Next Article in Journal
A Convenient Synthesis of Type A Procyanidins
Previous Article in Journal
2-(3,4-Dihydro-4-Oxothieno[2,3-d]pyrimidin-2-ylthio) Acetamides as a New Class of Falcipain-2 Inhibitors. 3. Design, Synthesis and Biological Evaluation
 
 
Font Type:
Arial Georgia Verdana
Font Size:
Aa Aa Aa
Line Spacing:
Column Width:
Background:
Article

Polyfunctional Nitriles in Organic Syntheses: A Novel Route to Aminopyrroles, Pyridazines and Pyrazolo[3,4-c]pyridazines

by
Saleh M. Al-Mousawi
1,*,
Moustafa Sherief Moustafa
1,
Herbert Meier
2,
Heinz Kolshorn
2 and
Mohamed Hilmy Elnagdi
1
1
Department of Chemistry, Faculty of Science, University of Kuwait, Safat 13060, Kuwait
2
Institute of Organic Chemistry, Johannes Gutenberg-University, Mainz, Germany
*
Author to whom correspondence should be addressed.
Molecules 2009, 14(2), 798-806; https://doi.org/10.3390/molecules14020798
Submission received: 8 December 2008 / Revised: 8 January 2009 / Accepted: 10 February 2009 / Published: 16 February 2009

Abstract

:
Phenacylmalononitrile 1 reacts with dimethylformamide dimethyl acetal to yield an enaminone which could be readily converted into a pyrrole or an aminopyridazine by treating with ammonium acetate and hydrazine hydrate, respectively. Compound 1 reacted with hydrazine hydrate in ethanol at room temperature to yield the dihydropyridazine 9 as a single product. In refluxing ethanol this product further reacted with hydrazine hydrate to yield the novel dihydropyrazolopyridazinamine 10.

Graphical Abstract

Introduction

Malononitrile and malononitrile derivatives are versatile reagents and their chemistry has been studied in the past [1,2,3] and still attracts considerable interest [4,5]. In the past thirty years we have reported several new approaches to a variety of polyfunctional heterocycles utilizing malononitrile or substituted malononitriles as precursors [6,7,8,9,10] and several of these products as been established to act as anti-profiler agents. Very recently we have reported on the utility of benzylmalononitrile as precursor to diaminopyrazoles, diaminoisoxazoles, thiazoles and condensed azoles [11]. In the present paper we report the results of our exploration of the synthetic potential of 2-(2-oxo-2-phenylethyl) malononitrile (1) as a heterocycle precursor. This work has allowed us to develop a new route to aminopyrroles and aminopyridazines. The amines formed are of potential utility in the dye industry and as precursors for pharmaceuticals. In addition to that, the reported structures of the reaction products of (2-oxo-2-phenylethyl) malononitrile (1) with hydrazine hydrate have been reexamined and corrected in the light of our findings.

Results and Discussion

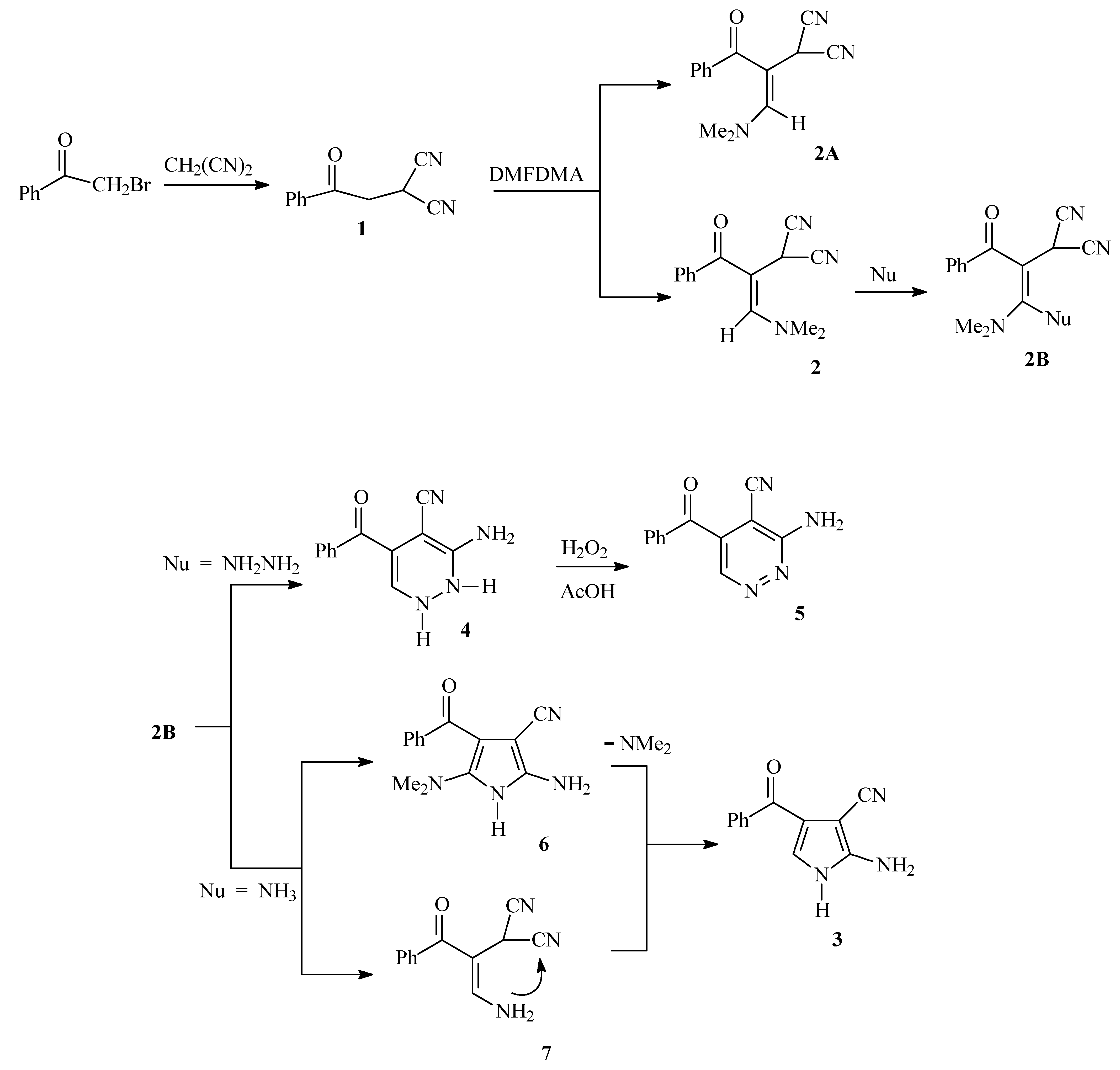
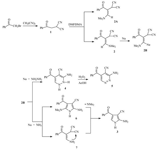
Phenacylmalononitrile has been prepared by treating malononitrile with phenacyl bromide. While the literature procedure [12] afforded the desired product in 79 % yield, reaction of phenacyl bromide with malononitrile in ethanolic potassium hydroxide solution gave 2-(2-oxo-2-phenylethyl) malononitrile (1) in 85% yield. Heating phenacyl bromide and malononitrile in the presence of potassium hydroxide solution in a microwave oven at 85 °C gave an 80% yield of the target product. Reaction of 1 with dimethylformamide dimethyl acetal afforded 2-(3-(dimethylamino)-1-oxo-1-phenylprop-2-en-2-yl) malononitrile (2) in 75% yield. Although 2 may also exist in the Z form, only 2 (the E form) was isolated according to the NMR NOE difference which indicated that the olefinic proton at δ = 8.44 ppm is not sterically proximal to the methylene proton at δ = 7.10 ppm. Refluxing 2 in acetic acid in presence of ammonium acetate afforded the aminopyrrole carbonitrile 3 in 60% yield. On the other hand, reaction of 2 with hydrazine hydrate afforded the aminopyridazine 4 that was readily oxidized to 5 upon treatment with H2O2 in acetic acid (Scheme 1). It is assumed that initially ammonia adds across the double bond in 2 to yield an intermediate that then looses dimethylamine or alternatively, initially losses dimethylamine and then cyclizes to form 4 (Scheme 1).
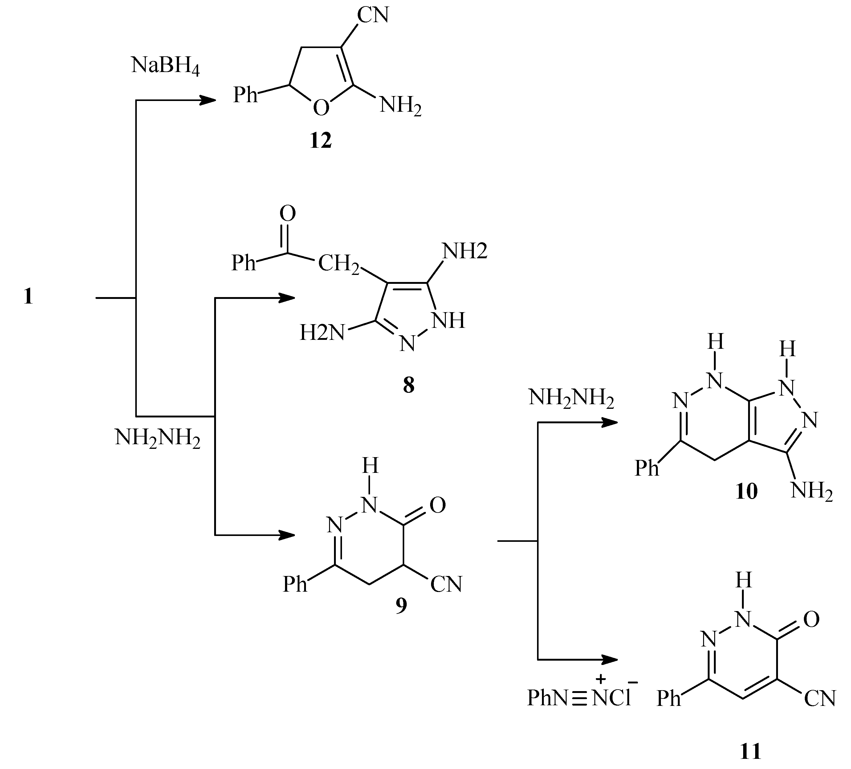
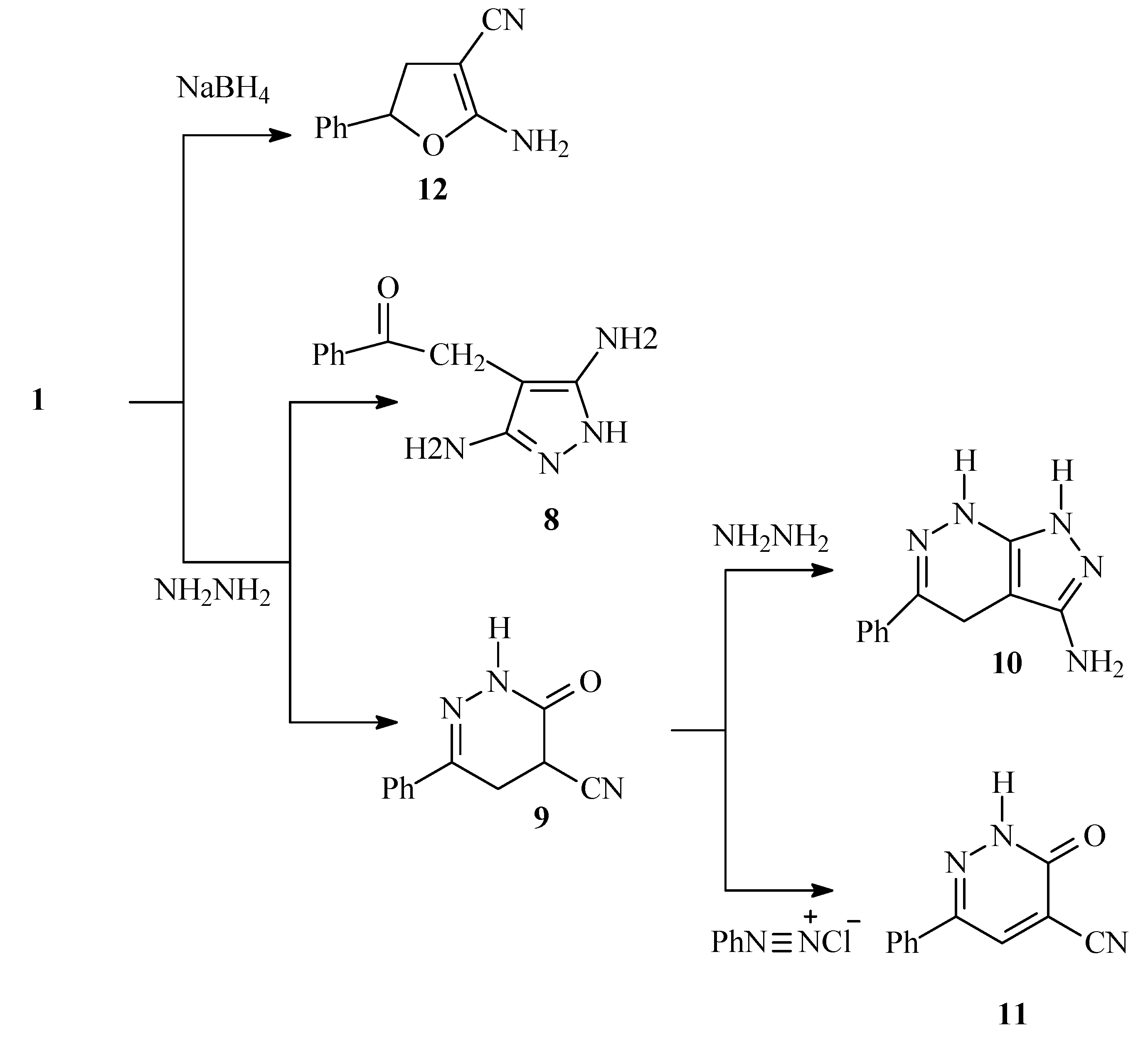
It has been previously reported by Abdelrazek et al [12] that (2-oxo-2-phenylethyl) malononitrile (1) reacts with hydrazine hydrate to yield 4-phenacylpyrazole-3,5-diamine (8). Subsequently Elnagdi et al [13] have shown that the major product of this reaction was in fact the 3-oxo-6-phenyl-2,3,4,5-tetrahydropyridazine-4-carbonitrile (9). Very recently Abdelrazek [14] claimed that in ethanolic solution a pyridazineimine was isolated. These should not be possible as water formed during the reaction would readily hydrolyze readily any imine possibly formed. However, they have also indicated that in refluxing ethanol other product was formed in less than 35% yield and assumed it to be 8, reported earlier by Abdelrazek et al. [12]. Now we have found that in ethanol at room temperature 1 reacts with hydrazine hydrate to yield 9 as sole product in 96 % yield. When 9 was refluxed in ethanol with hydrazine hydrate a product of molecular formula C11H11N5 (213.2) was formed. This proved identical with the product obtained by Abdelrazek [12] or the one identified by Elnagdi et al. [13]. It thus became clear that 8 had never been isolated and that product believed earlier to be 8 really must have another structure. After inspection of the spectral and analytical data now wish to assign this product as 5-phenyl-4,7-dihydro-1H-pyrazolo[3,4-c]pyridazin-3-ylamine (10) obtained by further condensation of dihydropyridazine carbonitrile 9 with hydrazine hydrate (Scheme 2). The NMR data of 10 suggest it is in a fast tautomeric equilibrium with the corresponding 2H compound.
Scheme 1. Syntheses of aminopyridazines and aminopyrrole carbonitrile.
Scheme 1. Syntheses of aminopyridazines and aminopyrrole carbonitrile.
Molecules 14 00798 g001
The dihydropyridazine 9 was readily oxidized to 11 on attempted coupling with benzenediazonium chloride. Compound 11 was also obtained upon oxidizing 9 in an AcOH-H2O2 mixture (Scheme 2). Reduction of 1 with sodium borohydride in propanol solution afforded 2-amino-5-phenyl-4,5-dihydrofuran-3-carbonitrile (12) in 60% yield (Scheme 2). This compound has been synthesized earlier [15] in almost the same way, but no spectral data had been reported. 1H-NMR and 13C-NMR of now reported for the first time.
Scheme 2. Synthesis of 5-phenyl-4,7-dihydro-1H-pyrazolo[3,4-c]pyridazin-3-ylamine.
Scheme 2. Synthesis of 5-phenyl-4,7-dihydro-1H-pyrazolo[3,4-c]pyridazin-3-ylamine.
Molecules 14 00798 g002
We next shifted our interest to an exploration of the chemistry of 2-cyano-5-phenyl-3,5-dioxopentanonitrile, reported by Abdelrazek and Salah El-Din [16] to be formed upon refluxing ethyl benzoyl acetate and malononitrile in ethanolic piperidine solution. Unfortunately, in our hands ethyl benzoylacetate did not react with malononitrile under the reported reaction conditions or even more vigorous ones. Thus it is concluded that 2-cyano-5-phenyl-3,5-dioxopentanonitrile could not have been obtained as reported. It is of interest that in the paper 2-cyano-5-phenyl-3,5-dioxopentanonitrile was claimed to be oil and the authors have not reported analytical data.

Conclusions

In summary, we have successfully developed a simple route to pyrroles and pyridazines. Moreover, we could show that product claimed earlier to be 4-phenacyl pyrazole-3,5-diamine (8) is really 5-phenyl-4,7-dihydro-1H-pyrazolo[3,4-c]pyridazin-3-ylamine (10).

Experimental

General

All melting points are uncorrected and were determined on a Sanyo (Gallaenkamp) instrument. Infrared spectra were recorded in KBr on a Perkin-Elmer 2000 FT–IR system.1H-NMR and 13C-NMR spectra were determined on a Bruker DPX spectrometer operating at 400 MHz for 1H-NMR and 100 MHz for 13C-NMR using in CDCl3 or DMSO as solvents and TMS as internal standard; chemical shifts are reported in δ (ppm). Mass spectra were measured on VG Autospec Q MS 30 and MS 9 (AEI) spectrometers, with EI 70 EV. Elemental analyses were measured by means of LEOCHNS-932 Elemental Analyzer. General purpose silica gel on polyester 20 x 20 cm TLC plates with UV indicator were used in TLC experiments.

Synthesis of 2-(2-oxo-2-phenylethyl)malononitrile (1)

A solution of malononitrile (0.66 g, 0.01 mol) and 2-bromo-1-phenylethanone (phenacyl bromide) (1.99 g, 0.01 mol) in ethanol (15 mL) was cooled to 0 oC. Potassium hydroxide (0.84 g, 0.15 mol) was added and the reaction mixture was stirred (followed until completion by TLC using 1:1 ethyl acetate- petroleum ether as eluent). The reaction was carefully quenched with ice-H2O and 1M HCl solution, The solid so formed was collected by filtration and recrystallized from ethanol to give a white product; yield 85 %; mp 160-62 °C; Anal. calcd. for C11H8N2O (184.2): C, 71.73; H, 4.38; N, 15.21. Found: C, 71.68; H, 4.35; N, 15.41; IR (KBr): υmax = 2211 (2CN), 1645 (CO); 1H-NMR (DMSO): δ, ppm = 4.11 (d, 2H, CH2, J = 8 Hz), 5.15 (t, 1H, CH, J = 8 Hz), 7.56-8.02 (m, 5H, Ar-H); 13C-NMR (DMSO): δ, ppm = 194.83, 135.29, 134.69, 129.41 (2C), 128.69 (2C), 114.88 (2CN), 38.75, 18.52. MS: m/z (%) 184 (M+, 50), 105 (100), 77 (70).

Synthesis of 2-(3-(dimethylamino)-1-oxo-1-phenylprop-2-en-2-yl)malononitrile (2)

A mixture of compound 1 (1.84 g, 0.01 mol) and N,N-dimethylformamide dimethyl acetal (DMFDMA, 1.19 g, 0.01 mol) in toluene (10 mL) was refluxed for 4 h. The reaction mixture was evaporated under reduced pressure yielding a crude product, which was recrystallized from toluene to give a light yellow product; yield 75 %; mp 129-30 °C; Anal. calcd. for C14H13N3O (239.2): C, 70.28; H, 5.48; N, 17.56. Found: C, 70.39; H, 5.50; N, 17.44; IR (KBr): υmax = 2208 (2CN), 1633 (CO); 1H-NMR (DMSO): δ, ppm = 3.05 (s, 3H, CH3), 3.14 (s, 3H, CH3), 7.10 (s, 1H, CH), 7.25-7.42 (m, 5H, Ar-H), 8.44 (s, 1H, CH); 13C-NMR (DMSO): δ, ppm = 194.47, 155.33, 134.89, 134.33, 129.43 (2C), 129.04 (2C), 106.93 (2CN), 78.17, 38.31, 37.44, 18.09; MS: m/z (%) 239 (M+, 100), 210 (15), 197 (45), 140 (25), 134 (90), 119 (20), 107 (15), 77 (15), 57 (25).

Synthesis of 2-amino-4-benzoyl-1H-pyrrole-3-carbonitrile (3)

A mixture of compound 2 (2.39 g, 0.01 mol) and ammonium acetate (1 g) in acetic acid (10 mL) was refluxed for 1 h. The mixture cooled and then was poured onto ice-water. The solid thus formed was collected by filtration and recrystallized from petroleum ether to give colorless crystals; yield 60 %; mp 297-98 °C. Anal. calcd. for C12H9N3O (211.2): C, 68.24; H, 4.29; N, 19.89. Found: C, 68.23; H, 4.31; N, 19.79; IR (KBr): υmax = 3350, 3330 (NH2), 3134 (NH), 2220 (CN), 1656 (CO); 1H-NMR (DMSO): δ, ppm = 7.33-7.80 (m, 8H, Ar-H, NH2, D2O exchangeable, NH, D2O exchangeable), 8.18 (s, 1H, CH); 13C-NMR (DMSO): δ, ppm = 189.57, 166.25, 158.65, 154.01, 150.03, 129.23 (2C), 128.76, 124.15 (2C), 102.14, 99.13; MS: m/z (%) 211 (M+, 100), 184 (80), 155 (80), 141 (25), 114 (10), 105 (25), 77 (45).

Synthesis of 3-amino-5-benzoyl-1,2-dihydropyridazine-4-carbonitrile (4)

A mixture of compound 2 (2.39 g, 0.01 mol) and hydrazine hydrate (0.5 g, 0.01 mol) in ethanol (10 mL) was refluxed for 5 h (monitored to completion by TIC using 1:1 ethyl acetate-petroleum ether as eluent). The mixture cooled and then was poured onto ice-water. The solid formed was collected by filtration and recrystallized from ethanol to give a yellow product; yield 65 %; mp 227-29 °C; Anal. calcd. for C12H10N4O (226.2): C, 63.71; H, 4.46; N, 24.76. Found: C, 63.55; H, 4.36; N, 24.89; IR (KBr): υmax = 3409, 3330 (NH2), 3080 (NH), 3060 (NH), 2200 (CN), 1608 (CO); 1H-NMR (DMSO): δ, ppm = 4.76 (br, 2H, NH2, D2O exchangeable), 7.39-7.82 (m, 8H, Ar-H), 8.20 (br, 1H, NH, D2O exchangeable), 9.09 (br, 1H, NH, D2O exchangeable); 13C-NMR (DMSO): δ, ppm = 192, 166.59, 160.54, 158.34, 149.83, 129.30 (2C), 129.18, 124.34 (2C), 109.24, 99.67; MS: m/z (%) 226 (M+, 100), 209 (10), 196 (25), 182 (20), 168 (10), 154 (25), 114 (10), 105 (20), 77 (20).

Synthesis of compound 3-amino-5-benzoylpyridazine-4-carbonitrile (5)

A mixture of 4 (2.26 g, 0.01 mol) and hydrogen peroxide 100% (3 mL) in acetic acid (10 mL) was refluxed for 2 h (followed to completion by TLC using 1:1 ethyl acetate-petroleum ether as eluent). The mixture was cooled and then poured onto ice-water. The solid formed was collected by filtration and recrystallized from ethanol to give a dark yellow product; yield 55 %; mp 148-150 °C; Anal. calcd. for C12H18N4O (226.2): C, 64.28; H,3.60; N, 24.99. Found: C, 64.02; H, 3.81; N, 24.75; IR (KBr): υmax = 3380, 3212 (NH2), 2281 (CN), 1643 (CO); 1H-NMR (DMSO): δ, ppm = 5.56 (br, 2H, NH2, D2O exchangeable), 7.57 -8.12 (m, 5H, Ar-H), 8.35 (s, 1H, CH); 13C-NMR (DMSO): δ, ppm = 191.32, 176.53, 154.54, 143.39, 129.99 (2C), 126.34 (2C), 121.54, 118.46, 111.42, 100.98; MS: m/z (%) 224 (M+, 75), 206 (15), 196 (50), 180 (25), 164 (10), 154 (35), 128 (10), 105 (45), 77 (50).

Syntheses of 3-oxo-6-phenyl-2,3,4,5-tetrahydropyridazine-4-carbonitrile (9) and 5-phenyl-4,7-dihydro-1H-pyrazolo[3,4-c]pyridazin-3-ylamine (10).

Procedure 1: A mixture of compound 1 (1.84 g, 0.01 mol) and hydrazine hydrate (0.50 g, 0.01 mol) in ethanol (10 mL) was stirred for 8 h at room temperature (followed by TLC until completion using ethyl acetate-petroleum ether 1:1 as eluent). The reaction mixture was poured onto ice-water. The solid product formed was collected by filtration and crystallized from ethanol to give white product 9 in 90% yield.
Procedure 2: A mixture of compound 1 (1.84 g, 0.01 mol) and hydrazine hydrate (0.50 g, 0.01 mol) in ethanol (10 mL) was refluxed for 5 h (followed by TLC until completion using ethyl acetate-petroleum ether 1:1 as eluent). The reaction mixture was cooled and poured onto ice-water. The solid product thus formed was collected by filtration and washed with hot ethanol to extract the white product 9. The residue was crystallized from N,N-dimethylformamide (DMF) to yield purple crystals of 10.
Compound 9: Yield 35 %; mp 253-55 °C. Anal. calcd. for C11H9N3O (199.2): C, 66.32; H, 4.55; N, 21.09. Found: C, 66.54; H, 4.32; N, 21.30. IR (KBr): υmax = 3234 (NH), 2154 (CN), 1693 (CO); 1H-NMR (DMSO): δ, ppm = 3.27 (dd, 1H, J = 12.6, 6.0), 3.59 (dd, 1H, J = 12.6, 6.0), 4.50 (dd, 1H, J = 13.2, 6.0), 7.45-7.79 (m, 5H, Ar-H), 11.49 (br, 1H, NH, D2O exchangeable); 13C-NMR (DMSO): δ, ppm = 159.81, 148.66, 134.91, 129.91, 126.99 (2C), 125.75 (2C), 116.92 (CN), 29.90, 25.61; MS: m/z (%) 199 (M+, 100), 170 (15), 155 (15), 140 (15), 115 (25), 103 (80), 77 (35).
Compound 10: Yield 65 %; mp 288-90 °C. Anal. calcd. for C11H11N5 (213.2): C, 61.96; H, 5.20; N, 32.84. Found: C, 61.77; H, 5.32; N, 32.65. IR (KBr): υmax = 3159, 3012 (NH2), 3012 (NH), 2983 (NH); 1H-NMR (DMSO): δ, ppm = 3.57 (s, 2H, 4-H), 7.33 (m, 1H, p-H, phenyl), 7.39 (m, 2H, m-H, phenyl), 7.70 (m, o-H, phenyl), 10.11 (br. s, 1H, 7-H, D2O exchangeable), the other NH signals are too broad to be localized; 13C-NMR (DMSO): δ, ppm = 154.1, 146.7 (C-5), 138.0 (br., C-3a and C-7a), 137.8 (i-C), 128.3 (m-C), 128.1 (p-C), 124.7 (o-C), 77.7 (C-3a), 21.3 (C-4); MS: m/z (%) 214 (M+, 100), 185 (35), 171 (15), 141 (15), 115 (25), 77 (35).

Synthesis of 3-Oxo-6-phenyl-2,3-dihydropyridazine-4-carbonitrile (11)

A cold solution of phenyldiazonium chloride (0.01 mol) was prepared by adding a solution of sodium nitrite (0.7 g into 10 mL H2O) to a cold solution of aniline hydrochloride (0.93 g, 0.01 mol of aniline in 5 mL concentrated HC1) with stirring at room temperature. The resulting solution of phenyldiazonium chloride was then added to a cold solution of compound 9 (1.99 g, 0.01 mol) in ethanol (50 mL) containing sodium acetate (2 g). The reaction mixture was stirred for 1 hr. The solid product formed was collected by filtration and crystallized from ethanol to give a yellow product, yield 70 %; mp 295-97 °C. Anal. calcd. for C11H7N3O (197.2): C, 67.00; H, 3.58; N, 21.31. Found: C, 66.98; H, 3.92; N, 21.65. IR (KBr): υmax = 3217 (NH), 2233 (CN), 1664 (CO); 1H-NMR (DMSO): δ, ppm = 7.46-7.91 (m, 5H, Ar-H), 8.85 (s, 1H, CH), 14.04 (br, 1H, NH, D2O exchangeable); 13C-NMR (DMSO): δ, ppm = 158.78, 148.35, 142.99, 138.34, 135.90, 130.34 (2C), 128.22 (2C), 119.26, 114.66. MS: m/z (%) 197 (M+, 100), 169 (65), 140 (95), 114 (35), 102 (40), 77 (35), 63 (20).

Synthesis of 2-amino-5-phenyl-4,5-dihydrofuran-3-carbonitrile (12)

A solution of compound 1 (1.84 g, 0.01 mol) in isopropanol (5 mL) was cooled to 0 oC. Sodium borohydride (0.756 g, 0.02 mol) was added and the reaction mixture was stirred for several hours (followed by TLC using ethyl acetate-petroleum ether 1:1 as eluent). If any starting compound was present, more sodium borohydride (up to 0.6 equivalents) was added. The reaction was carefully quenched with ice-H2O and 1M HCl solution, extracted with dichloromethane, filtered, and concentrated. The crude product was recrystallized from petroleum ether bp 60-80°C to give colorless crystals; yield 60 %; mp 116-18 °C. Anal. calcd. for C11H10N2O (186.21): C, 70.95; H, 5.41; N, 15.04. Found: C, 71.05; H, 5.36; N, 14.84. IR (KBr): υmax = 3321, 3267 (NH2), 2187 (CN); 1H-NMR (CDCl3): δ, ppm = 2.93 (dd, 1H, J = 12.4, 8), 3.313 (dd, 1H, J = 12.0, 8.0), 4.84 (br, 2H, NH2, D2O exchangeable), 5.64 (dd, 1H, J = 12.4, 8.0), 7.28-7.44 (m, 5H, Ar-H); 13C-NMR (DMSO): δ, ppm = 167.67, 140.60, 128.57 (2C), 128.23, 125.66 (2C), 119.98, 82.28, 46.39, 36.60. MS: m/z (%) 186 (M+, 100), 169 (45), 143 (80), 115 (95), 106 (15), 77 (45), 63 (15).

Acknowledgements

The authors are grateful to Kuwait University Research Administration for the financial support of project SC10/06 and for SAF facilities project GS01/02 and GS03/01.

References

  1. Freeman, F. Chemistry of malononitrile. Chem. Rev. 1969, 69, 591. [Google Scholar] [CrossRef]
  2. Fatiadi, A. J. New applications of malononitrile in organic chemistry-part I. Synthesis 1978, 165. [Google Scholar] [CrossRef]
  3. Freeman, F. Properties and reactions of ylidenemalononitriles. Chem. Rev. 1980, 80, 329. [Google Scholar] [CrossRef]
  4. Evdokimov, N.M.; Kireev, A. S.; Yakovenko, A.A.; Antipin, M.Y.; Magedov, I.V.; Kornienko, A. One-step synthesis of heterocyclic privileged medicinal scaffolds by a multicomponent reaction of malononitrile with aldehydes and thiols. J. Org. Chem. 2007, 72, 3443. [Google Scholar] [CrossRef]
  5. Ranu, B.C.; Jana, R.; Sowmiah, S. An improved procedure for the three-component synthesis of highly substituted pyridines using ionic liquid. J. Org. Chem. 2007, 72, 3152. [Google Scholar]
  6. Elnagdi, M.H.; Abdoula, S.O. Reactions with the arylhydrazones of some α-cyanoketones. J. Prakt. Chem. 1973, 315, 1009. [Google Scholar] [CrossRef]
  7. Elnagdi, M. H. Reactions with β-cyanoethylhydrazine—I: A route for the preparation of pyrazolo[1.5-a]pyrimidines and pyrrolo[1.2-b]pyrrazoles. Tetrahedron 1974, 30, 2791. [Google Scholar] [CrossRef]
  8. Elnagdi, M.H.; Elmoghayer, M.R.H.; Hammam, A.E.F.G.; Khallaf, S.A. The reaction of malononitrile with thioglycolic acid. A novel procedure for the synthesis of thiazolone derivatives. J. Heterocycl. Chem. 1979, 16, 1541. [Google Scholar] [CrossRef]
  9. Elnagdi, M.H.; Kandeel, E.M.; Elmoghayer, M.R.H. Studies on 3,5-diamino pyrazoles: chemical behaviour of 4-phenylazo-3,5-diaminopyrazoles. Z. Naturforsch 1977, 32b, 307. [Google Scholar]
  10. Ghozlan, S.A.; El-All, F.A.; Mohamed, M.H.; Elnagdi, M.H. Nitriles in heterocyclic synthesis: Novel synthesis of functionally substituted isoxazoles, pyrazoles, pyrazines and their condensed derivatives. Z. Naturforsch 1986, 41b, 489. [Google Scholar]
  11. Al-Mousawi, S.M.; Moustafa, M.S.; Elnagdi, M.H. Studies with malononitrile derivatives: Synthesis and reactivity of 4-benzylpyrazole-3,5-diamine, 4-benzylisoxazole-3,5-diamine and thiazolidin-3-phenylpropanenitrile. Heterocycles 2008, 75, 1371. [Google Scholar] [CrossRef]
  12. Abdelrazek, F.M.; Erian, A.W.; Hilmy, K.M. Nitriles in heterocyclic synthesis. A novel synthesis of 4-phenacylpyrazole and pyrrolo[2,3-c]pyrazole derivatives. Synthesis 1986, 74. [Google Scholar] [CrossRef]
  13. Elnagdi, M.H.; El-Ghamry, I.; El-Rahman, A.H.A.; Kandeel, E.M. The reaction of phenacylmalononitrile with hydrazines: Synthesis of new pyrida-zinones and of new pyrazolo[1,5-a]pyrimidines. Gazz. Chim. Ital. 1997, 127, 791. [Google Scholar]
  14. Abdelrazek, F.M. Some reactions with ω-bromoacetophenone: Synthesis of new Pyrazole, Pyrrole and Furan Derivatives. J. Prakt. Chem. 2004, 332, 479. [Google Scholar] [CrossRef]
  15. Moiseeva, I.V.; Lukin, P.M.; Nasakin, O.E.; Romanov, V.N.; Tafeenko, V.A.; Bulai, A.K.; Sharbatyan, P.A. Synthesis of 2-amino-3-cyano-4,5-dihydrofurans fromβ,β-dicyano ketones. Khim. Geterot. Soedin. 1990, 7, 991. [Google Scholar]
  16. Abdelrazek, F. M.; Salah El-Din, A. M.; Mekky, A. E. The reaction of ethyl benzoylacetate with malononitrile: a novel synthesis of some pyridazine, pyridazino[2,3-a]quinazoline and pyrrole derivatives. Tetrahedron 2001, 57, 1813. [Google Scholar] [CrossRef]
  • Sample Availability: Samples of compounds 1-12 are available from the authors.

Share and Cite

MDPI and ACS Style

Al-Mousawi, S.M.; Moustafa, M.S.; Meier, H.; Kolshorn, H.; Elnagdi, M.H. Polyfunctional Nitriles in Organic Syntheses: A Novel Route to Aminopyrroles, Pyridazines and Pyrazolo[3,4-c]pyridazines. Molecules 2009, 14, 798-806. https://doi.org/10.3390/molecules14020798

AMA Style

Al-Mousawi SM, Moustafa MS, Meier H, Kolshorn H, Elnagdi MH. Polyfunctional Nitriles in Organic Syntheses: A Novel Route to Aminopyrroles, Pyridazines and Pyrazolo[3,4-c]pyridazines. Molecules. 2009; 14(2):798-806. https://doi.org/10.3390/molecules14020798

Chicago/Turabian Style

Al-Mousawi, Saleh M., Moustafa Sherief Moustafa, Herbert Meier, Heinz Kolshorn, and Mohamed Hilmy Elnagdi. 2009. "Polyfunctional Nitriles in Organic Syntheses: A Novel Route to Aminopyrroles, Pyridazines and Pyrazolo[3,4-c]pyridazines" Molecules 14, no. 2: 798-806. https://doi.org/10.3390/molecules14020798

APA Style

Al-Mousawi, S. M., Moustafa, M. S., Meier, H., Kolshorn, H., & Elnagdi, M. H. (2009). Polyfunctional Nitriles in Organic Syntheses: A Novel Route to Aminopyrroles, Pyridazines and Pyrazolo[3,4-c]pyridazines. Molecules, 14(2), 798-806. https://doi.org/10.3390/molecules14020798

Article Metrics

Back to TopTop