Synthesis of New Imidazolidin-2,4-dione and 2-Thioxoimidazolidin-4-ones via C-Phenylglycine Derivatives
Abstract
:Introduction
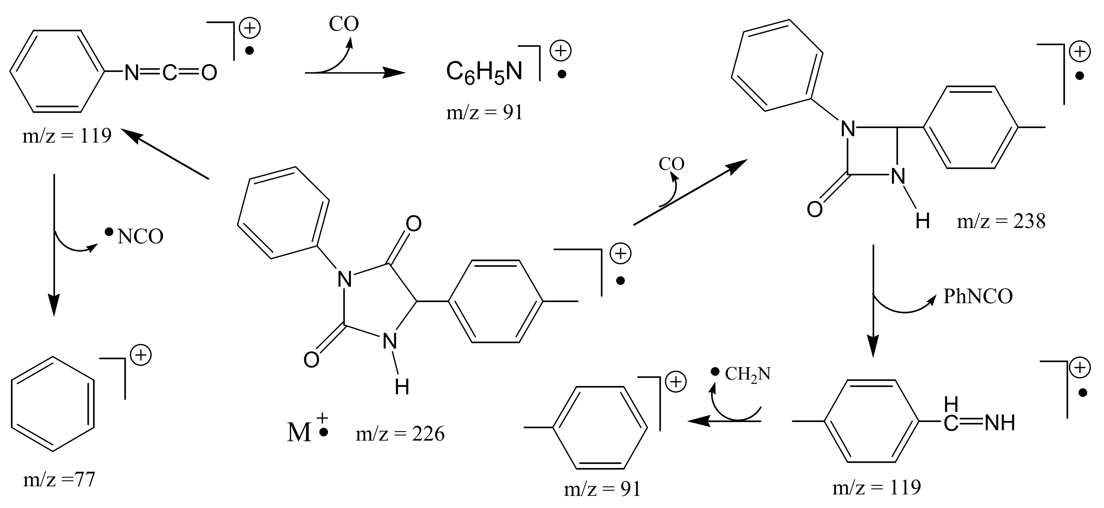
Results and Discussion
Experimental
General
General method for the preparation of C-arylglycines
General method for the preparation of 3-phenyl-5-arylimidazolidinic derivatives
Conclusions
Acknowledgements
References
- Cramer, R.D.; Clark, R.D.; Patterson, D.E.; Ferguson, A.M. Bioisosterism as a molecular diversity descriptor: Steric fields of single “topomeric” conformers. J. Med. Chem. 1996, 39, 3060–3069. [Google Scholar] [CrossRef] [PubMed]
- Bateman, J.H. Hydantoin and derivatives. In Grayson; Martin; Eckroth, Kirk-Othmer Encyclopedia of Chemical Technology; Wiley: New York, NY, USA, 1980; Volume 12, pp. 692–711. [Google Scholar]
- Dolezel, J.; Hirsova, P.; Opletalova, V.; Dohnal, J.; Marcela, V.; Kunes, J.; Jampilek, J. Rhodanineacetic acid derivatives as potential drugs:preparation, hydrophobic properties and antifungal activity of (5-arylalkylidene-4-oxo-2-thioxo-1,3-thiazolidin-3-yl)acetic acids. Molecules 2009, 14, 4197–4212. [Google Scholar] [CrossRef] [PubMed]
- Menezes, E.H.C.; Góes, A.J.S.; Diu, M.B.S.; Galdino, S.L.; Pitta, I.R.; Luu-Duc, C. Synthesis and structure of substituted benzyl imidazolidinedione and chlorobenzyl thiazolidine-dione compounds. Pharmazie 1992, 46, 457–458. [Google Scholar]
- Momose, Y.; Maekawa, T.; Yamano, T.; Kawada, M.; Odaka, H.; Ikeda, H.; Sohda, T. Novel 5-substituted 2,4-thiazolidinedione and 2,4-oxazolidinedione derivatives as insulin sensitizers with antidiabetic activities. J. Med. Chem. 2002, 45, 1518–1534. [Google Scholar] [CrossRef] [PubMed]
- Inamori, Y.; Muro, C.; Tanaka, R.; Adachi, A.; Miyamoto, K.; Tsujibo, H. Phytogrowthinhibitory activity of sulfur-containing compounds. I. Inhibitory activities of thiazolidine derivatives on lant growth. Chem. Pharm. Bull. 1992, 40, 2854–2856. [Google Scholar] [CrossRef]
- Wang, Z.D.; Sheikh, S.O.; Zhang, Y. A Simple Synthesis of 2-Thiohydantoins. Molecules 2006, 11, 739–750 and references cited therein. [Google Scholar] [CrossRef] [PubMed]
- Lira, B.F.; Athayde-Filho, P.F.; Miller, J.; Simas, A.M.; Dias, A.F.; Vieira, M.J. Synthesis and characterization of some new mesoionic 1,3-thiazolium-5-thiolates via cyclodehydration and in situ 1,3-dipolar cycloaddition/cycloreversion. Molecules 2002, 7, 791–800. [Google Scholar] [CrossRef]
- De Athayde-Filho, P.F.; Miller, J.; Simas, A.M.; Lira, B.F.; De Souza Luis, J.A.; Zuckerman-Schpector, J. Synthesis, characterization and crystallographic studies of three 2-aryl-3-methyl-4-aryl-1,3-thiazolium-5-thiolates. Synthesis (Stuttgart) 2003, 5, 685–690. [Google Scholar] [CrossRef]
- Lira, B.F.; Miller, J.; Simas, A.M.; Athayde-Filho, P.F.; Dias, A.F.; Silva, R.O.; Oliveira, V.C. Synthesis and complete assignments of 1H and 13C NMR spectra of mesoionic 2-(p-trifluoromethylphenyl)-3-methyl-4-(p-tolyl)-1,3-thiazolium-5-thiolate and 2-(p-chlorophenyl)-3-methyl–4-(p-isopropylphenyl)-1,3-thiazolium-5-thiolate. ARKIVOC 2004, vi, 12–21. [Google Scholar]
- Bosco, C.A.C.; Maciel, G.S.; Rakov, N.; de Araújo, C.B.; Acioli, L.H.; Simas, A.M.; Athayde-Filho, P.F.; Miller, J. Probing the nuclear susceptibility of mesoionic compounds using two-beam coupling with chirp-controlled pulses. Chem. Phys. Lett. 2007, 449, 101–106. [Google Scholar] [CrossRef]
- Pilla, V.; de Araújo, C.B.; Lira, B.F.; Simas, A.M.; Miller, J.; Athayde-Filho, P.F. Nonlinear absorption of new mesoionic compounds. Opt. Commun. 2006, 264, 225–228. [Google Scholar] [CrossRef]
- Anjos, R.M. Cardiovascular action of 5-(4-isopropylphenyl)-3-phenyl-imidazolidine-2,4-dione in rats—Approach in vivo and in vitro. PhD Thesis, Universidade Federal da Paraíba, João Pessoa, Paraíba, Brazil, 2006. [Google Scholar]
- Harvill, E.K.; Herbst, R.M. The transamination reaction. The effect of various nuclear substituted phenylaminoacetic acids on the course of the reaction. J. Org. Chem. 1944, 9, 21–30. [Google Scholar] [CrossRef]
Sample Availability: Samples of the compounds are available from the authors. |


| 1H | H- C* | -C6H4–R | -C6H5 | H-N | -R |
|---|---|---|---|---|---|
| IG-1, R = OCH3 | 4.83 | 6.93 – 7.39 (m, 4H) | - | 8.92 (s, 2H) | 3.72 (s, 3H) |
| IG-2, R = CH3CH2 | 4.98 | 7.17 – 7.33 (m, 4H) | - | 8.92 (s, 2H) | 1.07 (t, 3H); 2.53 (q, 2H); J = 7.6 Hz |
| IG-3, R = CH3 | 4.96 | 7.21 (d, 2H); 7.39 (d, 2H), J = 8,2 Hz | - | 9.02 (s, 2H) | 2.27 (s, 3H) |
| IG-4, R = (CH3)2CH | 4.78 | 7.01 (d, 2H); 7.11 (d, 2H), J = 8.0 Hz | - | 9.44 (s, 2H) | 0.84 (d, 6H); 2.18 (sept, 1H); J = 6.4 Hz |
| IM-1, R = CH3 | 5.52 (s, 1H) | 7.41 (m, 4H) | 7.71 (m, 5H) | 9.21 (s, 1H) | 2.49 (s, 3H) |
| IM-2, R = CH3 | 5.49 (s, 1H) | 7.24 (m, 4H) | 7.47 (m, 5H) | 10.99 (s, 1H) | 2.27 (s, 3H) |
| IM-3, R = CH3CH2 | 5.33 (s, 1H) | 7.24 (m, 4H) | 7.51 (m, 5H) | 8.97 (s, 1H) | 1.16 (t, 3H); 2.60 (q, 2H); J = 7,6 Hz |
| IM-4, R = CH2CH3 | 5.58 (s, 1H) | 7.28 (m, 4H) | 7.54 (m, 5H) | 11.04 (s, 1H) | 1.18 (t, 3H); 2.64 (q, 2H); J = 7,6 Hz |
| IM-5, R = OCH3 | 5.16 (s, 1H) | 6.95 (m, 4H) | 7.32 (m, 5H) | 8.86 (s, 1H) | 3.71 (s, 3H) |
| IM-6, R = OCH3 | 5.49 (s, 1H) | 7.27 (m, 4H) | 7.51 (m, 5H) | 10.96 (s,1H) | 3.73 (s, 3H) |
| IM-7, R = (CH3)2CH | 5.38 (s, 1H) | 7.16 (m, 4H) | 7.50 (m, 5H) | 8.97 (s, 1H) | 1.22 (d, 6H); 2.90 (sept, 1H); J = 6.,8 Hz |
| IM-8, R = (CH3)2CH | 5.55 (s, 1H) | 7.28 (m, 4H) | 7.54 (m, 5H) | 10.98 (s, 1H) | 1.21 (d, 6H); 2.90 (sept, 1H); J = 6,8 Hz |
| 13C | C* | CAr-N | CAr-C* | CAr-R | -R | C=S | C=O |
|---|---|---|---|---|---|---|---|
| IG-1, R = OCH3 | 60.4 | - | 130.3 | 164.9 | 60.0 | - | 174.9 |
| IG-2, R = CH3CH2 | 55.6 | - | 130.6 | 145.3 | 15.8; 28.1 | - | 169.8 |
| IG-3, R = CH3 | 55.3 | - | 130.4 | 138.8 | 20.9 | - | 169.8 |
| IG-4, R = (CH3)2CH | 60.3 | - | 128.5 | 151.0 | 23.9; 30.9 | - | 170.0 |
| IM-1, R = CH3 | 60.2 | 132.4 | 133.0 | 138,4 | 21.1 | - | 156.2; 172.3 |
| IM-2, R = CH3 | 63.1 | 131.7 | 133.7 | 138,9 | 21.2 | 183.1 | 173.4 |
| IM-3, R = CH3CH2 | 59.8 | 133.1 | 132.2 | 144,3 | 15.7; 27.9 | - | 155.8; 171.9 |
| IM-4, R = CH3CH2 | 62.6 | 131.7 | 133.4 | 144,6 | 15.7; 28.0 | 182.7 | 172.9 |
| IM-5, R = OCH3 | 59.9 | 130.2 | 130.2 | 159,4 | 55.5 | - | 154.8; 173.2 |
| IM-6, R = OCH3 | 62.7 | 133,6 | 133.6 | 159,9 | 55.6 | 182.9 | 173.5 |
| IM-7, R = (CH3)2CH | 59.8 | 132.2 | 133.2 | 148,9 | 23.9; 33.2 | - | 155.7; 171.8 |
| IM-8, R = (CH3)2CH | 62.6 | 131.8 | 133.4 | 149,2 | 23.9; 33.2 | 182.7 | 172.9 |
© 2010 by the authors; licensee Molecular Diversity Preservation International, Basel, Switzerland. This article is an open-access article distributed under the terms and conditions of the Creative Commons Attribution license (http://creativecommons.org/licenses/by/3.0/).
Share and Cite
De Sousa Luis, J.A.; Barbosa Filho, J.M.; Freitas Lira, B.; Almeida Medeiros, I.; Soares Lima de Morais, L.C.; Dos Santos, A.F.; Soares de Oliveira, C.; De Athayde-Filho, P.F. Synthesis of New Imidazolidin-2,4-dione and 2-Thioxoimidazolidin-4-ones via C-Phenylglycine Derivatives. Molecules 2010, 15, 128-137. https://doi.org/10.3390/molecules15010128
De Sousa Luis JA, Barbosa Filho JM, Freitas Lira B, Almeida Medeiros I, Soares Lima de Morais LC, Dos Santos AF, Soares de Oliveira C, De Athayde-Filho PF. Synthesis of New Imidazolidin-2,4-dione and 2-Thioxoimidazolidin-4-ones via C-Phenylglycine Derivatives. Molecules. 2010; 15(1):128-137. https://doi.org/10.3390/molecules15010128
Chicago/Turabian StyleDe Sousa Luis, José Alixandre, José Maria Barbosa Filho, Bruno Freitas Lira, Isac Almeida Medeiros, Liana Clébia Soares Lima de Morais, Alexsandro Fernandes Dos Santos, Cledualdo Soares de Oliveira, and Petrônio Filgueiras De Athayde-Filho. 2010. "Synthesis of New Imidazolidin-2,4-dione and 2-Thioxoimidazolidin-4-ones via C-Phenylglycine Derivatives" Molecules 15, no. 1: 128-137. https://doi.org/10.3390/molecules15010128
APA StyleDe Sousa Luis, J. A., Barbosa Filho, J. M., Freitas Lira, B., Almeida Medeiros, I., Soares Lima de Morais, L. C., Dos Santos, A. F., Soares de Oliveira, C., & De Athayde-Filho, P. F. (2010). Synthesis of New Imidazolidin-2,4-dione and 2-Thioxoimidazolidin-4-ones via C-Phenylglycine Derivatives. Molecules, 15(1), 128-137. https://doi.org/10.3390/molecules15010128
