Synthesis of 2- and 7- Substituted C19 Steroids Having a 1,4,6-Triene or 1,4-Diene Structure and Their Cytotoxic Effects on T47D and MDA-MB231 Breast Cancer Cells
Abstract
:1. Introduction
2. Results and Discussion
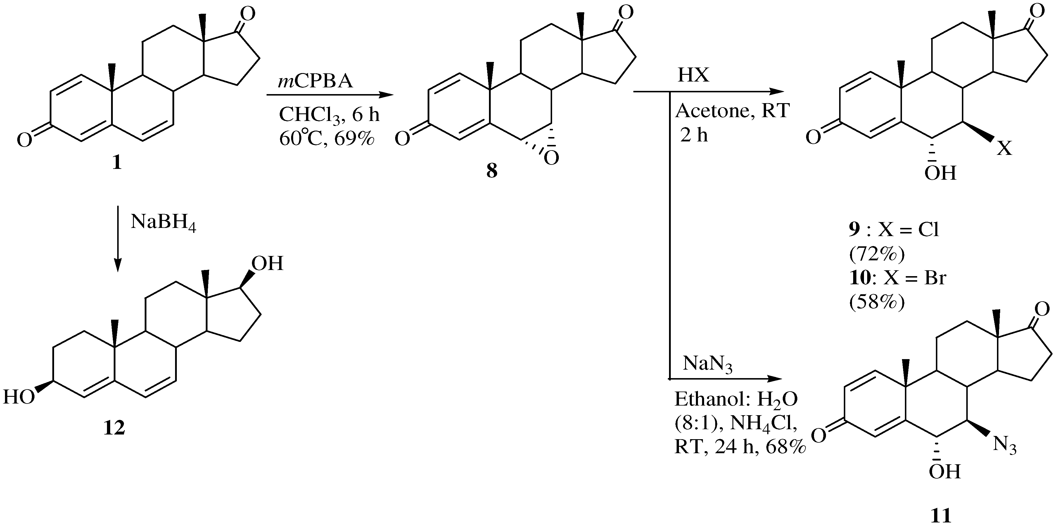
2.1. Synthesis





2.2. Cytotoxic effects




| Compound No. | T47D cells | MDA-MB231 cells |
|---|---|---|
| IC50 (μM) | IC50 (μM) | |
| Formestane | 96.5 | >100 |
| Tamoxifen | 13.0 | 11.4 |
| 2 | 7.1 | >100 |
| 3 | >100 | >100 |
| 4 | >100 | >100 |
| 5 | >100 | 18.7 |
| 7 | >100 | >100 |
| 8 | 17.3 | 26.9 |
| 9 | 36.4 | 53.5 |
| 10 | 44.2 | 33.1 |
| 11 | 95.6 | >100 |
| 12 | 54.3 | 43.8 |
| 13 | >100 | >100 |
| 14 | 97.1 | >100 |
3. Conclusions
4. Experimental
4.1. General
4.2. Synthesis of 2-substituted-1,4,6-androstatriene-3,17-dione derivatives
4.3. Synthesis of 7-substituted-1,4-androstadiene-3,17-dione derivatives
4.4. Biology
MTT assay on T47D and MDA-MB231 cells
Acknowledgements
References
- Kellis, J., Jr.; Vickery, L.E. Purification and characterization of human placental aromatase cytochrome P-450. J. Biol. Chem. 1987, 262, 4413–4420. [Google Scholar]
- Jindal, D.P.; Chattopadhaya, R.; Guleria, S.; Gupta, R. Synthesis and antineoplastic activity of 2-alkylaminoethyl derivatives of various steroidal oximes. Eur. J. Med. Chem. 2003, 38, 1025–1034. [Google Scholar] [CrossRef]
- Marsh, S.; Liu, G. Pharmacokinetics and pharmacogenomics in breast cancer chemotherapy. Adv. Drug Deliver. Rev. 2009, 61, 381–389. [Google Scholar] [CrossRef]
- Brueggemeier, R.W.; Hackett, J.C.; Diaz-Cruz, E.S. Aromatase inhibitors in the treatment of breast cancer. Endocr. Rev. 2005, 26, 331–345. [Google Scholar] [CrossRef]
- Sikora, M.J.; Condero, K.E.; Larios, J.M.; Johnson, M.D.; Lippman, M.E.; Rae, J.M. The androgenmetabolic 5-androstane-3,17-diol (3-Adiol) induces breast cancer growth via estrogen receptor; implication for aromatase inhibitor resistance. Breast Cancer Res. Treat. 2009, 115, 289–296. [Google Scholar] [CrossRef]
- Schulz, S.; Klann, R.C.; Schonfeld, S.; Nyce, J.W. Mechanism s of cell growth inhibition and cell cycle arrest in human colonic adenocarcinoma cells by dehydroepiandrosterone: Role of isoprenoid biosynthesis. Cancer Res. 1992, 52, 1372–1376. [Google Scholar]
- Boros, L.G.; Puigianer, J.; Cascante, M.; Lee, W.N.; Brandes, J.L.; Bassilian, S. Oxythiamine and dehydroepiandrosterone inhibits the nonoxidative synthesis of ribose and tumor cell proliferation. Cancer Res. 1997, 57, 4242–4248. [Google Scholar]
- Simile, M.; Pascale, R.M.; De Miglio, M.R.; Nufris, A.; Daino, L.; Seddaiu, M.A. Inhibition by dehydroepiandrosterone of growth and progression of persistent liver nodules in experimental rat liver carcinogenesis. Int. J. Cancer 1995, 62, 210–215. [Google Scholar] [CrossRef]
- Nyce, J.W.; Magee, P.N.; Hard, G.C.; Schwarz, A.G. Inhibition of 1,2-dimethylhydrazine-induced colon tumorigenesis in Balb/c mice by dehydroepiandrosterone. Carcinogenesis 1984, 5, 57–62. [Google Scholar] [CrossRef]
- Schwarz, A.G.; Tannen, R.H. Inhibition of 7,12-dimethylbenz[a]-anthracene- and urethane-induced lung tumor formation in A/J mice by long-term treatment with dehydroepiandrosterone. Carcinogenesis 1981, 2, 1335–1337. [Google Scholar] [CrossRef]
- Ratko, T.A.; Detrisac, C.J.; Mehta, R.G.; Kelloff, G.J.; Moon, R.C. Inhibition of rat mammary gland chemical carcinogenesis by dietary dehydroepiandrosterone or a fluorinated analogue of dehydroepiandrosterone. Cancer Res. 1991, 51, 481–486. [Google Scholar]
- Gerrais, M.; Tan, L. 6-Hydroxyiminoandrostenedione, a new specific inhibitor of estrogen biosynthesis and its effect on T47D human breast cancer cells. Anticancer Res. 1993, 13, 383–388. [Google Scholar]
- Sadekova, S.I.; Tan, L.; Chow, T.Y. Identification of the aromatase in the breast carcinoma cell lines T47D and MCF-7. Anticancer Res. 1994, 14, 507–511. [Google Scholar]
- Djurendić, E.; Daljeu, J.; Sakač, M.; Čanadi, J.; Šanta, S.J.; Andrić, S.; Klisurić, O.; Kojić, V.; Bogdanović, G.; Djurendić-Brenesel, M.; Novaković, S.; Gaši, K.P. Synthesis of some epoxy and /or N-oxy 17-picolyl and 17-picolinylidene-androst-5-ene derivatives and evaluation of their biological activity. Steroids 2008, 73, 129–138. [Google Scholar] [CrossRef]
- Djurendić, E.A.; Ajduković, J.J.; Sakač, M.N.; Čanadi, J.J.; Kojić, V.V.; Bogdanović, G.M.; Gaši, K.M.P. 17-Picolylidene-substituted steroid derivatives and their antiaromatase and cytotoxicity activity. ARKIVOC 2009, 311–323. [Google Scholar]
- Poza, J.; Rega, M.; Paz, V.; Alonso, B.; Rodriguez, J.; Salvador, N. Synthesis and evaluation of new 6-hydroxyiminosteroid analogues as cytotoxic agents. Bioorg. Med. Chem. 2007, 15, 4722–4740. [Google Scholar] [CrossRef]
- Krstića, N.M.; Bjelaković, M.S.; Zizakb, Z.; Pavlovíc, M.D.; Juraníc, Z.D.; Pavlovíc, V.D. Synthesis of some oximes, lactams, thiolactams and their antitumor activities. Steroids 2007, 72, 406–414. [Google Scholar] [CrossRef]
- Bansal, R.; Guleria, S. Synthesis of 16E-[3-methoxy-4-(2-aminoethoxy)benzylidene]androstene derivatives as potent cytotoxic agents. Steroids 2008, 73, 1391–1399. [Google Scholar] [CrossRef]
- Sharma, S.K.; Zheng, W.; Joshua, A.V.; Abrams, D.N.; McEwan, A.J.B. Synthesis and evaluation of novel 4-amino-4,6-androstadiene-3,17-dione: An analog of formestane. Bioorg. Med. Chem. Lett. 2008, 18, 5563–5566. [Google Scholar] [CrossRef]
- Frank, E.; Musci, I.; Zupkó, I.; Réthy, B.; Falkay, G.; Schneider, G.; Wolfling, J. Efficient approach to androstene-fused arylpyrazolines as potent antiproliferative agents. Experimental and theoretical studies of substituent effects on BF3-catalyzed intramolecular [3+2]cycloadditions of olefinic phenylhydrazones. J. Am. Chem. Soc. 2009, 131, 3894–3904. [Google Scholar]
- Numazawa, M.; Yamaguchi, S. Synthesis and structure-activity relationships of 6-phenylaliphatic substituted C19 steroids having a 1,4-diene, 4,6-diene, or 1,4,6-triene structure as aromatase inhibitors. Steroids 1999, 64, 187–196. [Google Scholar] [CrossRef]
- Abul-Hajj, Y.J.; Xing-Ping, L.; Hedge, M. Aromatase Inhibitors: Effects of ring A and ring B unsaturation on aromatase inhibition by 4-thiosubstituted derivatives of 4-androstene-3,17-dione. Steroids 1995, 60, 423–427. [Google Scholar] [CrossRef]
- Ma, E.; Kim, E. Epoxidation and reduction of DHEA, 1,4,6-androstatriene-3,17-dione and 4,6-androstadiene-3,17-diol. Molecules 2005, 10, 577–582. [Google Scholar]
- Pelc, B.; Hodkova, J. Steroid derivatives/XLIV. Futher reactions of 1α,2α-epoxy-3-ketones of androstane series. Coll. Czech Chem. Commun. 1967, 32, 410–418. [Google Scholar]
- O’Relly, J.M.; Li, N.; Duax, W.L.; Brueggemeier, R.W. Synthesis, structural elucidation, and biochemical evaluation of 7α- and 7β-arylaliphatic substituted androst-4-ene-3,17-diones as a inhibitor of aromatase. J. Med. Chem. 1995, 38, 2842–2850. [Google Scholar] [CrossRef]
- Sample Availability: Samples of the compounds are available from the authors.
© 2010 by the authors;
Share and Cite
Kim, M.; Ma, E. Synthesis of 2- and 7- Substituted C19 Steroids Having a 1,4,6-Triene or 1,4-Diene Structure and Their Cytotoxic Effects on T47D and MDA-MB231 Breast Cancer Cells. Molecules 2010, 15, 4408-4422. https://doi.org/10.3390/molecules15064408
Kim M, Ma E. Synthesis of 2- and 7- Substituted C19 Steroids Having a 1,4,6-Triene or 1,4-Diene Structure and Their Cytotoxic Effects on T47D and MDA-MB231 Breast Cancer Cells. Molecules. 2010; 15(6):4408-4422. https://doi.org/10.3390/molecules15064408
Chicago/Turabian StyleKim, Minwoo, and Eunsook Ma. 2010. "Synthesis of 2- and 7- Substituted C19 Steroids Having a 1,4,6-Triene or 1,4-Diene Structure and Their Cytotoxic Effects on T47D and MDA-MB231 Breast Cancer Cells" Molecules 15, no. 6: 4408-4422. https://doi.org/10.3390/molecules15064408
APA StyleKim, M., & Ma, E. (2010). Synthesis of 2- and 7- Substituted C19 Steroids Having a 1,4,6-Triene or 1,4-Diene Structure and Their Cytotoxic Effects on T47D and MDA-MB231 Breast Cancer Cells. Molecules, 15(6), 4408-4422. https://doi.org/10.3390/molecules15064408
