A Microwave-Assisted and Heteropolyacids-Catalysed Cyclocondensation Reaction for the Synthesis of 4(3H)-Quinazolinones
Abstract
:Introduction

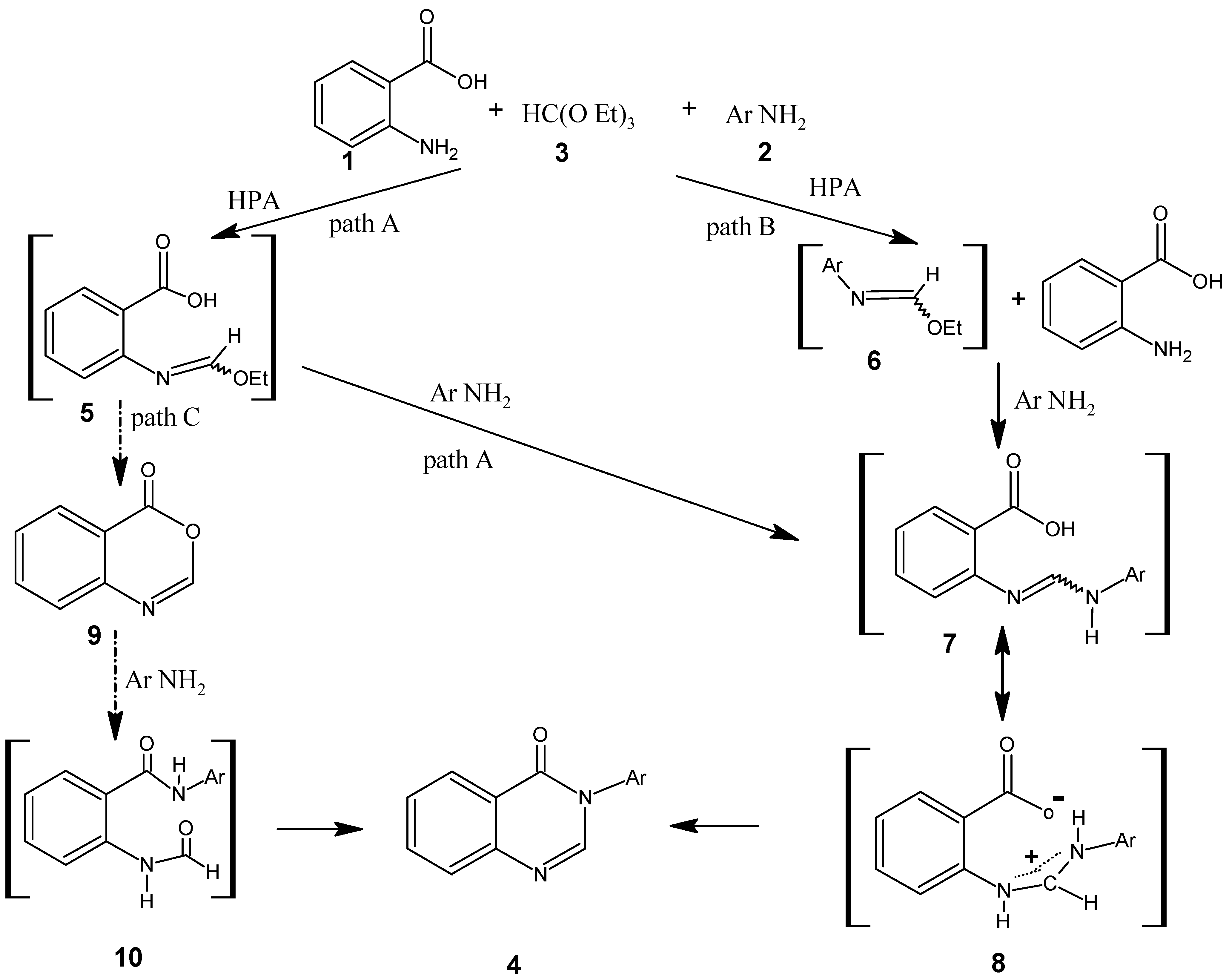
Results and Discussion
| Catalysta | Reactant | Conventional Heatingb | Microwave Irradiationc | |||
|---|---|---|---|---|---|---|
| With solventd | Solvent-free | |||||
| Yield (%)e | Yield (%)e | T(°C)g | Yield (%)e | T (°C)g | ||
| HC(OCH3)3 | 70 | 57 | 130 | 70 | 163 | |
| PW12 | HC(OC2H5)3 | 75 | 70 | 126 | 75 | 166 |
| HCO2H | 55 | -f | - | 67 | 165 | |
| HC(OCH3)3 | 63 | 48 | 130 | 65 | 160 | |
| SiW12 | HC(OC2H5)3 | 68 | 55 | 125 | 68 | 164 |
| HCO2H | 48 | - f | - | 60 | 165 | |
| HC(OCH3)3 | 54 | 43 | 132 | 65 | 156 | |
| PMo12 | HC(OC2H5)3 | 56 | 55 | 127 | 65 | 164 |
| HCO2H | 40 | - f | - | 56 | 163 | |
| HC(OCH3)3 | 43 | 47 | 135 | 60 | 155 | |
| SiMo12 | HC(OC2H5)3 | 49 | 50 | 128 | 60 | 165 |
| HCO2H | 36 | - f | - | 52 | 164 | |
- a
- catalyst amount: 1.2 mol%
- b
- with 25 mL of toluene at reflux [120 min, T(°C)= 110]
- c
- microwave irradiation was carried out in two stages: first, activation for 3 min at 300 watts and then, 10 min at 450 watts
- d
- 5 mL of 2-ethoxyethanol
- e
- isolated yield
- f
- invalid result
- g
- temperature measurement by IR-thermometer
| Substrate ratio a | HC(OCH3)3 | HC(OC2H5)3 | ||
|---|---|---|---|---|
| Yield of 4a (%)b | T(°C)c | Yield of 4a (%)b | T (°C)c | |
| 1.0 / 1 | 42 | 163 | 62 | 166 |
| 1.2 / 1 | 48 | 160 | 66 | 162 |
| 1.4 / 1 | 63 | 160 | 77 | 168 |
| 1.6 / 1 | 46 | 157 | 61 | 166 |
| 1.8 / 1 | 45 | 163 | 72 | 170 |
| 2.0 / 1 | 44 | 165 | 56 | 176 |
- a
- ortho ester/anthranilic acid ratio
- b
- solvent-free conditions and microwave irradiation as described in Table 1
- c
- temperature measurement by IR-thermometer

| ArNH2 (2a-g) | Products | Yield (%) | mp (°C) | lit. mp (°C)a | T (°C)b |
|---|---|---|---|---|---|
| C6H5 | 4a | 77 | 139 | 139 | 168 |
| 4-MeOC6H4 | 4b | 80 | 194 | 194 | 132 |
| 4-MeC6H4 | 4c | 80 | 147 | 147 | 133 |
| 3-MeOC6H4 | 4d | 65 | 159 | 195 | 130 |
| 4-ClC6H4 | 4e | 55 | 181 | 182 | 142 |
| 4-BrC6H4 | 4f | 60 | 186 | 186 | 140 |
| 2,4-Cl2C6H3 | 4g | 50 | 230-236 | - | 145 |
| 3,4-Cl2C6H3 | 4h | 45 | 160-166 | - | 141 |
| 2,6-Cl2C6H3 | 4i | 30 | 252 | - | 148 |
| 2,5-Cl2C6H3 | 4j | 35 | 145 | - | 146 |
- (a)
- Comparison between conventional heating and microwave irradiation revealed a specific and strong microwaves effect since, under conventional heating the reaction occurred in a very limited extension. After 60 min, thermal reaction did not allow to produce any quinazolinones 4, the optimal yields were reached after 120 min of heating. By contrast, quinazolinones 4 were obtained after only 13 min of microwave irradiation.
- (b)
- In microwave irradiation, thermal energy is generated in situ due to the interaction of polar molecules or ionic species with the electric field. So, the power range was set to 450 W, in order to avoid an overheating that may induce products degradation.
- (c)
- A crucial role for acid during the cyclocondensation step cannot be excluded since we obtained very low yields in all reactions carried without acid.
- (d)
- The reactions performed under solvent-free conditions allowed the observation of microwave effects, i.e. higher yields and higher measured temperatures.

Conclusions
Experimental
General

General Procedure for the preparation of 4(3H)-quinazolinones 4a-j
References and Notes
- Pereira, M. F.; Chevrot, R.; Rosenfeld, E.; Thiery, V.; Besson, T. Synthesis and evaluation of the antimicrobial activity of novel quinazolinones. J. Enzym. Inhib. Med. Chem. 2007, 22, 577–583. [Google Scholar] [CrossRef]
- Kacker, I. K.; Zaheer, S. H. Potential analgesics.1. Synthesis of substituted 4-quinazolinones. J. Indian Chem. Soc. 1951, 28, 344–346. [Google Scholar]
- Brumas, B. V.; Fiallo, M. M. L.; Berthon, G. Copper(II) interactions with non-steroidal anti-inflammatory reagents. J. Inorg. Biochem. 2006, 100, 362–373. [Google Scholar] [CrossRef]
- Tamaoki, S.; Yamauchi, Y.; Nakano, Y.; Sakano, S.; Asagarasu, A.; Sato, M. Pharmacological properties of 3-amino-5,6,7,8-tetrahydro-2-{4-[4-(quinolin-2-yl) piperazin-1-yl]butyl}quinazolin-4(3H)-one (TZB-30878), a novel therapeutic agent for diarrhea-predominant irritable bowel syndrome (IBS) and its effects on an experimental IBS model. J. Pharm. Exp. Ther. 2007, 322, 1315–1323. [Google Scholar] [CrossRef]
- Welch, W. M.; Ewing, F. E.; Huang, J.; Menniti, F.S.; Pagnozzi, M. J.; Kelly, K.; Seymour, P. A.; Guanowsky, V.; Guhan, S.; Guinn, M. R.; Critchett, D.; Lazzro, J.; Ganong, A. H.; DeVries, K. M.; Staigers, T. L.; Chenard, B. L. Atropisomeric quinazolin-4-one derivatives are potent noncompetitive α-amino-3-hydroxy-5-methyl-4-isoxazolepropionic acid (AMPA) receptor antagonists. Bioorg. Med. Chem. Lett. 2001, 11, 177–181. [Google Scholar]
- Saleh, M.; Hafez, Y.; Abdel-Hay, F.; Gad, G. Synthesis and biological activities of some new 3H-quinazolin-4-one derivatives derived from 3-phenylamino-2-thioxo-3H-quinazolin-4-one. Phosphorus, Sulfur Silicon Relat. Elem. 2004, 179, 411–426. [Google Scholar] [CrossRef]
- Errede, L. A.; MeBrady, J. J.; Oien, H. T. Acylanthranils. 4 The effect of steric hindrance on selectivity in the reaction of amines with acetylanthranil. J. Org. Chem. 1977, 42, 656–658. [Google Scholar] [CrossRef]
- Witt, A.; Bergman, J. Synthesis of reactions of some 2-vinyl-3H-quinazolin-4-ones. Tetrahedron 2000, 56, 7248–7253. [Google Scholar]
- Kidwai, M.; Rastogi, S.; Mohan, R. A novel route to the Niementowsky reaction. Croat. Chem. Acta 2003, 76, 365–369. [Google Scholar]
- Liu, J. F.; Lee, J.; Dalton, M. A.; Bi, G.; Yu, L.; Baldino, C. M.; McElory, E.; Brown, M. Microwave-assisted one-pot synthesis of 2,3-disubstituted 3H-quinazolin-4-ones. Tetrahedron Lett. 2005, 46, 1241–1244. [Google Scholar]
- Dandia, A.; Singh, R.; Sarawgi, P. Green chemical multi-component one-pot synthesis of fluorinated 2,3-disubstituted quinazolin-4(3H)-ones under solvent free conditions and their anti-fungal activity. J. Fluor. Chem. 2005, 126, 307–312. [Google Scholar] [CrossRef]
- Rad- Moghadam, K and S.; Khajavi, M. One pot synthesis of substituted Quinazolin-4(3H)-ones under microwave irradiation. J. Chem. Res. (S) 2006, 702–703. [Google Scholar]
- Rad-Moghadam, K.; Mohseni, M. An expeditious and solvent-free route to the synthesis of 2-substituted quinazolin-4(3H)-ones under microwave conditions. J. Chem. Res. 2003, 487–488. [Google Scholar] [CrossRef]
- Connolly, D.J.; Cusack, D.; O’Sullivan, T.P.; Guiry, P.J. Synthesis of quinazolinones and quinazolines. Tetrahedron 2005, 61, 10152–10202. [Google Scholar]
- Kostakis, I.K.; Elomri, A.; Seguin, E.; Iannelli, M.; Besson, T. Rapid synthesis of 2,3-disubstituted-quinazolin-4-ones enhanced by microwave-assisted decomposition of formamide. Tetrahedron Lett. 2007, 48, 6609–6613. [Google Scholar]
- Wang, L.; Xia, J.; Qin, F.; Qian, C.; Sun, J. Yb(OTf)3-catalyzed one-pot synthesis of quinazolin-4(3H)-ones from anthranilic acid, amines and orthoesters (or formic acid) in solvent-free conditions. Synthesis 2003, 1241–1247. [Google Scholar]
- Adharvana Chari, M.; Shobha, D.; Mulkkanti, K. Silica gel/FeCl3: An efficient and recyclable heterogenous catalyst for one step synthesis of 4(3H)-quinazolinones under solvent free conditions. Catal. Commun. 2006, 7, 787–790. [Google Scholar]
- Khosropour, R. A.; Mohammadpoor-Baltork., I.; Ghorbankhani, H. Bi(TFA)3-[nbp]FeCl4: a new, efficient and reusable promoter system for the synthesis of 4(3H)-quinazolinone derivatives. Tetrahedron Lett. 2006, 47, 3561–3564. [Google Scholar] [CrossRef]
- Lingaiah, V. B.; Ezikiel, G. T. Yakaiah; Reddy, V. G.; Rao, P. S. Nafion-H: An Efficient and Recyclable Heterogeneous Catalyst for the One-Pot Synthesis of 2,3-Disubstituted 4(3H)- Quinazolinones under Solvent-Free Microwave Irradiation Conditions. Synlett 2006, 2507–2509. [Google Scholar]
- Narasimhulu, M.; Mahesh, K. C.; Reddy, T. S.; Rajesh, K.; Venkateswarlu, Y. Lanthanum (III) nitrate hexahydrate or p-toluenesulfonic acid catalyzed one-pot synthesis of 4(3H)-quinazolinones under solvent-free conditions. Tetrahedron Lett. 2006, 47, 4381–4383. [Google Scholar] [CrossRef]
- Kozhevnikov, I.V. Catalysts for Fine Chemical Synthesis, Vol. 2, Catalysis by Polyoxometalates. Wiley: New York, 2002; pp. 61–109. [Google Scholar]
- Timofeeva, M. N. Acid catalysis by heteropoly acids. Appl. Catal. A 2003, 256, 19–35. [Google Scholar] [CrossRef]
- Rafiee, E.; Jafari, H. A pratical and green approach towards synthesis of dihydropyrimidinones: using hetropolyacids as efficient catalysts. Bioorg. Med. Chem. Lett. 2006, 16, 2463–2466. [Google Scholar] [CrossRef]
- Heravi, M. M.; Motamedi, R.; Seifi, N.; Bamoharram, F. F. Catalytic synthesis of 6-aryl-1H-pyrazolo[3,4-d]pyrimidin-4[5H]-ones by heteropolyacid: H14[NaP5W30O110] and H3PW12O40. J. Mol. Catal. A – Chem. 249, 2006, 1–3. [Google Scholar]
- Hedidi, M.; Hamdi, S. M.; Mazari, T.; Boutemeur, B.; Rabia, C.; Chemat, F.; Hamdi, M. Microwave-assisted synthesis of calix[4]resorcinarenes. Tetrahedron 2006, 62, 5652–5655. [Google Scholar] [CrossRef]
- Pope, M. T. Heteropoly and Isopolyoxometallates; Springer: Berlin, 1983. [Google Scholar]
- Nüchter, M.; Ondruschka, B.; Bonrath, W.; Gum, A. Microwave assisted synthesis – a critical technology overview. Green Chem. 2004, 6, 128–141. [Google Scholar] [CrossRef]
- Sample Availability: Contact the authors.
© 2008 by MDPI (http://www.mdpi.org). Reproduction is permitted for noncommercial purposes.
Share and Cite
Ighilahriz, K.; Boutemeur, B.; Chami, F.; Rabia, C.; Hamdi, M.; Hamdi, S.M. A Microwave-Assisted and Heteropolyacids-Catalysed Cyclocondensation Reaction for the Synthesis of 4(3H)-Quinazolinones. Molecules 2008, 13, 779-789. https://doi.org/10.3390/molecules13040779
Ighilahriz K, Boutemeur B, Chami F, Rabia C, Hamdi M, Hamdi SM. A Microwave-Assisted and Heteropolyacids-Catalysed Cyclocondensation Reaction for the Synthesis of 4(3H)-Quinazolinones. Molecules. 2008; 13(4):779-789. https://doi.org/10.3390/molecules13040779
Chicago/Turabian StyleIghilahriz, Karima, Baya Boutemeur, Fariza Chami, Cherifa Rabia, Maâmar Hamdi, and Safouane M. Hamdi. 2008. "A Microwave-Assisted and Heteropolyacids-Catalysed Cyclocondensation Reaction for the Synthesis of 4(3H)-Quinazolinones" Molecules 13, no. 4: 779-789. https://doi.org/10.3390/molecules13040779
APA StyleIghilahriz, K., Boutemeur, B., Chami, F., Rabia, C., Hamdi, M., & Hamdi, S. M. (2008). A Microwave-Assisted and Heteropolyacids-Catalysed Cyclocondensation Reaction for the Synthesis of 4(3H)-Quinazolinones. Molecules, 13(4), 779-789. https://doi.org/10.3390/molecules13040779
