Abstract
Thymidine 5´-bis[3-acetyloxy-2-cyano-2-(2-phenylethylcarbamoyl)propyl]phosphate (1) has been prepared and the removal of phosphate protecting groups by hog liver carboxyesterase (HLE) at pH 7.5 and 37 °C has been followed by HPLC. The first detectable intermediates are the (RP)- and (SP)-diastereomers of the monodeacetylated triester 14, which subsequently undergo concurrent retro-aldol condensation to diester 4 and enzyme-catalyzed hydrolysis to the fully deacetylated triester 15. The former pathway predominates, representing 90% of the overall breakdown of 14. The diester 4 undergoes the enzymatic deacetylation 700 times less readily than the triester, but gives finally thymidine 5´-monophosphate as the desired main product. To elucidate the potential toxicity of the electrophilic 2-cyano-N-(2-phenylethyl)acrylamideby-product 17 released upon the deprotection, the hydrolysis of 1 has also been studied in the presence of glutathione (GSH).
1. Introduction
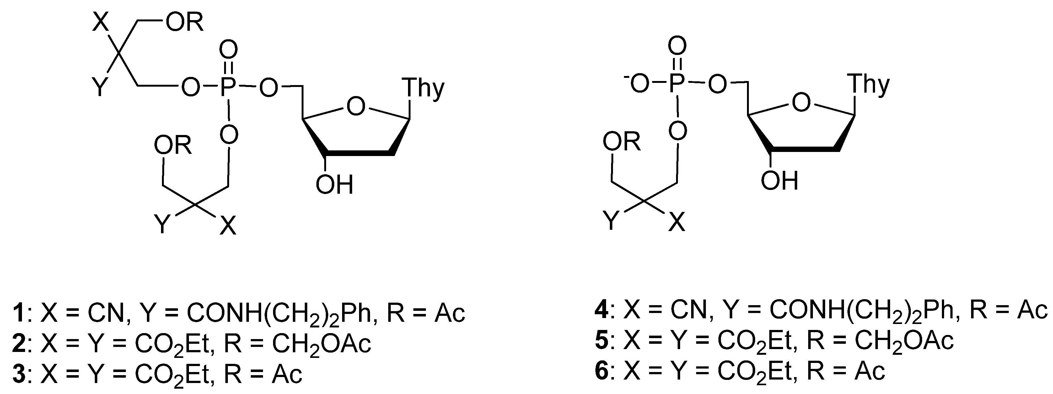
Masking of the ionic phosphate moiety of nucleotide analogues with enzyme-labile protecting groups offers a viable prodrug approach [1,2,3,4,5,6]. Enzymatic deacylation of one of the masking groups of a nucleoside 5´-phosphotriester triggers a concomitant chemical cleavage of the remnants of the protecting group, yielding nucleoside 5´-phosphodiester [7,8,9,10,11,12,13,14,15,16,17,18,19,20,21,22,23]. The negatively charged diester undergoes enzymatic deacylation much less readily than the parent triester [24,25,26,27,28], and hence, this latter step constitutes a bottleneck for the release of the 5´-monophosphate. Our previous results with nucleoside 5´-phosphotriesters 2 and 3 and the respective diesters 5 and 6 have revealed that even a rather small structural modification, viz. introduction of an additional –CH2O- group between the enzyme labile ester function and the 2,2-diethoxycarbonyl substituted propyl group, accelerates the enzymatic deacetylation of both the triester and diester [29]. When using hog liver carboxyesterase, the acceleration is 40-fold. In fact, the deacetylation of diester 5 is already so rapid that the subsequent chemical step, viz. departure of 3-hydroxy-2,2-bis(ethoxycarbonyl)propyl group by retro-aldol condensation (Scheme 1), becomes rate-limiting. The rate of this step may, however, be tuned within wide limits by the polar nature of the 2-substituents [30,31,32,33]. For example, 2-cyano-2-carbamoyl disubstitution markedly accelerates the retro-aldol condensation compared to bis(ethoxycarbonyl) substitution. The primary aim of the present study is to find out whether this combination of 2-substituents also allows so facile enzymatic deacetylation of the diester that, taken together with rapid chemical retro-aldol condensation, an efficient pro-drug strategy is obtained. For this purpose, thymidine 5´-bis[3-acetyloxy-2-cyano-2-(2-phenylethylcarbamoyl)propyl]phosphate (1) has been prepared as a model compound and its hydrolysis initiated by hog liver carboxyesterase (HLE) has been followed by HPLC.
Scheme 1.
Structures of compounds 1-6.
Scheme 1.
Structures of compounds 1-6.

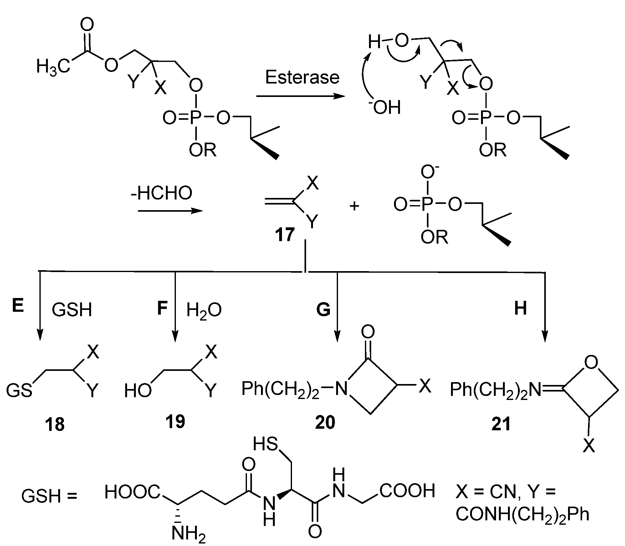
The potentially toxic by-products, such as formaldehyde and electrophilic alkylating agents, released upon breakdown of the biodegradable protecting groups form a general problem of pro-drug strategies. These by-products are believed to be captured by glutathione (GSH) present in cells at a high concentration. For example, aryl vinyl ketones released from HepDirectprodrugs in hepatocytes have been shown to undergo rapid conjugation with GSH in the mice serum [34]. Glutathione has also been proposed to react with formaldehyde in human cells [35]. S-Hydroxymethylglutathione formed is oxidized by formaldehyde dehydrogenase to S-formylglutathione which is further hydrolyzed to formate by S-formylglutathione hydrolase, regenerating free GSH [36]. The secondary aim of the present study is to evaluate the alkyating ability of 2-cyano-N-(2-phenylethyl)acrylamide (17) formed upon the deprotection of 1. For this reason, the HLE-triggered deprotection in the presence of GSH has been followed by HPLC-ESI-MS.
2. Results and Discussion
2.1. Synthesis
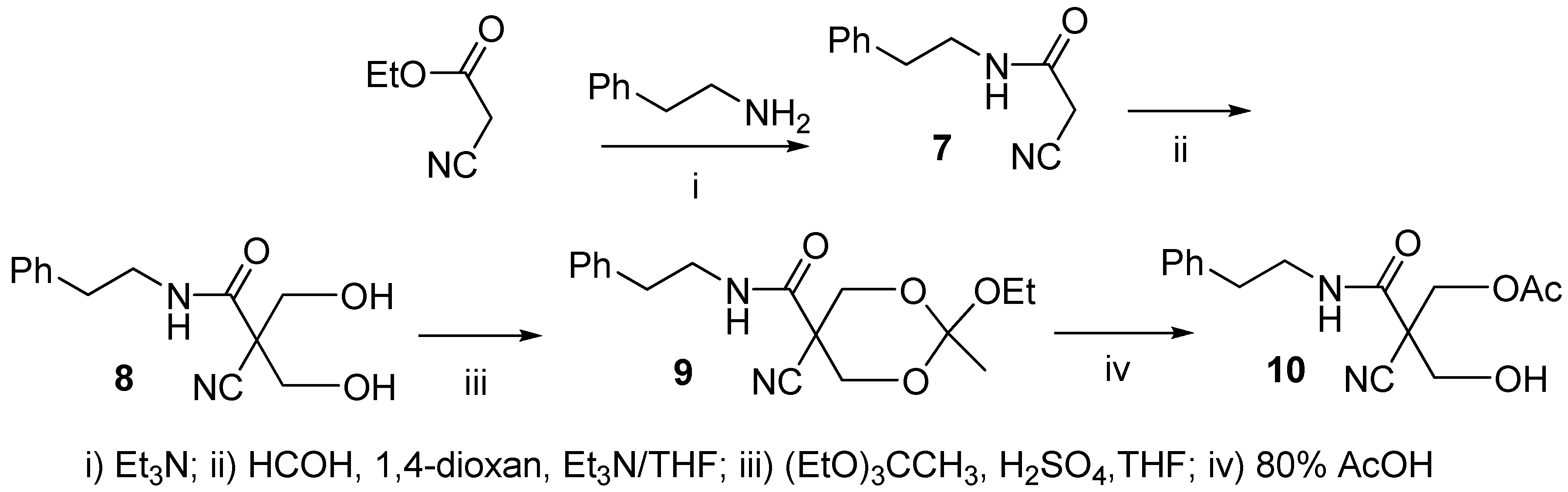
2-cyano-N-(2-phenylethyl)acetamide (7), prepared from ethyl cyanoacetate by acyl substitution with (2-phenylethyl)amine, was bis(hydroxymethylated) by a procedure described earlier [37]. The 2-cyano-3-hydroxy-2-(hydroxymethyl)-N-(2-phenylethyl)propanamide (8) thus obtained was then converted to orthoacetate 9 and finally hydrolyzed to 3-acetyloxy-2-cyano-2-hydroxymethyl-N-(2-phenylethyl)propanamide (10), essentially as described earlier (Scheme 2) [38]. Alcohol 10 was isolated and used in tetrazole promoted alcoholysis of 3´-O-levulinoylthymidine 5´-(N,N-diethylaminophosphoramidite (12) [29] (Scheme 3). The phosphite ester obtained was oxidized with iodine in a mixture of THF, water and lutidine to the corresponding phosphate ester 13 and the levulinoyl protecting group was removed with hydrazinium acetate in a mixture of dichloromethane and MeOH.
Scheme 2.
Preparation of 3-acetyloxy-2-cyano-2-hydroxymethyl-N-(2-phenylethyl)propanamide (10).
Scheme 2.
Preparation of 3-acetyloxy-2-cyano-2-hydroxymethyl-N-(2-phenylethyl)propanamide (10).

Scheme 3.
Preparation of thymidine 5´-bis[3-acetyloxy-2-cyano-2-(2-phenylethyl-carbamoyl)propyl]phosphate (1).
Scheme 3.
Preparation of thymidine 5´-bis[3-acetyloxy-2-cyano-2-(2-phenylethyl-carbamoyl)propyl]phosphate (1).

2.2. Hydrolytic Stability of Thymidine 5´-Bis[3-acetyloxy-2-cyano-2-(2-phenylethylcarbamoyl)propyl] phosphate (1)
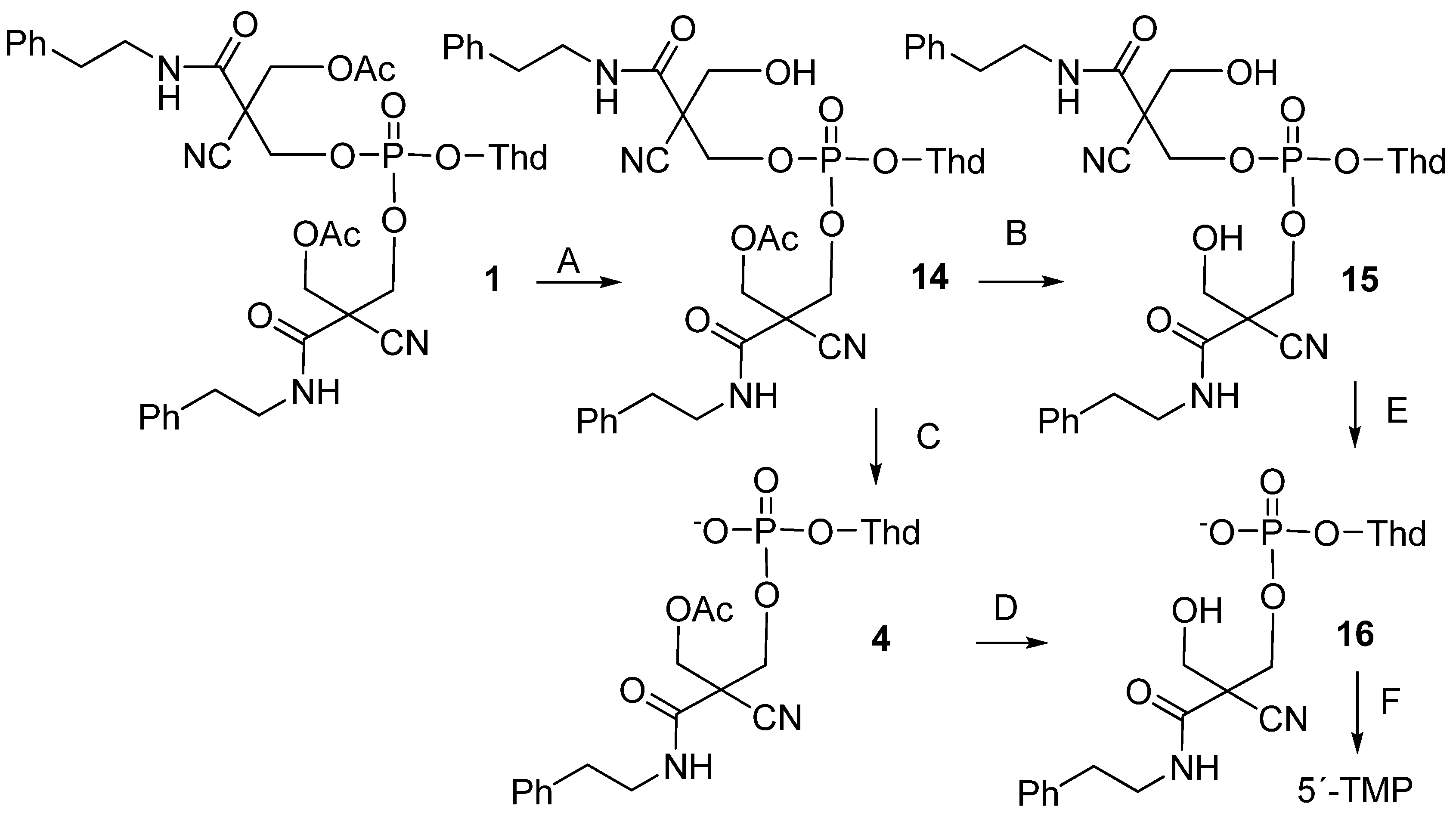
Hydrolysis of triester 1 was studied at pH 7.5 and 37 °C by analyzing the composition of the aliquots withdrawn from the reaction mixture at appropriate time intervals by RP HPLC. The products formed were identified by spiking with authentic samples and by mass spectrometric analysis (HPLC/ESI-MS). At pH 7.5-10, hydrolysis of the first acetic ester linkages of 1 (Reaction A in Scheme 4) was first-order in hydroxide-ion concentration. At pH 7.5, the half-life for the reaction was 28 h (k = 7.0 × 10-6 s-1). The subsequent departure of the remnants of this protecting group by retro-aldol condensation gave diester 4 (Route C) without accumulation of the monodeacetylated triester 14 as an intermediate. Hydrolysis of the second ester linkage (Reaction D) was 16 times slower, the half-live being 460 h. Accordingly, the compound is slightly more stable than the corresponding 3-acetyloxy-methoxy-2,2-bis(ethoxycarbonyl)propyl derived triester 2. The half-lives for the consecutive deacetylations of 2 have been reported to be 32 h and 148 h under these conditions [29]. The 3-acetyloxy-2,2-bis(ethoxycarbonyl)propyl protected triester 3 and its diester counterpart 6 are considerably more stable, the half-lives for the disappearance of 3 and 6 at pH 7.5 and 25 °C being 480 h and 3850 h, respectively [29].
Figure 1.
RP-HPLC profiles for the HLE-catalyzed hydrolysis of thymidine 5´-bis[3-acetyloxy-2-cyano-2-(2-phenylethylcarbamoyl)propyl]phosphate (1) at pH 7.5 and 37.0 °C (I = 0.1 mol L-1 with NaCl). Notation: (a) 1, (b) 14, (c) 15, (d) 4, (e) 16, (f) thymidine and (g) 5´-TMP. For detailed chromatographic conditions, see the experimental section.
Figure 1.
RP-HPLC profiles for the HLE-catalyzed hydrolysis of thymidine 5´-bis[3-acetyloxy-2-cyano-2-(2-phenylethylcarbamoyl)propyl]phosphate (1) at pH 7.5 and 37.0 °C (I = 0.1 mol L-1 with NaCl). Notation: (a) 1, (b) 14, (c) 15, (d) 4, (e) 16, (f) thymidine and (g) 5´-TMP. For detailed chromatographic conditions, see the experimental section.

2.3. Enzymatic Deprotection of Thymidine 5´-Bis[3-acetyloxy-2-cyano-2-(2-phenylethylcarbamoyl)-propyl]phosphate (1)
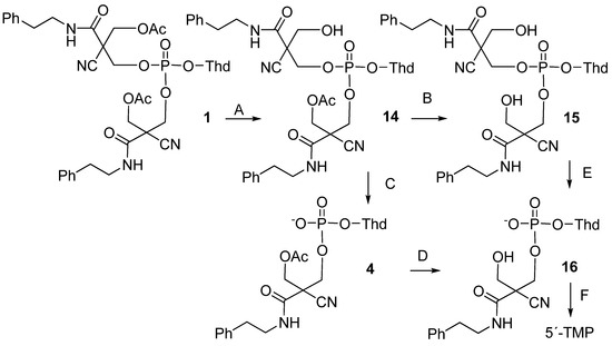
Treatment of triester 1 with hog liver carboxyesterase (26.0 units mL-1) in a 2-[4-(2-hydroxyethyl)piperazin-1-yl)]ethanesulfonic acid (HEPES) buffer (3.5 mL) at pH 7.5 and 37 °C (I = 0.1 mol L-1 with NaCl) resulted in an intermediary accumulation of the RP- and SP-distereomers of monodeacetylated triester 14 ([M+H]+ = 825.7; Reaction A in Scheme 4), the half-life for the disappearance of 1 (Reaction A) being 3.8 min. The subsequent retro-aldol condensation of 14 to diester 4 ([M+H]+ = 595.3; Reaction C) was, however, so fast that the amount of 14 remained less than 5% of the initial concentration of 1.
Scheme 4.
Degradation pathway of thymidine 5´-bis[3-acetyloxy-2-cyano-2-(2-phenylethylcarbamoyl)propyl]phosphate (1).
Scheme 4.
Degradation pathway of thymidine 5´-bis[3-acetyloxy-2-cyano-2-(2-phenylethylcarbamoyl)propyl]phosphate (1).

Deacetylation of 14 to the dideacetylated triester 15 ([M+H]+ = 783.8; Reaction B) competed with the retro-aldol condensation, representing approximately 10% of the total disappearance of 14. Both, 4 and 15 were subsequently decomposed to diester 16 ([M+H]+ = 553.3; Reactions D and E) that was rapidly converted to 5´-TMP ([M+H]+ = 323.4; Reaction F). The half-life for the disappearance of 4 was 47 h. The level of accumulation of the deacetylated intermediate 16 remained below 5%. Prolonged treatment with the esterase resulted in dephosphorylation of 5´-TMP to thymidine. Figure 1 gives as illustrative examples the chromatograms obtained at an early, intermediate and final stage of the deprotection of 1.
Table 1 records the half-lives obtained for the various partial reactions with 1 and its 3-acetyloxy-2,2-bis(ethoxycarbonyl) and 3-acetyloxymethoxy-2,2-bis(ethoxycarbonyl) counterparts 3 and 2, respectively. Although at the high HLE concentration employed the rates of Reactions B and C are comparable, Reaction C predominates at low enzyme concentrations. Comparison of the half-lives of Reaction D reveals that 1 is under such conditions converted to 5´-TMP 3 times as fast as 3, but still one order of magnitude more slowly than 2. The advantage of faster retro-aldol condensation of the intermediated derived from 1 is overcompensated by the slower enzymatic deacetylation of diester 4. In other words, the desired overall acceleration of the exposure of 5´-TMP was not achieved.
Table 1.
Half-lives for the partial reactions involved in hydrolysis of thymidine 5´-bis[3-acetyloxy-2-cyano-2-(2-phenylethylcarbamoyl)propyl]phosphate (1) to 5´-TMP at pH 7.5 and 37 °C (I = 0.1 mol L-1 with NaCl). For the reactions, see Scheme 4. [HLE] = 26 units mL-1. The corresponding half-lives reported previously [29] for thymidine 5´-bis[3-acetyloxymethoxy-2,2-bis(ethoxycarbonyl)propyl]phosphate (2) and thymidine 5´-bis[3-acetyloxy-2,2-bis(ethoxycarbonyl)propyl]phosphate (3) are included for reference.
| t1/2 / min | |||
|---|---|---|---|
| Reaction | 1 | 2 | 3 |
| A | 3.8 | 0.17 | 3.2 |
| D | 2838 | 210 | 9060 |
| B | ≈ 2 | 0.90 | 31a |
| C | ≈ 0.2 | 10.4 | 31a |
a 25 °C.
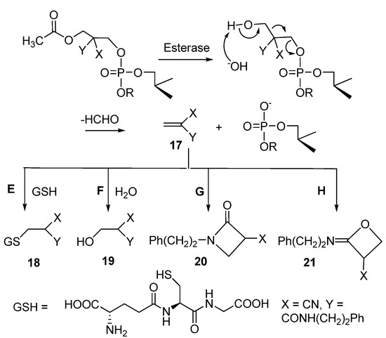
2.4. Reactions of 2-cyano-N-(2-phenyl)Ethylacrylamide with Glutathione
As discussed above, retro-aldol condensation of the deacetylated intermediates, 14, 15 and 16, evidently produces 2-cyano-N-(2-phenyl)ethylacrylamide (17; Scheme 5). Consistent with this suggestion, an m/z value of 199.2, referring to the molecular ion [M-H]- of 17, could be observed by the HPLC-ESI-MS analysis, but accumulation of this enone-like structure could not be verified by HPLC during the course of the hydrolysis of 1. It should be, in addition, noted that the same molecular ion is also obtained from cyclic products 20 and 21, formed by an intramolecular attack of either the amido oxygen (Route H) or nitrogen (Route G) on the β-carbon of 17. In fact, the signals at m/z 199.2 could be observed at different elution times. The mass spectra of these compounds additionally exhibited an unidentified m/z peak of 187.2. The m/z values ([M+H]+ = 219.5 and [M-H]- = 217.2) referring to the molecular ion of 2-cyano-3-hydroxy-N-(2-phenyl)ethylpropanamide 19 (see Figure 2) was visible at the late stage of hydrolysis, and, hence, hydration of 17 may take place (Route F).
Scheme 5.
Esterase-catalyzed hydrolysis of thymidine 5´-bis[3-acetyloxy-2-cyano-2-(2-phenylethylcarbamoyl)propyl]phosphate (1) and reactions of 2-cyano-N-(2-phenyl)ethylacrylamide (17) by-product formed.
Scheme 5.
Esterase-catalyzed hydrolysis of thymidine 5´-bis[3-acetyloxy-2-cyano-2-(2-phenylethylcarbamoyl)propyl]phosphate (1) and reactions of 2-cyano-N-(2-phenyl)ethylacrylamide (17) by-product formed.

Figure 2.
Inspection of mass spectra obtained from XIC m/z 217-218 (calcd. [M-H]- = 217.1) and 219-220 (calcd. [M+H]+ = 219.1) for 19 during the hydrolysis of 1 (at t = 2 d) in the presence HLE at pH 7.5 and 37 °C. Chromatographic conditions: A mixture of water and MeCN containing 0.1% formic acid (linear gradient from 2% up to 60.0% MeCN in 35 min).
Figure 2.
Inspection of mass spectra obtained from XIC m/z 217-218 (calcd. [M-H]- = 217.1) and 219-220 (calcd. [M+H]+ = 219.1) for 19 during the hydrolysis of 1 (at t = 2 d) in the presence HLE at pH 7.5 and 37 °C. Chromatographic conditions: A mixture of water and MeCN containing 0.1% formic acid (linear gradient from 2% up to 60.0% MeCN in 35 min).

The hydrolytic reactions of 1 was also carried out in the presence of glutathione ([GSH] = 5.4 mM) and carboxyesterase ([HLE] = 28.0 units mL-1) in a 2-(N-morpholino)ethanesulfonic acid (MES) buffer (0.005/0.005 mol L-1) at pH 6.2 and 37 °C. Under these conditions, the half-live for the deacetylation of 1 was 18 h. In 2 days, the starting material was converted almost quantitatively to a mixture of acetylated and deacetylated phosphodiester 4 and 16 ([4]/[16] is 1:1). At this stage, 2-cyano-N-(2-phenyl)ethylacrylamide (17) was captured as the glutathione conjugate (18; tR = 24.3 min, Route E). Product 18 was detected by both HPLC and LC-MS analysis ([M+H]+ = 508.8; see Figure 3). In addition, glutathione was converted to its oxidized form glutathione disulfide (GSSG; [M+H]+ = 613.5 and tR = 9.9 min).
Although 2-cyano-N-(2-phenyl)ethylacrylamide (17) is largely trapped by glutathione, cyclization (Routes G and H) and hydration (Route F) of 17 seem to occur as a side reaction. As seen from Figure 4, a [M-H]- ion peak at m/z 217.3, referring most likely to 2-cyano-3-hydroxy-N-(2-phenyl)ethyl-propanamide (19), appears and undergoes fragmentation (loss of H2O) to yield an ion at m/z 199.2 (17). Similarly, the molecular ion signals of the cyclization products 20 and 21 (m/z 199.2) were detected as in the absence of GSH. By contrast, no sign of S-hydroxymethylglutathione, obtained by the reaction of GSH with formaldehyde, was observed.
Figure 3.
RP-HPLC profile for the glutathione conjugate of 2-cyano-N-phenethylacrylamide observed during the HLE-catalyzed hydrolysis of thymidine 5´-bis[3-acetyloxy-2-cyano-2-(2-phenylethylcarbamoyl)propyl]phosphate(1) in the presence of GSH at pH 6.2 and 37.0 °C. Chromatographic conditions: A mixture of water and MeCN containing 0.1% formic acid (linear gradient from 1% up to 50.0% MeCN in 35 min). HPLC-signals were recorded on a UV detector at a wavelength of 215 nm.
Figure 3.
RP-HPLC profile for the glutathione conjugate of 2-cyano-N-phenethylacrylamide observed during the HLE-catalyzed hydrolysis of thymidine 5´-bis[3-acetyloxy-2-cyano-2-(2-phenylethylcarbamoyl)propyl]phosphate(1) in the presence of GSH at pH 6.2 and 37.0 °C. Chromatographic conditions: A mixture of water and MeCN containing 0.1% formic acid (linear gradient from 1% up to 50.0% MeCN in 35 min). HPLC-signals were recorded on a UV detector at a wavelength of 215 nm.

Figure 4.
Inspection of mass spectra obtained from XIC m/z 217-218 (calcd. [M-H]- = 217.1) and 199-200 (calcd. [M-H]- = 199.1) for 19, 20 and 21 during the hydrolysis of 1 (at t = 2 d) in the presence of GSH and HLE at pH 6.2 and 37 °C. Chromatographic conditions: A mixture of water and MeCN containing 0.1% formic acid (linear gradient from 1% up to 50.0% MeCN in 35 min).
Figure 4.
Inspection of mass spectra obtained from XIC m/z 217-218 (calcd. [M-H]- = 217.1) and 199-200 (calcd. [M-H]- = 199.1) for 19, 20 and 21 during the hydrolysis of 1 (at t = 2 d) in the presence of GSH and HLE at pH 6.2 and 37 °C. Chromatographic conditions: A mixture of water and MeCN containing 0.1% formic acid (linear gradient from 1% up to 50.0% MeCN in 35 min).

3. Experimental
3.1. General
Chemicals were purchased from Sigma–Aldrich, Fluka and Merck. Dichloromethane, acetonitrile, and pyridine were dried over 4Å molecular sieves. Dioxane was dried over 3Å molecular sieves. Triethylamine was dried by refluxing over CaH2 and distilled before use. 1H-, 13C-, 31P-NMR spectra were recorded on a Bruker Avance 400 (400 MHz for 1H, 101 MHz for 13C and 162 MHz for 31P) or 500 (500 MHz for 1H, 126 MHz for 13C and 202 MHz for 31P) NMR spectrometer. HRMS spectra were recorded on a Bruker Daltonics micrOTOF-Q instrument and LC-MS spectra were recorded on a Perkin-Elmer Sciex-API-365 triple-quadrupole instrument. For column chromatography, Fluka silica gel 60 (230-400 mesh) was used. Hydrolytic reactions were followed by Merck Hitachi LaChrom D7000 HPLC.
3.2. Materials
Hog liver carboxyesterase and glutathione were products of Fluka and Sigma, respectively. 3´-O-Levulinoylthymidine (11) and 2-cyano-3-hydroxy-2-(hydroxymethyl)-N-(2-phenylethyl)propanamide (8) were prepared as described previously [33,37]. Protected thymidine 5´-monophosphates 1 was prepared by stepwise alcoholysis of bis(diethylamino)phosphorochloridite with 3´-O-levulinoylthymidine (11) and 2-cyano-2-(hydroxymethyl)-3-oxo-3-(phenethylamino)propyl acetate (10), a method that has previously been used for synthesis of 2 and 3 [29].
3´-O-Levulinoylthymidine (11) was prepared as described previously [31]. 1H-NMR (500 MHz, CDCl3): δ = 9.36 (s broad, 1H, NH), 7.73 (s, 1H, H6), 6.25 (dd, 1H, J = 6.5, 2.0 Hz, H1´), 5.37 (m, 1H, J = 2.5 Hz, H3´), 4.11 (d, 1H, J = 2.0 Hz, H4´), 3.90 (m, 2H, H5´ and H5´´), 2.80 (dt, 2H, J = 6.0, 1.5 Hz, CH2 Lev), 2.59 (t, 2H, J = 6.0 Hz, CH2 Lev), 2.42 (m, 2H, H2´ and H2´´), 2.22 (s, 3H, CH3), 1.92 (s, 3H, CH3 Lev). 13C-NMR (126 MHz, CDCl3): δ = 206.79 (C=O Lev), 172.61 (C=O Lev), 164.11 (C4), 150.59 (C2), 136.59 (C6), 111.32 (C5), 86.04 (C1´), 85.08 (C4´), 74.96 (C3´), 62.47 (C5´), 37.83 (C2´), 37.15 (CH2Lev), 29.81 (CH2Lev), 27.95 (CH3 Lev), 12.55 (CH3). ESI+-MS: m/zobsd. 341.6 [M + H]+, calcd. 341.1.
2-cyano-3-hydroxy-2-(hydroxymethyl)-N-(2-phenylethyl)propanamide (8) was obtained as described previously [37]. 1H-NMR (400 MHz, DMSO): δ = 7.98 (t, 1H, J = 5.6 Hz, NH), 7.27 (m, 2H, Ph), 7.20 (m, 3H, Ph), 5.53 (t, 2H, J = 5.6 Hz, 2 × OH), 3.70-3.63 (m, 4H, J = 5.6 Hz, 2 × CH2O), 3.30 (m, 2H, CH2N), 2.73 (t, 2H, CH2Ph). 13C NMR (101 MHz, DMSO): δ = 165.79 (C=O), 139.73 (Ph), 129.15 (Ph), 128.79 (Ph), 126.58 (Ph), 120.15 (CN), 62.19 (CH2O), 55.73 (C2), 41.52 (CH2N), 35.36 (CH2Ph) ppm. ESI+-MS: m/z [M + Na]+ obsd. 271.2, calcd. 271.2.
2-cyano-2-(hydroxymethyl)-3-oxo-3-(2-phenethylamino)propyl acetate (10). Concentrated H2SO4(8.4 μL, 0.15 mmol) was added to a mixture of compound 8 (1.54 g, 6.2 mmol) and triethyl orthoacetate (1.71 mL, 9.3 mmol) in dry THF (10 mL). The reaction was allowed to proceed overnight and the mixture was the poured into an ice-cold solution of 5% NaHCO3 (50 mL). The product was extracted with diethyl ether (3 × 50 mL), washed with saturated aqueous NaCl (3 × 50 mL) and dried over Na2SO4. The solvent was evaporated and the crude product, 5-cyano-2-ethoxy-2-methyl-N-(2-phenyl)-ethyl-1,3-dioxane-5-carboxamide (9), was subjected to silica gel chromatography, eluting with a mixture of DCM and MeOH (90:10, v/v). The product (9) was obtained as oil (1.5 g, 76%). 1H-NMR (400 MHz, DMSO) δ = 8.55, 8.44, 8.26, 7.98 (t each, 1H, J = 5.5 Hz, NH), 7.28 (m, 2H, Ph), 7.21 (m, 3H, Ph), 4.32, 4.02, 3.57, 3.45 (q each, 2H, J = 7 Hz, CH2CH3), 5.82, 5.81, 5.54, 5.53, 4.28, 4.23, 4.07, 3.99 (d each, 4H, J = 5.5 Hz and J = 11.5 Hz, CH2O), 3.79-3.66 and 3.41-3.29 (m, 2H, J = 6 Hz, CH2N), 2.77, 2.74, 2.56 (t each, 2H, J = 7.5 Hz, CH2Ph), 2.03, 1.99, 1.42 1.36 (s each, 3H, CH3), 1.33, 1.17, 1.15, 1.06 (t each, 3H, J = 7.0 Hz, CH2CH3). ESI+-MS: m/z [M + Na]+ obsd.341.3, calcd. 341.1.
5-cyano-2-ethoxy-2-methyl-N-(2-phenyl)-ethyl-1,3-dioxane-5-carboxamide (9) (1.3 g, 4.08 mmol) was dissolved in 80% aqueous acetic acid (50 mL) and left for 1 h at room temperature. The solution was evaporated to dryness and the residue was coevaporated three times with water. The product was purified by silica gel colum chromatogaphy eluting with a mixture of DCM and MeOH (95:5, v/v). The product (10) was obtained as solid foam (1.2 g, 90%). 1H-NMR (400 MHz, CDCl3): δ = 8.28 (t, 1H, J = 5.6 Hz, NH), 7.30 (m, 2H, Ph), 7.21 (m, 3H, Ph), 5.81 (t, 1H, J = 5.6 Hz, OH), 4.34 (s, 2H, CH2OAc), 3.74 (t, 2H, J = 5.2 Hz, CH2OH), 3.31 (2H, CH2N), 2.74 (t, 2H, J = 7.6 Hz, CH2Ph), 2.03 (s, 3H, C(O)CH3). 13C-NMR (101 MHz, CDCl3): δ = 170.05 (C=O Ac), 164.73 (C(O)NH), 137.93 (Ph), 128.82 (Ph), 128.75 (Ph), 126.92 (Ph), 117.60 (CN), 63.41(CH2OAc), 62.96 (CH2OH), 51.01(C2), 41.55 (CH2NH), 35.27 (CH2Ph), 20.54 (CH3) ppm. ESI+-MS: m/z [M + Na]+ obsd. 313.1146, calcd. 313.1159.
Thymidine 5´-bis[3-acetyloxy-2-cyano-2-(2-phenylethylcarbamoyl)propyl]phosphate (1). 3’-O-Levulinoylthymidine (11) was coevaporated three times from dry pyridine and dried on P2O5 overnight. To a solution of dried 11 (0.15 g, 0.45 mmol) in dry DCM (1.2 mL), anhydrous triethylamine (0.32 mL, 2.27 mmol) and bis(diethylamino)chlorophosphine (135 µL, 0.64 mmol) was added, and the reaction mixture was stirred for 2 h under nitrogen. The product 12 was filtered through a short silica gel column eluting with a mixture of anhydrous ethyl acetate and triethylamine in hexane (60:0.5:39.5, v/v/v). The solvent was removed under reduced pressure and the residue was coevaporated three times from dry MeCN to remove the traces of triethylamine.The residue (0.16 g) was dissolved in dry MeCN (0.5 mL) and compound 10 (0.44 g, 1.53 mmol) in dry MeCN (0.5 mL) and tetrazole (2.72 mmol; 6.10 mL of 0.45 mol L-1 solution in MeCN) were added under nitrogen. The reaction mixture was stirred for 4 h at room temperature. The phosphite ester 13 formed was oxidized with I2 (0.1 mol L-1) in a mixture of THF, H2O and lutidine (4:2:1, v/v/v; 7 mL) by stirring overnight at room temperature. The crude product, 3´-O-levulinoylthymidine 5´-bis[3-acetyloxy-2-cyano-2-(2-phenylethylcarbamoyl)propyl]phosphate (13) was isolated by DCM/aq. NaHSO3 work up, and purified on a silica gel column eluted with ethylacetate, followed by a stepwise gradient from a mixture of DCM and MeOH (98:2, v/v) up to 30% MeOH. The purification was repeated using ethyl acetate and a mixture of DCM and MeOH (90:10, v/v) as an eluent. The product (13) obtained as solid foam was contaminated by some unidentified impurities. The product was characterizied by HPLC-MS eluting with a mixture of water and MeCN (linear gradient from 10% up to 40.0% MeCN in 40 min) (ESI+-MS: m/z [M + H]+ obsd. 965.3 calcd. 965.7 and tR = 29.5 min) and used without further purification. Compound 13 was dissolved in dry DCM (2.0 mL) and hydrazine acetate (0.11 mmol, 10 mg) in dry MeOH (0.20 mL) was added. After 1 h, hydrazinium acetate (0.05 mmol, 4.6 mg) in a mixture of DCM (100 μL) and MeOH (20 μL) was added. The reaction was allowed to proceed for 1.5 h and the addition of hydrazinium acetate was repeated. The reaction was quenched with acetone and the mixture was evaporated to dryness. The crude product was purified by reversed phase chromatography on a Lobar RP-18 column (37 × 440 mm, 40-63 μm), eluting with a mixture of water and acetonitrile (60:40%, v/v). The product was obtained as solid foam (25 mg, 43%). 1H-NMR (400 MHz, CDCl3): δ = 8.65 (broad, 1H, NH), 7.35-20 (m, 11H, H6 and 2 × Ph), 6.72 (m, 2H, 2 × CH2NH), 6.15 (m, 1H, H1´), 4.51-4.31 (m, 11H, H3´, H5´, H5´´ and 4 × CH2O), 4.00 (m, 1H, H4´),3.63 (m, 2H, J = 6.4 Hz, CH2N), 3.51 (m, 2H, J = 6.7 Hz, CH2N), 2.86 (m, 4H, J = 6.8 Hz, 2 × CH2Ph), 2.32 (m, 2H, H2´ and H2´´), 2.08 (s, 6H, 2 × C(O)CH3) 2.01 (s, 3H, CH3). 13C-NMR (101 MHz, CDCl3): δ = 169.69 (C=OAc), 163.58 (C4), 162.34 (C(O)NH), 150.14(C2), 137.84 (Ph), 136.5 (C6), 128.85 (Ph), 128.73 (Ph), 126.93 (Ph), 116.79 (CN), 116.35 (CN), 111.33 (C5), 85.76 (C4´), 84.14 (C1´), 67.50 (C3´), 67.08 (C5´), 62.72 (CH2OAc), 50.52(C spiro), 41.96 (CH2NH), 35.19 (CH2Ph), 26.86 (C2´), 20.49 (C(O) CH3), 12.45 (CH3) ppm. 31P-NMR (162 MHz, CDCl3): δ = -2,53; -2,76; -3,17; -3,35 ppm (The four phosphorus signals refer tothe presence of stereogenic center in each of the phosphate protecting groups). ESI+-MS: m/z [M + H]+ obsd. 867.8 calcd. 867.3. ESI+-MS: m/z [M + Na]+ obsd. 889.2785, calcd. 889.2780.
3.3. Kinetic Measurements
The reactions were carried out in sealed tubes immersed in a thermostated water bath (37.0 ± 0.1 °C). The oxonium ion concentration of the reaction solution (3.5 mL) was adjusted with glycine, 2-[4-(2-hydroxyethyl)piperazin-1-yl)]ethanesulfonic acid (HEPES) and 2-(N-morpholino)ethanesulfonic acid (MES) buffers. The ionic strength of the solutions was adjusted to 0.1 mol L-1 with sodium chloride. The hydronium ion concentration of the buffer solutions was calculated with the aid of the known pKa values of the buffer acid under the experimental conditions. The initial substrate concentration was ca. 0.4 mmol L-1.
The enzymatic hydrolysis was carried out with Hog Liver Esterase (26 units mL-1) in a 2-[4-(2-hydroxyethyl)piperazin-1-yl)]ethanesulfonic acid (HEPES) buffer (0.040/0.024 mol L-1) at pH 7.5 and 37 °C. The samples (200 μL) withdrawn at appropriate intervals were made acidic (pH 2) with 1 mol L-1 aqueous hydrogen chloride to inactivate the enzyme and to quench the hydrolysis, cooled in an ice-bath and filtered with minisart RC 4 filters (0.45 μm). The composition of the samples was analyzed on an ODS Hypersil C18 column (4 × 250 mm 5 μm, flow rate 1 mL min-1), using a mixture of acetic acid/sodium acetate buffer (0.045/0.015 mol L-1) and MeCN, containing ammonium chloride (0.1 mol L-1). A good separation of the product mixtures of 2 was obtained on using a 5 min isocratic elution with the buffer containing 2% MeCN, followed by a linear gradient (23 min) up to 40.0% MeCN. Signals were recorded on a UV-detector at a wavelength of 267 nm. The reaction products were identified by the mass spectra (LC/MS) using a mixture of water and acetonitrile containing a formic acid (0.1%) as an eluent (Gemini C18 column (2 × 150 mm 5 μm, flow rate 200 μL min-1). The first order rate constants for the non-enzymatic hydrolysis of triester 1 were obtained by applying first-order rate-law to the diminution of the concentration of the starting material. The enzymatic deacetylations obeyed first-order kinetics at the high HLE concentrations employed.
4. Conclusions
Thymidine 5´-phosphotriester 1 bearing two 3-acetyloxy-2-cyano-2-(alkylaminocarbonyl)propyl groups undergoes esterase triggered breakdown to 5´-TMP more readily than its 3-acetyloxy-2,2-bis-(ethoxycarbonyl)propyl counterpart, but considerably less readily than the 3-acetyloxymethoxy-2,2-bis(ethoxycarbonyl)propyl derived triester. The initial enzymatic deacetylation is followed by release of the resulting 3-hydroxy-2-cyano-2-(alkylaminocarbonyl)propyl group as 2-cyano-N-(2-phenyl-ethyl)acrylamide (17). When the reaction is carried out in large excess of glutathione, 17 is largely converted to glutathione conjugate 18. In addition, intramolecular cyclization and hydration occur as side reactions.
Acknowledgements
The authors wish to thank Anna Rossi for assistance with HPLC analyses.
References and Notes
- Hecker, S.J.; Erion, M.D. Prodrugs of phosphates and phosphonates. J. Med. Chem. 2008, 51, 2328–2345. [Google Scholar] [CrossRef]
- Poijärvi-Virta, P.; Lönnberg, H. Prodrug approaches of nucleotides and oligonucleotides. Curr. Med. Chem. 2006, 13, 3441–3465. [Google Scholar] [CrossRef]
- Mackman, R.L.; Cihlar, T. Prodrug strategies in the design of nucleoside and nucleotide antiviral therapeutics. Annu. Rep. Med. Chem. 2004, 39, 305–321. [Google Scholar] [CrossRef]
- Schultz, C. Prodrugs of biologically active phosphate esters. Bioorg. Med. Chem. 2003, 11, 885–898. [Google Scholar] [CrossRef]
- Anastasi, C.; Quelever, G.; Burlet, S.; Garino, C.; Souard, F.; Kraus, J.L. New antiviral nucleoside prodrugs await application. Curr. Med. Chem. 2003, 10, 1825–1843. [Google Scholar] [CrossRef]
- Wagner, C.R.; Iyer, V.V.; McIntee, E.J. Pronucleotides: toward the in vivo delivery of antiviral and anticancer nucleotides. Med. Res. Rev. 2000, 20, 417–451. [Google Scholar] [CrossRef]
- Krecmerova, M.; Holy, A.; Pohl, R.; Masojidkova, M.; Andrei, G.; Naesens, L.; Neyts, J.; Balzarini, J.; De Clercq, E.; Snoeck, R. Ester prodrugs of cyclic 1-(S)-[3-hydroxy-2-(phosphonomethoxy)propyl]-5-azacytosine: Synthesis and antiviral activity. J. Med. Chem. 2007, 50, 5765–5772. [Google Scholar]
- Padmanabhan, S.; Coughlin, J.E.; Zhang, G.; Kirk, C.J.; Iyer, R.P. Anti-HBV nucleotide prodruganalogs: Synthesis, bio-reversibility, and cytotoxicity studies. Bioorg. Med. Chem. Lett. 2006, 16, 1491–1494. [Google Scholar]
- Khan, S.R.; Nowak, B.; Plunkett, W.; Farquhar, D. Bis(pivaloyloxymethyl) thymidine 5'-phosphate is a cell membrane-permeable precursor of thymidine 5'-phosphate in thymidine kinase deficient CCRF CEM cells. Biochem. Pharmacol. 2005, 69, 1307–1313. [Google Scholar] [CrossRef]
- Choi, J.R.; Cho, D.G.; Roh, K.Y.; Hwang, J.T.; Ahn, S.; Jang, H.S.; Cho, W.Y.; Kim, K.W.; Cho, Y.G.; Kim, J.; Kim, Y.Z. A novel class of phosphonate nucleosides 9-((1-phosphonomethoxycycloproyl)-methyl)-guanine as a potent and selective anti-Hbv agent. J. Med. Chem. 2004, 47, 2864–2869. [Google Scholar]
- Rose, J.D.; Parker, W.B.; Someya, H.; Shaddix, S.G.; Montgomery, J.; Secrist III, J.A. Enhancement of nucleoside cytotoxicity through nucleotide prodrugs. J. Med. Chem. 2002, 45, 4505–4512. [Google Scholar] [CrossRef]
- Shaw, J.-P.; Louie, M.S.; Krishnamurthy, V.V.; Arimilli, M.N.; Jones, R.J.; Bidgood, A.M.; Lee, W.A.; Cundy, K.C. Pharmacokinetics and metabolism of selected prodrugs of PMEA in rats. Drug Metab. Dispos. 1997, 25, 362–366. [Google Scholar]
- Starrett, J.E., Jr.; Tortolani, D.R.; Russell, J.; Hitchcock, M.J.M.; Whiterock, V.; Martin, J.C.; Mansuri, M.M. Synthesis, oral bioavailability determination, and in vitro evaluation of prodrugs of the antiviral agent 9-[2-(phosphonomethoxy)ethyl]adenine (PMEA). J. Med. Chem. 1994, 37, 1857–1864. [Google Scholar] [CrossRef]
- Farquhar, D.; Khan, S.; Srivastava, D.N.; Saunders, P.P. Synthesis and antitumor evaluation of bis[(pivaloyloxy)methyl] 2’-deoxy-5-fluorouridine 5’-monophosphate (FdUMP): a strategy to introduce nucleotides into hells. J. Med. Chem. 1994, 37, 3902–3909. [Google Scholar] [CrossRef]
- Tang, Y.-b.; Peng, Z.-g.; Liu, Z.-y.; Li, Y.-p.; Jiang, J.-d.; Li, Z.-r. Some new acyclic nucleotide analogues as antiviral prodrugs: Synthesis and bioactivities in vitro. Bioorg. Med. Chem. Lett. 2007, 17, 6350–6353. [Google Scholar] [CrossRef]
- Mackman, R.L.; Zhang, L.; Prasad, V.; Boojamra, C.G.; Douglas, J.; Grant, D.; Hui, H.; Kim, C.U.; Laflamme, G.; Parrish, J.; Stoycheva, A.D.; Swaminathan, S.; Wang, K.; Cihlar, T. Synthesis, anti-HIV activity, and resistance profile of thymidine phosphonomethoxy nucleosides and their bis-isopropyloxymethylcarbonyl (bisPOC) prodrugs. Bioorg. Med. Chem. 2007, 15, 5519–5528. [Google Scholar] [CrossRef]
- De Clercq, E.; Holy, A. Acyclic nucleoside phosphonates: A key class of antiviral drugs. Nat. Rev. Drug Discov. 2005, 4, 928–940. [Google Scholar] [CrossRef]
- Arimrilli, M.N.; Kim, C.U.; Dougherty, J.; Mulato, A.; Oliyai, R.; Shaw, J.-P.; Cundy, K.C.; Bischofberger, N. Synthesis, in vitro biological evaluation and oral bioavailability of 9-[2-(phosphonomethoxy)propyl]adenine (PMPA) prodrugs. Antivir. Chemother. 1997, 8, 557–564. [Google Scholar]
- Shaw, J.-P.; Sueoka, C.M.; Oliyai, R.; Lee, W.A.; Arimilli, M.N.; Kim, C.U.; Cundy, K.C. Metabolism and pharmacokinetics of novel oral prodrugs of 9-[(R)-2-(phosphonomethoxy)propyl]adenine (PMPA) in dogs. Pharm. Res. 1997, 14, 1824–1829. [Google Scholar] [CrossRef]
- Villard, A.-L.; Coussot, G.; Lefebvre, I.; Augustijns, P.; Aubertin, A.-M.; Gosselin, G.; Peyrottes, S.; Perigaud, C. Phenyl phosphotriester derivatives of AZT: Variations upon the SATE moiety. Bioorg. Med. Chem. 2008, 16, 7321–7329. [Google Scholar] [CrossRef]
- Peyrottes, S.; Egron, D.; Lefebvre, I.; Gosselin, G.; Imbach, J.L.; Perigaud, C. SATE pronucleotide approaches: an overview. Mini-Rev. Med. Chem. 2004, 4, 395–408, and references therein. [Google Scholar]
- Perigaud, C.; Gosselin, G.; Lefebvre, I.; Girardet, J.L.; Benzaria, S.; Barber, I.; Imbach, J.L. Rational design for cytosolic delivery of nucleoside monophosphates: "SATE" and "DTE" as enzyme-labile transient phosphate protecting groups. Bioorg. Med. Chem. Lett. 1993, 3, 2521–2526. [Google Scholar] [CrossRef]
- Routledge, A.; Walker, I.; Freeman, S.; Hay, A.; Mahmood, N. Synthesis, bioactivation and anti-HIV activity of 4-acyloxybenzyl bis(nucleoside-5'-yl) phosphates. Nucleos. Nucleot. 1995, 14, 1545–1558. [Google Scholar] [CrossRef]
- Srivastva, D.N.; Farquhar, D. Bioreversible phosphate protective groups: Synthesis and stability of model acyloxymethyl phosphates. Bioorg. Chem. 1984, 12, 118–129. [Google Scholar] [CrossRef]
- Farquhar, D.; Srivastva, D.N.; Kuttesch, N.J.; Saunders, P.P. Biologically reversible phosphate-protective groups. J. Pharm. Sci. 1983, 72, 324–325. [Google Scholar] [CrossRef]
- Mittchell, A.G.; Nicholls, D.; Walker, I.; Irwin, W.J.; Freeman, S. Prodrugs of phosphonoformate: Products, kinetics and mechanisms of hydrolysis of dibenzyl (methoxycarbonyl)phosphonate. J. Chem. Soc., Perkin Trans. 2 1991, 1297–1303. [Google Scholar]
- Mitchell, A.G.; Thompson, W.; Nicholls, D.; Irwin, W.J.; Freeman, S. Bioreversible protection for the phospho group: bioactivation of the di(4-acyloxybenzyl) and mono(4-acyloxybenzyl) phosphoesters of methylphosphonate and phosphonoacetate. J. Chem. Soc. Perkin Trans. 1 1992, 2345–2353. [Google Scholar]
- Thomson, W.; Nicholls, D.; Irwin, W.J.; Al-Mushadani, J.S.; Freeman, S.; Karpas, A.; Petrik, J.; Mahmood, N.; Hay, A.J. Synthesis, bioactivation and anti-HIV activity of the bis(4-acyloxybenzyl) and mono(4-acyloxybenzyl) esters of the 5'-monophosphate of AZT. J. Chem. Soc., Perkin Trans. 1 1993, 1239–1245. [Google Scholar]
- Ora, M.; Taherpour, S.; Linna, R.; Leisvuori, A.; Hietamaki, E.; Poijärvi-Virta, P.; Beigelman, L.; Lönnberg, H. Biodegradable protections for nucleoside 5'-monophosphates: Comparative study on the removal of O-acetyl and O-acetyloxymethyl protected 3-hydroxy-2,2-bis(ethoxycarbonyl)propyl groups. J. Org. Chem. 2009, 74, 4992–5001. [Google Scholar]
- Ora, M.; Mäki, E.; Poijärvi, P.; Neuvonen, K.; Oivanen, M.; Lönnberg, H. Hydrolytic stability of nucleoside phosphotriesters derived from bis(hydroxymethyl)-1,3-dicarbonyl compounds and their congeners: towards a novel pro-drug strategy for antisense oligonucleotides. J. Chem. Soc., Perkin Trans. 2 2001, 881–885. [Google Scholar]
- Poijärvi, P.; Mäki, E.; Tomperi, J.; Ora, M.; Oivanen, M.; Lönnberg, H. Towards nucleotide prodrugs derived from 2,2-bis(hydroxymethyl)malonate and its congeners: hydrolytic cleavage of 2-cyano-2-(hydroxymethyl)-3-methoxy-3-oxopropyl and 3-(alkylamino)-2-cyano-2-(hydroxymethyl)-3-oxopropyl protections from the internucleosidicphosphodiester and phosphorothioate linkages. Helv. Chim. Acta 2002, 85, 1869–1876. [Google Scholar] [CrossRef]
- Poijärvi, P.; Oivanen, M.; Lönnberg, H. Towards oligonucleotide prodrugs: 2,2-bis(ethoxycarbonyl) and 2-(alkylaminocarbonyl)-2-cyano substituted 3-(pivaloyloxy)propyl groups as biodegradable protecting groups for internucleosidicphosphoromonothioate linkages. Lett. Org. Chem. 2004, 1, 183–188. [Google Scholar] [CrossRef]
- Poijärvi, P.; Heinonen, P.; Virta, P.; Lönnberg, H. 2,2-Bis(ethoxycarbonyl)- and 2-(alkylaminocarbonyl)-2-cyano-substituted 3-(pivaloyloxy)propyl groups as biodegradable phosphate protections of oligonucleotides. Bioconjugate Chem. 2005, 16, 1564–1571. [Google Scholar] [CrossRef]
- Erion, M.D.; van Poelje, P.D.; Mackenna, D.A.; Colby, T.J.; Montag, A.C.; Fujitaki, J.M.; Linemeyer, D.L.; Bullough, D.A. Liver-targeted drug delivery using HepDirectprodrugs. J. Pharmacol. Exp. Ther. 2005, 312, 554–560. [Google Scholar]
- Casanova, M.; Heck, H. Further studies of the metabolic incorporation and covalent binding of inhaled [3H]- and [14C]formaldehyde in Fischer-344 rats: effects of glutathione depletion. Toxicol. Appl. Pharmacol. 1987, 89, 105–121. [Google Scholar] [CrossRef]
- Lu, K.; Ye, W.; Ball, A.G.L.M.; Swenberg, J.A. Formation of S-[1-(N2-Deoxyguanosinyl)methyl]glutathione between Glutathione and DNA Induced by Formaldehyde. J. Am. Chem. Soc. 2009, 131, 3414–3415. [Google Scholar]
- Guzaev, A.; Lönnberg, H. Bis(hydroxymethylation) of the active methylene group of 1,3-dicarbonyl and related compounds. Synthesis 1997, 1281–1284. [Google Scholar] [CrossRef]
- Guzaev, A.; Salo, H.; Azhayev, A.; Lönnberg, H. Novel non-nucleosidic building blocks for the preparation of multilabeled oligonucleotides. Bioconjugate Chem. 1996, 7, 240–248. [Google Scholar] [CrossRef]
- Sample Availability: Samples of the compounds 1, 8 and 10 are available from the authors.
© 2011 by the authors; licensee MDPI, Basel, Switzerland. This article is an open access article distributed under the terms and conditions of the Creative Commons Attribution license ( http://creativecommons.org/licenses/by/3.0/).