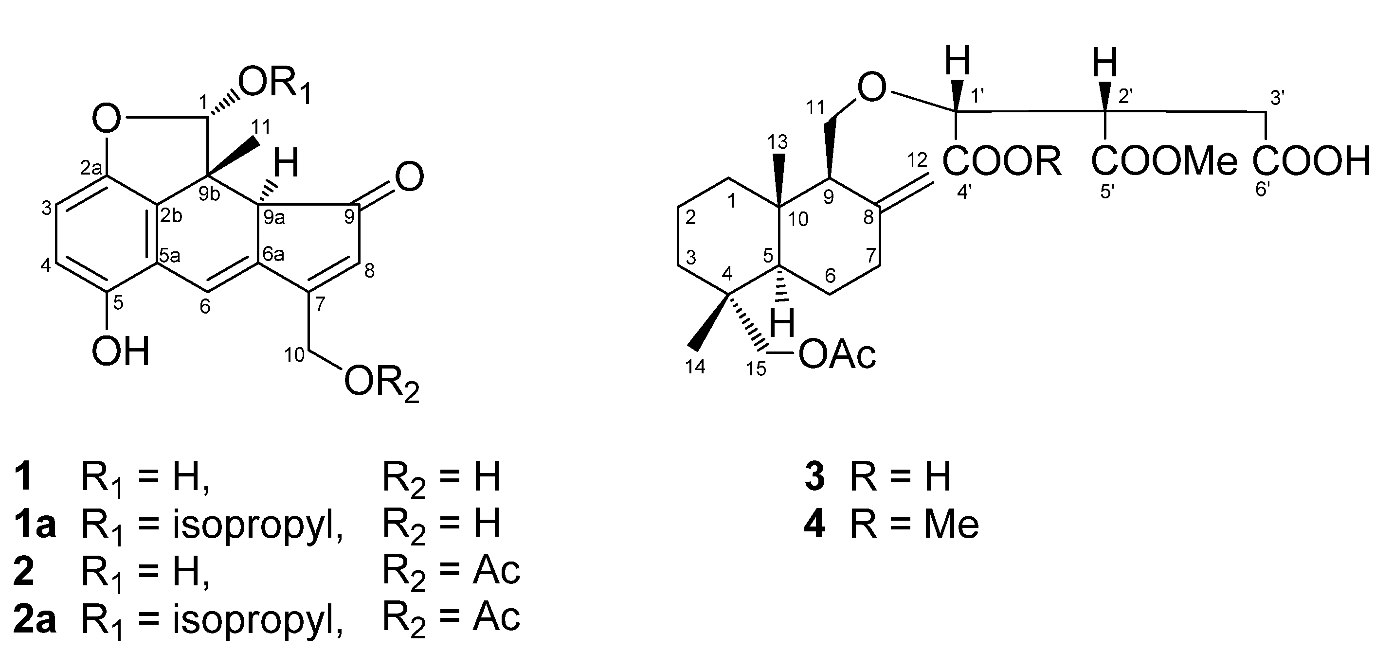
Abstract
Yellow pigments, fomitellanols A (1a) and B (2a), and drimane-type sesquiterpenoid ethers of isocitric acid, cryptoporic acids P (3) and Q (4), have been isolated fromthe fruiting bodies of Fomitellafraxinea (Polyporaceae). Their structures were established by a combination of extensive NMR spectroscopy and/or X-ray crystallographic analyses, and their biological activity against COX-1, COX-2, and 5-LO was investigated.
1. Introduction
In the course of our research aimed at the discovery of biologically active compounds from fungi, we previously studied the chemical constituents of four genera belonging to the Polyporaceae: Laetiporus versisporus [1], Laetiporus sulphureus var. miniatus [2], Elfvingia applanata [3], Fomitopsis pinicola [4], and Daedalea dickisii [5]. We subsequently initiated an investigation of Fomitella fraxinea (FR) Imaz. belonging to the same family. This fungus grows on dead trees in broad-leaved forests and is widely distributed in Japan [6,7]. Previous phytochemical studies on this fungus have led to the discovery of lanostane triterpenes, fomitellic acids A–D and their inhibitory activity against calf DNA polymerase α and rat DNA polymerase β [8], and a mannofucogalactan, fomitellan A, with a mitogenic effect [9]. The fruiting bodies of F. fraxinea were extracted with 70% isopropanol and the extract, after concentration, was dissolved in ethyl acetate. Fractionation of the EtOAc-soluble portion led to the isolation and characterization of four new compounds, which were designated as fomitellanols A (1a), B (2a) and cryptoporic acids P (3), and Q (4) (Figure 1), along with two known compounds, cryptoporic acids B (5) [10,11] and N (6) [12] (Figure 2). We describe here the isolation and structure elucidation of 1a, 2a, 3, and 4 by extensive NMR and/or X-ray experiments, and the inhibitory activities of 1a, 3, 4, and 6 against COX and 5-LO are also described.
Figure 1.
New compounds isolated in this work.
Figure 1.
New compounds isolated in this work.

Figure 2.
Known compounds isolated in this work.
Figure 2.
Known compounds isolated in this work.

2. Results and Discussion
Fomitellanol A (1a), isolated as the 1-isopropoxy derivative of 1, gave a molecular ion peak at m/z 327.1214 [M–H]− (calcd. for C19H19O5, 327.1232) in its HRFABMS. This corresponds to a molecular formula of C19H20O5, requiring 10 degrees of unsaturation. The UV spectrum of 1a showed absorption bands at 224, 291, 347, and 385 nm, indicating the presence of a conjugated system. The IR spectrum of 1a showed absorptions at 3,250 cm−1 due to hydroxyl, and 1,670 cm−1 due to enone carbonyl groups. The 1H-NMR spectrum of 1a exhibited one singlet methyl signal at δ 1.13 (s), one oxymethylene at δ 5.07 (dt, J = 17.3, 1.4 Hz) and 4.94 (dt, J = 17.3, 1.4 Hz), two methines at δ 5.95 (s), 4.10 (br. d, J = 1.9 Hz), two olefinic protons at δ 7.43 (d, J = 1.9 Hz), 6.91 (t, J = 1.4 Hz), and two AB-type aromatic protons at δ 6.97 (d, J = 8.5 Hz), 6.90 (d, J = 8.5 Hz). Further, one pair of equivalent secondary methyl signals at δ 1.31 (d, J = 6.3 Hz), 1.24 (d, J = 6.3 Hz), and one oxymethine at δ 4.26 (sept, J = 6.3 Hz) suggested the presence of an isopropoxy group. The 19 carbon signals observed in the 13C-NMR spectrum were sorted into three methyl, one oxymethylene (δ 58.9), three methines, two of which had an oxygen substituent (δ 113.6, 72.1); one sp3 quaternary carbon, ten sp2 carbons, four of which had proton substituents (δ 131.9, 115.9, 114.6, and 111.4); and a carbonyl carbon (δ 202.7) in combination with HMQC data. The planar structure of 1a was constructed using the COSY and HMBC data. Namely, analysis of the COSY spectrum led to the four partial structures depicted by the bold lines, which were connected on the basis of the long-range correlations observed in the HMBC spectrum (Figure 3).
Figure 3.
COSY (bold line) and selected HMBC (arrow line) of 1a.
Figure 3.
COSY (bold line) and selected HMBC (arrow line) of 1a.

The presence of ring C (3-hydroxymethyl-cyclopentaenone) was concluded from the HOH2C-C=CH spin system deduced from the COSY spectrum and HMBC correlations from H-8 (δ 6.91) and H-9a (δ 4.10) to C-9 (δ 202.7), from H-9a and H2-10 (δ 5.07, 4.94) to C-6a (δ 138.7), respectively. The construction of ring B and the junction of rings B and C were determined from the COSY correlations between H-6 (δ 7.43) and H-9a, and HMBC correlations from H3-11 (δ 1.13) to C-2b (δ 133.9), C-9a, C-9b (δ 46.2), from H-6 to C-2b, C-5a (δ 120.0), C-7 (δ 173.1). The construction of ring A and the junction of rings A and B were determined from the COSY correlation between H-3 (δ 6.90) and H-4 (δ 6.97), and HMBC correlations from H-3 to C-2a (δ 148.8), C-2b, from H-4 to C-5 (δ 150.2), C-5a, and from H-6 to C-5 (δ 150.2). Ring D fused to the hydroquinone ring A and cyclohexa-1,3-diene ring B was deduced from the following observations; HMBC correlations from H-1 (δ 5.95) to C-2a, from H3-11 to C-1 (δ 113.6), and further, from H-1' (δ 4.26) to C-1.
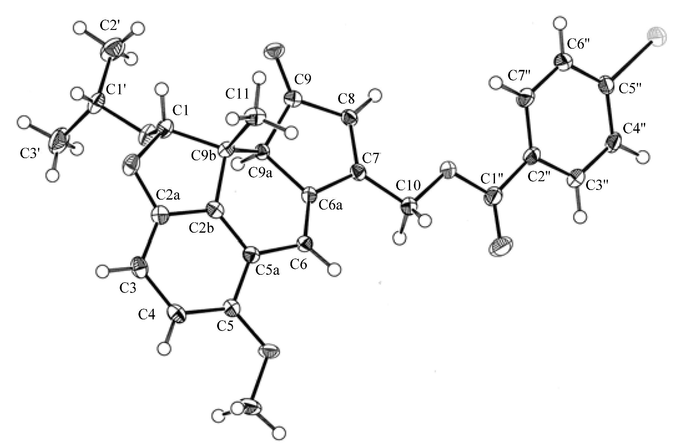
Thus, the planar structure of 1a was determined to be 5-hydroxy-7-hydroxymethyl-1-isopropoxy-9b-methyl-9a,9b-dihydro-H-2-oxa-cyclopenta[d]acenaphthylen-9-one. The relative configurations of the three successive chiral centers at C-1, C-9a, and C-9b in 1a were indicated by the following NOE analysis. The NOE between H3-11/H-1, H-1/H-1', and H-9a/H3-3' could establish 1S*, 9aS*, and 9bR* configurations. X-ray crystallographic analysis of 1b, the corresponding p-bromobenzoate of 1a, confirmed the proposed structure and established the three absolute configurations (Figure 4) [13].
Fomitellanol B (2a), isolated as the 1-isopropoxy derivative of 2, gave an [M+Na]+ peak at m/z 393.1360 (calcd. for C21H22O6Na, 393.1338) in its HRFABMS, appropriate for a molecular formula of C21H22O6, which differed from the molecular formula of 1a by the addition of 42 amu (C2H2O). The IR spectrum of 2a showed absorptions for hydroxy (3,260 cm−1), carbonyl (1,740 cm−1), and enone carbonyl (1,670 cm−1) functions. The 1H-NMR and 13C-NMR data of 2a were highly compatible with those of 1a, the major difference being the presence of an acetyl group (δH 2.08; δC 20.4, 170.2) in 2a. Comparison of the 1H-NMR data of 2a and 1a revealed the acylation shifts observed by +0.33 and +0.31 ppm at H2-10 (Table 1). Moreover, HMBC long-range correlations were observed between H2-10 (δ 5.38, 5.27) and the carbonyl carbon (δ 170.2) of the acetyl group. This set of acylation shifts and HMBC correlations indicated that 2a was the C-10 acetyl analogue of 1a. All other structural features of 2a and 1a were identical. Thus, the structure of 2a was assigned as shown in Figure 1.
Figure 4.
ORTEP drawing of the X-ray crystal structure of 1b.
Figure 4.
ORTEP drawing of the X-ray crystal structure of 1b.

Table 1.
NMR data for fomitellanols A (1a) and B (2a) [600 MHz (1H) and 150 MHz (13C) in Pyridine-d5].
| Position | 1a | 2a | ||
|---|---|---|---|---|
| δC | δH (mult, J in Hz) | δC | δH (mult, J in Hz) | |
| 1 | 113.6 | 5.95 (s) | 113.4 | 5.93 (s) |
| 2a | 148.8 | 148.7 | ||
| 2b | 133.9 | 133.8 | ||
| 3 | 111.4 | 6.90 (d, J = 8.5) | 111.7 | 6.91 (d, J = 8.5) |
| 4 | 115.9 | 6.97 (d, J = 8.5) | 115.9 | 6.96 (d, J = 8.5) |
| 5 | 150.2 | 150.2 | ||
| 5a | 120.0 | 119.8 | ||
| 6 | 114.6 | 7.43 (d, J = 1.9) | 115.5 | 7.38 (d, J = 1.9) |
| 6a | 138.7 | 137.9 | ||
| 7 | 173.1 | 165.3 | ||
| 8 | 131.9 | 6.91 (t, J =1.4) | 133.2 | 6.54 (t, J =1.4) |
| 9 | 202.7 | 202.1 | ||
| 9a | 49.4 | 4.10 (br. d, J = 1.9) | 49.3 | 4.05 (br. s) |
| 9b | 46.2 | 46.2 | ||
| 10 | 58.9 | 4.94 (dt, J = 17.3, 1.4) | 60.4 | 5.27 (dt, J = 16.2, 1.4) |
| 5.07 (dt, J = 17.3, 1.4) | 5.38 (dt, J = 16.2, 1.4) | |||
| 11 | 16.5 | 1.13 (s) | 16.5 | 1.10 (s) |
| 1' | 72.1 | 4.26 (sept, J = 6.3) | 72.1 | 4.25 (sept, J = 6.3) |
| 2' | 22.2 | 1.24 (d, J = 6.3) | 22.2 | 1.24 (d, J = 6.3) |
| 3' | 23.5 | 1.31 (d, J = 6.3) | 23.5 | 1.31 (d, J = 6.3) |
| Ac | 20.4 | 2.08 (s) | ||
| 170.2 | ||||
Cryptoporic acidP (3) had a molecular formula of C24H36O9, determined by a quasimolecular ion peak at m/z 507.2003 (calcd. for C24H36O9K, 507.1996) in the HRFABMS, and requiring seven degrees of unsaturation. The IR spectrum showed adsorptions due to the carbonyl and hydroxyl groups at 3405, 1715, 1235, and 1035 cm−1. The 1H-NMR and 13C-NMR spectra of 3 exhibited two tertiary methyl groups (δΗ 0.79; δC 15.9 and δΗ 0.75; δC 17.5), one methoxy group (δΗ 3.73; δC 51.9), two oxymethylenes (δΗ 4.33, 3.81; δC 68.2 and δΗ 3.94, 3.74; δC 73.0), one oxymethine (δΗ 4.70; δC 80.1), exo-methylene (δΗ 5.31, 5.02; δC 108.9 and δC 147.1), one ester carbonyl (δC 172.7), two carbonyls (δC 174.6, 173.7), in addition to one acetyl group (δΗ 2.07; δC 170.1, 20.8) (Table 2). These data could account for five of seven degrees of unsaturation and the remaining two suggested two ring systems in 3. The NMR data of 3 showed that its structure was closely related to the 15-hydroxyalbicanol ether of isocitric acid, cryptoporic acid N (6), obtained from the fungus Cryptoporus sinensis [12]. The complete assignment was unambiguously performed by 2D NMR spectra, including COSY, HMQC, HMBC, and ROESY data. The COSY correlations of 3 revealed the presence of three partial structures, a (H2-1/H2-2/H2-3), b (H-5/H2-6/H2-7/H2-12/H-9/H2-11), and c (H-1'/H-2'/H2-3'), which were connected by HMBC correlations from H3-14 (δ 0.75) to C-3, C-4, C-5, and C-15 (δ 73.0), from H3-13 (δ 0.79) to C-1, C-5, C-9, and C-10, from H2-12 (δ 5.31, 5.02) to C-7, C-8, and C-9, and from H2-15 (δ 3.94, 3.74) to C-3, C-4, C-5, and carbonyl carbon (δC 170.1) of the acetyl group, and revealed the presence of exo-methylene at C-8, oxymethylene at C-9, and acetoxy groups at C-15 in the drimane-type sesquiterpene skeleton shown in Figure 5.
Table 2.
NMR data for cryptoporic acidsP (3) and Q (4) [600 MHz (1H) and 150 MHz (13C) in Pyridine-d5].
| Position | 3 | 4 | ||
|---|---|---|---|---|
| δC | δH (mult, J in Hz) | δC | δH (mult, J in Hz) | |
| 1 | 38.7 | 1.20 (m), 1.77 (m) | 38.6 | 1.15 (m), 1.72 (m) |
| 2 | 18.7 | 1.45 (m), 1.45 (m) | 18.6 | 1.45 (m), 1.45 (m) |
| 3 | 36.0 | 1.36 (m), 1.36 (m) | 35.9 | 1.34 (m), 1.34 (m) |
| 4 | 36.9 | 36.9 | ||
| 5 | 49.3 | 1.40 (dd, J = 12.6, 2.2) | 49.3 | 1.38 (m) |
| 6 | 24.0 | 1.27 (m), 1.51 (m) | 23.9 | 1.25 (m), 1.51 (m) |
| 7 | 37.6 | 2.01 (m), 2.32 (m) | 37.5 | 1.99 (m), 2.31 (m) |
| 8 | 147.1 | 147.0 | ||
| 9 | 56.2 | 2.21 (m) | 56.0 | 2.15 (m) |
| 10 | 38.9 | 38.8 | ||
| 11 | 68.2 | 3.81 (dd, J = 9.6, 3.3) | 68.6 | 3.70 (dd, J = 9.6, 3.3) |
| 4.33 (dd, J = 9.6, 8.2) | 4.14 (dd, J = 9.6, 8.0) | |||
| 12 | 108.9 | 5.02 (br. s) | 108.6 | 4.98 (br. s) |
| 5.31 (br. s) | 5.15 (br. s) | |||
| 13 | 15.9 | 0.79 (s) | 15.9 | 0.76 (s) |
| 14 | 17.5 | 0.75 (s) | 17.5 | 0.75 (s) |
| 15 | 73.0 | 3.74 (d, J = 10.7) | 73.0 | 3.73 (d, J = 11.0) |
| 3.94 (d, J = 10.7) | 3.93 (d, J = 11.0) | |||
| 1' | 80.1 | 4.70 (d, J = 4.7) | 79.5 | 4.57 (d, J = 4.4) |
| 2' | 45.7 | 4.14 (m) | 45.6 | 3.98 (m) |
| 3' | 33.4 | 3.26 (dd, J = 17.0, 4.1) | 33.6 | 3.09 (m) |
| 3.49 (dd, J = 17.0, 10.7) | 3.35 (dd, J = 17.3, 9.3) | |||
| 4' | 173.7 | 171.5 | ||
| 5' | 172.7 | 172.1 | ||
| 6' | 174.7 | 175.0 | ||
| 4'-OMe | 51.9 | 3.65 (s) | ||
| 5'-OMe | 51.9 | 3.73 (s) | 52.0 | 3.76 (s) |
| Ac | 20.8 | 2.07 (s) | 20.8 | 2.08 (s) |
| 170.1 | 170.1 | |||
Figure 5.
COSY (bold line) and selected HMBC (arrow line) of 3.
Figure 5.
COSY (bold line) and selected HMBC (arrow line) of 3.

Further, the HMBC correlations from H-1' (δ 4.70) to C-11 (δ 68.2), C-4' (δ 173.7), C-5' (δ 172.7), from H2-3' (δ 3.26, 3.49) to C-5', C-6' (δ 174.7) indicated that an isocitric acid group was attached to C-11 through the ether linkage. The position of an ester group was determined at C-5' by HMBC correlations of H-1', H2-3', OMe (δ 3.73)/C-5' (Figure 5). In the ROESY spectrum, the methyl group at C-4 was confirmed β-orientation by NOEs between H3-13/H3-14, and H3-13/H2-11. The stereochemistry of 3 was established by the chemical transformation from 6. Acetylation of 6 with Ac2O–pyridine afforded the monoacetate ([α]D22 +37.8). The spectral data of this monoacetate was identical to that of 3 ([α]D22 +33.6); therefore, the structure of 3, including the absolute configuration, was identical to 6, shown in Figure 1.
Cryptoporic acid Q (4) showed a quasimolecular ion peak [M–H]− at m/z 481.2457 (calcd. for C25H37O9, 481.2437) in the HRFABMS, corresponding to the molecular formula C25H38O9. The 1H-NMR and 13C-NMR spectra of 4 were similar to those of 3, except for the presence of one more methoxy group (δH 3.65, δC 51.9), and ester carbonyl carbon (δ 171.5), suggesting that 4 is the 15-acetoxyalbicanol ether of isocitric acid dimethyl ester. The positions of the two methoxy groups in the isocitric acid group were determined at C-4' and C-5' by the HMBC correlations observed from H-1' (δ 4.57)/C-4' (δ 171.5), OMe (δ 3.65)/C-4', and H-1'/C-5' (δ 172.1), H2-3' (δ 3.35, 3.09)/C-5', OMe (δ 3.76)/C-5'. The absolute configuration of 4 was finally resolved via acetylation of 5 to afford the corresponding acetate, whose NMR data and optical rotation ([α]D22 +25.6) were in good agreement with those of 4 ([α]D22 +20.9). Thus, cryptoporic acidQ was determined as shown in Figure 1.
In this study, anti-inflammatory activities of isolated from this fungus were evaluated against a panel of key enzymes relating to inflammation, including COX-1, COX-2 and 5-LO in in vitro assays, as summarized in Table 3, Table 4. In the COX-1 and COX-2 assays, aspirin was used as a positive control. Compounds 1a and 4 showed moderate activities (IC50 = 47.7 μM vs. 90.5% inhibition at 10 μg/mL, IC50 = 78.8 μM vs. 66.5% inhibition at 10 μg/mL) against COX-1, respectively; however, no isolated compounds had inhibitory activities against COX-2. In the 5-LO assay, compound 1 demonstrated an inhibitory effect on the formation of 5-HPETE with an IC50 value of 15.1 μM. A positive control used in this study, nordihydroguaiaretic acid (NDGA) showed an IC50 value of 0.4 μM.
Table 3.
Inhibitory activity of 1a, 3, 4, 6 against COX enzymes.
| Compound | % Inhibition of at 10 μg/mL | IC50b,c | ||
|---|---|---|---|---|
| COX-1 | COX-2 | COX-1 | COX-2 | |
| Extract a | 96.4 | 59.0 | ||
| 1a | 90.5 | 7.5 | 47.7 | ND d |
| 3 | 40.2 | 1.7 | ND | ND |
| 4 | 66.5 | 10.3 | 78.8 | ND |
| 6 | 35.8 | 19.0 | ND | ND |
| aspirin | – | – | 79.0 | 150 |
a EtOAc-soluble portion of 70% isopropanol of fruiting bodies of F. fraxinea. b IC50 values, in μM. c IC50 based on triplicate five-point titration. d ND: not determined.
Table 4.
Inhibitory activity of 1a, 3, 4, 6 against 5-LO enzyme.
| Compound | % Inhibition of at 10 μg/mL | IC50b,c |
|---|---|---|
| Extract a | 69.5 | – |
| 1a | 84.7 | 15.1 |
| 3 | 14.9 | ND d |
| 4 | 50.1 | 203.5 |
| 6 | 28.9 | ND |
| NDGA a | – | 0.4 |
a EtOAc-soluble portion of 70% isopropanol of fruiting bodies of F. fraxinea. b IC50 values, in μM. c IC50 based on triplicate five-point titration. d ND: not determined. e NDGA: nordihydroguaiaretic acid.
3. Experimental
3.1. General
Optical rotations were taken on a Jasco DIP-1030 polarimeter. UV spectra were recorded on a Shimadzu UV-1650PC, IR spectra were recorded on a Jasco FT/IR-5300, CD spectra were recorded on a Jasco J-725 and NMR spectra on a Varian Unity 600 spectrometer in C5D5N using TMS as an internal standard. NMR experiments included COSY, DEPT, HMQC, HMBC and ROESY. Coupling constants (J values) are given in Hz. The FABMS was measured on a JEOL JMS-700 mass spectrometer. Column chromatography was carried out on silica gel (230–400 mesh; Merck). Analytical TLC was performed on precoated Merck F254 silica gel plates and visualized by spraying with 30% H2SO4. HPLC was carried out on a Jasco PU-1580 pump equipped with a Jasco UV-970 detector and a Wakopack C30-5 column (5 μm, 20 mm i.d. × 250 mm, Wako).
3.2. Materials
The fruit bodies were collected in Tokushima, Japan, in autumn 2008. A voucher specimen (TB 3085) is deposited in the Herbarium of Faculty of Pharmaceutical Sciences, Tokushima Bunri University, Tokushima, Japan. Material was identified by Dr. T. Hattori, the researcher of Forestry and Forest Products Research Institute.
3.3. Extraction and Isolation
The fresh fruit bodies (2.5 kg) of F. fraxinea were extracted with 70% IPA (8 L) at room temperature for 2 weeks. The IPA extract was partitioned between EtOAc and H2O. The EtOAc soluble portion (33.8 g) was subjected to silica gel column chromatography with n-hexane–EtOAc (9:1–0:10) to afford fractions 1–7. Fraction 2 (1.0 g) was passed through silica gel with n-hexane–EtOAc (7:3) and purified by preparative HPLC (ODS, 60% MeOH) to afford fomitellanol B (2a, 8.5 mg). Fraction 4 (5.6 g) was passed through silica gel with n-hexane–EtOAc (4:6–0:10) to afford fractions 4-1–5. Fractions 4-2 (0.2 g), and 4-4 (1.7 g) were successively purified by preparative HPLC (ODS, 55–75% MeOH) to afford fomitellanol A (1a, 48.6 mg), cryptoporic acids Q (4, 10.7 mg), and B (5, 15 mg) from fraction 4-2, and cryptoporic acid P (3, 18.2 mg) from fraction 4-4, respectively. Fraction 5 (4.6 g) was passed through silica gel with n-hexane–EtOAc (7:3) and purified by preparative HPLC (70–100% MeOH) to afford cryptoporic acid N (6, 20.8 mg).
Fomitellanol A (1a): Amorphous powder; [α]D20 +346 (c 0.42, MeOH); UV (MeOH) λmax nm (logε): 224 (4.00), 291 (3.56), 347 (3.79), 385 (3.39); CD (MeOH) Δε nm: +7.63 (389), 328 (–3.05), 288 (+1.59), 268 (–0.86), 258 (+2.36), 239 (–8.32), 227 (+0.71), 222 (–0.86); FT-IR (dry film) νmax cm−1: 3250 (OH), 1670 (C=O), 1075, 1030 (OH); 1H-NMR and 13C-NMR (C5D5N) see Table 1; HRFABMS m/z 327.1214 (Calcd. for C19H19O5, 327.1232).
Fomitellanol B (2a): Amorphous powder; [α]D22 +403 (c 0.14, MeOH); UV (MeOH) λmax nm (logε): 221 (3.52), 292 (3.05), 348 (3.24); FT-IR (dry film) νmax cm−1: 3260 (OH), 1740 (C=O), 1670 (C=O); 1H-NMR and 13C-NMR (C5D5N) see Table 1; HRFABMS m/z 393.1360 (Calcd. for C21H22O6Na, 393.1338).
Cryptoporic acid P (3): Amorphous powder; [α]D22 +33.6 (c 0.6, MeOH); FT-IR (dry film) λmax cm−1: 3405 (OH), 1715 (C=O), 1235 (Ac), 1035 (OH); 1H-NMR and 13C-NMR (C5D5N) see Table 2; HRFABMS m/z 507.2003 (Calcd. for C24H36O9K, 507.1996).
Cryptoporic acid Q (4): Amorphous powder: [α]D22 +20.9 (c 0.40, MeOH): FT-IR (dry film) cm−1: 1730 (C=O), 1235 (Ac), 1035 (OH); 1H-NMR and 13C-NMR (C5D5N) see Table 2; HRFABMS m/z 481.2457 (Calcd. for C25H37O9, 481.2437).
3.4. p-Bromobenzoylation of 1a
To a solution of 1a (15 mg) in pyridine (2 mL) were added p-bromobenzoyl chloride (15 mg) and 4-dimethylaminopyridine (2 mg). The reaction mixture was stirred at room temperature for 24 h and then concentrated in vacuo to give a residue, which was purified by HPLC (ODS, 85% MeOH) to afford 1b (5 mg) as yellow needles from diethyl ether–EtOH; mp 170–172 °C. X-ray crystallographic analysis confirmed the structure of 1b (absolute configuration; ORTEP diagram, Figure 4).
3.5. X-ray Crystallographic Data for 1b
Single crystals of 1b, obtained by slow evaporation of MeOH, were selected, fitted onto a glass fiber, and measured at −173°C with a Bruker Apex II ultra diffractometer using Mo Kα radiation. Data correction and reduction were performed with the crystallographic package Apex II. The structures were solved by direct methods using SHELXS-97) and refined using full matrix least-squares based on F2with SHELXL-97. All non-hydrogen atoms were refined anisotropically, and hydrogen atoms were positioned geometrically. A total of 321 parameters were considered. Final disagreement indices were R1 = 0.0332 and wR2 = 0.0859 [I > 2 sigma (I)]. The ORTEP plot was obtained with the program PLATON. Crystal data: C29H31BrO7, MW = 571.45, monoclinic, space group C2, Z = 4, a = 28.078 (6) Å, b = 6.7924 (15) Å, c = 14.053 (3) Å, β = 100.059 (3)°. V = 2639.0 (10) Å3 [13].
3.6. Acetylations of 6 Giving 3 and of 5 Giving 4
Compounds 5 (10 mg) and 6 (10 mg) were acetylated overnight with Ac2O and pyridine (2 mL of each), respectively. The usual work-up afforded the acetates of 6 and 5, which were identified by comparisons of their NMR data and optical rotations, as 3 and 4, respectively.
3.7. COX-1 and COX-2-Catalyzed Prostaglandin Biosynthesis Assay in Vitro
Experiments were performed according to Futaki et al. [14] with modification. In brief, 200 U of COX-1 or COX-2 enzyme was suspended in 0.1 M Tris-HCl buffer (PH 7.5) containing hematin (1 μM) and phenol (2 mM), as co-factors. The reaction medium was preincubated with sample for 2 min at 37 °C, and 51.4 μM of [1,2,3,4,5,6,7,8,9,10,11,12,13,14] arachidonic acid (Sigma, St. Louis, MO, USA) was added and incubated for 2 min at 37 °C. To terminate the reaction and extract PGE2, 400 μL of n-hexane/EtOAc (2:1, V/V) was added to the reaction mixture and the preparation was centrifuged at 2,000 rpm for 1 min. The organic solvent phase was discarded. The extraction procedure was repeated twice, then 50 μL EtOH was added to the aqueous phase, and the preparation was at 2,000 rpm for 1 min. The amount of PGE2 was measured by radioimmunoassay using a liquid scintillation counter. COX-1 (EC1.14.99.1, isolated from ram seminal vesicles; Cayman Chemical Company, Ann Arbor, MI, USA) and COX-2 (isolated from sheep placenta, purity 70%; Cayman Chemical Company) were used.
3.8. Measurement of RBL-1 5-Lipoxygenase Activity
The modified method of Blackman et al. [15] was used. Rat basophilic leukemia-1 (RBL-1) cells were grown in RPMI-1640 medium containing 10% heat-inactivated newborn calf serum (NCS), penicillin 100 units/mL, and streptomycin 100 mg/mL. Cells were cultured at 37 °C in 5% CO2. The assay system (0.5 mL) consisted of 50 mM phosphate buffer (pH 7.4), the test compound, 2 mM CaCl2, 0.66 mM arachidonic acid, and RBL-1 cell homogenate (1.5 × 107 cells). Reaction mixtures were incubated at 37 °C for 3 min, and then MeOH (0.5 mL) was added to terminate the reaction. The mixture was centrifuged to remove the precipitated proteins, 5-HETE in the supernatant was analyzed by HPLC. The mixture was eluted through a Cosmosil 5C18 column (4.6 × 150 mm) at room temperature with 85% CH3CN at 235 nm.
4. Conclusions
Two yellow pigments, fomitellanols A (1a) and B (2a) and drimane sesquiterpenoid ethers of isocitric acid, cryptoporic acids P (3) and Q (4), were isolated from the fruiting bodies of Fomitella fraxinea (Polyporaceae) together with two known compounds, cryptoporic acids B (5) and N (6). The structures of 1a, 2a, 3, and 4 was determined by extensive spectroscopic analysis, and the absolute configuration was determined by X-ray analysis and/or the chemical transformations from 5 and 6, respectively. Additionally, the known compounds, 5 and 6 are reported for the first time from Fomitella fraxinea. Compounds 1a and 2a were isolated as the 1-isopropoxy derivatives of 1 and 2, respectively. They might possibly be artifacts derived from the reaction of the corresponding hemiacetals, with the isopropanol used in the extraction. Compounds 1a, 3, 4, and 6 were tested for anti-inflammatory activities against COX-1, COX-2 and 5-LO in in vitro assays. It was assumed that compound 1 was most likely a dual inhibitor of the pathway involved in arachidonic acid metabolism in this study, although its activity is not apparent for COX-2 at the present. The result provides a potential explanation for the use of this fungus as herbal medicine in the treatment of inflammation, and it is potentially useful for developing new anti-inflammatory agents.
Supplementary Materials
Supplementary materials can be accessed at: http://www.mdpi.com/1420-3049/18/4/4181/s1.
Acknowledgments
We are grateful to Tsutomu Hattori, Chief Researcher, Forestry and Forest Products Research Institute, for confirming the identification of the fungus, and to Takashi Ohashi and Yoshiko Ohashi for gathering the fungus. We are indebted to Ikuko Okamoto for measurements of mass spectra.
References and Notes
- Yoshikawa, K.; Matsumoto, K.; Arihara, S. New lanostanoid glycosidesfrom the fruit body of Laetiporus versisporus. J. Nat. Prod. 1999, 69, 543–545. [Google Scholar] [CrossRef]
- Yoshikawa, K.; Bando, S.; Arihara, S.; Matsumura, E.; Katayama, S. A benzofuran glycoside and an acetylenic acid from the fungus Laetiporus sulphureus var. miniatus. Chem. Pharm. Bull. 2001, 49, 327–329. [Google Scholar]
- Yoshikawa, K.; Nishimura, N.; Bando, S.; Arihara, S.; Matsumura, E.; Katayama, S. New lanostanoids, elfvingic acids A-H, from the fruit body of Elfvingia applanat. J. Nat. Prod. 2002, 65, 548–552. [Google Scholar]
- Yoshikawa, K.; Inoue, M.; Matsumoto, Y.; Sakakibara, C.; Miyataka, H.; Matsumoto, H.; Arihara, S. Lanostane triterpenoids and triterpene glycosides from the fruit body of Fomitopsis pinicola and their inhibitory activity against COX-1 and COX-2. J. Nat. Prod. 2005, 68, 69–73. [Google Scholar] [CrossRef]
- Yoshikawa, K.; Koso, K.; Takahashi, J.; Matsuda, A.; Okazoe, M.; Umeyama, A.; Arihara, S. Cytotoxic constituents of the fruit body of Daedalea dickisii. J. Nat. Prod. 2005, 68, 911–914. [Google Scholar] [CrossRef]
- Imazeki, R.; Hongo, T. Colored Illustrations of Mushrooms of Japan, 2nd ed; Hoikusha Press: Osaka, Japan, 1989. [Google Scholar]
- Shirokawa, S. Polypores Mushroom Illustrated Book, 1st ed; Kanagawa, K., Ed.; Chikyusha Press: Tokyo, Japan, 1996; p. 124. [Google Scholar]
- Tanaka, N.; Kitamura, A.; Mizushina, Y.; Sugawara, F.; Sakaguchi, K. Fomitellic acids, triterpenoid inhibitors of eukaryotic DNA polymerases from a basidiomycete, Fomitella fraxinea. J. Nat. Prod. 1998, 61, 193–197. [Google Scholar] [CrossRef]
- Cho, S.-M.; Yun, B.-S.; Yoo, I.-D.; Koshino, H. Structure of fomitellan A, a mannofucogalactan from the fruiting bodies of Fomitella fraxinea. Bioorg. Med. Chem. Lett. 2011, 21, 204–206. [Google Scholar] [CrossRef]
- Hashimoto, T.; Tori, M.; Mizuno, Y.; Asakawa, Y. Cryptoporic acids A and B, novel bitter drimane sesquiterpenoid ethers of isocitric acid, from the fungus Cryptoporus volvatus. Tetrahedron Lett. 1987, 28, 6303–6304. [Google Scholar] [CrossRef]
- Asakawa, Y.; Hashimoto, T.; Mizuno, Y.; Tori, M.; Fukazawa, Y. Cryptoporic acids A-G, drimane-type sesquiterpenoid ethers of isocitric acid from the fungus Cryptoporus volvatus. Phytochemistry 1992, 31, 579–592. [Google Scholar] [CrossRef]
- Wu, W.; Zhao, F.; Bao, L.; Lu, J.-C.; Liu, H.-W. Two new cryptoporic acid derivatives from the fruiting bodies of Cryptoporus sinensis. Helv. Chim. Acta, 2011; 94, 2020–2026. [Google Scholar]
- Crystallographic data (excluding structural factors) for the structure of 1b have been deposited in the Cambridge Crystallographic Data Centre as supplementary publication number CCDC 924637. Copies of the data can be obtained, free of charge, on application to CCDC, 12 Union Road, Cambridge CB2 1EZ UK (Fax: +44(0)-1223–336033; E-mail: deposit@ccdc.cam.ac.uk.
- Futaki, N.; Takahashi, S.; Yokoyama, M.; Arai, I.; Higuchi, S.; Omoto, S. NS-398, a new anti-inflammatory agent, Selectively inhibits prostaglandin G/H synthase/cyclooxygenase (COX-2) activity in vitro. Prostaglandins 1994, 47, 55–59. [Google Scholar]
- Blackham, A.; Griffiths, R.J.; Hallman, C.; Mann, J.; Mitchell, P.D.; Norris, A.A.; Simpson, W.T. FPL 62064, a topically active 5-lipoxygenase/cyclooxygenase inhibitor. Agents Actions 1990, 30, 432–442. [Google Scholar]
- Sample Availability: Samples of the compounds 1a, 2a, 3–6 are available from the authors.
© 2013 by the authors; licensee MDPI, Basel, Switzerland. This article is an open-access article distributed under the terms and conditions of the Creative Commons Attribution license (http://creativecommons.org/licenses/by/3.0/).