Antimicrobial Activity of Diterpenes from Viguiera arenaria against Endodontic Bacteria
Abstract
:1. Introduction
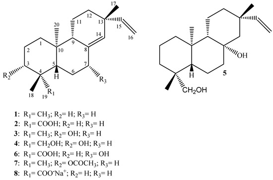
2. Results and Discussion
3. Experimental
3.1. General
3.2. Plant material
3.3. Extraction and isolation
3.4. Semi-synthetic derivatives
3.5. Determination of the minimal inhibitory concentration and minimal bactericidal concentration
4. Conclusions
Acknowledgements
References
- Gomes, B.P.F.A.; Pinheiro, E.T.; Gade-Neto, C.R.; Sousa, E.L.R.; Ferraz, C.C.R.; Zaia, A.A.; Teixeira, F.B.; Souza, F.J. Microbiological examination of infected dental root canals. Oral Microbiol. Immun. 2004, 19, 71–76. [Google Scholar] [CrossRef]
- Mohammadi, Z.; Abbott, P.V. On the local applications of antibiotics and antibiotic-based agents in endodontics and dental traumatology. Int. Endod. J. 2009, 42, 555–567. [Google Scholar] [CrossRef] [PubMed]
- Ferreira, F.B.D.; Torres, S.A.; Rosa, O.P.D.; Ferreira, C.M.; Garcia, R.B.; Marcucci, M.C.; Gomes, B.P.F.A.; Bauru, L. Antimicrobial effect of propolis and other substances against selected endodontic pathogens. Oral Surg. Oral Med. Oral Pathol. Oral Radiol. Endod. 2007, 104, 709–716. [Google Scholar] [CrossRef] [PubMed]
- Mohammadi, Z.; Abbott, P.V. The properties and applications of chlorhexidine in endodontics. Int. Endod. J. 2009, 42, 288–302. [Google Scholar] [CrossRef] [PubMed]
- Sathorn, C.; Parashos, P.; Messer, H. Antibacterial efficacy of calcium hydroxide intracanal dressing: a systematic review and meta-analysis. Int. Endod. J. 2007, 40, 2–10. [Google Scholar] [CrossRef] [PubMed]
- Koru, O.; Toksoy, F.; Acike, C.H.; Tunca, Y.M.; Baysallar, M.; Guclu, A.U.; Akca, E.; Ozkok, A.; Sorkun, K.; Tanyuksel, M.; Salih, B. In vitro antimicrobial activity of propolis samples from different geographical origins against certain oral pathogens. Anaerobe 2007, 13, 140–145. [Google Scholar] [CrossRef] [PubMed]
- Balunas, M.J.; Kinghorn, A.D. Drug discovery from medicinal plants. Life Sci. 2005, 78, 431–441. [Google Scholar] [CrossRef] [PubMed]
- Ambrosio, S.R.; Tirapelli, C.R.; Da Costa, F.B.; De Oliveira, A.M. Kaurane and pimarane-type diterpenes from the Viguiera species inhibit vascular smooth muscle contractility. Life Sci. 2006, 79, 925–933. [Google Scholar] [CrossRef] [PubMed]
- Ambrosio, S.R.; Furtado, N.A.J.C.; De Oliveira, D.C.R.; Da Costa, F.B.; Martins, C.H.G.; De Carvalho, T.C.; Porto, T.S.; Veneziani, R.C.S. Antimicrobial activity of kaurane diterpenes against oral pathogens. Z. Naturforsch. 2008, 63c, 326–330. [Google Scholar] [CrossRef]
- More, G.; Tshikalange, T.E.; Lall, N.; Botha, F.; Meyer, J.J.M. Antimicrobial activity of medicinal plants against oral microorganisms. J. Ethnopharmacol. 2008, 119, 473–477. [Google Scholar] [CrossRef] [PubMed]
- Tsui, V.W.K.; Wong, R.W.K.; Rabie, A.B.M. The inhibitory effects of naringrin on the growth of periodontal pathogens in vitro. Phytother. Res. 2008, 22, 401–406. [Google Scholar] [CrossRef] [PubMed]
- Porto, T.S.; Rangel, R.; Furtado, N.; De Carvalho, T.C.; Martins, C.H.G.; Veneziani, R.C.S.; Da Costa, F.B.; Vinholis, A.H.C.; Cunha, W.R.; Heleno, V.C.G.; Ambrosio, S.R. Pimarane-type Diterpenes: Antimicrobial activity against oral pathogens. Molecules 2009, 14, 191–199. [Google Scholar] [CrossRef] [PubMed]
- Mihashi, S.; Yanagisa, I.; Tanaka, O.; Shibata, S. Further study on diterpenes of Aralia spp. Tetrahedron Lett. 1969, 21, 1683–1686. [Google Scholar] [CrossRef]
- Matsuo, A.; Uto, S.; Nakayama, M.; Hayashi, S.; Yamasaki, K.; Kasai, R.; Tanaka, O. (-)-Thermarol, a new ent-pimarane-class diterpene diol from Jungermannia thermarum (liverwort). Tetrahedron Lett. 1976, 17, 2451–2454. [Google Scholar] [CrossRef]
- Ansell, S.M.; Pegel, K.H.; Taylor, D.A.H. Diterpenes from the timber of 20 Erythroxylum species. Phytochemistry 1993, 32, 953–959. [Google Scholar] [CrossRef]
- Garcia, E.E.; Guerreiro, E.; Josephnathan, P. Ent-pimaradiene diterpenes from Gochnatia glutinosa. Phytochemistry 1985, 24, 3059–3060. [Google Scholar] [CrossRef]
- Rios, J.L.; Recio, M.C. Medicinal plants and antimicrobial activity. J. Ethnopharmacol. 2005, 100, 80–84. [Google Scholar] [CrossRef] [PubMed]
- Gibbons, S. Phytochemicals for bacterial resistance - Strengths, weaknesses and opportunities. Planta Med. 2008, 74, 594–602. [Google Scholar] [CrossRef] [PubMed]
- Porto, T.S.; Furtado, N.A.J.C.; Heleno, V.C.G.; Martins, C.H.G.; Da Costa, F.B.; Severiano, M.E.; Silva, A.N.; Veneziani, R.C.S.; Ambrosio, S.R. Antimicrobial ent-pimarane diterpenes from Viguiera arenaria against Gram-positive bacteria. Fitoterapia 2009, 80, 432–436. [Google Scholar] [CrossRef] [PubMed]
- Gibbons, S. Anti-staphylococcal plant natural products. Nat. Prod. Rep. 2004, 21, 263–277. [Google Scholar] [CrossRef] [PubMed]
- Aladesanmi, A.J.; Odediran, S.A. Antimicrobial activity of Trichilia heudelotti leaves. Fitoterapia 2000, 71, 179–182. [Google Scholar] [CrossRef]
- Politi, M.; Braca, A.; De Tommasi, N.; Morelli, I.; Manunta, A.; Battinelli, L.; Mazzanti, G. Antimicrobial diterpenes from the seeds of Cephalotaxus harringtonia var. drupacea. Planta Med. 2003, 69, 468–470. [Google Scholar] [PubMed]
- Murthy, M.M.; Subramanyam, M.; Bindu, M.H.; Annapurna, J. Antimicrobial activity of clerodane diterpenoids from Polyalthia longifolia seeds. Fitoterapia 2005, 76, 336–339. [Google Scholar] [CrossRef] [PubMed]
- Logoglu, E.; Arslan, S.; Oktemer, A.; Sakiyan, I. Biological activities of some natural compounds from Sideritis sipylea boiss. Phytother. Res. 2006, 20, 294–297. [Google Scholar] [CrossRef] [PubMed]
- Tatsimo, S.J.N.; Tane, P.; Melissa, J.; Sondengam, B.L.; Okunji, C.O.; Schuster, B.M.; Iwu, M.M.; Khan, I.A. Antimicrobial principle from Aframomum longifolius. Planta Med. 2006, 72, 132–135. [Google Scholar] [CrossRef] [PubMed]
- Urzúa, A.; Rezende, M.C.; Mascayano, C.; Vasquez, L. A structure-activity study of antibacterial diterpenoids. Molecules 2008, 13, 882–891. [Google Scholar] [CrossRef] [PubMed]
- Wilkens, M.; Alarcon, C.; Urzúa, A.; Mendoza, L. Characterization of the bactericidal activity of the natural diterpene kaurenoic acid. Planta Med. 2002, 68, 452–454. [Google Scholar] [CrossRef] [PubMed]
- Vuorela, P.; Leinonen, M.; Saikku, P.; Tammela, P.; Rauha, J.P.; Wennberg, T.; Vuorela, H. Natural products in the process of finding new drug candidates. Curr. Med. Chem. 2004, 11, 1375–1389. [Google Scholar] [CrossRef]
- Ambrosio, S.R.; Schorr, K.; Da Costa, F.B. Terpenoids of Viguiera arenaria (Asteraceae). Biochem. Syst. Ecol. 2004, 32, 221–224. [Google Scholar] [CrossRef]
- Da Costa, F.B.; Albuquerque, S.; Vichnewski, W. Diterpenes and synthetic derivatives from Viguiera aspillioides with trypanomicidal activity. Planta Med. 1996, 62, 557–559. [Google Scholar] [CrossRef] [PubMed]
- Daló, N.L.; Sosa-Sequera, M.C.; Usubillaga, A. On the anticonvulsivant activity of kaurenic acid. Invest. Clin. 2007, 48, 349–358. [Google Scholar] [PubMed]
- Clinical and Laboratory Standards Institute. CLSI document M11-A7- Methods for Antimicrobial Susceptibility Testing of Anaerobic Bacteria. In Approved Standard, 7th ed.; CLSI: Wayne, PA, 2007. [Google Scholar]
- Clinical and Laboratory Standards Institute. CLSI document M7-A7 - Methods for Antimicrobial Susceptibility Testing of Aerobic Bacteria. In Approved Standard, 7th ed.; CLSI: Wayne, PA, 2006. [Google Scholar]
- Sarker, S.D.; Nahar, L.; Kumarasamy, Y. Microtitre plate-based antibacterial assay incorporating resazurin as an indicator of cell growth, and its application in the in vitro antibacterial screening of phytochemicals. Methods 2007, 42, 321–324. [Google Scholar] [CrossRef] [PubMed]
Sample Availability: Samples of the compounds are not available. |


| Microorganism (ATCC) | Minimum Inhibitory Concentration (μg mL-1) | ||||||||
|---|---|---|---|---|---|---|---|---|---|
| 1 | 2 | 3 | 4 | 5 | 6 | 7 | 8 | Chlor | |
| P. gingivalis (33277) | * | 1.25 | 10.0 | 40.0 | 1.0 | 0.92 | |||
| P. gingivalis (clinical isolate) | * | 2.0 | 10.0 | * | * | * | 60.0 | 1.25 | 1.85 |
| P. nigrescens (33563) | * | 2.0 | 10.0 | 50.0 | 60.0 | 60.0 | 40.0 | 1.5 | 0.92 |
| P. intermedia (clinical isolate) | * | 1.0 | 7.5 | 50.0 | 40.0 | 60.0 | 20.0 | 1.75 | 0.92 |
| F. nucleatum (25586) | * | * | * | * | * | * | * | * | 1.85 |
| P. buccae (clinical isolate) | * | 4.0 | 4.0 | 4.0 | 1.5 | 2.25 | 1.75 | 2.25 | 0.92 |
| B. fragilis (25285) | * | 2.0 | 2.5 | 40.0 | 40.0 | 18.0 | 16.0 | 10.0 | 7.38 |
| A. naeslundii (19039) | * | 1.25 | 5.0 | 12.0 | 60.0 | 60.0 | 40.0 | 5.0 | 1.85 |
| A. naeslundii (clinical isolate) | * | * | * | * | * | * | * | * | 1.85 |
| A. viscosus (clinical isolate) | * | * | * | * | * | * | * | * | 3.69 |
| P. micros (clinical isolate) | * | 0.5 | 6.0 | 16.0 | 8.0 | 1.85 | |||
| E. faecalis (4082) | * | * | * | * | * | * | * | * | 3.69 |
| E. faecalis (clinical isolate) | * | * | * | * | * | * | * | * | 7.38 |
| A. actinomycetemcomitans (43717) | * | 4.0 | 10.0 | * | 40.0 | 40.0 | * | 1.25 | 7.38 |
| Microorganisms (ATCC) | Minimum Bactericidal Concentration (μg mL-1) | |||
|---|---|---|---|---|
| 2 | 3 | 8 | Chlor | |
| P. gingivalis (33277) | 10.0 | 10.0 | 8.0 | 0.92 |
| P. gingivalis (clinical isolate) | 10.0 | 40.0 | 8.0 | 1.85 |
| P. nigrescens (33563) | 2.0 | 40.0 | 1.75 | 0.92 |
| P. intermedia (clinical isolate) | 1.0 | 40.0 | 2.0 | 0.92 |
| P. buccae (clinical isolate) | 4.0 | 14.0 | 5.0 | 0.92 |
| B. fragilis (25285) | 2.0 | 2.5 | 14.0 | 7.38 |
| A. naeslundii (19039) | 10.0 | 5.0 | 5.0 | 1.85 |
| P. micros (clinical isolate) | 1.0 | 6.0 | 12.0 | 1.85 |
| A. actinomycetemcomitans (43717) | 4.0 | 60.0 | 1.75 | 7.38 |
© 2011 by the authors; licensee MDPI, Basel, Switzerland. This article is an open access article distributed under the terms and conditions of the Creative Commons Attribution license (http://creativecommons.org/licenses/by/3.0/).
Share and Cite
Carvalho, T.C.; Simão, M.R.; Ambrósio, S.R.; Furtado, N.A.J.C.; Veneziani, R.C.S.; Heleno, V.C.G.; Da Costa, F.B.; Gomes, B.P.F.A.; Souza, M.G.M.; Borges dos Reis, E.; et al. Antimicrobial Activity of Diterpenes from Viguiera arenaria against Endodontic Bacteria. Molecules 2011, 16, 543-551. https://doi.org/10.3390/molecules160100543
Carvalho TC, Simão MR, Ambrósio SR, Furtado NAJC, Veneziani RCS, Heleno VCG, Da Costa FB, Gomes BPFA, Souza MGM, Borges dos Reis E, et al. Antimicrobial Activity of Diterpenes from Viguiera arenaria against Endodontic Bacteria. Molecules. 2011; 16(1):543-551. https://doi.org/10.3390/molecules160100543
Chicago/Turabian StyleCarvalho, Tatiane C., Marília R. Simão, Sérgio R. Ambrósio, Niege A. J. C. Furtado, Rodrigo C. S. Veneziani, Vladimir C. G. Heleno, Fernando B. Da Costa, Brenda P. F. A. Gomes, Maria Gorete M. Souza, Erika Borges dos Reis, and et al. 2011. "Antimicrobial Activity of Diterpenes from Viguiera arenaria against Endodontic Bacteria" Molecules 16, no. 1: 543-551. https://doi.org/10.3390/molecules160100543
APA StyleCarvalho, T. C., Simão, M. R., Ambrósio, S. R., Furtado, N. A. J. C., Veneziani, R. C. S., Heleno, V. C. G., Da Costa, F. B., Gomes, B. P. F. A., Souza, M. G. M., Borges dos Reis, E., & Martins, C. H. G. (2011). Antimicrobial Activity of Diterpenes from Viguiera arenaria against Endodontic Bacteria. Molecules, 16(1), 543-551. https://doi.org/10.3390/molecules160100543
