicinal chemistry: Occurrence, synthesis and biological activity. Curr. Med. Chem. 2005, 12, 887–916. [Google Scholar] [CrossRef] [PubMed]
  6. Kostova, I. Synthetic and natural coumarins as cytotoxic agents. Curr. Med. Chem. Anti-Cancer Agents 2005, 5, 29–46. [Google Scholar] [CrossRef]
  7. Kulkarni, M.V.; Kulkarni, G.M.; Lin, C.H.; Sun, C.M. Recent advances in coumarins and 1-azacoumarins as versatile biodynamic agents. Curr. Med. Chem. 2006, 13, 2795–2818. [Google Scholar] [CrossRef] [PubMed]
  8. Musa, M.A.; Cooperwood, J.S.; Khan, M.O.F. A review of coumarin derivatives in pharmacotherapy of breast cancer. Curr. Med. Chem. 2008, 15, 2664–2679. [Google Scholar] [CrossRef] [PubMed]
  9. Wu, L.; Wang, X.; Xu, W.; Farzaneh, F.; Xu, R. The structure and pharmacological functions of coumarins and their derivatives. Curr. Med. Chem. 2009, 16, 4236–4260. [Google Scholar] [CrossRef] [PubMed]
  10. Riveiro, M.E.; Kimpe, N.D.; Moglioni, A.; Vazquez, R.; Monczor, F.; Shayo, C.; Davio, C. Coumarins: Old compounds with novel promising therapeutic perspectives. Curr. Med. Chem. 2010, 17, 1325–1338. [Google Scholar] [CrossRef] [PubMed]
  11. Kontogiorgis, C.; Detsi, A.; Litina, D.H. Coumarin-based drugs: A patent review (2008–present). Expert Opin. Ther. Pat. 2012, 22, 437–454. [Google Scholar] [CrossRef] [PubMed]
  12. Peng, X.M.; Damu, G.L.V.; Zhou, C.H. Current developments of coumarin compounds in medicinal chemistry. Curr. Pharm. Des. 2013, 19, 3884–3930. [Google Scholar] [CrossRef] [PubMed]
  13. Musa, M.A.; Cooperwood, J.S.; Khan, M.O.; Rahman, T. In-vitro antiproliferative activity of benzopyranone derivatives in comparison with standard chemotherapeutic drugs. Arch. Pharm. (Weinh.) 2011, 344, 102–110. [Google Scholar] [CrossRef] [PubMed]
  14. Musa, M.A.; Badisa, V.L.D.; Latinwo, L.M.; Waryoba, C.; Ugochukwu, N. In vitro cytotoxicity of benzopyranone derivatives with basic side chain against human lung cell lines. Anticancer Res. 2010, 30, 4613–4617. [Google Scholar] [PubMed]
  15. Musa, M.A.; Khan, M.O.F.; Cooperwood, J.S. Synthesis and antiproliferative activity of coumarin-estrogen conjugates against breast cancer cell lines. Lett. Drug Des. Discov. 2009, 6, 133–138. [Google Scholar] [CrossRef] [PubMed]
  16. Kokotos, G.; Theodorou, V.; Tzougraki, C.; Deforce, D.L.; van den Eeckhout, E.G. Synthesis and in vitro cytotoxicity of aminocoumarin platinum (II) complexes. Bioorg. Med. Chem. Lett. 1997, 7, 2165–2168. [Google Scholar] [CrossRef]
  17. Cui, J.; Li, S. Inhibitors and prodrugs targeting CYP1: A novel approach in cancer prevention and therapy. Curr. Med. Chem. 2014, 21, 519–552. [Google Scholar] [CrossRef] [PubMed]
  18. Williamson, R.C.N.; Lyndon, P.T.; Tudway, A.J.C. Effects of anticoagulation and ileal resection on the development and spread of experimental intestinal carcinomas. Br. J. Cancer 1980, 42, 85–94. [Google Scholar] [CrossRef] [PubMed]
  19. Ryan, J.J.; Ketcham, A.S.; Wexler, H. Warfarin Therapy as an Adjunct to the Surgical Treatment of Malignant Tumors in Mice. Cancer Res. 1969, 29, 2191–2194. [Google Scholar] [PubMed]
  20. Yang, E.B.; Zhao, Y.N.; Zhang, K.; Mack, P. Daphnetin, one of coumarin derivatives, is a protein kinase inhibitor. Biochem. Biophys. Res. Commun. 1999, 260, 682–685. [Google Scholar] [CrossRef] [PubMed]
  21. Han, S.; Zhou, V.; Pan, S.; Liu, Y.; Hornsby, M.; McMullan, D.; Klock, H.E.; Haugan, J.; Lesley, S.A.; Gray, N.; et al. Identification of coumarin derivatives as a novel class of allosteric MEK1 inhibitors. Bioorg. Med. Chem. Lett. 2005, 15, 5467–5473. [Google Scholar] [CrossRef] [PubMed]
  22. Avula, S.; Nanubolu, J.B.; Yadla, R. Application of N,3-diaryl-3-oxo-propanethioamide in synthesis: An efficient and mild domino approach to highly substituted fused chromenones. Tetrahedron 2014, 70, 5768–5775. [Google Scholar] [CrossRef]
  23. Alipour, M.; Khoobi, M.; Foroumadi, A.; Nadri, H.; Moradi, A.; Sakhteman, A.; Ghandi, M.; Shafiee, A. Novel coumarin derivatives bearing N-benzyl pyridinium moiety: Potent and dual binding site acetylcholinesterase inhibitors. Bioorg. Med. Chem. 2012, 20, 7214–7222. [Google Scholar] [CrossRef] [PubMed]
  24. Jashari, A.; Imeri, F.; Ballazhi, L.; Shabani, A.; Mikhova, B.; Dräger, G.; Popovski, E.; Huwiler, A. Synthesis and cellular characterization of novel isoxazolo- and thiazolohydrazinylidene-chroman-2,4-diones on cancer and non-cancer cell growth and death. Bioorg. Med. Chem. 2014, 22, 2655–2661. [Google Scholar] [CrossRef] [PubMed]
  25. Hafez, O.M.; Nassar, M.I.; El-Kousy, S.M.; Abdel-Razik, A.F.; Sherien, M.M.; El-Ghonemy, M.M. Synthesis of some new carbonitriles and pyrazolecoumarin derivatives with potent antitumor and antimicrobial activities. Acta Pol. Pharm. 2014, 71, 594–601. [Google Scholar] [PubMed]
  26. Mohareb, R.M.; Abdelazeem, A.M. The Reaction of cyanoacetylhydrazine with ω-bromo(4-methyl)acetophenone: Synthesis of heterocyclic derivatives with antitumor activity. Molecules 2010, 15, 3602–3617. [Google Scholar] [CrossRef] [PubMed]
  27. Mohareb, R.M.; Ibrahim, R.A.; Moustafa, H.E. Hydrazide-Hydrazones in the synthesis of 1,3,4-oxadiazine, 1,2,4-triazine and pyrazole derivatives with antitumor activities. Open Org. Chem. J. 2010, 4, 8–14. [Google Scholar] [CrossRef]
  28. Mohareb, R.M.; Fleita, D.H.; Sakka, O.K. Novel Synthesis of Hydrazide-Hydrazone derivatives and their utilization in the synthesis of coumarin, pyridine, thiazole and thiophene derivatives with antitumor activity. Molecules 2011, 16, 16–27. [Google Scholar] [CrossRef] [PubMed]
  29. Fleita, D.H.; Mohareb, R.M.; Sakka, O.K. Antitumor and anti-leishmanial evaluation of novel heterocycles derived from quinazoline scaffold: A molecular modeling approach. Med. Chem. Res. 2013, 22, 2207–2221. [Google Scholar] [CrossRef]
  30. Munshi, P.; Venugopala, K.N.; Jayashree, B.S.; Guru Row, T.N. Concomitant polymorphism in 3-acetylcoumarin: Role of weak C−H···O and C−H···π interactions. Cryst. Growth Des. 2004, 4, 1105–1107. [Google Scholar] [CrossRef]
  31. Rajasekaran, S.; Rao, G.K.; Sanjay Pai, P.N.; Ranjan, A. Design, synthesis, antibacterial and in vitro antioxidant activity of substituted 2H-benzopyran-2-one derivatives. Int. J. ChemTech Res. 2011, 3, 555–559. [Google Scholar]
  32. Puterová, Z.; Andicsová, A.; Végh, D. Synthesis of π-conjugated thiophenes starting from substituted 3-oxopropanenitriles via Gewald reaction. Tetrahedron 2008, 64, 11262–11269. [Google Scholar] [CrossRef]
  33. Srikrishna, D.; Dubey, P.K. Efficient stepwise and one pot three-component synthesis of 2-amino-4-(2-oxo-2H-chromen-3-yl)thiophene-3-carbonitriles. Tetrahedron Lett. 2014, 55, 6561–6566. [Google Scholar] [CrossRef]
  34. VigHjarnaa, P.J.; Jonsson, E.; Latini, S.; Dhar, S.; Larsson, R.; Bramm, E.; Skov, T.; Binderup, L. CHS 828, a Novel pyridyl cyanoguanidine with potent antitumor activity in vitro and in vivo. Cancer Res. 1999, 59, 5751–5757. [Google Scholar]
  35. Lu, Y.; Wang, Y.; Zhu, W. Nonbonding interactions of organic halogens in biological systems: Implications for drug discovery and biomolecular design. Phys. Chem. Chem. Phys. 2010, 12, 4543–4551. [Google Scholar] [CrossRef] [PubMed]
  36. Lu, Y.; Shi, T.; Wang, Y.; Yang, H.; Yan, X.; Luo, X.; Jiang, H.; Zhu, W. Halogen bonding—A novel interaction for rational drug design. J. Med. Chem. 2009, 52, 2854–2862. [Google Scholar] [CrossRef] [PubMed]
  • Samples Availability: Samples of all synthesized compounds are available from the authors.

Share and Cite

MDPI and ACS Style

Mohareb, R.M.; MegallyAbdo, N.Y. Uses of 3-(2-Bromoacetyl)-2H-chromen-2-one in the Synthesis of Heterocyclic Compounds Incorporating Coumarin: Synthesis, Characterization and Cytotoxicity. Molecules 2015, 20, 11535-11553. https://doi.org/10.3390/molecules200611535

AMA Style

Mohareb RM, MegallyAbdo NY. Uses of 3-(2-Bromoacetyl)-2H-chromen-2-one in the Synthesis of Heterocyclic Compounds Incorporating Coumarin: Synthesis, Characterization and Cytotoxicity. Molecules. 2015; 20(6):11535-11553. https://doi.org/10.3390/molecules200611535

Chicago/Turabian Style

Mohareb, Rafat M., and Nadia Y. MegallyAbdo. 2015. "Uses of 3-(2-Bromoacetyl)-2H-chromen-2-one in the Synthesis of Heterocyclic Compounds Incorporating Coumarin: Synthesis, Characterization and Cytotoxicity" Molecules 20, no. 6: 11535-11553. https://doi.org/10.3390/molecules200611535

APA Style

Mohareb, R. M., & MegallyAbdo, N. Y. (2015). Uses of 3-(2-Bromoacetyl)-2H-chromen-2-one in the Synthesis of Heterocyclic Compounds Incorporating Coumarin: Synthesis, Characterization and Cytotoxicity. Molecules, 20(6), 11535-11553. https://doi.org/10.3390/molecules200611535

Article Metrics

Back to TopTop