Abstract
Pathogenic fungi are one of the main causes of hospital-related infections. Since conventional antifungals have become less effective because of the increasing fungal resistance to the standard drugs, the need for new agents is becoming urgent. Herein we report a synthesis of a series of novel N-[imino-(1-oxo-(1H)-phthalazin-2-yl)methyl]-benzenesulfonamide derivatives with in vitro activity against yeast-like fungi isolated from the oral cavity and respiratory tract of patients with candidiasis. These compounds were synthesized by the one-step or two-step reactions of 1-(2-alkylthiobenzensulfonyl)-2-aminoguanidines with the appropriate ortho-carbonyl benzoic acids. The biological study revealed that new derivatives have shown significant growth-inhibitory activity, superior or comparable, than those of the reference drug fluconazole. The most promising activities were observed against Candida albicans, with inhibition at least 1–3 (12.5%–37.5%) of the eight tested strains at the low MIC level of ≤6.2–25 µg/mL.
1. Introduction
Until recently, fungal infections were a major threat for patients with hematological disorders [1,2], but today there are a wide range of predisposing factors, such as immunosuppressive therapy, organ transplantation, corticosteroid therapy, solid tumors, AIDS, lymphoproliferating diseases, diabetes mellitus, the presence of indwelling intravenous catheters, prolonged antibiotic treatment, chronic renal failure, hemodialysis and intravenous hyperalimentation [3,4,5,6,7,8].
Candida spp. are the most common cause of mycoses. Among them C. albicans has been known as the most threatening pathogen, however, other, non-albicans species, including C. glabrata, C. parapsilosis, C. tropicalis, C. krusei and C. dubliniensis have also been reported as serious causes of fungal infections [4,9,10,11,12,13,14]. The high pathogenicity of C. albicans is due, inter alia, to its ability to form biofilms on different surfaces which is known as a serious factor for significantly increasing resistance to antifungal agents and protection from host defenses, the main reasons why fungal infections are frequently refractory to conventional therapy [15,16,17]. This occurrence, in turn, has very important implications for morbidity, mortality and health care costs in hospitals, as well in the community care. Moreover, the widespread use of antifungal drugs makes them become ineffective in the treatment of infections related to resistant pathogens [9,10,18,19,20,21,22].
Both the limited number of efficacious antifungal drugs and resistance to antifungal therapy are the reason for the search for new useful agents with unique mechanisms of action [22,23,24]. Evaluations of the antimicrobial activity of some phthalazine derivatives revealed that these compounds show potent antifungal activity (Figure 1, I, II) [25,26,27,28,29]. These findings encouraged us to synthesize a series of 2-alkylthio-4-chloro-5-methyl-N-[imino-(1-oxo-2(1H)-phthalazin-2-yl)]benzenesulfonamides (Figure 1, III) to investigate of their potential antifungal activity.
Figure 1.
Phthalazine derivatives with antifungal activity [25,27,28,29].
Figure 1.
Phthalazine derivatives with antifungal activity [25,27,28,29].

2. Results and Discussion
2.1. Chemistry
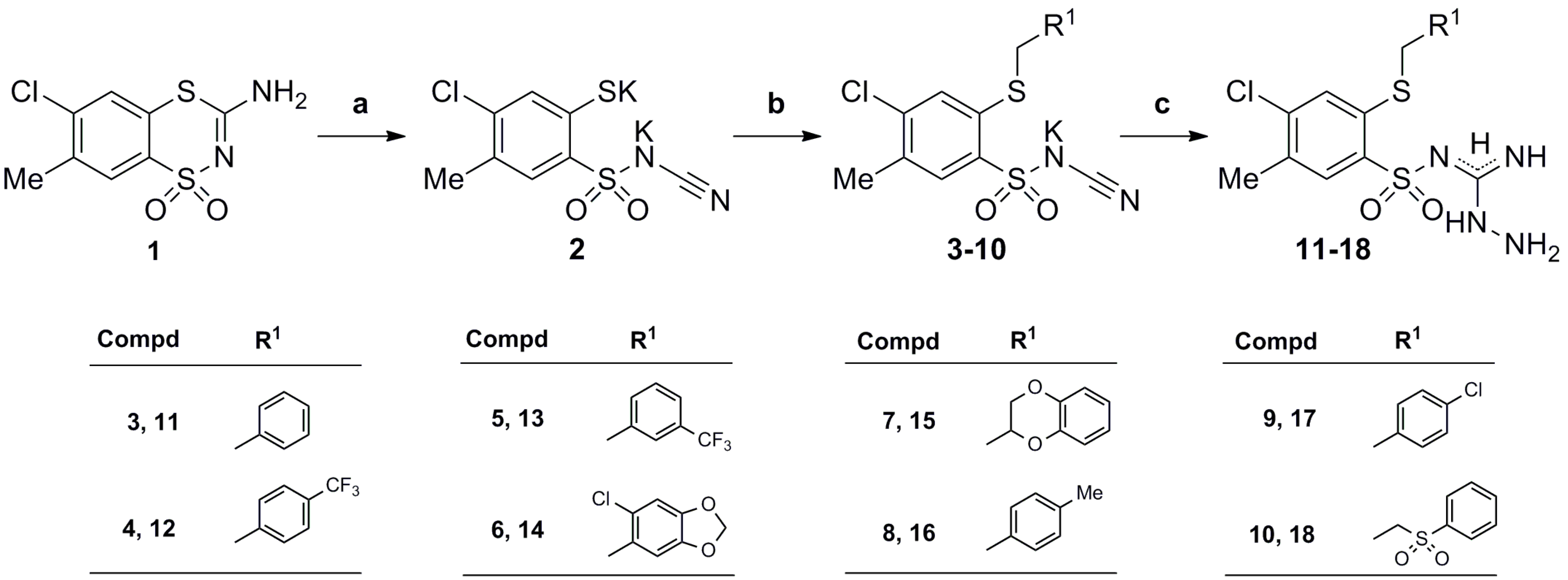
As presented in Scheme 1 the novel N-(2-alkylthio-4-chloro-5-methylbenzenesulfonyl)cyanamide potassium salts 8–10 and N-amino-N'-(2-alkylthio-4-chloro-5-methylbenzenesulfonyl)guanidines 12–18 were obtained analogously to the already described methods in [30,31,32] for 8–10, and [33] for 12–18, respectively.
Scheme 1.
Facile three-step synthesis of the starting N-amino-N'-(2-alkylthio-4-chloro-5-methylbenzenesulfonyl)guanidine derivatives 11–18.
Scheme 1.
Facile three-step synthesis of the starting N-amino-N'-(2-alkylthio-4-chloro-5-methylbenzenesulfonyl)guanidine derivatives 11–18.

Reagents and conditions: (a) Excess K2CO3, THF, reflux, 24 h; (b) R1CH2Cl, ethanol or water, rt or 0 °C, 1–4 h; (c) NH2-NH2 × HCl, dry toluene, reflux, 3–10 h.
The reaction of aminoguanidines 11–18 with the appropriate ortho-carbonyl substituted benzoic acids led to the novel 2-alkylthio-4-chloro-5-methyl-N-[imino-(4-methyl-1-oxo-(1H)-phthalazin-2-yl)methyl]benzenesulfonamides 19–26 or N-(2-alkylthio-4-chloro-5-methylbeneznesulfonyl)-2-(2-carboxybenzylidene)hydrazinecarboximidamides 27–33, depending on the carbonyl group type as it shown in Scheme 2. Thus, treatment of aminoguanidines 11–18 with 2-acetylbenzoic acid resulted in the formation of the desired N-[imino-(4-methyl-1-oxo-(1H)-phthalazin-2-yl)methyl]benzenesulfonamide derivatives 19–26 in sufficient yields when the reaction mixture was refluxed in glacial acetic acid or, alternatively, in case of 25, in dry 1,4-dioxane. In turn, treatment of the aminoguanidines 11–17 with 2-formylbenzoic acid furnished the appropriate non-cyclic N-substituted hydrazinecarboximidamide derivatives 27–33, which could be easily converted to the expected 2-alkylthio-4-chloro-5-methyl-N-[imino-(1-oxo-(1H)-phthalazin-2-yl)methyl]benzenesulfon- amide derivatives 34–40 after heating in dry toluene in the presence of p-toluenesulfonic acid for 1–4.5 h. The structures of novel compounds were confirmed by elemental analyses (C, H, N) and spectroscopic data presented in the Experimental Section. The most characteristic absorption bands in IR spectra for compounds 19–40 were those derived from NH and C=O groups that appeared in the range of 3479–3208 cm−1 and 1683–1618 cm−1, respectively. In turn, the 1H-NMR spectra of a series of benzenesulfonamides 19–26 and 34–40 bearing 1-oxo-phthalazine moiety revealed multiplets at range 7.89–8.06 ppm attributable for protons H-5, H-6 and H-7 and doublet signals in the region of 8.16–8.33 for H-8 from the phthalazine ring, while its H-4 proton (34–40) gave resonance singlet signals at δ = 7.79–7.85 ppm.
Scheme 2.
Synthesis of 2-alkylthio-4-chloro-5-methyl-N-[imino-(4-methyl-1-oxo-(1H)-phthalazin-2-yl)methyl]benzenesulfonamides 19–26, N-(2-alkylthio-4-chloro-5-methyl-benzenesulfonyl)-2-(2-carboxybenzylidene)hydrazinecarboximidamides 27–33 and 2-alkylthio-4-chloro-5-methyl-N-[imino-(1-oxo-(1H)-phthalazin-2-yl)methyl]benzenesulfon-amides 34–40.
Scheme 2.
Synthesis of 2-alkylthio-4-chloro-5-methyl-N-[imino-(4-methyl-1-oxo-(1H)-phthalazin-2-yl)methyl]benzenesulfonamides 19–26, N-(2-alkylthio-4-chloro-5-methyl-benzenesulfonyl)-2-(2-carboxybenzylidene)hydrazinecarboximidamides 27–33 and 2-alkylthio-4-chloro-5-methyl-N-[imino-(1-oxo-(1H)-phthalazin-2-yl)methyl]benzenesulfon-amides 34–40.

Reagents and conditions: (a) 2-Acetylbenzoic acid (1 equiv), glacial acetic acid or 1,4-dioxane, reflux, 1–8 h; (b) 2-formylbenzoic acid (1 equiv), glacial acetic acid, reflux, 1–11 h; (c) p-toluene-sulfonic acid (0.3 equiv), toluene, reflux, 1–4.5 h.
2.2. Antifungal Activity
The fifteen newly synthesized compounds 19–26 and 34–40 have been tested in vitro for their antifungal activity against yeast-like fungi isolated from the oral cavity and respiratory tract of patients with candidiasis. Thirty-one yeast strains belonging to the genus: Candida (26 strains), Geotrichum (two strains), Rhodotorula (two strains) and Saccharomyces (one strain) were isolated from patients and used for testing. The ranges of MIC values obtained for each of the tested species are listed in Table 1. The investigated compounds showed meaningful or moderate activity against all tested pathogens, comparable or even higher than that of the reference drug fluconazole.
All the investigated compounds showed activity against Candida albicans. Most of them demonstrated the ability to inhibit at least four (50%) of the eight tested C. albicans strains at the MIC range of ≤6.2–100 µg/mL (Table 2). Furthermore, eight compounds (22–24, 26, 34, 36, 37 and 40) showed lower or comparable MIC values to fluconazole (Table 2).
Table 1.
The range of MICs obtained for the synthesized compounds 19–26 and 34–40 and fluconazole against strains isolated from patients.
| Compound | MIC a (µg/mL) | ||||||||||
| Candida albicans (8 strains) | Candida glabrata (4 strains) | Candida guilliermondii (2 strains) | Candida krusei (3 strains) | Candida lusitaniae (2 strains) | Candida parapsilosis (3 strains) | Candida tropicalis (3 strains) | Candida utilis (1 strain) | Geotrichum candidum (2 strains) | Rhodothorula mucilaginosa (2 strains) | Saccharomyces cerevisiae (1 strain) | |
| 19 | 50–200 | * | * | * | 100–200 | * | * | 100 | * | 25–50 | * |
| 20 | 100–200 | * | 25–100 | * | * | 50–200 | 100–200 | 100 | 100–200 | * | * |
| 21 | 100–200 | * | 50–100 | * | 100–200 | 50–200 | 50–200 | 50 | * | * | * |
| 22 | 12.5–200 | * | 50–100 | * | 100–200 | 100–200 | 100–200 | * | * | * | * |
| 23 | 25–200 | * | 25–100 | * | * | 50–200 | 50–200 | * | * | * | * |
| 24 | 25–200 | 100–200 | * | 50–200 | * | * | * | * | * | ≤6.2–12.5 | * |
| 25 | 50–200 | * | 12.5–100 | * | * | 12.5–200 | 12.5–200 | 50 | 100 b | 100 b | * |
| 26 | 25–200 | * | 100–200 | 100–200 | 100–200 | * | * | 100 | * | ≤6.2–50 | * |
| 34 | 25–200 | * | 25 b | 100–200 | 25–50 | ≤6.2–200 | 50–200 | 25 | 12.5–50 | 50–100 | 100 |
| 35 | 50–200 | * | 50–200 | * | 100–200 | 100–200 | 50–200 | 50 | * | * | * |
| 36 | ≤6.2–200 | * | 12.5–100 | * | 25–100 | 50–200 | 50–200 | 100 | * | * | * |
| 37 | 12.5–200 | * | * | * | * | * | * | 50 | * | 25–50 | * |
| 38 | 100–200 | 100–200 | 50–100 | 50–200 | 100–200 | ≤6.2–200 | 100–200 | 100 | * | 100–200 | * |
| 39 | 100–200 | * | 100 b | * | 100 b | * | * | * | * | 25–50 | * |
| 40 | 25–200 | 100–200 | 25–100 | * | 50–100 | 50–200 | 50–200 | ≤6.2 | 100 b | * | 100 |
| Fluconazole | 25–100 | 50–100 | 12.5–25 | 25–100 | 12.5–25 | 6.2–25 | ≥100 | 25 | 50–100 | ≥100 | ≥100 |
a Minimum inhibitory concentration; b value obtained for all tested strains; * MIC value ≥ 200 µg/mL.
Table 2.
Susceptibility of eight isolated strains of Candida albicans to the most active compounds.
| Compd | Number of Susceptible Strains at MIC (µg/mL) of: | ||||
|---|---|---|---|---|---|
| ≤6.2 | 12.5 | 25 | 50 | 100 | |
| 19 | 2 | 2 | |||
| 22 | 1 | 1 | 1 | ||
| 23 | 3 | 1 | |||
| 24 | 3 | 1 | |||
| 25 | 3 | 3 | |||
| 26 | 1 | 3 | |||
| 34 | 2 | 1 | 4 | ||
| 35 | 3 | 1 | |||
| 36 | 1 | 1 | 3 | ||
| 37 | 1 | 1 | 2 | 1 | |
| 40 | 1 | 3 | 3 | ||
| F | 1 | 1 | 6 a | ||
a for fluconazole MIC ≥ 100 µg/mL; F—fluconazole (Fluka).
Most of the tested compounds showed potent antifungal activity in respect to Candida guilliermondii, Candida tropicalis and Candida utilis. The seven derivatives (21, 23, 25, 34–36 and 40) displayed higher activity against C. tropicalis as compared with fluconazole (see Table 3). The inhibition of the growth of C. guilliermondii was comparable with reference for 25 and 36 (Table 3). The similar to fluconazole MIC values against C. utilis was noticed for 34 and 40 (see Table 1).
Among the tested compounds a good activity profile against Rhodotorula mucilaginosa was noticed for eight derivatives. Interestingly, six of them (compounds 19, 24, 26, 34, 37 and 39) showed a significantly higher activity than those of fluconazole as was outlined in Table 3. Moreover, most of these compounds exhibited good selectivity against R. mucilaginosa.
The eight compounds displayed activity against Candida parapsilosis wherein the derivatives 34 and 38 reached an MIC ≤6.2 µg/mL for one (33.3%) of the tested strains, which is comparable to the value obtained for fluconazole (Table 3).
Low activity against C. glabrata and C. krusei has been observed. Inhibition of these species, which are inherently resistant to fluconazole, was noticed for compounds 24, 38, 40 and 24, 26, 34, 38 respectively. Interestingly, derivatives 24 and 38 displayed good selectivity for the growth inhibition of C. glabrata and C. krusei.
The investigation of the structure-activity relationship (SAR) showed, in general, that the lack of a methyl group at position 4 of the 1-phthalazinone system enhanced the antifungal action of the synthesized compounds. In the series of 2-alkylthio-4-chloro-5-methyl-N-[imino-(4-methyl-1-oxo-(1H)-phthalazin-2-yl)methyl]benzenesulfonamides 19–26 having a methyl group in the 4-position (R2 = Me) of the 1-phthalazinone system, it can be seen that the insertion of a 4-chlorobenzylthio group (R1 = 4-ClPh, 25), as well as bulky substituents (22–24, 26) at the position 2 of the benzenesulfonamide usually resulted in either low MIC or good selectivity against tested fungi.
The structure activity relationship analysis for the series of 2-alkylthio-4-chloro-5-methyl-N-[imino-(1-oxo-(1H)-phthalazin-2-yl)methyl]benzenesulfonamides 34–40 revealed that the presence of the benzylthio group (R1 = Ph, 34) at the position 2 of benzenesulfonamide scaffold leads to the best antifungal activity. Moreover, the substitution pattern of the phenyl ring at positions 3 and 4 in the benzylthio group appears to be an important factor to affect their antifungal activity. A good activity profile was found for compound 36 bearing a 3-(trifluoromethyl)benzylthio group (R1 = 3-CF3Ph) in the position 2 of the benzenesulfonamide scaffold. Similar findings were also observed for compound 40 substituted in this position by a 4-chlorobenzylthio group (R1 = 4-ClPh). On the other hand, the replacement of the chlorine atom (i.e., compound 40) in the position 4 of the phenyl substituent by a more bulky substituent such as a trifluoromethyl (35) or methyl (39) group appears to have an adverse effect on the tested activity. Insertion of these groups has led to a significant increase in the MIC values.
Table 3.
Compounds having similar or higher activity than fluconazole.
| Organism (no. tested) and Compd | Number of Susceptible Strains at MIC (µg/mL) of: | ||||
|---|---|---|---|---|---|
| ≤6.2 | 12.5 | 25 | 50 | 100 | |
| Candida tropicalis (three strains) | |||||
| 21 | 1 | ||||
| 23 | 1 | ||||
| 25 | 1 | ||||
| 34 | 1 | ||||
| 35 | 1 | ||||
| 36 | 1 | ||||
| 40 | 1 | ||||
| F | 3 a | ||||
| Candida guilliermondii (two strains) | |||||
| 25 | 1 | ||||
| 35 | 1 | ||||
| F | 1 | 1 | |||
| Candida parapsilosis (three strains) | |||||
| 34 | 1 | ||||
| 38 | 1 | ||||
| F | 1 | 1 | 1 | ||
| Rhodothorula mucilaginosa (two strains) | |||||
| 19 | 1 | 1 | |||
| 24 | 1 | 1 | |||
| 26 | 1 | 1 | |||
| 34 | 1 | 1 | |||
| 37 | 1 | 1 | |||
| 39 | 1 | 1 | |||
| F | 2 a | ||||
a for fluconazole MIC ≥ 100 µg/mL; F—fluconazole (Fluka).
Decreased antifungal activity was also observed if the benzylthio group at the position 2 of benzenesulfonamide (compound 34) was replaced by larger substituents such as 6-chlorobenzo[d]-[1,3]dioxol-5-ylmethylthio (37) or 2,3-dihydrobenzo[b][1,4]-dioxan-2-ylmethylthio (38). The activity of compound 37 has been limited only to three species however, the obtained MICs against sensitive strains were comparable or higher than those of reference or compounds 34, 36 and 40 having the best antifungal properties. The derivative 38, in turn, showed relatively poor MIC as compared to both the most active derivatives (34, 36 and 40) and fluconazole.
3. Experimental Section
3.1. General Procedures
The melting points were determined on a Boethius PHMK apparatus and are uncorrected. Infrared (IR) spectra were recorded on a Thermo Mattson Satellite FTIR spectrophotometer. The NMR spectra was carried out on a Varian Gemini 200 apparatus at 200 MHz (1H-NMR) and 50 MHz (13C-NMR) or on a Varian Unity 500 Plus apparatus at 500 MHz (1H-NMR) and 125 MHz (13C-NMR). Chemical shifts are expressed as δ values in parts per million (ppm) relative to TMS as internal standard. Spectra were acquired in deuterated dimethylsulfoxide (DMSO-d6). The results of elemental analyses for C, H and N were in agreement with the theoretical values within ±0.4% range. The commercially unavailable substrates were obtained according to the following methods described previously: N-(2-benzylthio-4-chloro-5-methylbenzenesulfonyl)cyanamide potassium salt (3) [30], N-[4-chloro-5-methyl-2-(4-trifluoromethylbenzylthio)benzenesulfonyl]cyanamide potassium salt (4) [31], N-[4-chloro-5-methyl-2-(3-trifluoromethylbenzylthio)benzenesulfonyl]cyanamide potassium salt (5) [32], N-[4-chloro-2-(6-chlorobenzo[d][1,3]dioxol-5-ylmethylthio)-5-methylbenzenesulfonyl]cyanamide potassium salt (6) [32], N-[4-chloro-2-(2,3-dihydrobenzo[b][1,4]dioxan-2-ylmethylthio)-5-methyl- benzenesulfonyl]cyanamide potassium salt (7) [31], 1-amino-2-(2-benzylthio-4-chloro-5-methyl-benzenesulfonyl)guanidine (11) [33].
3.2. Synthesis
3.2.1. General Procedure for the Preparation of N-(2-Alkylthio-4-chloro-5-methylbenzenesulfonyl)-cyanamide Potassium Salts 8–10
A mixture of 2 (3 mmol) and the appropriate alkyl chloride (3.3 mmol) in water (9 mL) was stirred at 0 °C for 1–4 h. The solid was filtered off and crystallized from ethanol. In this manner the following potassium salts were obtained.
N-[4-Chloro-5-methyl-2-(4-methylbenzylthio)benzenesulfonyl]cyanamide potassium salt (8). Starting from 2 (1.017 g) and 4-methylbenzyl chloride (0.44 mL) in water with stirring for 1 h, 1.125 g (92%) of the title compound 8 was obtained, mp 198–200 °C; IR (KBr) νmax 2922 (C-H), 2174 (C≡N), 1343, 1142 (SO2) cm−1; 1H-NMR (200 MHz, DMSO-d6) δ 2.28 (s, 3H, CH3), 2.32 (s, 3H, CH3), 4.2 (s, 2H, SCH2), 7.12–7.16 (d, J = 8.0 Hz, 2H, arom.), 7.3–7.34 (d, J = 7.9 Hz, 2H, arom.), 7.38 (s, 1H, H-3), 7.74 (s, 1H, H-6); anal. C 47.28, H 3.33, N 6.75% calcd for C16H14ClKN2O2S2, C 47.45, H 3.48, N 6.93%.
N-[4-Chloro-2-(4-chlorobenzylthio)-5-methylbenzenesulfonyl]cyanamide potassium salt (9). Starting from 2 (1.017 g) and 4-chlorobenzyl chloride (0.531 g) in water with stirring for 4 h, 1.253 g (98%) of the title compound 9 was obtained, mp 231–233 °C; IR (KBr) νmax 2920 (C-H), 2175 (C≡N), 1342, 1143 (SO2) cm−1; 1H-NMR (200 MHz, DMSO-d6) δ 2.3 (s, 3H, CH3), 4.28 (s, 2H, SCH2), 7.34–7.50 (m, 5H, arom.), 7.73 (s, 1H, H-6); anal. C 42.33, H 2.58, N 6.55% calcd for C15H11Cl2KN2O2S2, C 42.35, H 2.61, N 6.59%.
N-{4-Chloro-5-methyl-2-[(2-phenylsulfonyl)ethylthio]benzenesulfonyl}cyanamide potassium salt (10). Starting from 2 (1.017 g) and 2-(phenylsulfonyl)ethyl chloride (0.675 g) in water with stirring for 1.5 h, 1.346 g (87%) of the title compound 10 was obtained, mp 126–129 °C; IR (KBr) νmax 2922 (C-H), 2179 (C≡N), 1343, 1151 (SO2) cm−1; 1H-NMR (200 MHz, DMSO-d6) δ 2.31 (s, 3H, CH3), 3.12–3.19 (m, 2H, CH2S), 3.35–3.62 (m, 2H, CH2SO2), 7.26 (s, 1H, H-3), 7.63–7.7.81 (m, 4H, arom.), 7.92–7.96 (m, 2H, arom.); anal. C 40.90, H 2.96, N 5.90% calcd for C16H14ClKN2O4S3, C 40.97, H 3.01, N 5.97%.
3.2.2. General Procedure for the Preparation of 1-Amino-2-(2-alkylthio-4-chloro-5-methylbenzene- sulfonyl)guanidines 12–18
To a suspension of the appropriate N-(2-alkylthio-4-chloro-5-methylbenzenesulfonyl)cyanamide potassium salt 4–10 (3 mmol) in dry toluene (2.5–22.5 mL) hydrazine monohydrochloride (3 mmol) was added. A reaction mixture was stirred at reflux for 3–10 h, and left overnight at 0 °C. The precipitate was filtered off and dried, then treated with water (40 mL). After vigorously stirring for 30 min the precipitate was collected by filtration and dried. In this manner the following aminoguanidines were obtained:
1-Amino-2-[4-chloro-5-methyl-2-(4-trifluoromethylbenzylthio)benzenesulfonyl]guanidine (12). From 4 (1.377 g) in dry toluene (3 mL) with stirring for 4.5 h, 0.750 g (55%) of the title compound 12 was obtained, mp 210–212 °C; IR (KBr) νmax 3482, 3332 (NH2, NH), 2959 (C-H), 1324, 1129 (SO2) cm−1; 1H-NMR (200 MHz, DMSO-d6) δ 2.28 (s, 3H, CH3), 4.40 (s, 2H, SCH2), 4.52 (s, 2H, CNH2), 7.00 (s, 2H, NNH2), 7.41 (s, 1H, H-3), 7.63 (d, 2H, arom.), 7.68 (d, 2H, arom.), 7.80 (s, 1H, H-6); anal. C 42.41, H 3.53, N 12.32% calcd for C16H16ClF3N4O2S2, C 42.43, H 3.56, N 12.37%.
1-Amino-2-[4-chloro-5-methyl-2-(3-trifluoromethylbenzylthio)benzenesulfonyl]guanidine (13). From 5 (1.377 g) in dry toluene (9 mL) with stirring for 3 h, 1.214 g (89%) of the title compound 13 was obtained, mp 154–155 °C; IR (KBr) νmax 3437, 3333 (NH2, NH), 2924, 2854 (C-H), 1330, 1126 (SO2) cm−1; 1H-NMR (200 MHz, DMSO-d6) δ 2.29 (s, 3H, CH3), 4.41 (s, 2H, SCH2), 4.51 (s, 2H, CNH2), 6.98 (s, 2H, NNH2), 7.42 (s, 1H, H-3), 7.56–7.77 (m, 4H, arom.), 7.82 (s, 1H, H-6), 8.44 (s, 1H, NH); anal. C 42.38, H 3.49, N 12.30%, calcd for C16H16ClF3N4O2S2, C 42.43, H 3.56, N 12.37%.
1-Amino-2-[4-chloro-2-(6-chlorobenzo[d][1,3]dioxol-5-ylmethylthio)-5-methylbenzenesulfonyl]-guanidine (14). From 6 (1.401 g) in dry toluene (2.5 mL) with stirring for 4 h, 1.167 g (84%) of the title compound 14 was obtained, mp 245–250 °C; IR (KBr) νmax 3476, 3366 (NH2, NH), 2957, 2905 (C-H), 1343, 1131 (SO2) cm−1; 1H-NMR (200 MHz, DMSO-d6) δ 2.32 (s, 3H, CH3), 4.24 (s, 2H, SCH2), 4.49 (s, 2H, CNH2), 6.08 (s, 2H, OCH2O), 6.98 (s, 2H, NNH2), 7.08 (s, 1H, arom.), 7.12 (s, 1H, arom.), 7.38 (s, 1H, H-3), 7.84 (s, 1H, H-6), 8.43 (s, 1H, NH); anal. C 41.45, H 3.49, N 12.10% calcd for C16H16Cl2N4O4S2, C 41.47, H 3.48, N 12.09%.
1-Amino-2-[4-chloro-2-(2,3-dihydrobenzo[b][1,4]-dioxan-2-ylmethylthio)-5-methylbenzenesulfonyl]-guanidine (15). From 7 (1.347 g) in dry toluene (3 mL) with stirring for 4 h, 1.157 g (87%) of the title compound 15 was obtained, mp 171–175 °C; IR (KBr) νmax 3441, 3335, 3223 (NH2, NH), 2924, 2854 (C-H), 1344, 1132 (SO2) cm−1; 1H-NMR (200 MHz, DMSO-d6) δ 2.30 (s, 3H, CH3), 3.30 (s, 2H, SCH2), 4.01–4.11 (m, 1H, CHO), 4.30–4.40 (m, 2H, CH2O), 4.50 (s, 2H, CNH2), 6.80 (s, 4H, arom.), 7.00 (s, 2H, NNH2), 7.60 (s, 1H, H-3), 7.80 (s, 1H, H-6), 8.40 (s, 1H, NH); anal. C 45.99, H 4.31, N 12.63% calcd for C17H19ClN4O4S2, C 46.10, H 4.32, N 12.65%.
1-Amino-2-[4-chloro-5-methyl-2-(4-methylbenzylthio)benzenesulfonyl]guanidine (16). From 8 (1.215 g) in dry toluene (2.5 mL) with stirring for 4 h, 0.965 g (81%) of the title compound 16 was obtained, mp 200–202 °C; IR (KBr) νmax 3472, 3364, 3342 (NH2, NH), 2958, 2924 (C-H), 1339, 1135 (SO2) cm−1; 1H-NMR (200 MHz, DMSO-d6) δ 2.25 (s, 3H, CH3), 2.35 (s, 3H, CH3), 4.25 (s, 2H, SCH2), 4.50 (s, 2H, CNH2), 7.00 (s, 2H, NNH2), 7.10–7.20 (d, J = 8.0 Hz, 2H, arom.), 7.28–7.36 (d, J = 8.0 Hz, 2H, arom.), 7.42 (s, 1H, H-3), 7.80 (s, 1H, H-6), 8.40 (s, 1H, NH); anal. C 48.14, H 4.75, N 14.00% calcd for C16H19ClN4O2S2, C 48.17, H 4.80, N 14.04%.
1-Amino-2-[4-chloro-2-(4-chlorobenzylthio)-5-methylbenzenesulfonyl]guanidine (17). From 9 (1.277 g) in dry toluene (18 mL) with stirring for 10 h, 1.070 g (85%) of the title compound 17 was obtained, mp 200–203 °C; IR (KBr) νmax 3476, 3359 (NH2, NH), 2961, (C-H), 1342, 1127 (SO2) cm−1; 1H-NMR (200 MHz, DMSO-d6) δ 2.29 (s, 3H, CH3), 4.30 (s, 2H, SCH2), 4.51 (s, 2H, CNH2), 6.98 (s, 2H, NNH2), 7.34–7.50 (m, 5H, arom.), 7.80 (s, 1H, H-6), 8.42 (s, 1H, NH); anal. C 42.92, H 3.82, N 13.34% calcd for C15H16Cl2N4O2S2, C 42.96, H 3.85, N 13.36%.
1-Amino-2-{4-chloro-5-methyl-2-[(2-phenylsulfonyl)ethylthio]benzenesulfonyl}guanidine (18). From 10 (1.407 g) in dry toluene (16.5 mL) with stirring for 4 h, 1.361 g (98%) of the title compound 18 was obtained, mp 183–185 °C; IR (KBr) νmax 3455, 3349 (NH2, NH), 2923, 2853 (C-H), 1314, 1144 (SO2) cm−1; 1H-NMR (200 MHz, DMSO-d6) δ 2.30 (s, 3H, CH3), 3.10–3.25 (m, 2H, SCH2), 3.50–3.65 (m, 2H, CH2SO2), 4.50 (s, 2H, CNH2), 6.97 (s, 2H, NNH2), 7.30 (s, 1H, H-3), 7.62–7.86 (m, 4H, arom.), 7.90–8.00 (m, 2H, arom.), 8.40 (s, 1H, NH); anal. C 41.49, H 4.13, N 12.05% calcd for C16H19ClN4O4S3, C 41.51, H 4.14, N 12.10%.
3.2.3. General Procedure for the Preparation of 2-Alkylthio-4-chloro-5-methyl-N-[imino-(4-methyl-1-oxo-(1H)-phthalazin-2-yl)methyl]benzenesulfonamides 19–26
To a suspension of the appropriate 1-amino-2-(2-alkylthio-4-chloro-5-methylbenzenesulfonyl)guanidine 11–18 (0.5 mmol) in glacial acetic acid (19–22, 24–26—1 mL) or 1,4-dioxane (23—2.2 mL) 2-acetylbenzoic acid (0.082 g, 0.5 mmol) was added. A reaction mixture was stirred at reflux for 1–8 h, the precipitate was filtered off, dried and crystallized from acetonitrile (19, 24, 26), ethanol (20–21, 23, 25) or benzene (22). In this manner the following compounds were obtained:
2-Benzylthio-4-chloro-5-methyl-N-[imino-(4-methyl-1-oxo-(1H)-phthalazin-2-yl)methyl]benzene-sulfonamide (19). Starting from 11 (0.192 g) with stirring for 5 h, 0.110 g (51%) of the title compound 19 was obtained, mp 170–175 °C; IR (KBr) νmax 3330, 3210 (NH), 2923, 2853 (C-H), 1664 (C=O), 1638 (NH), 1343, 1145 (SO2) cm−1; 1H-NMR (200 MHz, DMSO-d6) δ 2.20 (s, 3H, CH3Ph), 2.48 (s, 3H, CH3), 4.36 (s, 2H, SCH2), 7.25–7.35 (m, 3H, arom.), 7.44–7.48 (m, 2H, arom.), 7.51 (s, 1H, H-3), 7.77 (s, 1H, H-6), 7.91–8.05 (m, 3H, H-5, H-6, H-7 phthalazine), 8.29–8.33 (d, J = 7.8 Hz , 1H, H-8 phthalazine), 8.95 (s, 1H, C=NH), 9.29 (s, 1H, SO2NH); anal. C 56.17, H 4.16, N 11.05% calcd for C24H21ClN4O3S2, C 56.19, H 4.13, N 10.92%.
4-Chloro-5-methyl-2-(4-trifluoromethylbenzylthio)-N-[imino-(4-methyl-1-oxo-(1H)-phthalazin-2-yl)-methyl]benzenesulfonamide (20). Starting from 12 (0.209 g) with stirring for 1 h, 0.160 g (53%) of the title compound 20 was obtained, mp 169–174 °C; IR (KBr) νmax 3331 (NH), 2923, 2853 (C-H), 1664 (C=O), 1642 (NH), 1528, 1447 (C=C, C=N), 1324, 1146 (SO2) cm−1; 1H-NMR (500 MHz, DMSO-d6) δ 2.15 (s, 3H, CH3Ph), 2.41 (s, 3H, CH3), 4.44 (s, 2H, SCH2), 7.48 (s, 1H, H-3), 7.57–7.59 (d, J = 7.5 Hz, 2H, arom.), 7.63–7.65 (d, J = 7.5 Hz, 2H, arom.), 7.72 (s, 1H, H-6), 7.90–8.02 (m, 3H, H-5, H-6, H-7 phthalazine), 8.26–8.27 (d, J = 7.8 Hz, 1H, H-8 phthalazine), 8.93 (s, 1H, C=NH), 9.29 (s, 1H, SO2NH); 13C-NMR (125 MHz, DMSO-d6) δ 18.4, 18.9, 35.9, 125.1, 126.1, 126.4, 126.9, 128.7, 129.2, 129.9, 130.8, 132.4, 132.5, 134.5, 135.4, 137.3, 138.4, 141.5, 144.2, 154.4, 157.2; anal. C 51.66, H 3.48, N 9.65% calcd for C25H20ClF3N4O3S2, C 51.68, H 3.47, N 9.64%.
4-Chloro-5-methyl-2-(3-trifluoromethylbenzylthio)-N-[imino-(4-methyl-1-oxo-(1H)-phthalazin-2-yl)methyl]benzenesulfonamide (21). Starting from 13 (0.209 g) with stirring for 1.5 h, 0.125 g (43%) of the title compound 21 was obtained, mp 145–149 °C; IR (KBr) νmax 3333, 3208 (NH), 2923 (C-H), 1665 (C=O), 1639 (NH), 1526, 1449 (C=C, C=N), 1331, 1145 (SO2) cm−1; 1H-NMR (500 MHz, DMSO-d6) δ 2.16 (s, 3H, CH3Ph), 2.42 (s, 3H, CH3), 4.44 (s, 2H, SCH2), 7.47–7.50 (m, 2H, H-3, arom.), 7.57–7.59 (m, 2H, arom.), 7.76–7.78 (m, 3H, H-6, arom.), 7.89–8.01 (m, 3H, H-5, H-6, H-7 phthalazine), 8.25–8.27 (d, J = 7.8 Hz, 1H, H-8 phthalazine), 8.93 (s, 1H, C=NH), 9.28 (s, 1H, SO2NH); 13C-NMR (125 MHz, DMSO-d6) δ 19.0, 19.5, 36.7, 124.6, 124.7, 126.5, 126.8, 127.1, 127.6, 129.7, 129.8, 129.9, 130.2, 131.5, 133.1, 133.3, 133.9, 135.1, 136.0, 137.9, 138.7, 139.1, 144.9, 155.1, 157.9; anal. C 51.63, H 3.44, N 9.59% calcd for C25H20ClF3N4O3S2, C 51.68, H 3.47, N 9.64%.
4-Chloro-2-(6-chlorobenzo[d][1,3]dioxol-5-ylmethylthio)-5-methyl-N-[imino-(4-methyl-1-oxo-(1H)-phthalazin-2-yl)methyl]benzenesulfonamide (22). Starting from 14 (0.231 g) with stirring for 8 h, 0.127 g (43%) of the title compound 22 was obtained, mp 159–162 °C; IR (KBr) νmax 3414, 3333 (NH), 2920 (C-H), 1662 (C=O), 1639 (NH), 1527, 1804 (C=C, C=N), 1345, 1145 (SO2) cm−1; 1H-NMR (200 MHz, DMSO-d6) δ 2.20 (s, 3H, CH3Ph), 2.47 (s, 3H, CH3), 4.30 (s, 2H, SCH2), 6.01 (s, 2H, OCH2O), 7.07 (s, 1H, arom.), 7.10 (s, 1H, arom.), 7.44 (s, 1H, H-3), 7.78 (s, 1H, H-6), 7.92–8.03 (m, 3H, H-5, H-6, H-7 phthalazine), 8.26–8.30 (d, J = 7.8 Hz, 1H, H-8 phthalazine), 8.90 (s, 1H, C=NH), 9.35 (s, 1H, SO2NH); anal. C 50.73, H 3.40, N 9.45% calcd for C25H20Cl2N4O5S2, C 50.76, H 3.41, N 9.47%.
4-Chloro-2-(2,3-dihydrobenzo[b][1,4]-dioxan-2-ylmethylthio)-5-methyl-N-[imino-(4-methyl-1-oxo-(1H)-phthalazin-2-yl)methyl]benzenesulfonamide (23). Starting from 15 (0.222 g) with stirring for 5 h, 0.126 g (44%) of the title compound 23 was obtained, mp 156–160 °C; IR (KBr) νmax 3331, 3211 (NH), 2923, 2847 (C-H), 1666 (C=O), 1637 (NH), 1523, 1494 (C=C, C=N), 1343, 1145 (SO2) cm−1; 1H-NMR (200 MHz, DMSO-d6) δ 2.20 (s, 3H, CH3Ph), 2.47 (s, 3H, CH3), 3.46–3.49 (m, 2H, SCH2), 4.04–4.10 (m, 1H, OCH), 4.35–4.39 (m, 2H, OCH2), 6.71–6.81 (m, 4H, arom.), 7.74 (s, 1H, H-3), 7.78 (s, 1H, H-6), 7.92–8.03 (m, 3H, H-5, H-6, H-7 phthalazine), 8.23–8.27 (d, J = 7.8 Hz, 1H, H-8 phthalazine), 8.94 (s, 1H, C=NH), 9.30 (s, 1H, SO2NH); anal. C 54.63, H 4.03, N 9.79% calcd for C26H23ClN4O5S2, C 54.68, H 4.06, N 9.81%.
4-Chloro-5-methyl-2-(4-methylbenzylthio)-N-[imino-(4-methyl-1-oxo-(1H)-phthalazin-2-yl)methyl]-benzenesulfonamide (24). Starting from 16 (0.200 g) with stirring for 6 h, 0.081 g (30%) of the title compound 24 was obtained, mp 174–180 °C; IR (KBr) νmax 3372, 3231 (NH), 2921, 2853 (C-H), 1685 (C=O), 1634 (NH), 1575, 1456 (C=C, C=N), 1344, 1145 (SO2) cm−1; 1H-NMR (500 MHz, DMSO-d6) δ 2.17 (s, 3H, CH3Ph), 2.22 (s, 3H, CH3Ph), 2.45 (s, 3H, CH3), 4.27 (s, 2H, SCH2), 7.04–7.06 (d, J = 7.9 Hz, 2H, arom.), 7.29–7.30 (d, J = 7.9 Hz, 2H, arom.), 7.47 (s, 1H, H-3), 7.73 (s, 1H, H-6), 7.90–8.02 (m, 3H, H-5, H-6, H-7 phthalazine), 8.26–8.28 (d, J = 7.8 Hz, 1H, H-8 phthalazine), 8.89 (s, 1H, C=NH), 9.26 (s, 1H, SO2NH); 13C-NMR (125 MHz, DMSO-d6) δ 19.1, 19.5, 21.4, 37.1, 126.8, 127.1, 127.6, 128.9, 129.6, 129.8, 129.9, 131.4, 132.7, 133.1, 133.7, 135.1, 137.1, 137.2, 137.9, 138.5, 144.9, 155.0, 157.9; anal. C 56.95, H 4.36, N 10.67% calcd for C25H23ClN4O3S2, C 56.97, H 4.40, N 10.63%.
4-Chloro-2-(4-chlorobenzylthio)-5-methyl-N-[imino-(4-methyl-1-oxo-(1H)-phthalazin-2-yl)methyl]-benzenesulfonamide (25). Starting from 17 (0.210 g) with stirring for 1 h, 0.160 g (53%) of the title compound 25 was obtained, mp 169–174 °C; IR (KBr) νmax 3230 (NH), 2920 (C-H), 1683 (C=O), 1634 (NH), 1575, 1487 (C=C, C=N), 1344, 1144 (SO2) cm−1; 1H-NMR (500 MHz, DMSO-d6) δ 2.16 (s, 3H, CH3Ph), 2.43 (s, 3H, CH3), 4.33 (s, 2H, SCH2), 7.29–7.30 (d, J = 7.8 Hz, 2H, arom.), 7.43–7.47 (m, 3H, H-3, arom.), 7.72 (s, 1H, H-6), 7.90–8.02 (m, 3H, H-5, H-6, H-7 phthalazine), 8.26–8.28 (d, J = 7.8 Hz, 1H, H-8 phthalazine), 8.92 (s, 1H, C=NH), 9.27 (s, 1H, SO2NH); 13C-NMR (125 MHz, DMSO-d6) δ 19.1, 19.5, 36.5, 126.8, 127.1, 127.5, 129.0, 129.3, 129.9, 131.4, 131.7, 132.5, 133.0, 133.2, 135.1, 136.1, 136.5, 137.9, 138.9, 144.9, 155.0, 157.9; anal. C 52.67, H 3.66, N 10.26% calcd for C24H20Cl2N4O3S2, C 52.65, H 3.68, N 10.23%.
4-Chloro-5-methyl-2-[(2-phenylsulfonyl)ethylthio]-N-[imino-(4-methyl-1-oxo-(1H)-phthalazin-2-yl)-methyl]benzenesulfonamide (26). Starting from 18 (0.238 g) with stirring for 3.5 h, 0.190 g (64%) of the title compound 25 was obtained, mp 193–195 °C; IR (KBr) νmax 3372, 3231 (NH), 2921, 2853 (C-H), 1685 (C=O), 1634 (NH), 1575, 1456 (C=C, C=N), 1344, 1145 (SO2) cm−1; 1H-NMR (200 MHz, DMSO-d6) δ 2.13 (s, 3H, CH3Ph), 2.45 (s, 3H, CH3), 3.20–3.27 (m, 2H, CH2), 3.55–3.63 (m, 2H, CH2), 7.45 (s, 1H, H-3), 7.61–7.81 (m, 4H, arom.), 7.89–8.06 (m, 5H, H-5, H-6 and H-7 phthalazine, arom.), 8.16–8.20 (d, J = 7.8 Hz, 1H, H-8 phthalazine), 8.91 (s, 1H, C=NH), 9.25 (s, 1H, SO2NH); 13C-NMR (50 MHz, DMSO-d6) δ 18.7, 19.6, 26.4, 54.3, 126.4, 126.6, 127.1, 128.0,129.4, 129.9, 130.0, 131.1, 132.7, 133.8, 134.3, 134.4, 134.7, 137.9, 138.6, 139.8, 144.6, 154.6, 157.3; anal. C 50.82, H 3.91, N 9.51% calcd for C25H23ClN4O5S3, C 50.80, H 3.92, N 9.48%.
3.2.4. General Procedure for the Preparation of N-(2-Alkylthio-4-chloro-5-methylbenzenesulfonyl)-2-(2-carboxybenzylidene)hydrazinecarboximidamides 27–33
To a suspension of the appropriate 1-amino-2-(2-alkylthio-4-chloro-5-methylbenzenesulfonyl)guanidine (11–17) (1.5 mmol) in glacial acetic acid (3 mL) 2-formylbenzoic acid (0.225 g, 1.5 mmol) was added. A reaction mixture was stirred at reflux for 1–11 h, the precipitate was filtered off and dried. In this manner the following compounds were obtained:
N-(2-Benzylthio-4-chloro-5-methylbenzenesulfonyl)-2-(2-carboxybenzylidene)hydrazinecarboximid-amide (27). Starting from 11 (0.576 g) with stirring for 11 h, 0.348 g (45%) of the title compound 27 was obtained, mp 205–207 °C; IR (KBr) νmax 3456, 3345 (NH), 2923 (C-H), 1674 (C=O), 1626 (NH), 1599, 1485 (C=C, C=N), 1345, 1139 (SO2) cm−1; 1H-NMR (200 MHz, DMSO-d6) δ 2.35 (s, 3H, CH3Ph), 4.38 (s, 2H, SCH2), 7.19–7.29 (m, 4H, C=NH, arom.), 7.39–7.45 (m, 2H, N=CH, arom.), 7.50–7.62 (m, 3H, arom.), 7.80 (s, 1H, H-3), 7.86–7.88 (m, 1H, arom.), 7.93 (brs, 1H, NHN), 8.26–8.28 (d, J = 7.4 Hz, 1H, H-3 carboxybenzylidene), 8.83 (s, 1H, H-6), 11.56 (s, 1H, SO2NH), 13.35 (brs, 1H, COOH); anal. C 53.39, H 4.11, N 10.86% calcd for C23H21ClN4O4S2, C 53.43, H 4.09, N 10.84%.
2-(2-Carboxybenzylidene)-N-[2-(4-trifluoromethylbenzylthio)-4-chloro-5-methylbenzenesulfonyl]-hydrazinecarboximidamide (28). Starting from 12 (0.627 g) with stirring for 1.5 h, 0.684 g (78%) of the title compound 28 was obtained, mp 203–208 °C; IR (KBr) νmax 3452, 3335 (NH), 2923 (C-H), 1670 (C=O), 1630 (NH), 1565, 1486 (C=C, C=N), 1323, 1140 (SO2) cm−1; 1H-NMR (200 MHz, DMSO-d6) δ 2.33 (s, 3H, CH3Ph), 4.46 (s, 2H, SCH2), 7.24 (brs, 1H, C=NH),7.48–7.67 (m, 7H, N=CH, arom.), 7.82–7.97 (m, 3H, NHN, arom.), 8.26–8.30 (d, J = 7.4 Hz, 1H, H-3 carboxy-benzylidene), 8.87 (s, 1H, H-6), 11.58 (s, 1H, SO2NH), 13.35 (brs, 1H, COOH); anal. C 49.30, H 3.48, N 9.57% calcd for C24H20ClF3N4O4S2, C 49.27, H 3.45, N 9.58%.
2-(2-Carboxybenzylidene)-N-[2-(3-trifluoromethylbenzylthio)-4-chloro-5-methylbeneznesulfonyl]-hydrazinecarboximidamide (29). Starting from 13 (0.627 g) with stirring for 1.5 h, 0.639 g (73%) of the title compound 29 was obtained, mp 187–191 °C; IR (KBr) νmax 3454, 3348 (NH), 2922 (C-H), 1663 (C=O), 1625 (NH), 1569, 1486 (C=C, C=N), 1329, 1136 (SO2) cm−1; 1H-NMR (200 MHz, DMSO-d6) δ 2.32 (s, 3H, CH3Ph), 4.47 (s, 2H, SCH2), 7.25 (brs, 1H, C=NH),7.47–7.64 (m, 5H, N=CH, arom.), 7.71–7.78 (m, 2H, arom.), 7.86–7.93 (m, 3H, NHN, arom.), 8.24–8.28 (d, J = 7.4 Hz, 1H, H-3 carboxybenzylidene), 8.83 (s, 1H, H-6), 11.55 (s, 1H, SO2NH), 13.35 (brs, 1H, COOH); anal. C 49.25, H 3.12, N 9.54% calcd for C24H20ClF3N4O4S2, C 49.27, H 3.45, N 9.58%.
2-(2-Carboxybenzylidene)-N-[2-(6-chlorobenzo[d][1,3]dioxol-5-ylmethylthio)-4-chloro-5-methyl-beneznesulfonyl]hydrazinecarboximidamide (30). Starting from 14 (0.693 g) with stirring for 7 h, 0.804 g (90%) of the title compound 30 was obtained, mp 211–213 °C; IR (KBr) νmax 3449, 3342 (NH), 2922 (C-H), 1672 (C=O), 1626 (NH), 1598, 1487 (C=C, C=N), 1360, 1136 (SO2) cm−1; 1H-NMR (200 MHz, DMSO-d6) δ 2.36 (s, 3H, CH3Ph), 4.29 (s, 2H, SCH2), 5.98 (s, 2H, OCH2O), 7.25 (brs, 1H, C=NH),7.49–7.65 (m, 3H, N=CH, arom.), 7.79 (brs, 1H, NHN), 7.86–7.90 (d, J = 7.6 Hz, 1H, arom.), 7.96 (s, 1H, H-3), 8.25–8.29 (d, J = 7.4 Hz, 1H, H-3 carboxybenzylidene), 8.82 (s, 1H, H-6), 11.52 (s, 1H, SO2NH); anal. C 48.45, H 3.38, N 9.46% calcd for C24H20Cl2N4O6S2, C 48.41, H 3.39, N 9.41%.
2-(2-Carboxybenzylidene)-N-[2-(2,3-dihydrobenzo[b][1,4]-dioxan-2-ylmethylthio)-4-chloro-5-methyl-beneznesulfonyl]hydrazinecarboximidamide (31). Starting from 15 (0.666 g) with stirring for 1 h, 0.639 g (74%) the title compound 31 was obtained, mp 196–202 °C; IR (KBr) νmax 3457, 3347 (NH), 2922 (C-H), 1666 (C=O), 1625 (NH), 1596, 1444 (C=C, C=N), 1345, 1140 (SO2) cm−1; 1H-NMR (200 MHz, DMSO-d6) δ 2.37 (s, 3H, CH3Ph), 3.36–3.42 (m, 2H, SCH2), 4.01–4.11 (m, 1H, CHO), 4.34–4.39 (m, 2H, CH2O), 6-70-6.80 (m, 4H, arom.), 7.29 (brs, 1H, C=NH),7.48–7.66 (m, 3H, N=CH, arom.), 7.86–7.89 (m, 2H, NHN, arom.), 7.98 (s, 1H, H-3), 8.26–8.30 (d, J = 7.4 Hz, 1H, H-3 carboxybenzylidene), 8.83 (s, 1H, H-6), 11.56 (s, 1H, SO2NH), 13.10 (brs, 1H, COOH); anal. C 52.19, H 3.98, N 9.76% calcd for C25H23ClN4O6S2, C 52.22, H 4.03, N 9.74%.
2-(2-Carboxybenzylidene)-N-[2-(4-methylbenzylthio)-4-chloro-5-methylbeneznesulfonyl]hydrazine-carboximidamide (32). Starting from 16 (0.600 g) with stirring for 11 h, 0.726 g (91%) of the title compound 32 was obtained, mp 204–210 °C; IR (KBr) νmax 3456, 3344 (NH), 2922 (C-H), 1674 (C=O), 1627 (NH), 1598, 1485 (C=C, C=N), 1346, 1141 (SO2) cm−1; 1H-NMR (500 MHz, DMSO-d6) δ 2.15 (s, 3H, CH3Ph), 2.30 (s, 3H, CH3Ph), 4.25 (s, 2H, SCH2), 7.02–7.03 (m, 2H, arom.), 7.21 (s, 1H, C=NH), 7.25–7.27 (m, 2H, arom.), 7.49–7.59 (m, 3H, N=CH, arom.), 7.77 (s, 1H, NHN), 7.85 (m, 1H, arom.), 7.89 (s, 1H, H-3), 8.25–8.26 (d, J = 7.4 Hz, 1H, H-3 carboxybenzylidene), 8.83 (s, 1H, H-6), 11.53 (s, 1H, SO2NH); 13C-NMR (125 MHz, DMSO-d6) δ 19.6, 21.3, 36.6, 127.8, 128.2, 129.6, 129.7, 130.3, 130.8, 131.1, 131.3, 132.4, 132.5, 133.7, 134.6, 136.4, 136.9, 137.2, 140.0, 144.2, 155.7, 168.8; anal. C 54.30, H 4.35, N 10.58% calcd for C24H23ClN4O4S2, C 54.28, H 4.37, N 10.55%.
2-(2-Carboxybenzylidene)-N-[2-(4-chlorobenzylthio)-4-chloro-5-methylbeneznesulfonyl]hydrazine-carboximidamide (33). Starting from 17 (0.630 g) with stirring for 3 h, 0.786 g (95%) of the title compound 33 was obtained, mp 184–189 °C; IR (KBr) νmax 3456, 3342 (NH), 2920 (C-H), 1672 (C=O), 1627 (NH), 1563, 1486 (C=C, C=N), 1345, 1141 (SO2) cm−1; 1H-NMR (200 MHz, DMSO-d6) δ 2.33 (s, 3H, CH3Ph), 4.36 (s, 2H, SCH2), 7.24 (brs, 1H, C=NH), 7.28–7.32 (d, J = 8.4 Hz, 2H, arom.), 7.41–7.46 (d, J = 8.4 Hz, 2H, arom.), 7.53–7.65 (m, 3H, N=CH, arom.), 7.82–7.93 (m, 3H, NH-N, H-3, arom.), 8.26–8.36 (d, J = 7.4 Hz, 1H, H-3 carboxybenzylidene), 8.86 (s, 1H, H-6), 11.57 (s, 1H, SO2NH), 13.28 (brs, 1H, COOH); anal. C 50.05, H 3.59, N 10.05% calcd for C23H20Cl2N4O4S2, C 50.09, H 3.66, N 10.16%.
3.2.5. General Procedure for the Preparation of 2-Alkylthio-4-chloro-5-methyl-N-[imino-(1-oxo-(1H)-phthalazin-2-yl)methyl]benzenesulfonamides 34–40
To a suspension of the appropriate N-(2-alkylthio-4-chloro-5-methylbeneznesulfonyl)-2-(2-carboxybenzylidene)hydrazinecarboximidamide (27–33) (0.5 mmol) in toluene (5 mL) p-toluenesulfonic acid (0.026 g, 0.15 mmol) was added. A reaction mixture was stirred at reflux for 1–4.5 h, the precipitate was filtered off, dried and crystallized from ethanol (34, 36) acetonitrile (35, 37, 39–40) or p-dioxane (38). In this manner the following compounds were obtained:
2-Benzylthio-4-chloro-5-methyl-N-[imino-(1-oxo-(1H)-phthalazin-2-yl)methyl]benzenesulfonamide (34). Starting from 27 (0.258 g) with stirring for 3 h, 0.160 g (64%) of the title compound 34 was obtained, mp 166–170 °C; IR (KBr) νmax 3314, 3199 (NH), 2920 (C-H), 1670 (C=O), 1642 (NH), 1316, 1147 (SO2) cm−1; 1H-NMR (500 MHz, DMSO-d6) δ 2.19 (s, 3H, CH3Ph), 4.32 (s, 2H, SCH2), 7.22–7.28 (m, 3H, arom.), 7.42–7.43 (m, 2H, arom.), 7.47 (s, 1H, H-3), 7.79 (s, 1H, H-4 phthalazine), 7.91–7.99 (m, 3H, H-5, H-6, H-7 phthalazine), 8.24–8.25 (d, J = 7.8 Hz , 1H, H-8 phthalazine), 8.48 (s, 1H, H-6), 8.89 (s, 1H, C=NH), 9.33 (s, 1H, SO2NH); 13C-NMR (125 MHz, DMSO-d6) δ b19.5, 37.3, 126.7, 127.8, 127.9, 128.1, 129.0, 129.1, 129.8, 129.9, 131.5, 132.8, 133.5, 135.3, 136.8, 137.1, 138.0, 138.3, 139.5, 155.0, 158.0; anal. 55.39, H 3.82, N 11.20% calcd for C23H19ClN4O3S2, C 55.36, H 3.84, N 11.23%.
4-Chloro-5-methyl-2-(4-trifluoromethylbenzylthio)-N-[imino-(1-oxo-(1H)-phthalazin-2-yl)methyl]-benzenesulfonamide (35). Starting from 28 (0.293 g) with stirring for 2 h, 0.122 g (43%) of the title compound 35 was obtained, mp 162–167 °C; IR (KBr) νmax 3372 (NH), 2922 (C-H), 1677 (C=O), 1629 (NH), 1554, 1453 (C=C, C=N), 1323, 1141 (SO2) cm−1; 1H-NMR (500 MHz, DMSO-d6) δ 2.19 (s, 3H, CH3Ph), 4.44 (s, 2H, SCH2), 7.49 (s, 1H, H-3), 7.58–7.60 (d, J = 8.0 Hz, 2H, arom.), 7.64–7.65 (d, J = 8.0 Hz, 2H, arom.), 7.80 (s, 1H, H-4 phthalazine), 7.91–8.00 (m, 3H, H-5, H-6, H-7 phthalazine), 8.23–8.25 (d, J = 7.8 Hz, 1H, H-8 phthalazine), 8.49 (s, 1H, H-6), 8.90 (s, 1H, C=NH), 9.35 (s, 1H, SO2NH); 13C-NMR (125 MHz, DMSO-d6) δ 19.5, 36.6, 125.8, 125.9, 126.7, 127.8, 128.1, 129.4, 129.9, 130.6, 131.5, 133.3, 133.5, 135.3, 136.1, 138.1, 138.7, 139.6, 142.2, 155.1, 158.0; anal. C 50.80, H 3.15, N 9.85% calcd for C24H18ClF3N4O3S2, C 50.84, H 3.20, N 9.88%.
4-Chloro-5-methyl-2-(3-trifluoromethylbenzylthio)-N-[imino-(1-oxo-(1H)-phthalazin-2-yl)methyl]-benzenesulfonamide (36). Starting from 29 (0.293 g) with stirring for 1 h, 0.057 g (20%) of the title compound 36 was obtained, mp 158–163 °C; IR (KBr) νmax 3389 (NH), 2923 (C-H), 1672 (C=O), 1640 (NH), 1520, 1451 (C=C, C=N), 1330, 1116 (SO2) cm−1; 1H-NMR (200 MHz, DMSO-d6) δ 2.22 (s, 3H, CH3Ph), 4.47 (s, 2H, SCH2), 7.50 (s, 1H, H-3), 7.55–7.62 (m, 2H, arom.), 7.74–7.78 (m, 2H, arom.), 7.82 (s, 1H, H-4 phthalazine), 7.89–8.01 (m, 3H, H-5, H-6, H-7 phthalazine), 8.24–8.28 (d, J = 7.8 Hz, 1H, H-8 phthalazine), 8.48 (s, 1H, H-6), 8.90 (s, 1H, C=NH), 9.35 (s, 1H, SO2NH); anal. C 50.87, H 3.24, N 9.89% calcd for C24H18ClF3N4O3S2, C 50.84, H 3.20, N 9.88%.
4-Chloro-2-(6-chlorobenzo[d][1,3]dioxol-5-ylmethylthio)-5-methyl-N-[imino-(1-oxo-(1H)-phthalazin-2-yl)methyl]benzenesulfonamide (37). Starting from 30 (0.298 g) with stirring for 2 h, 0.101 g (35%) of the title compound 37 was obtained, mp 180–185 °C; IR (KBr) νmax 3363, 3236 (NH), 2923, 2853 (C-H), 1676 (C=O), 1633 (NH), 1532, 1480 (C=C, C=N), 1344, 1138 (SO2) cm−1; 1H-NMR (200 MHz, DMSO-d6) δ 2.25 (s, 3H, CH3Ph), 4.31 (s, 2H, SCH2), 6.02 (s, 2H, OCH2O), 7.07 (s, 1H, arom.), 7.12 (s, 1H, arom.), 7.45 (s, 1H, H-3), 7.85 (s, 1H, H-4 phthalazine), 7.94–8.04 (m, 3H, H-5, H-6, H-7 phthalazine), 8.25–8.28 (d, J = 7.8 Hz, 1H, H-8 phthalazine), 8.48 (s, 1H, H-6), 8.90 (s, 1H, C=NH), 9.35 (s, 1H, SO2NH); anal. C 49.90, H 3.15, N 9.68% calcd for C25H20Cl2N4O5S2, C 49.92, H 3.14, N 9.70%.
4-Chloro-2-(2,3-dihydrobenzo[b][1,4]-dioxan-2-ylmethylthio)-5-methyl-N-[imino-(1-oxo-(1H)-phthalazin-2-yl)methyl]benzenesulfonamide (38). Starting from 31 (0.288 g) with stirring for 2 h, 0.175 g (63%) of the title compound 38 was obtained, mp 195–199 °C; IR (KBr) νmax 3380 (NH), 2920 (C-H), 1669 (C=O), 1636 (NH), 1526, 1491 (C=C, C=N), 1344, 1135 (SO2) cm−1; 1H-NMR (200 MHz, DMSO-d6) δ 2.23 (s, 3H, CH3Ph), 3.46–3.49 (m, 2H, SCH2), 4.05–4.10 (m, 1H, OCH), 4.35–4.40 (m, 2H, OCH2), 6.73–6.81 (m, 4H, arom.), 7.74 (s, 1H, H-3), 7.84 (s, 1H, H-4 phthalazine), 7.89–8.02 (m, 3H, H-5, H-6, H-7 phthalazine), 8.20–8.24 (d, J = 7.8 Hz, 1H, H-8 phthalazine), 8.45 (s, 1H, H-6), 8.94 (s, 1H, C=NH), 9.39 (s, 1H, SO2NH); anal. C 53.87, H 3.81, N 10.03% calcd for C25H21ClN4O5S2, C 53.90, H 3.80, N 10.06%.
4-Chloro-5-methyl-2-(4-methylbenzylthio)-N-[imino-(1-oxo-(1H)-phthalazin-2-yl)methyl]benzene-sulfonamide (39). Starting from 32 (0.114 g) with stirring for 4.5 h, 0.164 g (64%) of the title compound 39 was obtained, mp 184–186 °C; IR (KBr) νmax 3364, 3227 (NH), 2920, 2854 (C-H), 1681 (C=O), 1630 (NH), 1556, 1453 (C=C, C=N), 1339, 114 (SO2) cm−1; 1H-NMR (200 MHz, DMSO-d6) δ 2.24 (s, 3H, CH3Ph), 2.26 (s, 3H, CH3Ph), 4.31 (s, 2H, SCH2), 7.06–7.11 (d, J = 8.0 Hz, 2H, arom.), 7.31–7.35 (d, J = 8.0 Hz, 2H, arom.), 7.51 (s, 1H, H-3), 7.82 (s, 1H, H-4 phthalazine), 7.91–8.05 (m, 3H, H-5, H-6, H-7 phthalazine), 8.26–8.30 (d, J = 7.8 Hz, 1H, H-8 phthalazine), 8.52 (s, 1H, H-6), 8.90 (s, 1H, C=NH), 9.35 (s, 1H, SO2NH); anal. C 56.25, H 4.12, N 11.00% calcd for C24H21ClN4O3S2, C 56.19, H 4.13, N 10.92%.
4-Chloro-2-(4-chlorobenzylthio)-5-methyl-N-[imino-(1-oxo-(1H)-phthalazin-2-yl)methyl]benzene-sulfonamide (40). Starting from 33 (0.276 g) with stirring for 1.5 h, 0.100 g (37%) of the title compound 40 was obtained, mp 164–168 °C; IR (KBr) νmax 3363, 3229 (NH), 2921 (C-H), 1679 (C=O), 1630 (NH), 1557, 1489 (C=C, C=N), 1337, 1142 (SO2) cm−1; 1H-NMR (500 MHz, DMSO-d6) δ 2.20 (s, 3H, CH3Ph), 4.34 (s, 2H, SCH2), 7.30–7.31 (d, J = 8.0 Hz, 2H, arom.), 7.44–7.47 (m, 3H, H-3, arom.), 7.79 (s, 1H, H-4 phthalazine), 7.92–8.00 (m, 3H, H-5, H-6, H-7 phthalazine), 8.24–8.25 (d, J = 7.8 Hz, 1H, H-8 phthalazine), 8.49 (s, 1H, H-6), 8.89 (s, 1H, C=NH), 9.33 (s, 1H, SO2NH); 13C-NMR (125 MHz, DMSO-d6) δ b19.5, 36.4, 126.7, 127.8, 128.1, 129.0, 129.3, 129.9, 131.5, 131.6, 132.5, 133.1, 133.5, 135.3, 136.1, 136.5, 138.0, 138.6, 139.6, 155.1, 158.0; anal. C 51.77, H 3.36, N 10.50% calcd for C23H18Cl2N4O3S2, C 51.78, H 3.40, N 10.50%.
3.3. Antifungal Activity
The study involved 27 of patients in the 37–85 years old age range, with oral and oropharyngeal candidosis (11 patients), neoplastic disease (two patients), diabetes mellitus (three patients), patients after chemotherapy and radiotherapy (three patients), antibiotic (four patients) and steroid (two patients) therapy, wearing a dental prosthesis—18 patients). One (23 materials) or two (four materials) isolates per patient were included in this study. The strains were identified by standard morphological and biochemical methods (API tests-system, bioMerieux, Durham, NC, USA) [34,35]. A total of 31 strains belonging to the genera of Candida (26 strains), Geotrichum (two), Rhodotorula (two) and Saccharomyces (one) isolated from the patients were used for testing. The susceptibility (MIC) of fungi was determined by means of the dilution technique in the agar. The compounds were dissolved in 1 mL of dimethylsulfoxide (DMSO) immediately before the experiments. Further dilutions were performed using sterile distilled water. The following concentrations of compounds were used: 200, 100, 50, 25, 12.5 and 6.2 µg/mL. Fluconazole (Fluka, Buchs, Switzerland) was applied as a reference antifungal agent. Stock solutions were prepared by dissolving in DMSO. Final concentrations of fluconazole ranging from 3.1 to 100 µg/mL were used. Adequate concentrations of each compound and fluconazole were added to Sabouraud’s agar. The agar plate without compounds were the control growth of the fungal strains.
Inocula containing 105 colony forming units (CFU) per spot was seeded with a Steers replicator applied on the surface of the agar. The inoculated compound and compound-free agar plates were incubated under aerobic conditions for 24 h at 37 °C. The MIC was defined as the lowest concentration of the compound that completely inhibited the growth of yeast-like fungi. For some strains (Geotrichum candidum , Rhodotorula mucilaginosa and Saccharomyces cerevisiae) incubation was prolonged up to 48 h before carrying out the first reading.
4. Conclusions
We have developed facile methods for the synthesis of 2-alkylthio-4-chloro-5-methyl-N-[imino-(1-oxo-(1H)-phthalazin-2-yl)methyl]benzenesulfonamide derivatives 19–26, 34–40 by the reactions of the appropriate aminoguanidines 11–18 with ortho-carbonyl substituted benzoic acids. Fifteen of the new N-[imino-(1-oxo-(1H)-phthalazin-2-yl)methyl]benzenesulfonamide derivatives were screened in vitro for their antifungal effects against yeast-like fungi isolated from the oral cavity and respiratory tract of patients with candidiasis. Many of them have shown significant growth-inhibitory activity, superior or comparable to those of reference drug fluconazole. Regarding the structure-activity relationships, we conclude that in general the lack of a methyl group at position 4 of the 1-phthalazinone system enhanced the antifungal activity. Interestingly, compounds 22–24, 26, 34, 36, 37 and 40 exhibited the most prominent activities against Candida albicans, inhibiting at least 1–3 (12.5%–37.5%) of the eight tested strains at the low MIC level of ≤6.2–25 µg/mL, thus they may be the promising leads for further development as antifungal agents in the treatment of candidiasis.
Supplementary Materials
Supplementary materials can be accessed at: http://www.mdpi.com/1420-3049/19/9/13704/s1.
Supplementary Files
Supplementary File 1Acknowledgments
We gratefully acknowledge Medical University of Gdansk (ST 02-0016/07) for support this research.
Author Contributions
Jarosław Sławiński created the concept, and designed the study. Aneta Pogorzelska performed chemical research and analyzed both the chemical and biological data, and wrote the manuscript together with Jarosław Sławiński. Beata Żołnowska participated in data analyse. Anna Kędzia, Marta Ziółkowska-Klinkosz and Ewa Kwapisz tested the biological activity of the compounds and interpreted the results. All authors read and approved the final version of the article.
Conflicts of Interest
The authors declare no conflict of interest.
References
- Pagano, L.; Caira, M.; Candoni, A.; Offidani, M.; Fianchi, L.; Martino, B.; Pastore, D.; Picardi, M.; Bonini, A.; Chierichini, A.; et al. The epidemiology of fungal infections in patients with hematologic malignancies: The SEIFEM-2004 study. Haematol. Hematol. J. 2006, 91, 1068–1075. [Google Scholar]
- Guiot, H.F.L.; Fibbe, W.E.; van’t Wout, J.W. Risk Factors for Fungal Infection in Patients with Malignant Hematologic Disorders: Implications for Empirical Therapy and Prophylaxis. Clin. Inf. Dis. 1994, 18, 525–532. [Google Scholar] [CrossRef]
- Viudes, A.; Pemán, J.; Cantón, E.; Úbeda, P.; López-Ribot, J.; Gobernado, M. Candidemia at a tertiary-care hospital: Epidemiology, treatment, clinical outcome and risk factors for death. Eur. J. Clin. Microbiol. Inf. Dis. 2002, 21, 767–774. [Google Scholar]
- Pfaller, M.A.; Diekema, D.J. Epidemiology of invasive candidiasis: A persistent public health problem. Clin. Microbiol. Rev. 2007, 20, 133–163. [Google Scholar] [CrossRef]
- Perlin, D.S. Antifungal drug resistance: Do molecular methods provide a way forward? Curr. Opin. Infect. Dis. 2009, 22, 568–573. [Google Scholar] [CrossRef]
- Bouza, E.; Munoz, P. Epidemiology of candidemia in intensive care units. Int. J. Antimicrob. Agents 2008, 32 (Suppl. S2), S87–S91. [Google Scholar]
- Chow, J.K.; Golan, Y.; Ruthazer, K.; Korchmer, A.W.; Carmeli, Y.; Lichtenberg, D.A.; Chawla, V.; Young, J.A.; Hadley, S. Risk factors for albicans and non-albicans candidemia in the intensive care unit. Crit. Care Med. 2008, 36, 1993–1998. [Google Scholar] [CrossRef]
- Ortega, M.; Marco, F.; Soriano, A.; Almela, M.; Martínez, J.A.; López, J.; Pitart, C.; Mensa, J. Candida species bloodstream infection: Epidemiology and outcome in a single institution from 1991 to 2008. J. Hosp. Infect. 2011, 77, 157–161. [Google Scholar] [CrossRef]
- Rodloff, A.C.; Koch, D.; Schaumann, R. Epidemiology and antifungal resistance in invasive candidiasis. Eur. J. Med. Res. 2011, 16, 187–195. [Google Scholar] [CrossRef]
- Perea, S.; Patterson, T.F. Antifungal resistance in pathogenic fungi. Clin. Infect. Dis. 2002, 35, 1073–1080. [Google Scholar] [CrossRef]
- Borg-von Zepelin, M.; Kunz, L.; Rüchel, R.; Richard, U.; Weig, M.; Gross, U. Epidemiology and antifungal susceptibilities of Candida spp. to six antifungal agents: Results from a surveillance study on fungaemia in Germany from July 2004 to August 2005. J. Antimicrob. Chemother. 2007, 60, 424–428. [Google Scholar]
- López-Martínez, R. Candidosis, a new challenge. Clin. Dermatol. 2010, 28, 178–184. [Google Scholar]
- Miceli, M.H.; Díaz, J.A.; Lee, S.A. Emerging opportunistic yeast infections. Lancet Infect. Dis. 2011, 2, 142–151. [Google Scholar] [CrossRef]
- Achkar, J.M.; Fries, B.C. Candida infections of the genitourinary tract. Clin. Microbiol. Rev. 2010, 23, 253–273. [Google Scholar] [CrossRef]
- Kuhn, D.M.; Ghannoum, M.A. Candida biofilms: Antifungal resistance and emerging therapeutic options. Curr. Opin. Investig. Drugs 2004, 5, 186–197. [Google Scholar]
- Rautemaa, R.; Ramaga, G. Oral candidosis—clinical challenges of a biofilm disease. Crit. Rev. Microbiol. 2011, 37, 328–336. [Google Scholar] [CrossRef]
- Ozkan, S.; Kaynak, F.; Kalkanci, A.; Abbasoglu, U.; Kustimur, S. Slime production and proteinase activity of Candida species isolated from blood samples and the comparison of these activities with minimum inhibitory concentration values of antifungal agents. Mem. Inst. Oswaldo Cruz. 2005, 100, 319–323. [Google Scholar] [CrossRef]
- Arana, D.M.; Nombela, C.; Pla, J. Fluconazole at subinhibitory concentrations induces the oxidative- and nitrosative-responsive genes TRR1, GRE2 and YHB1, and enhances the resistance of Candida albicans to phagocytes. J. Antimicrob. Chemother. 2010, 65, 54–62. [Google Scholar] [CrossRef]
- Odds, F.C. Editorial: Resistance to antifungal agents. Fungal Genet. Biol. 2010, 47, 190. [Google Scholar] [CrossRef]
- Mulu, A.; Kassu, A.; Anagaw, B.; Moges, B.; Gelaw, A.; Alemayehu, M.; Belyhun, Y.; Biadglegne, F.; Hurissa, Z.; Moges, F.; et al. Frequent detection of “azole” resistant Candida species among late presenting AIDS patients in northwest Ethiopia. BMC Inf. Dis. 2013, 13, 82. [Google Scholar] [CrossRef]
- Kothavade, R.J.; Kura, M.M.; Valand, A.G.; Panthaki, M.H. Candida tropicalis: Its prevalence, pathogenicity and increasing resistance to fluconazole. J. Med. Microbiol. 2010, 59, 873–880. [Google Scholar] [CrossRef]
- Pfaller, M.A. Antifungal drug resistance: Mechanisms, epidemiology, and consequences for treatment. Am. J. Med. 2012, 125, S3–S13. [Google Scholar] [CrossRef]
- Mathew, B.P.; Nath, M. Recent approaches to antifungal therapy for invasive mycoses. ChemMedChem 2009, 4, 310–323. [Google Scholar] [CrossRef]
- Monk, B.; Goffeau, A. Outwitting multidrug resistance to antifungals. Science 2008, 321, 367–369. [Google Scholar] [CrossRef]
- Sridhara, A.M.; Reddy, K.R.V.; Keshavayya, J.; Goud, P.S.K.; Somashekar, B.C.; Bose, P.; Peethambar, S.K.; Gaddam, S.K. Synthesis and antimicrobial activity of 2-substituted [4-(1,3,4-oxadiazol-2-yl methyl)] phthalazin-1(2H)-one derivatives. Eur. J. Med. Chem. 2010, 45, 4983–4989. [Google Scholar] [CrossRef]
- Sridhara, A.M.; Reddy, K.R.V.; Keshavayya, J.; Ambika, D.M.S.; Gopinath, V.S.; Bose, P.; Goud, S.K.; Peethambar, S.K. Synthesis, antimicrobial and cytotoxicity studies of some novel modified Strobilurin derivatives. J. Braz. Chem. Soc. 2011, 22, 849–856. [Google Scholar] [CrossRef]
- Abd El-Wahab, A.H.; Mohamed, H.M.; El-Agrody, A.M.; El-Nassag, M.A.; Bedair, A.H. Synthesis and biological screening of 4-benzyl-2H-phthalazine derivatives. Pharmaceuticals 2011, 4, 1158–1170. [Google Scholar]
- Derita, M.; del Olmo, D.E.; Barboza, B.; García-Cadenas, A.E.; López-Pérez, J.L.; Andújar, S.; Enriz, D.; Zacchino, S.; San Feliciano, A. Synthesis, bioevaluation and structural study of substituted phthalazin-1(2H)-ones acting as antifungal agents. Molecules 2013, 18, 3479–3501. [Google Scholar] [CrossRef]
- Ryu, C.K.; Park, R.E.; Ma, M.Y.; Nho, J.H. Synthesis and antifungal activity of 6-arylamino-phthalazine-5,8-diones and 6,7-bis(arylthio)-phthalazine-5,8-diones. Bioorg. Med. Chem. Lett. 2007, 17, 2577–2580. [Google Scholar] [CrossRef]
- Sławiński, J. Syntheses and some reactions of 3-amino-6-chloro-7-methyl-1,1-dioxo-1,4,2-benzodithiazine. Pol. J. Chem. 2001, 75, 1309–1316. [Google Scholar]
- Sławiński, J.; Żołnowska, B.; Orlewska, C.; Chojnacki, J. Synthesis and molecular structure of novel 2-(alkylthio)-4-chloro-N-(4,5-dihydro-5-oxo-1H-1,2,4-triazol-3-yl)-5-methylbenzene-sulfonamides with potential anticancer activity. Monatsh. Chem. 2012, 143, 1705–1718. [Google Scholar]
- Żołnowska, B.; Sławiński, J.; Pogorzelska, A.; Chojnacki, J.; Vullo, D.; Supuran, C.T. Carbonic anhydrase inhibitors. Synthesis, and molecular structure of novel series N-substituted N'-(2-arylmethylthio-4-chloro-5-methylbenzenesulfonyl)guanidines and their inhibition of human cytosolic isozymes I and II and the transmembrane tumor-associated isozymes IX and XII. Eur. J. Med. Chem. 2014, 71, 135–147. [Google Scholar]
- Sławiński, J.; Bednarski, P.; Grünert, R.; Reszka, P. Syntheses of a new series of N-amino-N"-(benzenesulphonyl)guanidine derivatives with potential antitumor activity. Pol. J. Chem. 2003, 77, 53–64. [Google Scholar]
- Forbes, B.A.; Sanh, D.F.; Weissfeld, A.S. Bailey and Scott’s Diagnostic Microbiology, 12th ed.; Mosby Elsevier: St. Louis, MO, USA, 2007. [Google Scholar]
- Winn, W.; Allen, S.; Janda, W.; Koneman, E.; Procop, G.; Schrekenberger, P.; Woods, G. Koneman’s Color Atlas and Textbook of Diagnostic Microbiology, 6th ed.; Lippincott Williams and Wilkins: Baltimore, MD, USA, 2006. [Google Scholar]
- Sample Availability: Samples of the compounds 19–40 are available from the authors.
© 2014 by the authors. Licensee MDPI, Basel, Switzerland. This article is an open access article distributed under the terms and conditions of the Creative Commons Attribution license ( http://creativecommons.org/licenses/by/3.0/).