Next Article in Journal
A New Pyranoxanthone from Calophyllum soulattri
Previous Article in Journal
Consecutive Low Doses of Cyclosporine A Induce Pro-Inflammatory Cytokines and Accelerate Allograft Skin Rejection
 
 
Font Type:
Arial Georgia Verdana
Font Size:
Aa Aa Aa
Line Spacing:
Column Width:
Background:
Article

Synthesis of a Novel Benzoyl Adenosine Analog Containing a 1, 4-Dioxane Sugar Analog and the Synthesis of a Corresponding Uracil Adenine Dinucleotide

Department of Chemistry, Norwegian University of Science and Technology, 7491 Trondheim, Norway
*
Author to whom correspondence should be addressed.
Molecules 2011, 16(5), 3985-3998; https://doi.org/10.3390/molecules16053985
Submission received: 3 March 2011 / Revised: 28 April 2011 / Accepted: 6 May 2011 / Published: 12 May 2011
(This article belongs to the Section Medicinal Chemistry)

Abstract

:
Adenosine analogs in which the sugar unit was replaced by a 1,4-dioxane sugar equivalent, were prepared by coupling the 1,4-dioxane sugar analog as its anomeric acetates, with N6-benzoyl protected adenine. The 1,4-dioxane system was obtained in an enantioselective synthesis from (R,R)-dimethyl tartrate. Using standard phosphorimidite methodology, the adenine analog was further reacted with a 1,4-dioxane uridine analog to give the corresponding, protected dinucleotide, set-up for further condensation into larger oligonucleotides.

1. Introduction

Pursuing development of new antiviral and antitumor agents, a number of new nucleosides analogs have been synthesized in which of the sugar structures were modified [1]. The sugar unit has for example been replaced by a 1,4-dioxane moiety [2,3,4,5,6]. Some of these structures were reported to exhibit interesting biological activities [2,3], which may be ascribed to their particular flexible conformational properties [4]. Earlier we reported the synthesis of new optically active uridine analogs 1a or 1b where the sugar was substituted by an optically active 1,4-dioxane moiety [7]. These uridine analog was further elaborated into the corresponding dinucleotide using standard phosphorimidite methodology [8]. However, we also reported [7] that preparation of the related adenosine analog failed. In this communication we wish to report our recent findings dealing with the synthesis of adenosine analogs 2a and 2b, which as the N-benzoyl protected compounds were then tested in dinucleotide formation with uridines 1a.
Figure 1. Uridine and adenosine analogs containing a 1,4-dioxane sugar equivalent.
Figure 1. Uridine and adenosine analogs containing a 1,4-dioxane sugar equivalent.
Molecules 16 03985 g016

2. Results and Discussion

The synthesis of 1,4-dioxane sugar analog 3 from (2R,3R)-dimethyl tartrate was reported earlier [7]. The tartrate was first converted into the corresponding enantiomerically pure diethyl (2R,3R)-2-O-allyltartrate either by the reaction with allyl bromide in the presence of silver oxide or in a tin assisted reaction with dibutyltin oxide [9,10,11]. The allyl ether was reduced by LiAlH4 [12,13,14] or NaBH4 [15,16] to give a triol which was protected as an acetal with 2,2-dimethoxy-propane in the presence of p-toluene sulfonic acid. Subsequent ozonolysis afforded 1,4-dioxane sugar analog 3 which was further transformed into acetate 4 with acetic anhydride (Scheme 1). All the tartrate stereoisomers are readily available from the chiral pool, conveniently allowing for the synthesis of all the possible stereoisomers of the nucleoside analogs.
Scheme 1. Synthesis of 1,4-dioxane sugar analogs 3 and 4 [7].
Scheme 1. Synthesis of 1,4-dioxane sugar analogs 3 and 4 [7].
Molecules 16 03985 g010

2.1. Synthesis of Adenosine Analogs

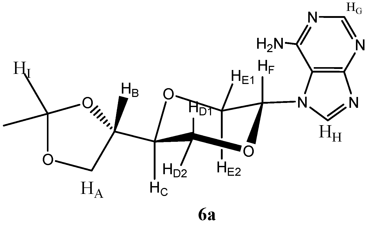
The corresponding adenine nucleoside analog from 4 was attempted prepared using a Vorbrüggen procedure [17,18]. Thus, acetate 4 was coupled with silylated adenine 5, in the presence of trimethylsilyl trifluoromethanesulfonate (TMSOTf) to give 6 as a cis/trans mixture in 23% yield after flash chromatography. However, HMBC-NMR spectroscopic analysis showed that the product was the undesired N-7 regioisomer 6, as three bond correlations were observed for the anomeric proton with C5 as well as C8 (Scheme 2).
Scheme 2. Synthesis of N-7 adenine nucleoside analogs 6.
Scheme 2. Synthesis of N-7 adenine nucleoside analogs 6.
Molecules 16 03985 g011
For reasons of forcing the adenine to react at the 9-position, 4 was instead reacted with the silylated N6-benzoyl protected adenine, 7, in the presence of TMSOTf, affording the desired benzoyl protected adenine nucleoside analogues 8 as a cis/trans mixture in 42 % isolated yield after chromatographic purification, Scheme 3. The structure was confirmed by NMR analysis.
Scheme 3. Synthesis of benzoyl adenine nucleoside analogues 8.
Scheme 3. Synthesis of benzoyl adenine nucleoside analogues 8.
Molecules 16 03985 g012
Attempts to remove the acetal protection group in 8 failed, as depurination was observed to take place in all cases. A number of literature methods described were tested [19,20], such as cleavage using 80% acetic acid [21] or CSA as catalyst, reaction with Amberlyst 15, HCl [22] or trifluoroacetic acid [23]. Other reagents, such as ferric chloride on silica gel [24], iodine in methanol [25] or alumina or silica gel catalysis in all cases gave no or similar results. The desired benzoyl protected nucleoside analog 9 was finally obtained by the reaction sequence shown in Scheme 4.
Scheme 4. Synthesis of benzoyl protected adenine nucleoside analogue 9.
Scheme 4. Synthesis of benzoyl protected adenine nucleoside analogue 9.
Molecules 16 03985 g013
Conversion of 3 to the corresponding triacetate 10 by the reaction with acetic anhydride in the presence of catalytic amount of H2SO4 [26,27] gave the desired product though in a poor yield. Product 10 was, however, obtained in a satisfactory yield when 3 were reacted with acetic anhydride in the presence of 1.1 equivalent of p-TsOH [28]. Subsequently the triacetate was smoothly coupled with the silylated benzoyl adenine 7 in the presence of TMSOTf to afford benzoyl adenine nucleoside analogue 11. The acetate groups were selectively removed by ammonia in methanol [29] leaving the desired, benzoyl-protected nucleoside analog 9 (Scheme 4).

2.2. Synthesis of Dinucleotide Analogs

The pure trans-nucleoside analog 9a was separated by flash chromatography from the mixture of diastereomers of compound 9. Treatment of 9a with 4,4'-dimethoxyltrityl chloride (DMTrCl) in pyridine [30] afforded the primary hydroxyl group protected compound 12a in 40% yield after flash chromatography. Compound 12a was next reacted with N,N-diisopropyl-2-cyanoethylphosphor-amidic chloride [31,32] in the presence of N,N-diisopropylethylamine to give the desired phosphoramidite 13a in 51% isolated yield, Scheme 5.
Scheme 5. Synthesis of phosphoramidite 13a.
Scheme 5. Synthesis of phosphoramidite 13a.
Molecules 16 03985 g014
We have previously reported the synthesis of the uridine analog 1, obtained from acetates 4. The trans-anomer 1a was isolated in 42% yield after recrystallization from acetonitrile, and subsequently converted to the secondary acetate 14a [7].
Figure 2. Trans-uridine analogs 1a and 14a.
Figure 2. Trans-uridine analogs 1a and 14a.
Molecules 16 03985 g017
The coupling of adenosine phosphoramidite 13a with uridine analog 14a was carried out in the presence of 1H-tetrazole in dry acetonitrile [33], followed by iodine oxidation and purification by flash chromatography on silica gel. This afforded the uracil adenine dinucleotide analog 15 in 62% yield, Scheme 6. To obtain the analytically pure dinucleotide 15, the product was purified by multi elution preparative TLC.
Scheme 6. Synthesis of 1,4-dioxane uracil adenine dinucleotide analog 15.
Scheme 6. Synthesis of 1,4-dioxane uracil adenine dinucleotide analog 15.
Molecules 16 03985 g015
Further elaboration of product 15 was not pursued, as it at this stage was demonstrated that the 1,4-dioxane nucleoside analogs can function in the standard reaction scheme for oligonucleotide preparations, used in for example automatic nucleotide synthesis machines. Thus 15 represent a standard intermediate for the further preparation of oligonucleotides.

3. Experimental

3.1. General

NMR spectra were recorded on Bruker Avance DPX 300 or DPX 400 instruments. Chemical shifts are reported in ppm using TMS (d = 0.0) as the internal standard in CDCl3 or relative to 2.50 ppm for 1H and 39.99 ppm for 13C in [d6-DMSO] or 3.31 ppm for 1H and 49.15 ppm for 13C in CD3OD. Structural assignments were based on 1H, 13C, DEPT135 and 2D-spetra, COSY, HSQC, HMBC, and NOESY. EI-Mass and ESI spectra were recorded on a Finnigan MAT 95XL spectrometer. IR spectra were obtained on a Thermo Nicolet FT-IR Nexus spectrometer using a Smart Endurance reflection cell. For ozonolysis was used an OZ-500 Ozone Generator produced by Fishcer Technology. Silica gel Kieselgel 60G (Merck) was used for Flash Chromatography. The solvents were purified by standard methods. All reactions were carried out in inert atmospheres (nitrogen). The synthesis of compounds 1a and 14a has been described elsewhere [7].
(2S,5S)-5-[(4S)-2,2-Dimethyl-1,3-dioxolan-4-yl]-2-acetyloxy-1,4-dioxane (4a) and (2R,5S)-5-[(4S)-2,2-dimethyl-1,3-dioxolan-4-yl]-2-acetyloxy-1,4-dioxane (4b). To a solution of 3 (1.0 g, 4.9 mmol) in dry pyridine (15 mL) was added acetic anhydride (0.62 g, 6 mmol) at 0–5 °C and the reaction mixture was stirred for 6 hours. The solution was concentrated under reduced in vacuo overnight, yielding the crude product in 87% yield as an oily solid material, which was used in the subsequent reaction step without further purification. The anomeric ratio 4a:4b (trans-cis ratio) was determined to be 4:1 by NMR. The products exhibited the following spectroscopic properties: The trans-product 4a (Figure 1) was assigned the following signals: 1H-NMR (CDCl3, 400 MHz): δ 1.36, 1.43 (s, 2 × 3H, (CH3)2C), 2.11 (s, 3H, CH3COO), 3.48 (dd, J = 8.0 Hz, 11.4 Hz, 1H, HB1), 3.63 (m, 1H, HC), 3.69 (dd, J = 9.4 Hz, 11.4 Hz, 1H, HD1), 3.81 (dd, J = 6.8 Hz, 8.0 Hz, 1H, (CH3)2C-O-CH2), 3.89 (dd, J = 2.6 Hz, 11.4 Hz, 1H, HD2), 3.93 (dd, J = 2.8 Hz, 11.4 Hz, 1H, HB2), 4.00 (dd, J = 6.8 Hz, 8.4 Hz, 1H, (CH3)2C-O-CH2), 4.15 (m, 1H, (CH3)2C-O-CH-), 5.74 (dd, J = 2.8 Hz, 8.4 Hz, 1H, HA) ppm. 13C-NMR (CDCl3, 100 MHz): δ 20.9, 25.2, 26.3, 65.2, 65.6, 66.9, 74.2, 74.2, 89.4, 109.7, 169.0 ppm. The protons NMR spectrum of the corresponding cis- compound, 4b, could not be fully assigned due to the peaks overlap with 4a, however, the carbon NMR spectrum of the cis- compound was assigned the following signals: 13C-NMR (CDCl3, 100 MHz): δ 21.1, 25.2, 26.2, 61.0, 64.9, 67.6, 74.9, 75.1, 88.4, 109.7, 169.8 ppm. The mixture exhibited the following mass spectrum: MS (EI) m/z: 247 (M++1), 231(M+-CH3), 187(M+-OAc), 145 (C6H9O4). Elem. Anal. calcd. for C11H18O6: C 53.65, H 7.37; found C, 53.84, H 7.45.
Figure 1. Structure of compound 4a.
Figure 1. Structure of compound 4a.
Molecules 16 03985 g001
N-7-{(2R,5S)-5-[(4S)-(2,2-Dimethyl-1,3-dioxolan-4-yl)]-1,4-dioxan-2-yl}adenine (6a) and N-7-{(2S,5S)-5-[(4S)-(2,2-dimethyl-1,3-dioxolan-4-yl)]-1,4-dioxan-2-yl}adenine (6b). The mixture of adenine (1.35 g, 10 mmol) and ammonium sulfate (124 mg, 0.9 mmol) in hexamethyldisilazane (HMDS, 35 mL) was refluxed overnight. The solvent was evaporated and the residue was dissolved in dry dichloroethane (20 mL). To this solution, compound 4 (0.85 g, 3.5 mmol) was added. The solution was cooled to 0 °C and TMSOTf (0.75 mL, 4 mmol) was added. The solution was stirred for 8 hours at room temperature. The chloroform (50 mL) was added and the solution was washed twice with saturated NaHCO3 solution (15 mL). The aqueous phase was extracted twice with chloroform (50 mL), and the combined organic layers was dried over anhydrous MgSO4 and filtered and concentrated under reduced pressure. The residue was purified by flash chromatography using a mixture of dichloromethane and methanol (19:1) as the eluent. A white solid (0.26 g, 23%) was obtained which was identified as a 3:2 mixture of the trans- and cis- products 6a and 6b. From the mixture of isomers was extracted the following spectroscopic properties for isomer 6a (Figure 2): 1H-NMR (CDCl3, 400 MHz): δ 1.47, 1.48 (s, 2 × 3H, HI), 3.87–3.91 (m, 3H, HB), 3.97–4.03 (m, 3H, HA and HE), 4.04 (dd, J = 12 Hz, 6 Hz, 1H, HD2), 4.07 (dd, J = 8.4 Hz, 6.8 Hz, 1H, HA), 4.21–4.27 (m, 2H, HC and HD), 5.72 (dd, J = 8.8 Hz, 4 Hz, HF), 5.99 (br.s, 2H, NH2), 8.11 (s, 1H, HG), 8.54 (s, 1H, HH) ppm. 13C-NMR (CDCl3, 100 MHz): δ 25.2, 26.4, 66.1, 68.5, 60.4, 74.1, 82.0, 110.3, 111.1, 144.0, 151.3, 154.0, 161.6 ppm. For the mixture of 6a and 6b: IR (neat): 3418, 3290, 3149, 2979, 2905, 1625, 1595, 1062 cm-1. HRMS (ESI): Calcd. for C14H19N5O4 [M+Na]+ 322.1516, Found 322.1513.
Figure 2. Structure of compound 6a.
Figure 2. Structure of compound 6a.
Molecules 16 03985 g002
N-6-Benzoyl-N-9-{(2R,5S)-5-[(4S)-(2,2-dimethyl-1,3-dioxolan-4-yl)]-1,4-dioxan-2-yl} adenine (8a) and N-6-benzoyl-N-9-{(2S,5S)-5-[(4S)-(2,2-dimethyl-1,3-dioxolan-4-yl)]-1,4-dioxan-2-yl}-adenine (8b). N6-benzoyladenine (2.065 g, 8.7 mmol) and ammonium sulfate (120 mg, 0.9 mmol) in HMDS (50 mL) was refluxed overnight. The solution was cooled and concentrated under reduced pressure. The residue was dissolved in dry acetonitrile (20 mL) and added a solution of 6 (0.77 g, 3.1 mmol) in dry acetonitrile (5 mL). The mixture was then cooled to 0 °C and added TMSOTf (0.6 mL, 3.3 mmol). The mixture was stirred for four hours. Then chloroform (50 mL) was added and the solution washed twice with saturated NaHCO3 solution (20 mL). The organic phase was dried over anhydrous MgSO4 filtered and concentrated under reduced pressure. The crude product was purified by flash chromatography using a gradient eluent system, first diethyl ether, followed by a mixture of dichloromethane and methanol (19:1) to afford the product as a yellow solid (0.55 g, 42%) as a 3:1 mixture of trans- and cis products 8a and 8b. Pure 8a was obtained by repeated chromatography. Product 8a (Figure 3) exhibited the following spectroscopic properties: 1H-NMR (CDCl3, 400 MHz): δ 1.41, 1.52 (s, 2 × 3H, HG), 3.48 (dd, J = 11.4 Hz, 9.4 Hz, 1H, HE2), 3.79–3.84 (m, 1H, HC), 3.94–3.97 (m, 1H, HA), 4.00 (dd, J = 11.6 Hz, 10.8 Hz, 1H, HD1), 4.09 (dd, J = 8.4 Hz, 6.8 Hz, 1H, HA), 4.17 (dd, J = 11.6 Hz, 2.6 Hz, 1H, HD2), 4.20–4.25 (m, 1H, HB), 4.54 (dd, J = 11.4 Hz, 2.6 Hz, HE1), 6.64 (dd, J = 9.2 Hz, 2.8 Hz, 1H, HF), 7.43–7.49 (m, 2H, HK), 7.50–7.54 (m, 1H, HL), 8.23–8.28 (m, 2H, HJ) ppm. 13C-NMR (CDCl3, 100 MHz): δ 25.4, 26.4, 62.8, 65.0, 66.6, 74.1, 74.4, 81.9, 110.3, 115.2, 128.4, 130.1, 132.4, 137.5, 142.1, 144.9, 149.3, 157.2, 175.6 ppm. For the mixture of 8a and 8b: IR (neat): 3214, 2985, 1635, 1597, 1480, 1116, 1067, 1048 cm−1. HRMS (ESI): Calcd. for C21H23N5O5 [M+H]+ 426.1778, Found 426.1776.
Figure 3. Structure of compound 8a.
Figure 3. Structure of compound 8a.
Molecules 16 03985 g003
(2R,5S)-5-[(1S)-(1,2-Diacetyloxy)]-2-acetyloxy-1,4-dioxane (10a) and (2S,5S)-5-[(1S)-(1,2-diacetyl-oxy)]-2-acetyloxy-1,4-dioxane (10b). Compound 3 (2.2 g, 10.8 mmol) and p-TsOH (2.26 g, 11.9 mmol) was dissolved in acetic anhydride (50 mL). The mixture was stirred for 7 hours at room temperature and then poured into ice water. To the mixture was neutralized with sodium bicarbonate, and then extracted with ethyl acetate. The organic phase was dried over anhydrous MgSO4 filtration and evaporated under reduced pressure. The residue was purified by flash chromatography using a mixture of diethyl ether and n-hexane (2:1) as the eluent. The product appeared as yellow oil, (2.35 g, 75%). The diastereomers were not separated, however the NMR of the one diastereomer (Figure 4) was assigned the NMR signals: 1H-NMR (CDCl3, 400 MHz): δ 2.07, 2.14, 2.15 (s, 3 × 3H, CH3), 3.59–3.61(m, 1H, HD), 3.83 (dd, J = 12.8 Hz, 2H, 1H, HE), 3.89–3.98 (m, 3H, HE, HD and HC), 4.16 (dd, J = 12 Hz, 6.8 Hz, 1H, HA), 4.36 (dd, J = 11.8 Hz, 4.2 Hz, 1H, HA), 5.15–5.18 (m, 1H, HB), 5.87 (d, 2Hz, 1H, HF) ppm. 13C-NMR (CDCl3, 100 MHz): δ 20.7, 20.8, 21.1, 61.2, 62.1, 68.1, 69.8, 73.6, 88.2, 169.8, 170.2, 170.5 ppm. The NMR data for the other diastereomer were the following: 1H-NMR (CDCl3, 400 MHz): δ 2.10, 2.11, 2.16 (s, 3 × 3H, CH3), 3.78–3.82(m, 1H, HC), 3.83 (dd, 12.8Hz, 2Hz, 1H, HE), 3.93 (d, 12.8Hz, 1H, HE), 4.13–4.26 (m, 5H, HB, HD and HA), 5.87 (d, 2Hz, 1H, HF) ppm. 13C-NMR (CDCl3, 100 MHz): δ 20.7, 20.8, 21.4, 63.1, 63.4, 67.6, 68.8, 74.2, 89.0, 169.7, 170.5, 170.6 ppm. IR (neat): 2959, 1737, 1219, 1044, 1014 cm−1. MS (m/z): 289.3, 243.3, 231.3, 217.3.
Figure 4. Structure of compound 10.
Figure 4. Structure of compound 10.
Molecules 16 03985 g004
N-6-Benzoyl-N-9-{(2R,5S)-5-[(1S)-(1,2-diacetyloxy)]-1,4-dioxan-2-yl}adenine (11a) and N-6-benzoyl-N-9-{(2S,5S)-5-[(1S)-(1,2-diacetyloxy)]-1,4-dioxan-2-yl}adenine (11b). N-6-benzoyladenine (1.09 g, 4.6 mmol) and ammonium sulfate (62 mg, 0.47 mmol) in HMDS (50 mL) was refluxed overnight. The mixture containing the silylated N-6-benzoyladenine 7 was concentrated under reduced pressure, dissolved in dry dichloroethane (24 mL) and then added a solution of 10 (0.74 g, 2.6 mmol) in dry dichloromethane (6 mL). This mixture was added TMSOTf (0.94 mL, 5.2 mmol) at 0 °C and stirred overnight at room temperature. Chloroform (50 mL) was added to the mixture which was washed with saturated NaHCO3 solution (25 mL). The aqueous phase was extracted with chloroform (50 mL). The combined organic layers were dried over anhydrous Na2SO4 and filtered and concentrated under reduced pressure. The residue was purified by flash chromatography using a mixture of dichloromethane and methanol (9/1) as the eluent to afford the product (0.67 g, 56%) as a mixture of the trans and cis products, 11a and 11b. The product was used for the next reaction without further purification. The NMR was too complex to allow reasonable assignments of the signals. IR (neat): 2958, 1737, 1636, 1216.1045, 1023 cm−1. HRMS (ESI): Calcd. for C22H23N5O7 [M+H]+ 470.1677, Found 470.1663.
N-6-Benzoyl-N-9-{(2R,5S)-5-[(1S)-(1,2-dihydroxyl)]-1,4-dioxan-2-yl}adenine (9a) and N-6-benzoyl-N-9-{(2S,5S)-5-[(1S)-(1,2-dihydroxyl)]-1,4-dioxan-2-yl}adenine (9b). Compound 11 (1.27 g, 30 mL) was dissolved in 7N ammonia in methanol (30 mL) and stirred for 7 hours at room temperature. The solution was concentrated and purified by flash chromatography using a mixture of dichloromethane and methanol (19/1) as the eluent. The pure trans- product 9a was isolated (140 mg, 13.5%, Figure 5). Product 9a exhibited the following spectroscopic properties: 1H-NMR (CD3OD, 400 MHz): δ 3.59 (dd, J = 11.2 Hz, 9.4 Hz, 1H, HE2), 3.60–3.70 (m, 3H, HA and HB), 3.89 (dt, J = 10.6 Hz, 2.8 Hz, 1H, HC), 4.13 (dd, J = 11.8, 10.6 Hz, 1H, HD1), 4.24 (dd, J = 11.8, 2.8 Hz, 1H, HD2), 4.37 (dd, J = 11.2 Hz, 2.6 Hz, 1H, HE1), 6.55 (dd, J = 9.4, 2.6 Hz, 1H, HF), 7.41–7.45 (m, 1H, HI), 7.49–7.53 (m, 2H, HK), 8.21–8.24 (m, 1H, HC), 8.24 (s, 1H, HG), 8.67 (s, 1H, HH) ppm. 13C-NMR (CD3OD, 100 MHz): δ 63.8, 70.4, 70.8, 72.1, 76.3, 82.6, 115.5, 129.3, 131.0, 133.4, 138.2, 144.2, 145.2, 149.7, 156.9, 176.6ppm. IR (neat): 3286, 2876, 1635, 1424, 1285, 1115, 1063, 1021cm-1. HRMS (ESI): Calcd. for C18H19N5O5 [M+H]+ 470.1677, Found 470.1668.
Figure 5. Structure of compound 9a.
Figure 5. Structure of compound 9a.
Molecules 16 03985 g005
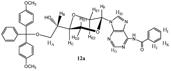
N-6-Benzoyl-N-9-{(2S,5S)-5-[(1S)-hydroxyl-2-O-(4,4-dimethoxytrityl)-ethyl-1-yl]-1,4-dioxan-2-yl}-adenine (12). Compound 9 (mixture of 9a and 9b, 139 mg, 0.36 mmol) and dimethoxyltrityl chloride (277 mg, 0.79 mmol) were dissolved in dry pyridine (10 mL). The solution was stirred at room temperature for 3 hours. The solution was concentrated in vacuo and residue was purified by flash chromatography using first diethyl ether and then ethyl acetate as the eluent to provide the product (12a and 12b) as a white solid (100 mg, 40%). Product 12a (Figure 6) was obtained upon repeated chromatography and exhibited the following spectroscopic properties: 1H-NMR (CDCl3, 400 MHz): δ 2.82 (d, J = 4.8 Hz, 1H, OH), 3.25 (dd, J = 9.6 Hz, 5.4 Hz, 1H, HA), 3.34 (dd, J = 9.6 Hz, 5.6 Hz, HA), 3.43 (dd, J = 11.2 Hz, 9.2 Hz, HE2), 3.75–3.82 (m, 1H, HB), 3.77 (s, 2 × 3H, OCH3), 3.86–3.90 (m, 1H, HC), 4.00 (dd, J = 12 Hz, 10.2 Hz, HD1), 4.13 (dd, J = 12 Hz, 2.8 Hz, HD2), 4.43 (dd, J = 11.2 Hz, 2.8 Hz, HE), 6.60 (dd, J = 9.2 Hz, 2.8 Hz, HF), 6.82–6.86 (m, 5H, aromatic protons), 7.20–7.24 (m, 1H, aromatic proton), 7.26–7.37 (m, 5H, aromatic protons), 7.40–7.53 (m, 5H, aromatic protons), 8.13 (s, 1H, HG), 8.15–8.25 (m, 2H, aromatic protons), 8.64 (s, 1H, HH) ppm. 13C-NMR (CDCl3, 100 MHz): δ 55.2, 63.8, 69.3, 69.4, 70.0, 75.5, 81.0, 86.5, 113.2, 126.9, 129.8, 130.0, 132.3, 135.7, 135.8, 137.1, 142.1, 143.0, 144.6, 148.4, 157.1, 158.6, 175.4 ppm. HRMS (ESI): Calcd. for C39H37N5O7 [M+Na]+ 710.2591, Found 710.2588.
Figure 6. Structure of compound 12a.
Figure 6. Structure of compound 12a.
Molecules 16 03985 g006
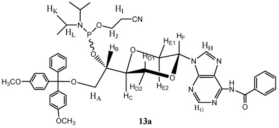
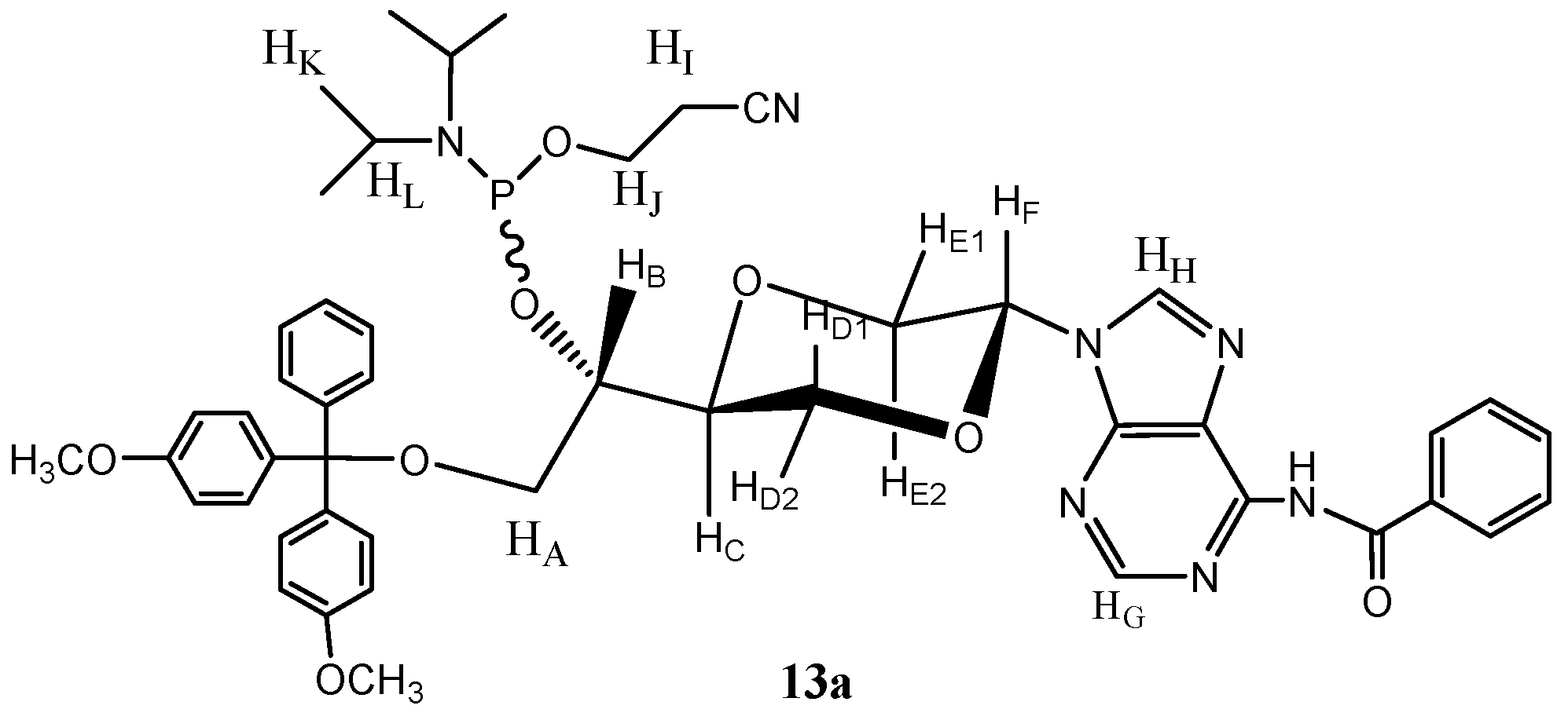
N-6-Benzoyl-N-9-{(2S,5S)-5-{(1S)-O-[2-cyanoethoxy(diisopropylamino)phosphino]-2-O-(4,4′-di-methoxytrityl)-ethyl-1-yl}-1,4-dioxan-2-yl}adenine (13a). Compound 12 (mixture of 12a and 12b) (99 mg, 0.14 mmol) was dissolved in dry dicholormethane (6 mL) was then added N,N-diisopropyl-ethylamine (50 µL, 0.29 mmol). Then N,N-diisopropyl-2-cyanoethyl phosphoramidic chloride (105 µL, 0.47 mmol) was added. The resulting solution was stirred for 6 hours at room temperature. The solution was then concentrated and purified by flash chromatography using a mixture of ethyl acetate and n-hexane (4:1) as the eluent to give the trans isomer 13a (65 mg, 51%) as a mixture of diastereomers due to the stereogenic phosphorus. Major diastereomer 13a (Figure 7) had the following spectroscopic properties: 1H-NMR (CDCl3, 400 MHz): δ 1.14 (d, J = 7.2 Hz, 2 × 3H, HK), 1.19 (d, J = 7.2 Hz, 2 × 3H, HK), 2.64 (dt, J = 6.4, 2.4 Hz, 2H, HI), 3.27 (dd, J = 9.4, 5.2 Hz, 1H, HA), 3.36 (dd, J = 9.4, 6 Hz, 1H, HA), 3.45 (dd, J = 11.2, 9.4 Hz, 1H, HE2), 3.56–3.70 (m, 2 × 1H, HL), 3.771, 3.768 (s, 2 × 3H, OCH3), 3.72–3.82 (m, 1H, HJ), 3.87–3.95 (m, 1H, HJ), 4.00–4.09 (m, 3 × 1H, HB, HD, HC), 4.24 (d, J = 10 Hz, 1H, HD), 4.40 (dd, J = 11.2, 2.6 Hz, 1H, HE1), 6.61 (dd, J = 9.4, 2.6 Hz, 1H, HF), 6.81–6.85 (m, 4H, aromatic H), 7.19–7.22 (m, 1H, aromatic H), 7.27–7.30 (m, 2H, aromatic H), 7.34–7.36 (m, 4H, aromatic H), 7.41–7.48 (m, 4H, aromatic H), 7.52–7.56 (m, 4H, aromatic H), 8.14 (s, 1H, HG), 8.22–8.25 (m, 2H, aromatic H), 8.69 (s, 1H, HH), 12.59 (s, 1H, NH) ppm. 13C-NMR (CDCl3, 100 MHz): δ 20.4, 20.5, 24.56, 24.64, 24.67, 24.74, 43.2, 43.4, 55.2, 58.0, 58.2, 60.4 ,69.55, 69.62, 72.1, 75.3, 75.4, 81.3, 86.4, 113.1, 114.4, 117.7, 126.8, 127.8, 128.2, 128.3, 129.9, 130.05, 130.09, 132.3, 135.95, 136.01, 137.2, 141.8, 143.3, 144.8, 148.4, 157.2, 158.5, 175.5 ppm. 31P-NMR (CDCl3): 151.0, 152.0 (small) ppm. IR (neat): 3239, 3056, 2965, 2929, 2362, 2338, 1637, 1507, 1251, 1083, 788, 754, 719 cm−1. HRMS (ESI): Calcd. for C48H54N7O8P [M+Na]+ 910.3669, Found 910.3639.
Figure 7. Structure of compound 13a.
Figure 7. Structure of compound 13a.
Molecules 16 03985 g007
1-[(2R,5S)-5-[(1S)-Acetyloxy-2-hydroxylethyl-1-yl]-1,4-dioxan-2-yl]uracil (14a). The synthesis of this compound has been reported earlier [7]. Compound 14a (Figure 8) exhibited the following spectroscopic properties: 1H-NMR (CD3OD, 400 MHz): δ 2.07 (s, 3H, CH3), 3.58 (dd, J = 11.4 Hz, 9.8Hz, 1H, HE2), 3.70–3.74 (m, 1H, HB), 3.77–3.82 (m, 1H, HC), 3.92–3.98 (m, 2H, HE and HD1), 4.06 (dd, J = 11.6, 2.8 Hz, 1H, HD2), 4.13 (dd, J = 11.2, 6.4 Hz, 1H, HA), 4.16 (dd, J = 11.2 Hz, 5.4Hz, 1H, HA), 5.69 (dd, J = 10 Hz, 2.8 Hz, 1H, HF), 5.70 (d, J = 8 Hz, 1H, HH), 7.71 (d, J = 8 Hz, 1H, HG) ppm. 13C-NMR (CD3OD, 100 MHz): δ 20.9, 66.4, 69.2, 69.4, 69.8, 76.0, 80.0, 103.1, 142.3, 151.9, 166.0, 172.8 ppm. IR (neat): 3477, 3190, 3110, 3074, 2996, 2879, 1697, 1268, 1105 cm−1. MS (EI): 230.3, 197(M+-(CH3COCHCH2OH)), 189(M+-uracil). HRMS (ESI): Calcd. for C12H16N2O7 [M+Na]+ 323.0856, Found 323.0862.
Figure 8. Structure of compound 14.
Figure 8. Structure of compound 14.
Molecules 16 03985 g008
N6-Benzoyladenine uracil dinucleotide (15). Compound 13a (30 mg, 0.039 mmol) and 14a (8 mg, 0.027 mmol) in a reaction flask with a magnetic stirring bar were dried under high vacuum for 4 hours. Then a mixture 1-H tetrazole (0.3 mL, 0.45 M, 0.135 mmol) in dry acetonitrile (6 mL) was added under a nitrogen atmosphere. The solution was stirred overnight at room temperature. Then was added a few drops of iodine in THF (1M solution), 2,6-lutidine and H2O (2:2:1) until an orange color persisted. The solution was then quenched with saturated sodium thiosulfate solution (4 mL). Then the two phases were treated with saturated NaHCO3 solution (4 mL). The separated aqueous phase was extracted with 4 × 8 mL of dichloromethane. The combined organic phase was dried over anhydrous Na2SO4 and filtered and the solvent evaporated. Flash chromatographic purification, using mixtures of dichloromethane and methanol in the ratio from 25:1 to 15:1 as gradient solvents, afforded a product (16 mg, 61.5%), which was assigned structure 15 (Figure 9) based on the following spectroscopic properties: 1H-NMR (CDCl3, 400 MHz): δ 2.02 (s, 3H, CH3COO), 2.09 (s, 3H, CH3COO), 2.51–2.62 (m, 2H, CH2CN), 2.71–2.74 (m, 2H, CH2CN), 3.15 (dd, 1H, J = 11.2 Hz, 9.6Hz), 3.21–3.28 (m), 3.38 (dd, J = 11.4 Hz, 9.8Hz), 3.45–3.58 (m), 3.62–3.96 (m), 4.01 (dd, 1H, J = 11.2 Hz, 2.8Hz), 4.03–4.13 (m), 4.14–4.35 (m), 4.37–4.47 (m), 4.63–4.74 (m), 5.58 (dd, 1H, J = 9.8 Hz, 3 Hz, anomeric proton), 5.66–5.71 (m, 3H, two protons in uracil and one anomeric proton), 6.62–6.68 (m), 6.84–6.89 (m, aromatic protons), 7.20 (d, J = 8 Hz, 1H, a proton in uracil), 7.22–7.28 (m, aromatic protons), 7.30–7.37 (m, aromatic protons and one proton in uracil), 7.42–7.49 (m, aromatic protons), 7.52–7.58 (m, aromatic protons), 8.143 (s, 1H, a proton in adenine), 8.148 (s, 1H, a proton in adenine), 8.23–8.25 (m, aromatic protons), 8.33 (br. 1H, NH), 8.63 (s, a proton in adenine), 8.64 (s, a proton in adenine) ppm. 13C-NMR (CDCl3, 100 MHz): δ 20.76, 20.82, 55.3, 62.0–62.5 (m), 67.6, 68.1, 68.4, 69.4, 73.2, 74.4, 74.8, 78.4, 78.5, 80.9, 86.8, 86.9, 102.7, 102.8, 128.06, 128.10, 128.3, 129.9, 130.0, 132.4, 134.98, 135.02, 135.2, 137.1, 139.2, 139.3, 141.9, 142.9, 148.4, 149.5, 157.2, 158.8, 162.1, 170.4, 175.6 ppm. 31P-NMR (CDCl3): −1.28, −1.49 ppm. HRMS (ESI): Calcd. for C54H55N8O16P [M+Na]+ 1125.3372, Found 1125.3354.
Figure 9. Structure of compound 15.
Figure 9. Structure of compound 15.
Molecules 16 03985 g009

4. Conclusions

The synthesis of the adenosine analogs containing an optically active 1,4-dioxane sugar equivalent was achieved by coupling of N-silylated N-6-benzoyl protected adenine with the sugar acetate equivalents. Applying conventional phosphorimidite methodology the adenine analog was further coupled to the related uridine analog to give the corresponding protected dinucleotide, thus making it feasible that larger oligonucleotides can be prepared, including the application of conventional automated procedures.

Acknowledgments

The authors wish to thank the Norwegian Research Council, NFR, for financial support.

References and Notes

  1. Ichikawa, E.; Kato, K. Sugar-modified nucleosides in past 10 years, a review. Curr. Med. Chem. 2001, 8, 385–423. [Google Scholar] [CrossRef]
  2. Szarek, W.A.; Pinto, B.M.; Iwakawa, M. Synthesis and biological activity of nucleoside analogues involving modifications in the carbohydrate ring. Can. J. Chem. 1985, 63, 2149–2161. [Google Scholar] [CrossRef]
  3. Hronowski, L.J.; Szarek, W.A. Synthesis and biological evaluation of novel pyrimidine nucleoside analogues of 1,4-oxathiane, 1,4-dithiane, and 1,4-dioxane. J. Med. Chem. 1982, 25, 522–526. [Google Scholar] [CrossRef]
  4. Prisbe, E.J. Synthesis and antiviral evaluation of 1,4-dioxane nucleoside analogues related to nucleoside dialdehydes. J. Med. Chem. 1986, 29, 2445–2450. [Google Scholar] [CrossRef]
  5. Mitsuaki, M.; Naoko, K.; Yamaizumi, Z.; Okamoto, Y.; Nagahara, K.; Takayanagi, H. Synthesis of a novel dioxane nucleoside having two bases, 2(R)-(5-fluorouracil-1-yl)-5(R)-hydroxymethyl-3(R)-(uracil-1-yl)-1,4-dioxane and its 2(S)-isomer, from uridine. Tetrahedron Lett. 1997, 38, 6841–6844. [Google Scholar] [CrossRef]
  6. Szarek, W.A.; Vyas, D.M.; Achmatowicz, B. Synthesis of nucleoside analogues of 1,4-oxathiane, 1,4-dothiane, and 1,4-dioxane. J. Heteroc. Chem. 1975, 12, 123–127. [Google Scholar] [CrossRef]
  7. Qiang, Y.; Carlsen, P. Synthesis of a Novel, Optically Active Uridine Analog Containing a 1,4-dioxane Sugar Moiety. Synthesis of the Corresponding Dinucleotide. Nucleos. Nucleot. Nucl. Acids 2009, 28, 165–174. [Google Scholar] [CrossRef]
  8. Sinha, N.D.; Biernat, J.; Mcmanus, J.; Köster, H. Polymer support oligonucleotide synthesis. XVIII: use of -cyanoethyl-N,N-dialkylamino-/N-morpholino phosphorami-dite of deoxynucleo-sides for the synthesis of DNA fragments simplifying deprotection and isolation of the final product. Nucl. Acids Res. 1984, 12, 4539–4557. [Google Scholar] [CrossRef]
  9. Nagashima, N.; Ohno, M. Selective monoalkylation of acyclic diols by means of dibutyltin oxide and fluoride salts. Chem. Pharm. Bull. 1991, 39, 1972–1982. [Google Scholar] [CrossRef]
  10. Nagashima, N.; Ohno, M. An efficient O-monoalkylation of dimethyl L-tartrate via O-stannylene acetal with alkyl halides in the presence of caesium fluoride. Chem. Lett. 1987, 1, 141–144. [Google Scholar] [CrossRef]
  11. Baskaran, S.; Aurich, H.G.; Biesemeier, F.; Harms, K. Cycloadducts from highly functionalized nitrones and oximes as ligands in the enantioselective addition of diethylzinc to benzaldehyde. J. Chem. Soc. Perkin Trans. 1 1998, 22, 3717–3724. [Google Scholar]
  12. Marshall, J.A.; Andersen, N.H.; Hochstetler, A. Reduction of malonic enolates with lithium aluminum hydride. J. Org. Chem. 1967, 32, 113–118. [Google Scholar] [CrossRef]
  13. Shi, M.; Jiang, J.-K.; Feng, Y.-S. Chiral C2-symmetric 2,3-disubstituted aziridine and 2,6-disubstituted piperidine as chiral ligands in the addition reaction of diethylzinc with arylaldehydes. Tetrahedron Asymmetry 2000, 11, 4923–4933. [Google Scholar] [CrossRef]
  14. Marshall, J.A.; Beaudion, S. Stereoselective Synthesis of Higher Sugars by Homologation of Carbohydrate-Derived Enals with Nonracemic γ-(Silyloxy) Allylic Stannanes and Substrate-Directed Hydroxylation. J. Org. Chem. 1994, 59, 6614–6619. [Google Scholar] [CrossRef]
  15. Albizati, K.F.; Babu, S. A synthesis of the HIV-protease inhibitor nelfinavir from D-tartaric acid. Tetrahedron Lett. 2001, 42, 6481–6485. [Google Scholar] [CrossRef]
  16. Takano, S.; Kurotaki, A.; Sekiguchi, Y.; Satoh, S.; Hirama, M.; Ogasawara, K. Selective manipulation of hydroxy groups in (2S,3S)-threitol. Synthesis 1986, 10, 811–817. [Google Scholar]
  17. Vorbrüggen, H.; Krolikiewicz, K. Nucleoside syntheses. XXII. Nucleoside synthesis with trimethylsilyl triflate and perchlorate as catalysts. Chem. Ber. 1981, 114, 1234–1255. [Google Scholar]
  18. Vorbrüggen, H.; Höfle, G. Nucleoside syntheses. XXIII. On the mechanism of nucleoside synthesis. Chem. Ber. 1981, 114, 1256–1268. [Google Scholar] [CrossRef]
  19. Green, T.W.; Wuts, P.G.M. Protective Groups in Organic Synthesis; Wiley & Sons: New York, NY, USA, 1999. [Google Scholar]
  20. Magdalena, J.; Fernandez, S.; Ferrero, M.; Gotor, V. Difficulties in the deprotection of 1,2-ketals in nucleosides containing alkylidencarbazoyl groups. Nucleos. Nucleoti. Nucl. Acids 2002, 21, 55–64. [Google Scholar] [CrossRef]
  21. Van Cleve, J.W.; Rist, C.E. Ethylidene derivatives of D-erythrose. I. 2,3-O-Ethylidene-β-D-erythrofuranose. Carbohydr. Res. 1967, 4, 82–92. [Google Scholar] [CrossRef]
  22. Angyal, S.J.; Beveridge, R.J. Conformational analysis in carbohydrate chemistry. Part IV. Intramolecular acetal formation by primary versus secondary hydroxyl groups. Carbohydr. Res. 1978, 65, 229–234. [Google Scholar] [CrossRef]
  23. Shing, T.K.M.; Wan, L.H. Facile Syntheses of Valiolamine and Its Diastereomers from (-)-Quinic Acid. Nucleophilic Substitution Reactions of 5-(Hydroxy-methyl)cyclohexane-1,2,3,4,5-pentol. J. Org. Chem. 1996, 61, 8468–8479. [Google Scholar]
  24. Kim, K.S.; Song, Y.H.; Lee, B.H.; Hahn, C.S. Efficient and selective cleavage of acetals and ketals using ferric chloride adsorbed on silica gel. J. Org. Chem. 1986, 51, 404–406. [Google Scholar] [CrossRef]
  25. Szarek, W.A.; Zamojski, A. A new, facile method for cleavage of acetals and dithioacetals. Tetrahedron Lett. 1986, 27, 3827–3830. [Google Scholar] [CrossRef]
  26. Hall, D.M.; Lawler, T.E.; Childress, B.C. A practical synthesis of 1,2,3,6-tetra-O-acetyl-α- and β-D-glucopyranose, and their use to prepare trisaccharides. Carbohydr. Res. 1974, 38, 359–363. [Google Scholar] [CrossRef]
  27. Saito, Y.; Zevaco, T.A.; Agrofoglio, L.A. Chemical synthesis of 13C labeled anti-HIV nucleosides as mass-internal standards. Tetrahedron 2002, 58, 9593–9603. [Google Scholar] [CrossRef]
  28. Cao, Y.; Okada, Y.; Yamada, H. Facile and regioselective preparation of partly O-benzylated D-glucopyranose acetates via acid-mediated simultaneous debenzylation-acetolysis. Carbohydr. Res. 2006, 341, 2219–2223. [Google Scholar] [CrossRef]
  29. Neilson, T.; Werstiuk, E.S. Oligoribonucleotide synthesis. II. Preparation of 2'-O-tetrahydropyranol derivatives of adenosine and cytidine necessary for insertion in stepwise synthesis. Can. J. Chem. 1971, 49, 493–499. [Google Scholar] [CrossRef]
  30. Fisher, E.F.; Caruthers, M.H. Color coded triarylmethyl protecting groups useful for deoxypolynucleotide synthesis. Nucl. Acids Res. 1983, 11, 1589–1599. [Google Scholar] [CrossRef]
  31. Stütz, J.A.R.; Richert, C. Synthesis of a formamidine-protected 5’-amino-2’,5’-dideoxy-guanosine phosphoramidite and preparation of 5’-acylamidooligonucleotides. Tetrahedron Lett. 2004, 45, 509–513. [Google Scholar] [CrossRef]
  32. Eisenfuhr, A.; Arora, P.S. A ribozyme with michaelase activity: synthesis of the substrate precursors. Bioorg. Med. Chem. 2003, 11, 235–249. [Google Scholar] [CrossRef]
  33. Ferris, J.P.; Peyser, J.R. Rapid and efficient syntheses of phosphorylated dinucleotides. Nucleos. Nucleot. 1994, 13, 1087–1111. [Google Scholar] [CrossRef]
  • Sample Availability: Not available

Share and Cite

MDPI and ACS Style

Yu, Q.; Carlsen, P. Synthesis of a Novel Benzoyl Adenosine Analog Containing a 1, 4-Dioxane Sugar Analog and the Synthesis of a Corresponding Uracil Adenine Dinucleotide. Molecules 2011, 16, 3985-3998. https://doi.org/10.3390/molecules16053985

AMA Style

Yu Q, Carlsen P. Synthesis of a Novel Benzoyl Adenosine Analog Containing a 1, 4-Dioxane Sugar Analog and the Synthesis of a Corresponding Uracil Adenine Dinucleotide. Molecules. 2011; 16(5):3985-3998. https://doi.org/10.3390/molecules16053985

Chicago/Turabian Style

Yu, Qiang, and Per Carlsen. 2011. "Synthesis of a Novel Benzoyl Adenosine Analog Containing a 1, 4-Dioxane Sugar Analog and the Synthesis of a Corresponding Uracil Adenine Dinucleotide" Molecules 16, no. 5: 3985-3998. https://doi.org/10.3390/molecules16053985

APA Style

Yu, Q., & Carlsen, P. (2011). Synthesis of a Novel Benzoyl Adenosine Analog Containing a 1, 4-Dioxane Sugar Analog and the Synthesis of a Corresponding Uracil Adenine Dinucleotide. Molecules, 16(5), 3985-3998. https://doi.org/10.3390/molecules16053985

Article Metrics

Back to TopTop