Physical Carboxymethylscleroglucan/Calcium Ion Hydrogels as Modified Drug Delivery Systems in Topical Formulations
Abstract
:1. Introduction
2. Results and Discussion
2.1. Synthesis of Scl-CM
2.2. In vitro evaluation of the mucoadhesive properties of Scl-CM
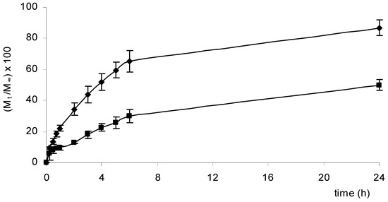
2.3. Release studies from physical hydrogels of Scl-CM
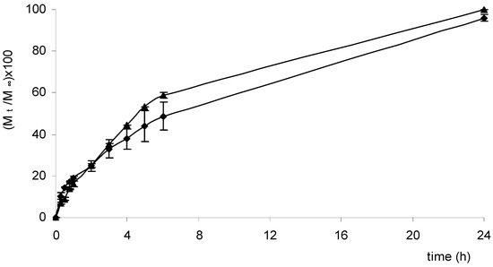
2.4. Release studies of diclofenac from a double-layered system
2.5. Rheological measurements
2.6. Primary skin irritation experiments
3. Experimental Section
3.1. Materials
3.2. Synthesis of carboxymethyl scleroglucan (Scl-CM)
3.3. Studies of interaction with mucin
3.4. Hydrogel preparation
3.5. Release studies
3.6. Preparation of a double-layered system
3.7. Rheological measurements
3.8. In vivo studies
where T, treated; C, control; Er, erythema; Ed, edema. The PII was calculated as the arithmetical mean of the SPI values of the three animals. The evaluation of PII was performed according to the categories reported in the literature [20].4. Conclusions
Acknowledgements
References and Notes
- Coviello, T.; Matricardi, P.; Marianecci, C.; Alhaique, F. Polysaccharide hydrogels for modified release formulations. J. Control. Rel. 2007, 119, 5–24. [Google Scholar] [CrossRef] [PubMed]
- Hoffman, A.S. Hydrogels for biomedical applications. Adv. Drug Del. Rev. 2002, 54, 3–12. [Google Scholar] [CrossRef]
- Peppas, N.A.; Bures, P.; Leobandung, W.; Ichikawa, H. Hydrogels in pharmaceutical formulations. Eur. J. Pharm. Biopharm. 2000, 50, 27–46. [Google Scholar] [CrossRef]
- Kamath, K.R.; Park, K. Biodegradable hydrogels in drug delivery. Adv. Drug Deliv. Rev. 1993, 11, 59–84. [Google Scholar] [CrossRef]
- Coviello, T.; Palleschi, A.; Grassi, M.; Matricardi, P.; Bocchinfuso, G.; Alhaique, F. Scleroglucan: a versatile polisaccaride for modified drug delivery. Molecules 2005, 10, 6–33. [Google Scholar] [CrossRef] [PubMed]
- Kitamura, S.; Hirano, T.; Takeo, K.; Fukada, H.; Takahashi, K.; Falch, B.H.; Stokke, T. Conformational transitions of schizophyllan in aqueous alcaline solution. Biopolymers 1995, 39, 407–416. [Google Scholar] [CrossRef]
- Guo, B.; Elgsaeter, A.; Stokke, B.T. Scleroglucan gel volume changes in dimethylsulphoxide/water and alkaline solutions are partly caused by polymer chain conformational transitions. Carbohydr. Polym. 1999, 39, 249–255. [Google Scholar] [CrossRef]
- Christensen, B.E.; Aasprong, E.; Stokke, B.T. Gelation of periodate oxidised scleroglucan (scleraldehyde). Carbohydr. Polym. 2001, 46, 241–248. [Google Scholar] [CrossRef]
- Stokke, B.T.; Elgsaeter, A.; Smidsrod, O.; Christensen, B.E. Carboxylation of scleroglucan for controlled crosslinking by heavy metal ions. Carbohydr. Polym. 1995, 27, 5–11. [Google Scholar] [CrossRef]
- Coviello, T.; Grassi, M.; Rambone, G.; Alhaique, F. A crosslinked system from scleroglucan derivative: preparation and characterization. Biomaterials 2001, 22, 1899–1909. [Google Scholar] [CrossRef]
- Casadei, M.A.; Matricardi, P.; Fabrizi, G.; Feeney, M.; Paolicelli, P. Physical gels of a carboxymethyl derivative of scleroglucan: synthesis and characterization. Eur. J. Pharm. Biopharm. 2007, 67, 682–689. [Google Scholar] [CrossRef] [PubMed]
- Langman, J.S. Adverse effects of conventional non-steroidal anti-inflammatory drugs on the upper gastrointestinal tract. Fundam. Clin. Pharmacol. 2003, 17, 393–403. [Google Scholar] [CrossRef] [PubMed]
- de Nooy, A.E.J.; Rori, V.; Masci, G.; Dentini, M.; Crescenzi, V. Synthesis and preliminary characterization of charged derivatives and hydrogels from scleroglucan. Carbohydr. Res. 2000, 324, 116–126. [Google Scholar] [CrossRef]
- He, P.; Davis, S.S.; Illum, L. In vitro evaluation of the mucoadhesive properties of chitosan microspheres. Int. J. Pharm. 1998, 166, 75–88. [Google Scholar] [CrossRef]
- Rossi, S.; Ferrari, F.; Bonferoni, M.C.; Caramella, C. Characterization of chitosan hydrochloride-mucin interaction by means of viscosimetric and turbidimetric measurements. Eur. J. Pharm. Sci. 2000, 10, 251–257. [Google Scholar] [CrossRef]
- Feeney, M.; Casadei, M.A.; Matricardi, P. Carboxymethyl derivative of scleroglucan: a novel thermosensitive hydrogel forming polysaccharide for drug delivery applications. J. Mater. Sci. Mater. Med. 2009, 20, 1081–1087. [Google Scholar] [CrossRef] [PubMed]
- Barry, B.W. Dermatological formulations-Percutaneous Absorption; Marcel Dekker: New York, NY, USA, 1983; vol.18, pp. 351–396. [Google Scholar]
- Ensley, H.E.; Tobias, B.; Pretus, H.A.; McNamee, R.B.; Jones, E.L.; Browder, I.W.; Williams, D.L. NMR spectral analysis of a water-insoluble (1→3)-beta-D-glucan isolated from Saccharomyces cerevisiae. Carbohydr. Res. 1994, 258, 307–311. [Google Scholar] [CrossRef]
- Bergström, C.A.S.; Norinder, U.; Luthman, K.P.; Artursson, P. Experimental and computational screening models for prediction of aqueous drug solubility. Pharm. Res. 2002, 19, 182–188. [Google Scholar] [CrossRef] [PubMed]
- Draize, J.H.; Woodard, G.; Calvery, H.O. Methods for the study of irritation and toxicity of substances applied topically to the skin and the mucous membranes. J. Pharmacol. Exp. Ther. 1944, 82, 377–390. [Google Scholar]
Sample Availability: Samples of the compounds Scl-CM are available from the authors. |












| Sample | Drug released in 6 h (%) | Drug released in 24 h (%) |
|---|---|---|
| Cp2-Cs0.50 | 16.2 ± 1.9 | 21.5 ± 1.2 |
| Cp2-Cs0.25 | 40.2 ± 2.5 | 63.6 ± 0.5 |
| Cp2-Cs0.10 | 90.6 ± 1.2 | 98.5 ± 1.2 |
| Cp2-Cs0.05 | 92.7 ± 0.5 | 99.0 ± 0.3 |
© 2009 by the authors; licensee Molecular Diversity Preservation International, Basel, Switzerland. This article is an open-access article distributed under the terms and conditions of the Creative Commons Attribution license (http://creativecommons.org/licenses/by/3.0/).
Share and Cite
Corrente, F.; Matricardi, P.; Paolicelli, P.; Tita, B.; Vitali, F.; Casadei, M.A. Physical Carboxymethylscleroglucan/Calcium Ion Hydrogels as Modified Drug Delivery Systems in Topical Formulations. Molecules 2009, 14, 2684-2698. https://doi.org/10.3390/molecules14082684
Corrente F, Matricardi P, Paolicelli P, Tita B, Vitali F, Casadei MA. Physical Carboxymethylscleroglucan/Calcium Ion Hydrogels as Modified Drug Delivery Systems in Topical Formulations. Molecules. 2009; 14(8):2684-2698. https://doi.org/10.3390/molecules14082684
Chicago/Turabian StyleCorrente, Federica, Pietro Matricardi, Patrizia Paolicelli, Beatrice Tita, Federica Vitali, and Maria Antonietta Casadei. 2009. "Physical Carboxymethylscleroglucan/Calcium Ion Hydrogels as Modified Drug Delivery Systems in Topical Formulations" Molecules 14, no. 8: 2684-2698. https://doi.org/10.3390/molecules14082684
APA StyleCorrente, F., Matricardi, P., Paolicelli, P., Tita, B., Vitali, F., & Casadei, M. A. (2009). Physical Carboxymethylscleroglucan/Calcium Ion Hydrogels as Modified Drug Delivery Systems in Topical Formulations. Molecules, 14(8), 2684-2698. https://doi.org/10.3390/molecules14082684
