Abstract
Four new pregnane glycosides 1–4 were isolated from the ethanol extract of the stem of Gymnema sylvestre and named gymsylvestrosides A–D. Hydrolysis of compound 1 under the catalysis of Aspergilus niger β-glucosidase afforded compound 5 (gymsylvestroside E). Their structures were determined by spectroscopic methods such as HRESIMS, 1D and 2D NMR, as well as HMQC-TOCSY experiment. Compounds 1–4 were screened for Saccharomyces cerevisiae α-glucosidase inhibitory activity.
1. Introduction
Gymnema sylvestre (Retz) Schult is a liana plant of the Asclepiadaceae family that grows in tropical and subtropical regions of the World. In China, it is distributed mainly in the provinces of Guangdong, Guangxi and Yunnan [1] and is traditionally used by local people as an anti-inflammatory and analgesic herbal medicine [2]. It is also a folklore medicine in India used for the treatment of malaria, hyperglycemia, mosquito and snake bites [3]. Pharmacological studies showed that G. sylvestre has hypoglycemic [4,5], anti-caries [6,7] and weight reducing [8,9,10] effects. Triterpenoids [11,12,13,14,15,16,17,18], cyclitols [19], flavonoids [20], peptides [21], pectin [22] and alkaloids [23,24] have been isolated from this plant. Some triterpene saponins from G. sylvestre were found to be able to attenuate hyperglycemia induced by pituitary growth hormone or adrenocorticotropic hormone [25,26] and to inhibit intestinal glucose absorption in diabetic rats [27,28,29,30].
In the 1990s, Yoshikawa et al. reported the isolation of a series of pregnane glycosides from the species G. alternifolium [31,32]. In our study on the hypoglycemic constituents of G. sylvestre, four new pregnane glycosides 1–4 were isolated from the 50% ethanol extract of the dry stem of G. sylvestre and named as gymsylvestrosides A–D. The NMR spectra of these compounds showed the presence of a complex sugar moiety comprising deoxysugars and glucose in their structures. Serious overlapping of the NMR signals made it difficult to give a clear assignment of the glycosyl structure. Several enzymes were screened for the ability to hydrolize the glycosyl moiety. The β-glucosidase from Aspergilus niger was found to be able to remove a terminal glucose from the sugar moiety of compound 1. Enzymatic hydrolysis of compound 1 catalyzed by Aspergilus niger β-glucosidase afforded compound 5 (gymsylvestroside E), which gave NMR spectra clear enough for the elucidation of the glycosyl structure. The present paper describes the isolation and structural elucidation of gymsylvestrosides A–E (1–5, Figure 1).
Figure 1.
Structures of compounds 1–5.
2. Results and Discussion
2.1. Isolation and Structure Elucidation
The 50% ethanol extract of the dried stems of G. sylvestre was partitioned between water and n-butanol. The butanol portion was separated successively by column chromatography over D-101 macroporous resin, silica gel, MCI resin and preparative HPLC equipped with an ODS column. Four pregnane glycosides 1–4 were thus obtained. Hydrolysis of compound 1 catalyzed by β-glucosidase afforded compound 5. The molecular mass of 5 was 162 units less than that of 1, indicating the loss of a hexose group from 1. Positive results in the Libermann-Buchard and Keller-Kiliani reactions pointed out that compounds 1–5 were steroidal saponins and contained α-deoxy sugars.
Compound 1 was isolated as a colorless powder. The positive HRESIMS gave a pseudo-molecular ion peak at m/z 1,422.6627 [M+NH4]+ (calcd. 1,422.6694), corresponding to a molecular formula of C70H100O29. The 13C-NMR and DEPT spectra displayed signals of 70 carbons, comprising six methyls, eight methylenes, a methine, three methoxyl groups, two hydroxylmethenes, twenty-six hydroxylmethines (including five anomeric sugar carbons), four oxygenated quaternary carbons and two ester carbonyls.
The carbon signals of two angular methyl groups (δC 12.4 and 21.5), a methyl group (δC 15.6) attached to a tertiary carbon (δC 75.3), four oxygenated quaternary carbons (δC 74.7, 74.0, 87.7 and 88.2) and a double bond (δC 136.7 and 127.3) exhibited the features of a polyhydroxypregnane fragment, which was analogous to the pregnane skeleton of the known compound prosapogenin reported in the literature [32,33]. The anomeric carbon signals at δC 97.7, 101.8, 103.9, 104.5 and 104.9 and the ester carbonyl signals at δC 165.6 and 166.8 indicated that compound 1 was a pregnane glycoside carrying two acyl groups.
The 1H and 13C-NMR (Table 1 and Table 2) signals of the pregnane skeleton were assigned by analysis of the 1H,1H-COSY, TOCSY, HMQC and HMBC spectra. The 1H,1H-COSY and TOCSY spectra of 1 displayed a spin system from H-1 to H-4, H-9 to H-12, as well as correlations between H-6/H-7, H-15/H-16 and H-20/H-21, which could designated to the four ring skeleton of a pregnane derivative. The HMBC spectrum showed correlations from H-19 to C-1, C-5, C-9 and C-10, H-18 to C-12, C-13, C-14 and C-17, indicating the two angular methyl groups were connected to C-10 and C-13, respectively. The HMBC correlation from H-21 to C-17 and C-20 suggested the attachment of a side chain on C-17. The presence of a double bond between C-6 and C-7 was evident from the HMBC correlations from H-6 (δH 5.94, d, J = 10.4 Hz) to C-10 (δC 39.6) and C-8 (δC 74.0) and H-7 (δH 6.26, d, J = 10.4 Hz) to C-9 (δC 36. 6) and C-5 (δC 74.7). These data showed a structural feature similar to that of the known compound gymnepregoside E [33]. Further comparison of the NMR data of the two compounds revealed that the NMR signals of the aglycone part of 1 were nearly identical to those of gymnepregoside E. Full assignment of the 1H and 13C-NMR signals of the pregnane skeleton was realized by analysis of the 1H,1H-COSY, TOCSY, HMQC and HMBC spectra and comparing with those of gymnepregoside E. The aglycone structure of compound 1 was thus determined as pregn-6-ene-3,5,8,12,14,17,20-heptol.
The relative configuration of the pregnane skeleton was determined by a ROESY experiment carried out in DMSO-d6. In the ROESY spectrum, the correlated signals between H-1a (δH 1.59)/H-3 (δH 3.06) and H-1a/C5-OH (δH 3.59) indicated that the A ring has a chair-like configuration and the substitution on C-3 is β-oriented. The NOE correlation between H-1a/H-9 (δH 1.85) suggested an A/B trans junction for the A ring. The H-18 signal at δH 1.48 showed correlations with C8-OH (δH 4.09), C14-OH (δH 5.23) and C17-OH (δH 5.30), indicating that these hydroxyl groups are β-oriented. The configuration of H-12 was confirmed to be α-oriented by the NOE between H-12 (δH 4.73) and H-9. Judging from the NOEs between H-12/H-20 (δH 4.61), H-20/H-16a (δH 1.96) and H-21(δH 1.21)/H-16b (δH 1.79), the C-20 was considered to have a S configuration.
Table 1.
1H-NMR (400 MHz) of the aglycones of compounds 1–5 (in pyridine-d5, J in Hz).
| NO. | δH (J in Hz) | |||||
|---|---|---|---|---|---|---|
| 1 (a) | 1 (a),(b) | 2 | 3 | 4 | 5 (a) | |
| 1a | 1.68 (m) | 1.59 (m) | 1.71 (m) | 1.73 (m) | 2.44 (m) | 1.69 (m) |
| 1b | 2.18 (m) | 1.21 (m) | 2.21 (m) | 2.22 (m) | 2.57 (m) | 2.17 (m) |
| 2a | 2.01 (m) | 1.63 (m) | 2.01 (m) | 2.03 (m) | 1.79 (m) | 2.02 (m) |
| 2b | 2.16 (m) | 1.26 (m) | 2.16 (m) | 2.16 (m) | 2.08 (m) | 2.14 (m) |
| 3 | 4.18 (m) | 3.06 (m) | 4.18 (m) | 4.20 (m) | 3.85 (m) | 4.20 (m) |
| 4a | 2.07 (m) | 1.79 (m) | 2.08 (m) | 2.08 (m) | 2.41 (m) | 2.07 (m) |
| 4b | 2.25 (m) | 1.64 (m) | 2.27 (m) | 2.27 (m) | 2.58 (m) | 2.27 (m) |
| 5-OH | 3.59 (s) | |||||
| 6 | 5.94 (d, 10.4 Hz) | 5.40 (d, 10.4 Hz) | 5.93 (d, 10.4 Hz) | 5.92 (d, 10.4 Hz) | 5.36 (m) | 5.95 (d, 10.4 Hz) |
| 7a | 6.26 (d, 10.4 Hz) | 5.63 (d,10.4 Hz) | 6.26 (d, 10.4 Hz) | 6.26 (d, 10.4 Hz) | 2.41 (m) | 6.25 (d, 10.4 Hz) |
| 7b | 2.53 (m) | |||||
| 8-OH | 4.09 (s) | |||||
| 9 | 2.41 (m) | 1.85 (m) | 2.41 (m) | 2.41 (m) | 1.78 (m) | 2.41 (m) |
| 11a | 2.20 (m) | 1.72 (m) | 2.23 (m) | 2.24 (m) | 2.05 (m) | 2.22 (m) |
| 11b | 2.43 (m) | 1.54 (m) | 2.49 (m) | 2.43 (m) | 2.37 (m) | 2.45 (m) |
| 12 | 5.38 (m) | 4.73 (m) | 5.35 (m) | 5.37 (m) | 5.25 (m) | 5.38 (m) |
| 14-OH | 5.23 (s) | |||||
| 15a | 2.00 (m) | 1.70 (m) | 1.48 (m) | 1.48 (m) | 1.80 (m) | 2.00 (m) |
| 15b | 2.19 (m) | 1.66 (m) | 2.17 (m) | 2.16 (m) | 2.15 (m) | 2.21 (m) |
| 16a | 2.01 (m) | 1.96 (m) | 1.48 (m) | 1.48 (m) | 1.81 (m) | 2.02 (m) |
| 16b | 2.10 (m) | 1.79 (m) | 2.03 (m) | 1.98 (m) | 2.14 (m) | 2.11 (m) |
| 17-OH | 5.30 (s) | |||||
| 18 | 2.20 (s) | 1.48 (s) | 2.18 (s) | 2.22 (s) | 2.18 (s) | 2.20 (s) |
| 19 | 1.52 (s) | 0.85 (s) | 1.57 (s) | 1.59 (s) | 1.32 (s) | 1.54 (s) |
| 20 | 5.28 (br q, 6.0 Hz) | 4.61 (br q, 6.0 Hz) | 5.11 (br q, 6.1 Hz) | 4.09 (br q, 6.4 Hz) | 5.28 (m) | 5.28 (br q, 6.2Hz) |
| 21 | 1.54 (d, 6.0 Hz) | 1.21 (d, 6.0 Hz) | 1.48 (d, 6.1 Hz) | 1.36 (d, 6.4 Hz) | 1.57 (d, 5.8 Hz) | 1.56 (d, 6.2 Hz) |
| Cinnamoyl moiety | ||||||
| 2' | 6.51 (d, 16 Hz) | 5.96 (d, 16 Hz) | 6.74 (d, 16 Hz) | 6.97 (d, 16 Hz) | 6.50 (d, 16 Hz) | 6.51 (d, 16 Hz) |
| 3' | 7.80 (d, 16 Hz) | 7.30 (d, 16 Hz) | 7.93 (d, 16 Hz) | 8.14 (d, 16 Hz) | 7.87 (d, 16 Hz) | 7.80 (d, 16 Hz) |
| 5', 9' | 7.35 (m) | 7.27 (m) | 7.66 (m) | 7.52 (m) | 7.35 (m) | 7.37 (m) |
| 6', 8' | 7.33 (m) | 7.10 (m) | 7.41 (m) | 7.32 (m) | 7.33 (m) | 7.31 (m) |
| 7' | 7.35 (m) | 7.27 (m) | 7.40 (m) | 7.33 (m) | 7.35 (m) | 7.37 (m) |
| (E)-2-Methyl-2-butenoyl or benzoyl moiety | ||||||
| 3'' | 8.21 (d, 7.6 Hz) | 7.90 (d, 7.2 Hz) | 7.00 (d, 7.3 Hz) | 8.23 (d, 7.2 Hz) | 8.21 (d, 7.2 Hz) | |
| 4'' | 7.30 (m) | 7.35 (m) | 1.51 (d, 7.3 Hz) | 7.39 (m) | 7.32 (m) | |
| 5'' | 7.50 (m) | 7.60 (m) | 1.78 (s) | 7.56 (m) | 7.53 (m) | |
| 6'' | 7.30 (m) | 7.35 (m) | 7.39 (m) | 7.32 (m) | ||
| 7'' | 8.21 (d, 7.6 Hz) | 7.90 (d, 7.2 Hz) | 8.23 (d, 7.2 Hz) | 8.21 (d, 7.2 Hz) | ||
(a) Measured at 500 MHz; (b) DMSO-d6 as solvent.
Table 2.
13C-NMR (100 MHz) of the aglycones of compounds 1–5 (in pyridine-d5).
| NO. | δC | |||||
|---|---|---|---|---|---|---|
| 1 (a) | 1 (a),(b) | 2 | 3 | 4 | 5 (a) | |
| 1 | 27.6 (t) | 26.6 (t) | 27.5 (t) | 27.6 (t) | 38.7 (t) | 27.6 (t) |
| 2 | 26.5 (t) | 25.2 (t) | 26.5 (t) | 26.5 (t) | 29.8 (t) | 26.5 (t) |
| 3 | 74.9 (d) | 73.3 (d) | 74.9 (d) | 74.9 (d) | 77.5 (d) | 74.9 (d) |
| 4 | 39.0 (t) | 37.4 (t) | 39.0 (t) | 39.0 (t) | 39.1 (t) | 39.1 (t) |
| 5 | 74.7 (s) | 72.6 (s) | 74.7 (s) | 74.8 (s) | 139.1 (s) | 74.7 (s) |
| 6 | 136.7 (d) | 135.4 (d) | 136.6 (d) | 136.1 (d) | 119.3 (d) | 136.7 (d) |
| 7 | 127.3 (d) | 124.0 (d) | 127.3 (d) | 127.6 (d) | 34.8 (t) | 127.3 (d) |
| 8 | 74.0 (s) | 72.6 (s) | 74.0 (s) | 73.8 (s) | 74.2 (s) | 74.0 (s) |
| 9 | 36.6 (d) | 34.9 (d) | 36.5 (d) | 36.6 (d) | 44.0 (d) | 36.6 (d) |
| 10 | 39.6 (s) | 38.3 (s) | 39.6 (s) | 39.6 (s) | 37.2 (s) | 39.6 (s) |
| 11 | 23.6 (t) | 22.3 (t) | 23.7 (t) | 23.6 (t) | 25.6 (t) | 23.6 (t) |
| 12 | 75.8 (d) | 74.2 (d) | 75.6 (d) | 75.9 (d) | 74.6 (d) | 75.8 (d) |
| 13 | 58.1 (s) | 56.8 (s) | 57.9 (s) | 58.1 (s) | 57.0 (s) | 58.1 (s) |
| 14 | 88.2 (s) | 87.1 (s) | 88.1 (s) | 88.9 (s) | 88.9 (s) | 88.2 (s) |
| 15 | 33.1 (t) | 32.1 (t) | 33.1 (t) | 33.3 (t) | 33.7 (t) | 33.1 (t) |
| 16 | 34.3 (t) | 33.5 (t) | 34.2 (t) | 33.5 (t) | 34.0 (t) | 34.3 (t) |
| 17 | 87.7 (s) | 86.5 (s) | 87.7 (s) | 87.9 (s) | 87.5 (s) | 87.7 (s) |
| 18 | 12.4 (q) | 11.6 (q) | 12.3 (q) | 12.7 (q) | 11.5 (q) | 12.5 (q) |
| 19 | 21.5 (q) | 20.9 (q) | 21.5 (q) | 21.6 (q) | 17.9 (q) | 21.6 (q) |
| 20 | 75.3 (d) | 73.9 (d) | 74.4 (d) | 70.4 (d) | 75.8 (d) | 75.3 (d) |
| 21 | 15.6 (q) | 15.0 (q) | 15.5 (q) | 19.6 (q) | 15.3 (q) | 15.6 (q) |
| Cinnamoyl moiety | ||||||
| 1' | 166.8 (s) | 165.5 (s) | 166.7 (s) | 167.0 (s) | 166.8 (s) | 166.8 (s) |
| 2' | 120.1 (d) | 118.9 (d) | 120.3 (d) | 119.6 (d) | 120.3 (d) | 120.2 (d) |
| 3' | 143.9 (d) | 143.2 (d) | 143.7 (d) | 145.2 (d) | 143.8 (d) | 143.9 (d) |
| 4' | 134.8 (s) | 133.9 (s) | 134.8 (s) | 134.9 (s) | 134.9 (s) | 134.8 (s) |
| 5', 9' | 128.5 (d) | 128.0 (d) | 128.5 (d) | 128.6 (d) | 128.5 (d) | 128.5 (d) |
| 6', 8' | 129.1 (d) | 128.8 (d) | 129.2 (d) | 129.2 (d) | 129.1 (d) | 129.1 (d) |
| 7' | 130.4 (d) | 130.1 (d) | 130.5 (d) | 130.5 (d) | 130.4 (d) | 130.4 (d) |
| (E)-2-Methyl-2-butenoyl or benzoyl moiety | ||||||
| 1'' | 165.6 (s) | 164.6 (s) | 166.7 (s) | 165.6 (s) | 165.6 (s) | |
| 2'' | 131.2 (d) | 130.3 (d) | 129.4 (s) | 131.2 (d) | 131.2 (d) | |
| 3'' | 130.2 (d) | 129.4 (d) | 137.7 (d) | 130.2 (d) | 130.2 (d) | |
| 4'' | 128.7 (d) | 128.5 (d) | 14.1 (q) | 128.7 (d) | 128.7 (d) | |
| 5'' | 133.2 (d) | 133.1 (d) | 12.2 (q) | 133.2 (d) | 133.2 (d) | |
| 6'' | 128.7 (d) | 128.5 (d) | 128.7 (d) | 128.7 (d) | ||
| 7'' | 130.2 (d) | 129.4 (d) | 130.2 (d) | 130.2 (d) | ||
(a) Measured at 125 MHz; (b) DMSO-d6 as solvent.
The 13C-NMR spectrum gave signals of an (E)-cinnamoyl at δC 166.8 (C-1'), 120.1 (C-2'), 143.9 (C-3'), 134.8 (C-4') 128.5 (C-5',9'), 129.1 (C-6',8') and 130.4 (C-7'), and a benzoyl group at δC 165.6 (C-1''). 131.2 (C-2''), 130.2 (C-3'',7''), 128.7 (C-4'',6'') and 133.2 (C-5''). The locations of the cinnamoyl on C-12 and the benzoyl on C-20 were confirmed by the HMBC experiment which was demonstrated by correlations from δH 5.38 (H-12) to C-1' (δC 166.8) and δH 5.28 (H-20) to C-1'' (δC 165.6). Based on above evidence, the aglycone part of compound 1 was determined to be 12-O-(E)-cinnamoyl-20-O-benzoyl-(20S)-pregn-6-ene-3β,5α,8β,12β,14β,17β,20-heptol.
The 1H-NMR spectrum (Table 3) of 1 displayed five anomeric proton signals at δH 5.17 (brd, J = 10.9 Hz, 1H), 4.68 (brd, J = 9.6 Hz, 1H), 4.88 (d, J = 7.8 Hz, 1H), 5.09 (d, J = 7.8 Hz, 1H) and 5.20 (d, J = 7.8 Hz, 1H), indicating the existence of five β-configurated glycosyl linkages. The methyl signals at δH 1.39 (d, J = 6.0 Hz, 3H), 1.64 (d, J = 5.2 Hz, 3H) and 1.75 (d, J = 5.6 Hz, 3H) and the COSY data suggested the presence of three 6-deoxysugars. Since some of the sugar signals were seriously overlapped, compound 1 was subjected to enzymatic hydrolysis catalyzed by β-glucosidase, which afforded compound 5.
Compound 5 was a colorless powder. Its HRESIMS spectrum showed a pseudo-molecular ion peak at m/z 1,260.6208 [M+NH4]+ (calcd. 1,260.6166), corresponding to a molecular weight of 1242, 162 mass number less than that of compound 1. The 1H- and 13C-NMR data of 5 were nearly identical to that of 1 except the loss of the anomeric proton at δH 5.20 (1H, d, J = 7.8 Hz) and a set of oxymethine signals, which were assignable to a terminal glucose group.
Starting from the anomeric protons at δH 5.17, 4.68, 4.88 and 5.14, the signals of four sugar fragments (S1–S4) in the glycosyl moiety of 5 were assigned by analysis of the HMQC-TOCSY spectrum (Figure 2) combined with the HMQC and COSY data.
The glycosyl moiety was found being composed of a β-linked terminal glucose and three β-linked deoxy-sugars (see Table 3 and Table 4). In the HMBC spectrum, three methoxy groups (δH 3.52, S1-OCH3; 3.51, S2-OCH3 and 3.94, S3-OCH3) were correlated with the carbon signals at δC 77.7 (S1-C-3), 79.1 (S2-C-3) and 86.2 (S3-C-3), indicating that each of the deoxy-sugars bore a methoxy group on C-3. Identification of the deoxy-sugars was reached by inspection of the NOE spectra (Figure 3). Nuclear Overhauser Effects were observed between the anomeric proton at δH 5.17 (S1-H-1) and the signals at δH 4.16 (S1-H-5), 2.23 (S1-H-2) and 3.52 (S1-OCH3), suggesting that S1 is a β-cymaropyranose. Similarly S2 and S3 were identified as β-oleandropyranose and β-thevetopyranose. As regards the configuration of the deoxy-sugars, previous studies revealed that all the β-linked 2-deoxysugars have the D-configuration, whereas the α-linked sugars are mostly l-sugars [34]. Further, chemical shift values for C-2 of the 2-deoxysugars (cymarose, oleandrose and digitoxose) can be used as argument to determine its configuration [35]. The chemical shift of C-2 in the l-sugars is less than 35.0 ppm, but that of C-2 in the D-sugars appears above 36.0 ppm [36,37,38,39]. In the case of compound 5, the two 2-deoxysugars were β-linked and their C-2 signals occurred at δC 36.7 and 37.5, respectively. The cymarose and oleandrose moieties had thus D-configuration. Configuration of the β-thevetopyranosyl unit was presumed to be D-form because its NMR data were close to those in the literature [40,41,42] and l-thevetopyranose [43] is rarely found in Nature.
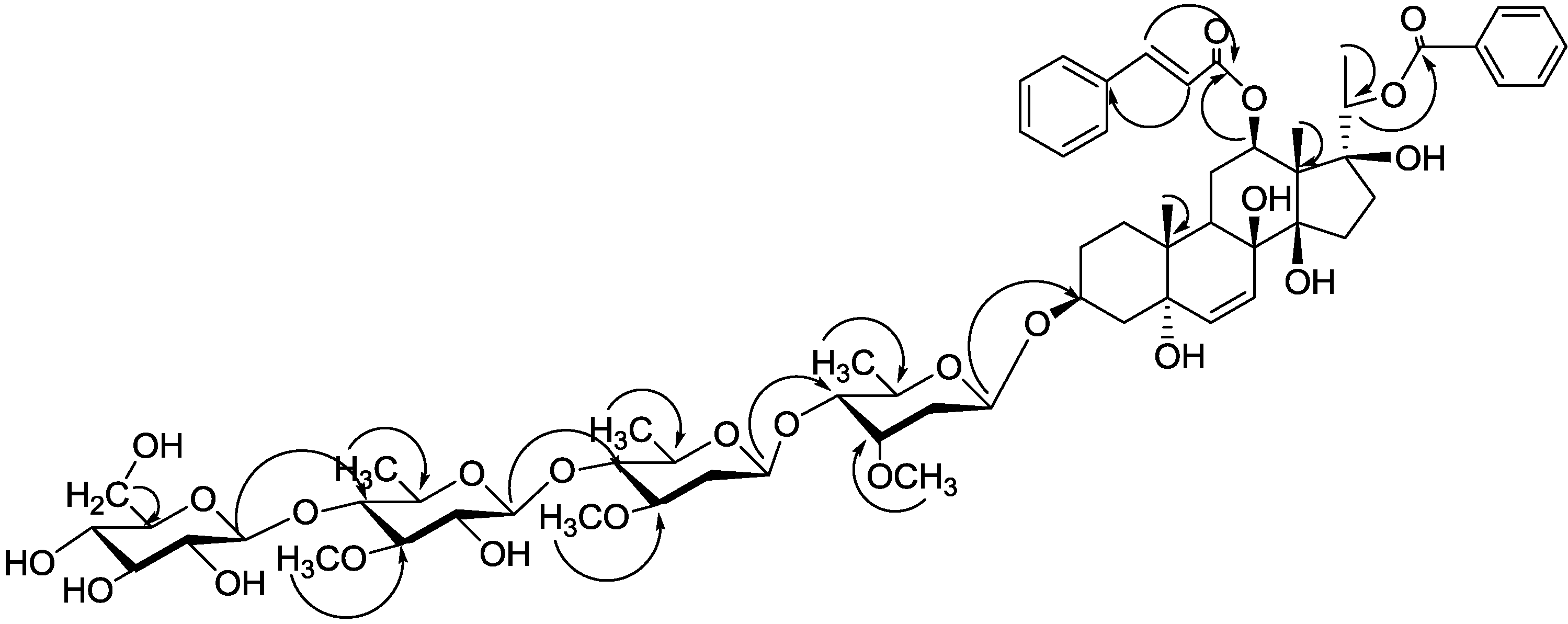
The sequential lingkage of the four sugars shown in Figure 3 was deduced from the NOE correlations between S2-H-1/S1-H-4, S3-H-1/S2-H-4 and S4-H-1/S3-H-4 and the HMBC (Figure 4) cross peaks between S2-H-1/S1-C-4 (δC 83.0), S3-H-1/S2-C-4 (δC 83.1) and S4-H-1/S3-C-4 (δC 83.2). This was confirmed by comparison of the NMR data of the sugar moiety with that of verticilloside A [44], which carried the same glycosyl moiety. Based on above evidences, the structure of compound 5 is elucidated as 12-O-(E)-cinnamoyl-20-O-benzoyl-(20S)-pregn-6-ene-3β,5α,8β,12β,14β,17β,20-heptol, 3-O-β-d-glucopyranosyl-(1→4)-β-d-thevetopyranosyl-(1→4)-β-d-oleandropyranosyl-(1→4)-β-d-cymaropyranoside, named gymsylvestroside E.
Table 3.
1H-NMR (400 MHz) of the glycosyl part of compounds 1–5 (in pyridine-d5, J in Hz).
| Sugar | NO. | δH (J in Hz) | ||||
|---|---|---|---|---|---|---|
| 1 (a) | 2 | 3 | 4 | 5 (a) | ||
| Cym | 1 | 5.17 (brd, 10.9 Hz) | 5.17 (brd, 10.9 Hz) | 5.17 (brd, 10.9 Hz) | 5.29 (brd, 10.9 Hz) | 5.17 (brd, 10.5 Hz) |
| 2a | 1.73 (m) | 1.73 (m) | 1.73 (m) | 1.89 (m) | 1.73 (m) | |
| 2b | 2.20 (m) | 2.20 (m) | 2.23 (m) | 2.31 (m) | 2.23 (m) | |
| 3 | 3.98 (m) | 3.98 (m) | 3.98 (m) | 3.98 (m) | 3.98 (m) | |
| 4 | 3.43 (m) | 3.43 (m) | 3.43 (m) | 3.43 (m) | 3.42 (m) | |
| 5 | 4.16 (m) | 4.16 (m) | 4.16 (m) | 4.16 (m) | 4.16 (m) | |
| 6 | 1.39 (d, 6.0 Hz) | 1.39 (d, 6.0 Hz) | 1.39 (d, 6.0 Hz) | 1.46 (d, 6.0 Hz) | 1.39 (d, 6.0 Hz) | |
| OMe | 3.52 (s) | 3.52 (s) | 3.52 (s) | 3.59 (s) | 3.52 (s) | |
| Ole | 1 | 4.68 (brd, 9.6 Hz) | 4.68 (brd, 9.6 Hz) | 4.68 (brd, 9.6 Hz) | 4.70 (brd, 9.6 Hz) | 4.68 (brd, 9.6 Hz) |
| 2a | 2.47 (m) | 2.47 (m) | 2.46 (m) | 2.49 (m) | 2.48 (m) | |
| 2b | 1.73 (m) | 1.73 (m) | 1.73 (m) | 1.76 (m) | 1.73 (m) | |
| 3 | 3.57 (m) | 3.57 (m) | 3.57 (m) | 3.57 (m) | 3.57 (m) | |
| 4 | 3.59 (m) | 3.59 (m) | 3.59 (m) | 3.59 (m) | 3.52 (m) | |
| 5 | 3.55 (m) | 3.58 (m) | 3.55 (m) | 3.51 (m) | 3.51 (m) | |
| 6 | 1.64 (d, 5.2 Hz) | 1.64 (d, 5.2 Hz) | 1.64 (d, 5.2 Hz) | 1.68 (d, 5.2 Hz) | 1.64 (d, 5.2 Hz) | |
| OMe | 3.50 (s) | 3.51 (s) | 3.51 (s) | 3.51 (s) | 3.51 (s) | |
| The | 1 | 4.88 (d, 7.8 Hz) | 4.88 (d, 7.6 Hz) | 4.88 (d, 7.6 Hz) | 4.88 (d, 7.6 Hz) | 4.88 (d, 7.6 Hz) |
| 2 | 3.90 (m) | 3.90 (m) | 3.90 (m) | 3.90 (m) | 3.90 (m) | |
| 3 | 3.67 (m) | 3.68 (m) | 3.67 (m) | 3.67 (m) | 3.69 (m) | |
| 4 | 3.83 (m) | 3.83 (m) | 3.83 (m) | 3.83 (m) | 3.88 (m) | |
| 5 | 3.75 (m) | 3.77 (m) | 3.75 (m) | 3.75 (m) | 3.75 (m) | |
| 6 | 1.75 (d, 5.6 Hz) | 1.76 (d, 5.6 Hz) | 1.75 (d, 5.6 Hz) | 1.75 (d, 5.6 Hz) | 1.75 (d, 5.6 Hz) | |
| OMe | 3.91 (s) | 3.82 (s) | 3.82 (s) | 3.91 (s) | 3.94 (s) | |
| Glc | 1 | 5.09 (d, 7.8 Hz) | 5.09 (d, 7.8 Hz) | 5.09 (d, 7.8 Hz) | 5.09 (d, 7.8 Hz) | 5.14 (d, 7.8 Hz) |
| 2 | 4.02 (m) | 4.02 (m) | 4.02 (m) | 4.02 (m) | 4.04 (m) | |
| 3 | 4.28 (m) | 4.28 (m) | 4.28 (m) | 4.28 (m) | 4.25 (m) | |
| 4 | 4.31 (m) | 4.31 (m) | 4.30 (m) | 4.31 (m) | 4.23 (m) | |
| 5 | 3.93 (m) | 3.93 (m) | 3.93 (m) | 3.93 (m) | 3.98 (m) | |
| 6a | 4.30 (m) | 4.30 (m) | 4.30 (m) | 4.30 (m) | 4.32 (m) | |
| 6b | 4.50 (m) | 4.50 (m) | 4.50 (m) | 4.50 (m) | 4.54 (m) | |
| Glc | 1 | 5.20 (d, 7.8 Hz) | 5.20 (d, 8.5 Hz) | 5.20 (d, 8.5 Hz) | 5.20 (d, 8.5 Hz) | |
| 2 | 4.10 (m) | 4.10 (m) | 4.10 (m) | 4.10 (m) | ||
| 3 | 4.23 (m) | 4.23 (m) | 4.23 (m) | 4.23 (m) | ||
| 4 | 4.19 (m) | 4.16 (m) | 4.19 (m) | 4.19 (m) | ||
| 5 | 4.04 (m) | 4.04 (m) | 4.04 (m) | 4.04 (m) | ||
| 6a | 4.30 (m) | 4.32 (m) | 4.30 (m) | 4.31 (m) | ||
| 6b | 4.53 (m) | 4.53 (m) | 4.53 (m) | 4.53 (m) | ||
(a) Measured at 500 MHz; Cym: β-d-cymaropyranosyl, Ole: β-d-oleandropyranosyl, The: β-d-thevetopyranosyl, Glc: β-d-glucopyranosyl.
Table 4.
13C (100 MHz) NMR of the glycosyl part of compounds 1–5 (in pyridine-d5).
| Sugar | NO. | δC | |||||
|---|---|---|---|---|---|---|---|
| 1 (a) | 2 | 3 | 4 | 5 (a) | |||
| Cym | 1 | 97.7 (d) | 97.6 (d) | 97.7 (d) | 96.3 (d) | 97.7 (d) | |
| 2 | 36.7 (t) | 36.7 (t) | 36.7 (t) | 37.2 (t) | 36.7 (t) | ||
| 3 | 77.7 (d) | 77.6 (d) | 77.7 (d) | 77.8 (d) | 77.7 (d) | ||
| 4 | 83.0 (d) | 83.0 (d) | 83.0 (d) | 83.2 (d) | 83.0 (d) | ||
| 5 | 68.9 (d) | 68.9 (d) | 68.9 (d) | 68.8 (d) | 68.9 (d) | ||
| 6 | 18.5 (q) | 18.4 (q) | 18.5 (q) | 18.4 (q) | 18.5 (q) | ||
| OMe | 58.7 (q) | 58.6 (q) | 58.7 (q) | 58.8 (q) | 58.7 (q) | ||
| Ole | 1 | 101.8 (d) | 101.8 (d) | 101.8 (d) | 101.8 (d) | 101.8 (d) | |
| 2 | 37.5 (t) | 37.5 (t) | 37.5 (t) | 37.6 (t) | 37.5 (t) | ||
| 3 | 79.1 (d) | 79.1 (d) | 79.2 (d) | 79.2 (d) | 79.1 (d) | ||
| 4 | 83.2 (d) | 83.2 (d) | 83.2 (d) | 83.4 (d) | 83.1 (d) | ||
| 5 | 71.9 (d) | 71.8 (d) | 71.8 (d) | 71.8 (d) | 71.9 (d) | ||
| 6 | 18.6 (q) | 18.6 (q) | 18.6 (q) | 18.6 (q) | 18.6 (q) | ||
| OMe | 57.3 (q) | 57.3 (q) | 57.3 (q) | 57.3 (q) | 57.4 (q) | ||
| The | 1 | 103.9 (d) | 104.0 (d) | 103.9 (d) | 103.9 (d) | 104.0 (d) | |
| 2 | 74.9 (d) | 74.9 (d) | 74.8 (d) | 74.9 (d) | 74.8 (d) | ||
| 3 | 86.3 (d) | 86.3 (d) | 86.3 (d) | 86.3 (d) | 86.2 (d) | ||
| 4 | 83.3 (d) | 83.3 (d) | 83.4 (d) | 83.4 (d) | 83.2 (d) | ||
| 5 | 71.9 (d) | 71.8 (d) | 71.9 (d) | 71.9 (d) | 71.9 (d) | ||
| 6 | 18.7 (q) | 18.7 (q) | 18.7 (q) | 18.7 (q) | 18.7 (q) | ||
| OMe | 60.6 (q) | 60.6 (q) | 60.6 (q) | 60.6 (q) | 60.6 (q) | ||
| Glc | 1 | 104.5 (d) | 104.5 (d) | 104.6 (d) | 104.6 (d) | 104.8 (d) | |
| 2 | 75.3 (d) | 75.3 (d) | 75.3 (d) | 75.3 (d) | 75.8 (d) | ||
| 3 | 76.8 (d) | 76.8 (d) | 76.8 (d) | 76.8 (d) | 78.6 (d) | ||
| 4 | 81.5 (d) | 81.5 (d) | 81.5 (d) | 81.5 (d) | 71.9 (d) | ||
| 5 | 76.2 (d) | 76.2 (d) | 76.2 (d) | 76.2 (d) | 78.1 (d) | ||
| 6 | 62.3 (t) | 62.2 (t) | 62.3 (t) | 62.3 (t) | 63.0 (t) | ||
| Glc | 1 | 104.9 (d) | 104.9 (d) | 104.9 (d) | 104.9 (d) | ||
| 2 | 74.7 (d) | 74.7 (d) | 74.9 (d) | 74.7 (d) | |||
| 3 | 78.2 (d) | 78.2 (d) | 78.2 (d) | 78.2 (d) | |||
| 4 | 71.5 (d) | 71.5 (d) | 71.5 (d) | 71.4 (d) | |||
| 5 | 78.4 (d) | 78.4 (d) | 78.4 (d) | 78.4 (d) | |||
| 6 | 62.4 (t) | 62.3 (t) | 62.4 (t) | 62.4 (t) | |||
(a) Measured at 125 MHz; Cym: β-d-cymaropyranosyl, Ole: β-d-oleandropyranosyl, The: β-d-thevetopyranosyl, Glc: β-d-glucopyranosyl.
As mentioned above, compound 5 was derived from 1 by removing a terminal glucose. In the HMBC spectrum of 1, the anomeric proton (δH 5.20, d, J = 7.8 Hz, 1H) of the terminal glucose was correlated with S4-C-4 (δC 81.5). The signals of S4-C-3, S4-C-4 and S4-C-5 exhibited glycosylation shifts of Δ −1.8 ppm, +9.6 ppm and −1.9 ppm, respectively. The terminal glucose was therefore determined to locate on C-4 of another glucose moiety. These evidences allowed to elucidate the structure of compound 1 as 12-O-(E)-cinnamoyl-20-O-benzoyl-(20S)-pregn-6-ene-3β,5α,8β,12β,14β,17β,20-heptol, 3-O-β-d-glucopyranosyl-(1→4)-β-d-glucopyranosyl-(1→4)-β-d-thevetopyranosyl-(1→4)-β-d-oleandropyranosyl-(1→4)-β-d-cymaropyranoside, named gymsylvestroside A.
Figure 2.
The HMQC-TOCSY spectrum of the glycosyl part of 5.
Figure 3.
Key NOE of the sugars of 5.
Figure 4.
Key HMBC correlations of 5.
Compound 2 was isolated as a colorless powder. Its molecular formula was determined to be C68H102O29 by HRESIMS m/z 1,383.6593 [M+H]+ (calcd. 1,383.6585). Comparing to the 13C-NMR data of 1, the benzoyl signals at δC 133.2, 128.7 (overlapped), 130.2 (overlapped), 131.2 and 165.6 disappeared in the spectrum of 2, while signals for another acyl group were observed at δC 12.2, 14.1, 129.4, 137.7 and 166.7. This group was identified as 2-methyl-2-butenoyl by inspection of the 1H,1H-COSY, HMQC and HMBC spectra and comparison with reported data [31,32,33]. The HMBC coupling between H-20 (δH 5.11) and the carbonyl carbon (δC 166.7) of the 2-methyl-2-butenoyl group confirmed the connection of this group to C-20. The 1H-NMR showed five anomeric proton signals at δH 5.17 (brd, J = 10.9 Hz), 4.68 (brd, J = 9.6 Hz), 4.88 (d, J = 7.8 Hz), 5.09 (d, J = 7.8 Hz) and 5.20 (d, J = 7.8 Hz). The nearly identical NMR data of the sugars and the HMBC correlations between δH 5.17/δC 74.9 (C-3), δH 4.68/δC 83.0 (cym-C-4), δH 4.88/δC 83.2 (ole-C-4), δH 5.09/δC 83.3 (the-C-4) and δH 5.20/δC 81.5 (glu-C-4) indicated that compound 2 carried the same sugar moiety as that of 1. The structure of 2 was thus established as 12-O-(E)-cinnamoyl-(20S)-O-(E)-2-methyl-2-butenoyl-(20S)-pregn-6-ene-3β,5α,8β,12β,14β,17β,20-heptol, 3-O-β-d-glucopyranosyl-(1→4)-β-d-glucopyranosyl-(1→4)-β-d-thevetopyranosyl-(1→4)-β-d-oleandropyranosyl-(1→4)-β-d-cymaropyranoside, named gymsylvestroside B.
Compound 3, a colorless powder, was designated a molecular formula of C63H96O28, based on the pseudo-molecular ion peak at m/z 1,323.5978 [M+Na]+ (calcd. 1,323.5986) in its HRESIMS spectrum. The NMR data of 3 were almost identical to those of 1 (Table 1, Table 2, Table 3 and Table 4), except for the loss of the signals of the benzoyl group. Comparing to the data of 1, the C-21 signal (δC 19.6) in the spectrum of 3 moved 3 ppm downfield and the C-20 (δC 70.4) shifted 4.9 ppm upfield, showing the presence of a free hydroxyl group on C-20. Further analysis of the 2D NMR data elucidated the structure of compound 3 as 12-O-(E)-cinnamoyl-(20S)-pregn-6-ene-3β,5α,8β,12β,14β,17β,20-heptol, 3-O-β-d-glucopyranosyl-(1→4)-β-d-glucopyranosyl-(1→4)-β-d-thevetopyranosyl-(1→4)-β-d-oleandropyranosyl-(1→4)-β-d-cymaropyranoside, named gymsylvestroside C.
Compound 4 was obtained as a colorless powder. Its HRESIMS data (m/z 1,411.6318 [M+Na]+, calcd. 1411.6299) suggested a molecular formula of C70H100O28, which has one oxygen less than that of compound 1. The 1H- and 13C-NMR data of 4 were only slightly different from that of 1. The C-5 signal (δC 74.7) of 1 disappeared in the 13C-NMR spectrum of 4, while an additional methene signal occured at δC 34.8 (C-7). The signals of the double bond in the pregnane skeleton shifted to δC 119.3 and 139.1. The 1H-NMR of 4 displayed an olefinic proton at δH 5.36 (H-6), which correlated in the HMBC spectrum with the methyl carbon at δC 37.2 (C-10). The signal of Me-19 (δH 1.32) showed HMBC correlation with a disubstituted vinyl carbon at δC 139.1. These facts concluded the presence of a double bond between C-5 and C-6. Comparing to the reported data for gymnpregoside F [33], the pregnane skeleton of 4 was determined to be (20S)-pregn-5-ene-3β,17β,14β,12β,5α,8β,20-heptol. Detailed investigation of the 1D and 2D NMR spectra of 4 revealed the presence of signals of a cinnamoyl, a benzoyl group and the same sugar moiety as in 1. The location of the cinnamoyl at C-12, the benzoyl at C-20 and the sugar moiety at C-3 was confirmed by the HMBC correlations from δH 5.25 (H-12) to δC 166.8, δH 5.28 (H-20) to δC 165.6 and δH 5.29 (S1-H-1) to δC 77.5. The structure of 4 could thus be determined as 12-O-(E)-cinnamoyl-20-O-benzoyl-(20S)-pregn-5-ene-3β,17β,14β,12β,5α,8β,20-heptol, 3-O-β-d-glucopyranosyl-(1→4)-β-d-glucopyranosyl-(1→4)-β-d-thevetopyranosyl-(1→4)-β-d-oleandropyranosyl-(1→4)-β-d-cymaropyranoside, named gymsylvestroside D.
2.2. Biological Activity Assay
The Saccharomces cerevisiae α-glucosidase inhibition activities of compounds 1–4 were assayed using p-nitrophenyl-α-d-glucopyranoside (pNPG) as substrate and acarbose (J&K) as positive control. Compounds 1–4 did not show significant inhibitory effect (Table 5).
Table 5.
The inhibitory activity of the compounds 1–4.
| Sample | Concentration | OD | Inhibition Ratio |
|---|---|---|---|
| (mg/mL) | Average ± RSD | (%) | |
| Negetive control | 0 | 1.8573 ± 0.0129 | |
| Compound 1 | 1.02 | 1.7661 ± 0.0077 | 4.9 |
| Compound 2 | 1.07 | 1.7860 ± 0.0033 | 3.8 |
| Compound 3 | 1.11 | 1.7356 ± 0.0025 | 6.6 |
| Compound 4 | 1.16 | 1.7901 ± 0.0029 | 3.6 |
| Acarbose | 0.50 | 1.3654 ± 0.0026 | 26 |
3. Experimental
3.1. General Procedures
Optical rotations were measured on an Optical Activity Limited polAAr 3005 spectropolarimeter (Optical Activity Limited, Ramsey, UK). IR and UV spectra were taken out on a Nicolet-Is5 infrared spectrometer (Thermo Fisher, Boston, MA, USA) and a Cintra-20 UV-Vis spectrometer (GBC, Melbourne, Australia), respectively. HRESIMS was obtained with Waters G2 Q-TOF (Waters, Milford, MA, USA) or Agilent 6520 Q-TOF (Agilent Technologies, Santa Clara, CA, USA) mass spectrometer. 1D and 2D NMR spectra were recorded with JNM-ECA-400 (JEOL Ltd., Tokyo, Japan) or Bruker AVANCE III 500 (Bruker Biospin, Switzerland) superconducting NMR spectrometer. TMS and pyridine-d5 were used as internal standards for 1H- and 13C-NMR measurements, respectively. Preparative HPLC was carried out with Waters Autopurification System (Waters). YMC-PACK ODS-A (S-5 um, 20 × 250 mm; YMC Co. Ltd., Kyoto, Japan) column was used in preparative HPLC. Microplate reader-MaxM5 (Molecular Devices, Santa Clara, CA, USA) was used to determine the absorbance of the enzymatic reaction. Silica gel (SiO2; 200–300 mesh; Qingdao Marine Chemical Inc., Qingdao, China), MCI GEL resin (50 um; Mitsubishi Plastics, Tokyo, Japan) and D-101 macroporous resin (16–60 mesh; Nankai University Chemical Plant, Tianjin, China) were used for column chromatography. Acarbose (lot No. 298087) was purchased from J&K Scientific Co. Ltd. α-Glucosidases (lot No. 1001604919) and p-nitrophenyl-α-d-glucopyranodase (pNPG) (lot No. 101381642) were purchased from Sigma Chemical Co. (St. Louis, MO, USA). β-Glucosidases (Aspergillus niger) was provided by Baiping Ma (Institute of Radiation Medicine, Academy for Military Medical Science). The other chemicals used in this study were of analytical grade.
3.2. Plant Materials
The stems of G. sylvestre were obtained from the Exhibition Center of Guangxi University of Chinese Medicine in August, 2010 and identified as G. sylvestre by Professor Wenhui Tan at Guangxi University of Chinese Medicine. A voucher specimen was preserved at the herbarium of Institute of Pharmacology and Toxicology with the reference number Gs201008002.
3.3. Extraction and Isolation
The dried stems (20 kg) of G. sylvestre were extracted with 50% ethanol three times (120 L × 1 h each). Concentration of the combined extracts under reduced pressure afforded 2 kg dry mass. The concentrate was suspended in water and extracted with n-butanol to give an n-butanol soluble extract (750 g) which was adsorbed on a macroporous resin column. The column was washed at first with water, and then eluted with 15%, 30%, 50%, 70% and 95% ethanol successively. The eluate (120 g) of 50% ethanol was fractionated on a silica gel column, eluting sequentially with chloroform/methanol (20:1-1:5, v/v) to give six fractions (A1-A6). Fraction A4 (6 g) was dissolved in water and adsorbed with a MCI resin using aqueous methanol (0-45%) as elute, giving fractions A4-1-A4-5. Separation of A4-3 (2 g) by preparative HPLC with an ODS-A column (20 × 250 mm), eluting with MeOH/H2O (80:20) gave compound 1 (900 mg) and 2 (100 mg). HPLC separation of A4-4 (500 mg) using MeOH/H2O (60:40) as eluent afforded compound 3 (60 mg) and 4 (80 mg). Compound 5 (70 mg) was isolated from the hydrolysate after enzymatic hydrolysis of compound 1 (200 mg). Compounds 2 and 5 were further purified by preparative HPLC eluting with MeOH/H2O (75:25) to give 92 mg and 63 mg purified products for each compound. Compounds 3 and 4 were processed similarly by preparative HPLC using MeOH/H2O (55:45) as eluent, and each afforded 48 mg and 70 mg purified products, respectively.
3.4. Isolated Compounds
Compound 1: colorless powder. +80.8 (c 1.09, MeOH). HRESIMS m/z: 1422.6627 [M+NH4]+ (1422.6694 calcd for C70H104O29N). UV (MeOH) λmax (log ε) 205.2 (1.84), 223.2 (1.87), 278.6 (1.81) nm. IR (film) cm−1: 3447, 1718, 1642, 1289, 1034. 1H-NMR and 13C-NMR: See Table 1, Table 2, Table 3 and Table 4.
Compound 2: colorless powder. [α] +71.0 (c 1.44, MeOH). HRESIMS m/z: 1383.6593 [M+H]+ (1383.6585 calcd for C68H103O29). UV (MeOH) λmax (log ε) 217.2 (1.84), 278.6 (1.77) nm. IR (film) cm−1: 3431, 2513, 2161, 1057. 1H-NMR and 13C-NMR: See Table 1, Table 2, Table 3 and Table 4.
Compound 3: colorless powder. [α] +35.8 (c 1.30, MeOH). HRESIMS m/z: 1323.5978 [M+Na]+ (1323.5986 calcd for C63H96O28Na). UV (MeOH) λmax (log ε) 206.9 (1.81), 216.3 (1.82), 277.8 (1.84) nm. IR (film) cm−1: 3425, 3932, 2164, 1709, 1167, 1066. 1H-NMR and 13C-NMR: See Table 1, Table 2, Table 3 and Table 4.
Compound 4: colorless powder. [α] +90.8 (c 1.05, MeOH). HRESIMS m/z: 1411.6318 [M+Na]+ (1411.6299 calcd for C70H100O28Na). UV (MeOH) λmax (log ε) 206.1 (1.86), 223.2 (1.90), 279.5 (1.86) nm. IR (film) cm−1: 3446, 2937, 2518, 2161, 1709, 1167, 1105. 1H-NMR and 13C-NMR: See Table 1, Table 2, Table 3 and Table 4.
3.5. Enzymatic Hydrolysis of Compound 1
Compound 1 (200 mg) was dissolved in 40mL water and then diluted with 50 mL acetic acid-sodium acetate buffer (pH = 4.97). After addition of 8 mL β-glucosidase (Aspergilus niger, 1 mg/mL), the solution was mixed well and incubated at 50 °C in a water bath for 24 h. The hydrolysate was loaded on a reversed-phase silica gel colunm and successively washed with water and methanol. The methanol eluate was purified by preparative HPLC to give compound 5 (70 mg).
3.6. α-Glucosidase Inhibitory Effect
The α-glucosidase (S. cerevisia) inhibitory effect of compounds 1–4 were determined using the method adopted previously by Hou et al. [45] The tested compounds (8 μL) were premixed with α-glucosidase (0.90 unite/mL, 20 μL) on a 96 wells microplate and diluted with 112 μL phosphate buffer (pH = 6.8). The reaction mixtures were incubated at 37 °C for 15 min and then 20 μL pNPG (2.45 mmol/mL) was added to start the reaction. After incubation for another 15 min at 37 °C, the reaction was stopped by adding 80 μL Na2CO3 (0.199 mmol/mL). The activity was determined by measuring the release of p-nitrophenol at 405 nm with a microplate reader. Acarbose was used as the positive control and DMSO (dimethyl sulfoxide) as the negative control. Inhibitory rates were calculated as follows:
Inhibition ratio (%) = [(ODnegative control − ODtest)/ODnegative control] × 100%
4. Conclusions
In this study, four new polyoxygenated pregnane glycosides carrying a complex pentasaccharide moiety were obtained from the 50% ethanol extract of the stem of G. sylvestre. Their structures were elucidated by intensive spectroscopic analysis with the help of enzymatic hydrolysis of the sugar chain. α-Glycosidase inhibitory activity of these compounds has been investigaed, but the observed data were statistically not significant.
Supplementary Materials
Supplementary materials can be accessed at: http://www.mdpi.com/1420-3049/20/02/3050/s1.
Acknowledgments
This work was financially supported by the National Science and Technology Major Project of China (No. 2013ZX09102-018 and 2012ZX09301003-001-004), the project of Beijing Municipal Science & Technology Commission (Z131100006513013) and AMMS (No. 2012CXJJ014). Thanks for the suggestions and comments of Baiping Ma, Institute of Radiation Medicine, Academy for Military Medical Science, and Zhiwei Deng., Analysis and Testing Center, Beijing Normal University. Thanks for the suggestions and comments of Baiping Ma, Institute of Radiation Medicine, Academy for Military Medical Science, and Zhiwei Deng., Analysis and Testing Center, Beijing Normal University.
Author Contributions
R.X. designed the study, did the isolation, identification, and drafted the manuscript. Y.Y. contributed in the interpretation of the spectra and also part of the preparation of the manuscript. Y.Z., F.X.R. and J.L.X. made available the laboratory, including equipment and consumables. N.J.Y. supervised the phytochemical work. Y.M.Z. supervised the phytochemical work and prepared the final manuscript.
Conflicts of Interest
The authors declare no conflict of interest.
References
- Hua, Q. The exploitation and utilization of Gymnema sylvestre. Wild Plant Resour. China 1993, 3, 35–36. [Google Scholar]
- Jiangsu college of traditional Chinese medicine. The Dictionary of Traditional Chinese Medicine; Shanghai Science and Technology Press: Shanghai, China, 1977; Volume 1, pp. 1246–1247. [Google Scholar]
- Campbell, T.N.; Roberts, J.R.; Frank, H.H. Medicinal plants used by the Choctaw, Chickasaw, and Creek Indians in the early nineteenth century. J. Wash. Acad. Sci. 1951, 41, 285–290. [Google Scholar]
- Baskaran, K.; Kizar, A.B.; Radha, S.K.; Shanmugasundaram, E.R. Antidiabetic effect of a leaf extract from Gymnema sylvestre in non-insulin-dependent diabetes mellitus patients. J. Ethnopharmacol. 1990, 30, 295–300. [Google Scholar] [CrossRef] [PubMed]
- Sugihara, Y.; Nojima, H.; Matsuda, H.; Murakami, T.; Yoshikawa, M.; Kimura, I. Antihyperglycemic effects of gymnemic acid IV, a compound derived from Gymnema sylvestre leaves in streptozotocin-diabetic mice. J. Asian. Nat. Prod. Res. 2000, 2, 321–327. [Google Scholar] [CrossRef] [PubMed]
- Miyoshi, M.; Imoto, T.; Kasagi, T. Antieurodonitic effect of various fractions extracted from the leaves of Gymnema sylvestre. Yonago Igaku Zasshi 1987, 38, 127–137. [Google Scholar]
- Komalavalli, N.; Rao, M.V. In vitro micropropagation of Gymnema sylvestre: A multipurpose medicinal plant. Plant Cell Tissue Organ Cult. 2000, 61, 97–105. [Google Scholar] [CrossRef]
- Kumar, V.; Bhandari, U.; Tripathi, C.D.; Khanna, G. Anti-obesity effect of Gymnema sylvestre extract on high fat diet-induced obesity in Wistar rats. Drug Res. (Stuttg. Ger.) 2013, 63, 625–632. [Google Scholar] [CrossRef]
- Reddy, R.M.I.; Latha, P.B.; Vijaya, T.; Rao, D.S. The saponin-rich fraction of a Gymnema sylvestre R.Br. aqueous leaf extract reduces cafeteria and high-fat diet-induced obesity. Z. Naturforsch. C Biosci. 2012, 67, 39–46. [Google Scholar] [CrossRef]
- Preuss, H.G.; Bagchi, D.; Bagchi, M.; Rao, C.V.S.; Dey, D.K.; Satyanarayana, S. Effects of a natural extract of (−)-hydroxycitric acid (HCA-SX) and a combination of HCA-SX plus niacin-bound chromium and Gymnema sylvestre extract on weight loss. Diabetes Obes. Metab. 2004, 6, 171–180. [Google Scholar] [CrossRef] [PubMed]
- Daisy, P.; Eliza, P.; Mohanmed, F.K. A novel dihydroxy gymnemic triacetate isolated from Gymnema sylvestre possessing normoglycemic and hypolipidemic activity on STZ induced diabetic rats. J. Ethnopharmacol. 2009, 126, 339–344. [Google Scholar] [CrossRef] [PubMed]
- Yoshikawa, K.; Amimoto, S.; Arihara, K.; Matsuura, K. Structure studies of new antisweet constituents from Gymnema sylvestre. Tetrahedron Lett. 1989, 30, 1103–1106. [Google Scholar] [CrossRef]
- Maeda, M.; Iwashita, T.; Kurihara, Y. Studies on taste modifiers. II. Purification and structure determination of gymnemic acids, antisweet active principle from Gymnema sylvestre leaves. Tetrahedron Lett. 1989, 30, 1547–1550. [Google Scholar] [CrossRef]
- Yoshikawa, K.; Kondo, Y.; Arihara, S.; Matsuura, K. Antisweet natural products. IX. Structures of gymnemic acids XV-XVIII from Gymnema sylvestre R. Br. V. Chem. Pharm. Bull. 1993, 41, 1730–1738. [Google Scholar] [CrossRef]
- Kiuchi, F.; Liu, H.M.; Tsuda, Y. Two new gymnemic acid congeners congtaining a hexulo pyranside moiety. Chem. Pharm. Bull. 1990, 38, 2326–2328. [Google Scholar] [CrossRef] [Green Version]
- Yoshikawa, K.; Nakagawa, M.; Yamamoto, R.; Arihara, S.; Matsuura, K. Antisweet natural products V. Structures of Gymnemic acids VIII-XIII from Gymnema sylvestre R. Br. Chem. Pharm. Bull. 1992, 40, 1779–1782. [Google Scholar] [CrossRef]
- Yoshikawa, K.; Arihara, S.; Matsuura, K. A new type antisweet principles occurring in Gymnem sylvestre (M). Tetrahedron Lett. 1991, 32, 789–792. [Google Scholar] [CrossRef]
- Yoshikawa, K.; Amimoto, K.; Arihara, S.; Matsuura, K. Gymnemic acid V, VI and VII from Gur-Ma, the leaves of Gymnema sylvestre R. Br. Chem. Pharm. Bull. 1989, 37, 852–854. [Google Scholar] [CrossRef]
- Miyatake, K.; Takenaka, S.; Fujimoto, T.; Kensho, G.; Priya, S.U.; Kirihata, M.; Ichimoto, I.; Yoshihisa, N. Isolation of Conduritol A from Gymnema sylvestre and its effects against intest-inal glucose absorption in rats. Biosci. Biotechonol. Biochem. 1993, 57, 2184–2185. [Google Scholar] [CrossRef]
- Liu, X.; Ye, W.; Yu, B.; Zhao, S.; Wu, H.; Che, C. Two new flavonol glycosides from Gymnema sylvestre and Euphorbia ebracteolata. Carbohydr. Res. 2004, 339, 891–895. [Google Scholar] [CrossRef] [PubMed]
- Kamei, K.; Takano, R.; Miyasaka, A.; Imoto, T.; Hara, S. Amino acid sequence of sweet taste suppressing peptide (gurmarin) from the leaves of Gymnema sylvestre. J. Biochem. (Tokyo) 1992, 111, 109–112. [Google Scholar]
- Yoshiyuki, S.; Stxyzo, I.; Yumie, M.; Kazuya, N.; Sumiko, S.; Hiroyuki, N. Studies biochem on hyaluronidase inhibitor of Gyrnnema sylvestre R. Br. Eisei Kagaku 1990, 36, 314–319. [Google Scholar] [CrossRef]
- Rao, G.S.; Sinsheimer, J.E.; Mcihenny, H.M. Structure of gymnamine, a trace alkaloid from Gymnema sylvestre leaves. Chem. Ind. 1972, 13, 537–538. [Google Scholar]
- Sinsheimer, J.E.; McIlhenny, H.M. Constituents from Gymnema sylvestre leaves. II. Nitrogenous compounds. J. Pharm. Sci. 1967, 56, 732–736. [Google Scholar] [CrossRef] [PubMed]
- Gupta, S.S.; Seth, C.B.; Variyar, M.C. Experimental studies on pituitary-diabetes Part I Inhibitory effect of a few Ayurvedic antidiabetic remedies on antterior pituitary extract induced hyperglycemia in albino rats. J. Med. Res. 1962, 50, 73–81. [Google Scholar]
- Anupam, B.; Malay, C.H. Hypolipidaemic and antiatherosclerotic effects of oral Gymnema sylvestre R. Br. leaf extract in albino rats fed on a high fat diet. Phytother. Res. 1994, 8, 118–120. [Google Scholar] [CrossRef]
- Yoshikawa, M.; Murakami, T.; Kadoya, M.; Li, Y.H.; Murakami, N.; Yamahara, J.; Matsuda, H. Medicinal foodstuffs. IX. The inhibitors of glucoseabsorption from the leaves of Gymnema sylvestre R. Br. (Asclepiadaceae): Structures of gymnemosides a and b. Chem. Pharm. Bull. 1997, 45, 1671–1676. [Google Scholar] [CrossRef] [PubMed]
- Shimizu, K.; Iino, A.; Nakajima, J.; Tanaka, K.; Nakajyo, S.; Urakawa, N.; Atsuchi, M.; Wada, T.; Yamashita, C. Suppression of glucose absorption by some fractions extracted from Gymnema sylvestre leaves. J. Vet. Med. Sci. 1997, 59, 245–251. [Google Scholar] [CrossRef] [PubMed]
- Yoshioka, S.; Imoto, T.; Miyoshi, M.; Kasagi, T.; Kawahara, R.; Hiji, Y. Anti-diabetic effects of the extracts from the leaves of Gymnema sylvestre. Inhibitory effect of gymnemic acids on glucose absorption in the small intestine. WakanIyaku Zasshi 1996, 13, 300–303. [Google Scholar]
- Yoshikawa, M.; Murakami, T.; Matsuda, H. Medicinal foodstuffs. X. Structures of new triterpene glycosides, gymnemosides -c, -d, -e, and -f, from the leaves of Gymnema sylvestre R. Br.: Influence of gymnema glycosides on glucose uptake in rat small intestinal fragments. Chem. Pharm. Bull. 1997, 45, 2034–2038. [Google Scholar] [CrossRef] [PubMed]
- Yoshikawa, K.; Okada, N.; Kann, Y.; Matsuchika, K.; Arihara, S. Steroidal glycosides, from the fresh stem of Stephanotis lutchensis var. Iaponica (Asclepiadaceae). Chemical structures of stephanosides K-Q. Chem. Pharm. Bull. 1996, 44, 2243–2248. [Google Scholar] [CrossRef] [PubMed]
- Yoshikawa, K.; Matsuchika, K.; Takahashi, K.; Tanaka, M.; Arihara, S.; Chang, H.C.; Wang, J.D. Pregnane Glycosides, Gymnepregosides G-Q from the roots of Gymnema alternifolium. Chem. Pharm. Bull. 1999, 47, 798–804. [Google Scholar] [CrossRef] [PubMed][Green Version]
- Yoshikawa, K.; Matsuchika, K.; Arihara, S.; Chang, H.C.; Wang, J.D. Pregnane Glycosides, Gymnepregosides A-F from the roots of Gymnema alternifolium. Chem. Pharm .Bull. 1998, 46, 1239–1243. [Google Scholar] [CrossRef] [PubMed]
- Vleggaar, R.; van Heerden, F.R.; Anderson, L.A.P.; Erasmus, G.R. Toxic constituents of the asclepiadaceae. Structure elucidation of sarcovimiside A–C, pregnane glycosides of Sarcostemma viminale. J. Chem. Soc. Perkin Trans. 1 1993, 483–487. [Google Scholar] [CrossRef]
- Li, X.Y.; Sun, H.X.; Ye, Y.P.; Chen, F.Y.; Pan, Y.J. C-21 steroidal glycosides from the roots of Cynanchum chekiangense and their immunosuppressive activities. Steroids 2006, 71, 61–66. [Google Scholar] [CrossRef] [PubMed]
- Hamed, A.I.; Sheded, M.G.; Shaheen, A.E.S.M.; Hamada, F.A.; Pizza, C.; Piacente, S. Polyhydroxypregnane glycosides from Oxystelmaesculentum var. alpini. Phytochemistry 2004, 65, 975–980. [Google Scholar] [CrossRef] [PubMed]
- Ma, X.X.; Wang, D.; Zhang, Y.J.; Yang, R.C. Identification of new qingyangshengenin and caudatin glycosides from the roots of Cynanchum otophyllum. Steroids 2011, 76, 1003–1009. [Google Scholar] [CrossRef] [PubMed]
- Bai, H.; Li, W.; Koike, K.; Satou, T.; Chen, Y.J.; Nikaido, T. Cynanosides A–J, ten novel pregnane glycosides from Cynanchum atratum. Tetrahedron 2005, 61, 5797–5811. [Google Scholar] [CrossRef]
- Wang, Y.Q.; Yan, X.Z.; Gong, S.S.; Fu, W.H. Two new C-21 steroidal glycosides from Cynanchum aurichulatum. Chin. Chem. Lett. 2002, 13, 543–546. [Google Scholar]
- Liu, Y.B.; Tang, W.Z.; Yu, S.S.; Qu, J.; Liu, J.; Liu, Y. Eight new C-21 steroidal glycosides from Dregea sinensis var. corrugate. Steroids 2007, 72, 514–523. [Google Scholar] [CrossRef]
- Pawara, S.R.; Shuklab, Y.J.; Khana, S.I.; Avulaa, B.; Khana, I.A. New oxypregnane glycosides from appetite suppressant herbal supplement Hoodia gordonii. Steroids 2007, 72, 524–534. [Google Scholar] [CrossRef] [PubMed]
- Massarani, S.M.A.; Bertrand, S.; Nievergelt, A.; Shafae, A.M.E.; Howiriny, T.A.A.; Musayeib, N.M.A.; Cuendet, M.; Wolfender, J.L. Acylated pregnane glycosides from Caralluma sinaica. Phytochemistry 2012, 79, 129–140. [Google Scholar] [CrossRef] [PubMed]
- Ma, X.X.; Jiang, F.T.; Yang, Q.X.; Liu, X.H.; Zhang, Y.J.; Yang, C.R. New pregnane glycosides from the roots of Cynanchum otophyllum. Steroids 2011, 76, 778–786. [Google Scholar]
- Juan, J.A.; Franklin, B.; Kelly, K.; Barbara, N.T. Verticillosides A-M: Polyxygenated pregnane glycosides from Asclepias verticillata L. Phtochemistry 2012, 78, 179–189. [Google Scholar] [CrossRef]
- Hou, W.L.; Li, Y.F.; Zhang, Q.; Wei, X.; Peng, A.H.; Chen, L.J.; Wei, Y.Q. Triterpene acids isolated from Lagerstroemia speciosa leaves as α-glucosidase inhibitors. Phytother. Res. 2009, 23, 614–618. [Google Scholar] [CrossRef] [PubMed]
- Sample Availability: Samples of the compounds 1–5 are available from the authors.
© 2015 by the authors. Licensee MDPI, Basel, Switzerland. This article is an open access article distributed under the terms and conditions of the Creative Commons Attribution license ( http://creativecommons.org/licenses/by/4.0/).