Enhanced Production of Botrallin and TMC-264 with in Situ Macroporous Resin Adsorption in Mycelial Liquid Culture of the Endophytic Fungus Hyalodendriella sp. Ponipodef12
Abstract
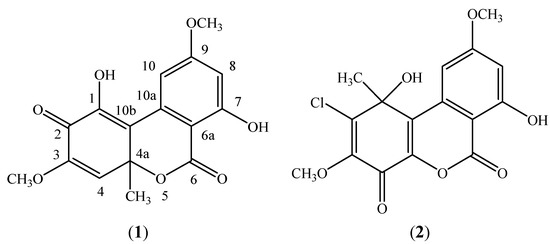
:1. Introduction
2. Results and Discussion
2.1. Kinetics of Hyalodendriella sp. Ponipodef12 in Normal Batch Culture

2.2. Effects of the Resins on Mycelial Growth and Production of Botrallin and TMC-264
| Resin | Mycelia Biomass (g dw/L) | Botrallin Yield (mg/L) | TMC-264 Yield (mg/L) | Yield of Botrallin Plus TMC-264 (mg/L) |
|---|---|---|---|---|
| CK | 7.34 ± 0.03 a | 19.52 ± 1.25 cd | 3.77 ± 0.43 g | 23.29 ± 0.82 def |
| X-5 | 7.15 ± 0.22 a | 18.61 ± 0.90 d | 5.56 ± 0.17 e | 24.17 ± 0.82 de |
| D-101 | 6.73 ± 0.15 c | 16.00 ± 1.83 e | 5.85 ± 0.61 e | 21.85 ± 1.98 f |
| HPD-100 | 6.35 ± 0.29 e | 20.14 ± 1.31 c | 4.57 ± 0.84 f | 24.71 ± 2.10 d |
| D1300 | 6.91 ± 0.25 b | 21.04 ± 2.08 c | 1.98 ± 0.13 h | 23.02 ± 2.19 def |
| D3520 | 6.94 ± 0.45 b | 25.61 ± 0.69 b | 4.44 ± 0.27 f | 30.05 ± 0.95 b |
| AB-8 | 6.60 ± 0.40 c | 20.63 ± 0.13 c | 4.45 ± 0.02 f | 25.08 ± 0.13 d |
| DM130 | 6.68 ± 0.29 c | 20.15 ± 1.16 c | 7.25 ± 0.23 c | 27.40 ± 0.92 c |
| DS-8 | 6.80 ± 0.46 b,c | 14.45 ± 0.20 f | 5.35 ± 0.05 e | 19.79 ± 0.14 g |
| DM-301 | 7.07 ± 0.07 b | 27.98 ± 0.01 a | 33.86 ± 0.02 a | 61.84 ± 0.02 a |
| ADS-17 | 6.94 ± 0.16 b | 20.30 ± 0.89 c | 11.40 ± 0.46 b | 31.70 ± 0.49 b |
| S-8 | 6.64 ± 0.13 cd | 4.62 ± 0.22 g | 5.40 ± 0.15 e | 10.01 ± 0.30 h |
| NKA-9 | 6.48 ± 0.37 de | 24.04 ± 0.67 b | 6.31 ± 0.34 d | 30.35 ± 0.91 b |
| DA-201 | 7.26 ± 0.17 a | 18.75 ± 0.03 d | 3.82 ± 0.43 g | 22.57 ± 0.40 f |

2.3. Effects of DM-301 Resin on Mycelial Growth and Production of Botrallin and TMC-264
| Conc. of DM-301 Resin (%, g/mL) | Mycelia Biomass (g dw/L) | Botrallin Yield (mg/L) | TMC-264 Yield (mg/L) | Yield of Botrallin Plus TMC-264 (mg/L) |
|---|---|---|---|---|
| 0.00 | 7.34 ± 0.08 a | 19.55 ± 0.06 j | 3.68 ± 0.05 k | 23.23 ± 0.07 k |
| 0.63 | 7.36 ± 0.01 a | 21.02 ± 0.42 i | 4.40 ± 0.12 j | 25.42 ± 0.32 j |
| 1.25 | 7.34 ± 0.03 a | 22.80 ± 0.38 h | 8.87 ± 0.07 i | 31.67 ± 0.44 i |
| 1.88 | 7.35 ± 0.01 a | 25.83 ± 1.03 f | 13.16 ± 0.17 h | 39.00 ± 0.88 h |
| 2.50 | 7.35 ± 0.04 a | 27.30 ± 0.79 e | 19.72 ± 0.03 g | 47.02 ± 0.78 f |
| 3.13 | 7.36 ± 0.01 a | 30.12 ± 0.12 c | 24.08 ± 0.57 f | 54.20 ± 0.65 d |
| 3.75 | 7.38 ± 0.03 a | 33.27 ± 0.46 b | 30.13 ± 0.25 c | 63.40 ± 0.21 b |
| 4.38 | 7.36 ± 0.03 a | 39.58 ± 0.34 a | 32.52 ± 0.28 b | 72.10 ± 0.45 a |
| 5.00 | 7.18 ± 0.17 b | 29.33 ± 1.06 cd | 32.76 ± 0.17 b | 62.09 ± 1.17 c |
| 5.63 | 7.17 ± 0.07 b | 28.64 ± 0.14 d | 34.13 ± 0.22 a | 62.77 ± 0.04 bc |
| 6.25 | 7.13 ± 0.02 b | 24.58 ± 0.23 g | 28.78 ± 0.39 d | 53.36 ± 0.50 d |
| 6.88 | 7.12 ± 0.02 b | 24.15 ± 0.27 g | 25.63 ± 0.02 e | 49.78 ± 0.26 e |
| 7.50 | 7.12 ± 0.03 b | 24.22 ± 0.34 g | 19.61 ± 0.09 g | 43.83 ± 0.26 g |

2.4. Effects of DM-301 Resin Addition and Incubation Time on Mycelial Growth and Production of Botrallin and TMC-264
| Resin Addition Time (day) | Incubation Time/Harvest Time (day/day) | Mycelia Biomass (g dw/L) | Botrallin Yield (mg/L) | TMC-264 Yield (mg/L) | Yield of Botrallin Plus TMC-264 (mg/L) |
|---|---|---|---|---|---|
| CK | 0/20 | 6.20 ± 0.05 e | 7.26 ± 0.08 l | 3.88 ± 0.05 k | 11.14 ± 0.04 m |
| 0/22 | 6.87 ± 0.04 c | 17.17 ± 0.06 k | 4.85 ± 0.02 j | 22.02 ± 0.07 k | |
| 0/24 | 7.24 ± 0.01 a | 21.19 ± 0.02 j | 5.08 ± 0.07 j | 26.26 ± 0.05 i | |
| 0/26 | 7.35 ± 0.01 a | 22.97 ± 0.38 j | 5.61 ± 0.06 j | 28.58 ± 0.43 h | |
| 0/28 | 7.39 ± 0.01 a | 22.49 ± 0.24 i | 5.00 ± 0.18 j | 27.48 ± 0.14 hi | |
| 0/30 | 7.34 ± 0.01 a | 20.21 ± 0.03 j | 4.06 ± 0.07 k | 24.27 ± 0.07 j | |
| 0/32 | 6.93 ± 0.07 bc | 19.37 ± 0.17 j | 3.39 ± 0.03 kl | 22.76 ± 0.15 k | |
| 0/34 | 6.87 ± 0.19 c | 17.43 ± 0.82 k | 3.14 ± 0.23 l | 20.57 ± 0.78 l | |
| 0/36 | 5.69 ± 0.13 e | 17.06 ± 0.29 k | 2.81 ± 0.07 m | 19.87 ± 0.36 l | |
| 20 | 2/22 | 6.64 ± 0.11 d | 33.46 ± 0.99 g | 13.86 ± 0.24 i | 47.32 ± 1.17 g |
| 4/24 | 7.18 ± 0.15 b | 36.07 ± 0.67 f | 33.44 ± 0.11 e | 69.51 ± 0.78 e | |
| 6/26 | 6.93 ± 0.02 bc | 41.15 ± 0.36 de | 37.06 ± 0.58 c | 78.21 ± 0.84 c | |
| 8/28 | 6.91 ± 0.05 bc | 42.74±0.63 cd | 34.79±0.24 de | 77.53±0.86 c | |
| 10/30 | 6.92 ± 0.05 bc | 42.48 ± 0.36 cd | 35.08 ± 0.77 d | 77.56 ± 1.10 c | |
| 22 | 2/24 | 7.38 ± 0.02 a | 45.83 ± 0.43 c | 22.87 ± 1.10 g | 68.70 ± 1.12 e |
| 4/26 | 7.35 ± 0.24 a | 50.66 ± 0.36 a | 37.58 ± 0.07 c | 88.24 ± 0.30 b | |
| 6/28 | 7.34 ± 0.02 a | 49.86 ± 0.11 a | 37.24 ± 0.06 c | 87.11 ± 0.16 b | |
| 8/30 | 7.32 ± 0.01 a | 49.95 ± 0.30 a | 37.43 ± 0.10 c | 87.38 ± 0.36 b | |
| 10/32 | 6.98 ± 0.06 bc | 49.24 ± 0.38 ab | 36.77 ± 0.11 cd | 86.01 ± 0.42 b | |
| 24 | 2/26 | 7.34 ± 0.03 a | 40.82 ± 0.26 e | 27.69 ± 0.22 f | 68.50 ± 0.46 e |
| 4/28 | 7.55 ± 0.06 a | 51.47 ± 0.37 a | 45.85 ± 0.14 b | 97.32 ± 0.49 a | |
| 6/30 | 7.33 ± 0.04 a | 49.44 ± 0.10 ab | 47.74 ± 0.46 a | 97.18 ± 0.56 a | |
| 8/32 | 6.88 ± 0.06 c | 48.80 ± 0.47 b | 47.10 ± 0.08 a | 95.89 ± 0.48 a | |
| 10/34 | 6.85 ± 0.07 c | 48.88 ± 0.40 b | 47.07 ± 0.03 a | 95.95 ± 0.38 a | |
| 26 | 2/28 | 7.36 ± 0.04 a | 28.03 ± 1.37 i | 18.01 ± 0.12 h | 46.04 ± 1.43 g |
| 4/30 | 7.15 ± 0.05 b | 31.76 ± 0.83 h | 27.04 ± 0.19 f | 58.79 ± 0.95 f | |
| 6/32 | 6.88 ± 0.02 c | 37.27 ± 0.05 f | 36.58 ± 0.17 cd | 73.85 ± 0.12 d | |
| 8/34 | 6.78 ± 0.05 cd | 43.49 ± 0.15 c | 35.48 ± 0.51 d | 78.97 ± 0.65 c | |
| 10/36 | 5.21 ± 0.03 f | 43.68 ± 0.01 c | 35.18 ± 0.50 d | 78.85 ± 0.50 c |
3. Experimental Section
3.1. Endophytic Fungus and Culture Conditions
3.2. Macroporous Resin Selection and Preparation
| Macroporous Resin | Polymer Chemistry | Polarity | Particle Size (mm) | Surface Area (m2/g) | Average pore Diameter (nm) | Moisture Content (%) |
|---|---|---|---|---|---|---|
| X-5 | Polystyrene | Non-polar | 0.30–1.25 | 500–600 | 29–30 | 50.13 ± 0.17 |
| D-101 | Polystyrene | Non-polar | 0.30–1.25 | 480–530 | 9–11 | 67.89 ± 0.27 |
| HPD-100 | Polystyrene | Non-polar | 0.30–1.25 | ≥650 | 8–9 | 68.39 ± 0.48 |
| D1300 | Polystyrene | Non-polar | 0.30–1.25 | ≥600 | 9–10 | 68.27 ± 0.57 |
| D3520 | Polystyrene | Non-polar | 0.30–1.25 | 480–520 | 8.5–9 | 71.56 ± 0.18 |
| AB-8 | Polystyrene | Weak-polar | 0.30–1.25 | 480–520 | 13–4 | 68.33 ± 0.61 |
| DM130 | Polystyrene | Weak-polar | 0.30–1.25 | 500–550 | 9–10 | 66.00 ± 0.32 |
| DS-8 | Polystyrene | Weak-polar | 0.30–1.25 | 500–550 | 12–14 | 63.55 ± 0.10 |
| DM-301 | Polystyrene | Middle-polar | 0.30–1.25 | ≥330 | 14–17 | 65.48 ± 1.32 |
| ADS-17 | Polystyrene | Middle-polar | 0.30–1.25 | 90–150 | 25–30 | 55.16 ± 1.09 |
| S-8 | Polystyrene | Polar | 0.30–1.25 | 100–200 | 28–30 | 67.12 ± 0.35 |
| NKA-9 | Polystyrene | Polar | 0.30–1.25 | 250–290 | 15.5–16.5 | 70.22 ± 0.23 |
| DA-201 | Polystyrene | Polar | 0.30–1.25 | ≥200 | 10–13 | 70.64 ± 0.52 |
3.3. In Situ Adsorption Culture
3.4. Analytical Procedures

3.5. Statistical Analysis
4. Conclusions
Acknowledgments
Author Contributions
Conflicts of Interest
References
- Gunatilaka, A.A.L. Natural products from plant-associated microorganism: distribution, structural diversity, bioactivity, and implications of their occurrence. J. Nat. Prod. 2006, 69, 509–526. [Google Scholar] [CrossRef]
- Gimenez, C.; Cabrera, R.; Reina, M.; Gonzalez-Coloma, A. Fungal endophytes and their role in plant protection. Curr. Org. Chem. 2007, 11, 707–720. [Google Scholar] [CrossRef]
- Strobel, G. Plant-associated microorganisms (endophytes) as a new source of bioactive natural products. Med. Plant. Biotechnol. 2007, 1, 49–72. [Google Scholar] [CrossRef]
- Zhou, L.; Zhao, J.; Shan, T.; Cai, X.; Peng, Y. Spirobisnaphthalenes from fungi and their biological activities. Mini Rev. Med. Chem. 2010, 10, 977–989. [Google Scholar] [CrossRef]
- Kharwar, R.N.; Mishra, A.; Gond, S.K.; Stierle, A.; Stierle, D. Anticancer compounds derived from fungal endophytes. Nat. Prod. Rep. 2011, 28, 1208–1228. [Google Scholar] [CrossRef]
- Zhao, J.; Shan, T.; Mou, Y.; Zhou, L. Plant-derived bioactive compounds produced by endophytic fungi. Mini Rev. Med. Chem. 2011, 11, 159–168. [Google Scholar] [CrossRef]
- Gutierrez, R.M.P.; Gonzalez, A.M.N.; Ramirez, A.M. Compounds derived from endophytes: A review of phytochemistry and pharmacology. Curr. Med. Chem. 2012, 19, 2992–3030. [Google Scholar] [CrossRef]
- Debbab, A.; Aly, A.H.; Proksch, P. Mangrove derived fungal endophytes—A chemical and biological perception. Fungal Divers. 2013, 61, 1–27. [Google Scholar] [CrossRef]
- Mao, Z.; Sun, W.; Fu, L.; Luo, H.; Lai, D.; Zhou, L. Natural dibenzo-α-pyrones and their bioactivities. Molecules 2014, 19, 5088–5108. [Google Scholar] [CrossRef]
- Kameda, K.; Aoki, H.; Namiki, M. An alternative structure for botrallin a metabolite of Botrytis allii. Tetrahedron Lett. 1974, 1, 103–106. [Google Scholar] [CrossRef]
- Hormazabal, E.; Schmeda-Hirschmann, G.; Astudillo, L.; Rodriguez, J.; Theoduloz, C. Metabolites from Microsphaeropsis olivacea, an endophytic fungus of Pilgerodendron uviferum. Z. Naturforschung C 2005, 60, 11–21. [Google Scholar]
- Meng, X.; Mao, Z.; Lou, J.; Xu, L.; Zhong, L.; Peng, Y.; Zhou, L.; Wang, M. Benzopyranones from the endophytic fungus Hyalodendriella sp. Ponipodef12 and their bioactivities. Molecules 2012, 17, 11303–11314. [Google Scholar] [CrossRef]
- Sakurai, M.; Nishio, M.; Yamamoto, K.; Okuda, T.; Kawano, K.; Ohnuki, T. TMC-264, a novel antiallergic heptaketide produced by the fungus Phoma sp. TC 1674. Org. Lett. 2003, 5, 1083–1085. [Google Scholar]
- Mao, Z.; Luo, R.; Luo, H.; Tian, J.; Liu, H.; Yue, Y.; Wang, M.; Peng, Y.; Zhou, L. Separation and purification of bioactive botrallin and TMC-264 by a combination of HSCCC and semi-preparative HPLC from endophytic fungus Hyalodendriella sp. Ponipodef12. World J. Microbiol. Biotechnol. 2014, 30, 2533–2542. [Google Scholar] [CrossRef]
- Sakurai, M.; Nishio, M.; Yamamoto, K.; Okuda, T.; Kawano, K.; Ohnuki, T. TMC-264, a novel inhibitor of STAT6 activation produced by Phoma. sp. TC 1674. J. Antibiot. 2003, 56, 513–519. [Google Scholar] [CrossRef]
- Zhou, L.; Yang, C.; Li, J.; Wang, S.; Wu, J. Heptasaccharide and octasaccharide isolated from Paris polyphylla var. yunnanensis and their plant growth-regulatory activity. Plant Sci. 2003, 165, 571–575. [Google Scholar] [CrossRef]
- Zhou, L.; Wu, J. Development and application of medicinal plant tissue cultures for production of drugs and herbal medicinals in China. Nat. Prod. Rep. 2006, 23, 789–810. [Google Scholar] [CrossRef]
- Zhou, L.; Cao, X.; Zhang, R.; Peng, Y.; Zhao, S.; Wu, J. Stimulation of saponin production in Panax. ginseng hairy roots by two oligosaccharides from Paris polyphylla var yunnanensis. Biotechnol. Lett. 2007, 29, 631–634. [Google Scholar]
- Zhang, R.; Li, P.; Xu, L.; Chen, Y.; Sui, P.; Zhou, L.; Li, J. Enhancement of diosgenin production in Dioscorea. zingiberensis cell culture by oligosaccharide elicitor from its endophytic fungus Fusarium oxysporum Dzf17. Nat. Prod. Commun. 2009, 4, 1459–1462. [Google Scholar]
- Li, Y.; Li, P.; Mou, Y.; Zhao, J.; Shan, T.; Ding, C.; Zhou, L. Enhancement of diepoxin ζ production in liquid culture of endophytic fungus Berkleasmium sp. Dzf12 by polysaccharides from its host plant Dioscorea zingiberensis. World J. Microbiol. Biotechnol. 2012, 28, 1407–1413. [Google Scholar] [CrossRef]
- Mou, Y.; Luo, H.; Mao, Z.; Shan, T.; Sun, W.; Zhou, K.; Zhou, L. Enhancement of palmarumycins C12 and C13 production in liquid culture of endophytic fungus Berkleasmium sp. Dzf12 after treatments with metal ions. Int. J. Mol. Sci. 2013, 14, 979–998. [Google Scholar]
- Mou, Y.; Meng, J.; Fu, X.; Wang, X.; Tian, J.; Wang, M.; Peng, Y.; Zhou, L. Antimicrobial and antioxidant activities and effect of 1-hexadecene addition on palmarumycin C2 and C3 yields in liquid culture of endophytic fungus Berkleasmium sp. Dzf12. Molecules 2013, 18, 15587–15599. [Google Scholar] [CrossRef]
- Schugerl, K.; Hubbuch, J. Integrated bioprocesses. Curr. Opin. Microbiol. 2005, 8, 249–300. [Google Scholar]
- Phillips, T.; Chase, M.; Wagner, S.; Renzi, C.; Powell, M.; DeAngelo, J.; Michels, P. Use of in situ solid-phase adsorption in microbial natural product fermentation development. J. Ind. Microbiol. Biotechnol. 2013, 40, 411–425. [Google Scholar]
- Yan, Q.; Hu, Z.; Tan, R.X.; Wu, J. Efficient production and recovery of diterpenoid tanshinones in Salvia miltiorrhiza hairy root cultures with in situ adsorption, elicitation and semi-continuous operation. J. Biotechnol. 2005, 119, 416–424. [Google Scholar]
- Xu, L.; Liu, Y.; Zhou, L.; Wu, J. Enhanced beauvericin production with in situ adsorption in mycelial liquid culture of Fusarium redolens Dzf2. Process Biochem. 2009, 44, 1063–1067. [Google Scholar] [CrossRef]
- Zhao, J.; Li, Y.; Shan, T.; Mou, Y.; Zhou, L. Enhancement of diepoxin ζ production with in situ resin adsorption in mycelial liquid culture of the endophytic fungus Berkleasmium sp. Dzf12 from Dioscorea zingiberensis. World J. Microbiol. Biotechnol. 2011, 27, 2753–2758. [Google Scholar] [CrossRef]
- Jiao, W.-C.; Zhao, X.; Wang, Y.; Geng, X. Enhanced production of a self-toxic antibiotic xinghaiamine A from the novel marine-derived species Streptomyces xinghaiensis by resin addition. J. Biosci. Bioeng. 2014, 117, 200–202. [Google Scholar] [CrossRef]
- Poole, C.F.; Gunatilleka, A.D.; Sethuraman, R. Contributions of theory to method development in solid-phase extraction. J. Chromatogr. A 2000, 885, 17–39. [Google Scholar] [CrossRef]
- Kim, C.H.; Kim, S.W.; Hong, S.I. An integrated fermentation-separation process for the production of red pigment by Serratia sp. KH-95. Process Biochem. 2000, 35, 485–490. [Google Scholar]
- Lam, K.S.; Veitch, J.A.; Lowe, S.E.; Forenza, S. Effect of neutral resins on the production of dynemicins by Micromonospora chersina. J. Ind. Microbiol. 1995, 15, 453–456. [Google Scholar] [CrossRef]
- Lee, J.C.; Park, H.R.; Park, D.J.; Lee, H.B.; Kim, Y.B.; Kim, C.J. Improved production of teicoplanin using adsorbent resin in fermentation. Lett. Appl. Microbiol. 2003, 37, 196–200. [Google Scholar]
- Singh, M.P.; Leighton, M.M.; Barbieri, L.R.; Roll, D.M.; Urbance, S.E.; Hoshan, L.; McDonald, L.A. Fermentative production of self-toxic fungal secondary metabolites. J. Ind. Microbiol. Biotechnol. 2010, 37, 335–340. [Google Scholar] [CrossRef]
- Marshall, V.P.; McWethy, S.J.; Sirotti, J.M.; Cialdella, J.I. The effect of neutral resins on the fermentation production of rubradirin. J. Ind. Microbiol. 1990, 5, 283–288. [Google Scholar]
- Warr, G.A.; Veitch, J.A.; Walsh, A.W.; Hesler, G.A.; Pirnik, D.M.; Leet, J.E.; Lin, P.F.M.; Medina, I.A.; McBrien, K.D.; Forenza, A.; et al. BMS-182123, a fungal metabolite that inhibits the production of TNF-α by macrophages and monocytes. J. Antibiot. 1996, 49, 234–240. [Google Scholar] [CrossRef]
- Bo, J.; Jin, Z.H.; Lei, Y.L.; Mei, L.H.; Li, N.H. Improved production of pristinamycin coupled with the adsorbent resin in fermentation by Streptomyces pristinaespiralis. Biotechnol. Lett. 2006, 28, 1811–1815. [Google Scholar]
- Chiang, L.; Abdullah, M.A. Enhanced anthraquinones production from adsorbent-treated Morinda elliptica cell suspension cultures in production medium strategy. Process Biochem. 2007, 42, 757–763. [Google Scholar]
- Zhong, L.; Zhou, Y.; Gao, S.; Xu, L.; Zhao, J.; Shan, T.; He, W.; Zhou, L. Endophytic fungi from the hybrid “Neva” of Populus deltoides Marsh × Populus nigra L. and their antimicrobial activity. Afr. J. Microbiol. Res. 2011, 5, 3924–3929. [Google Scholar]
- Sample Availability: Samples of botrallin and TMC-264 are available from the authors.
© 2014 by the authors. Licensee MDPI, Basel, Switzerland. This article is an open access article distributed under the terms and conditions of the Creative Commons Attribution license ( http://creativecommons.org/licenses/by/3.0/).
Share and Cite
Luo, H.; Liu, H.; Cao, Y.; Xu, D.; Mao, Z.; Mou, Y.; Meng, J.; Lai, D.; Liu, Y.; Zhou, L. Enhanced Production of Botrallin and TMC-264 with in Situ Macroporous Resin Adsorption in Mycelial Liquid Culture of the Endophytic Fungus Hyalodendriella sp. Ponipodef12. Molecules 2014, 19, 14221-14234. https://doi.org/10.3390/molecules190914221
Luo H, Liu H, Cao Y, Xu D, Mao Z, Mou Y, Meng J, Lai D, Liu Y, Zhou L. Enhanced Production of Botrallin and TMC-264 with in Situ Macroporous Resin Adsorption in Mycelial Liquid Culture of the Endophytic Fungus Hyalodendriella sp. Ponipodef12. Molecules. 2014; 19(9):14221-14234. https://doi.org/10.3390/molecules190914221
Chicago/Turabian StyleLuo, Haiyu, Hongwei Liu, Yuheng Cao, Dan Xu, Ziling Mao, Yan Mou, Jiajia Meng, Daowan Lai, Yang Liu, and Ligang Zhou. 2014. "Enhanced Production of Botrallin and TMC-264 with in Situ Macroporous Resin Adsorption in Mycelial Liquid Culture of the Endophytic Fungus Hyalodendriella sp. Ponipodef12" Molecules 19, no. 9: 14221-14234. https://doi.org/10.3390/molecules190914221
APA StyleLuo, H., Liu, H., Cao, Y., Xu, D., Mao, Z., Mou, Y., Meng, J., Lai, D., Liu, Y., & Zhou, L. (2014). Enhanced Production of Botrallin and TMC-264 with in Situ Macroporous Resin Adsorption in Mycelial Liquid Culture of the Endophytic Fungus Hyalodendriella sp. Ponipodef12. Molecules, 19(9), 14221-14234. https://doi.org/10.3390/molecules190914221

