Next Article in Journal
Synthesis and Structure of New 3,3,9,9-Tetrasubstituted-2,4,8,10-Tetraoxaspiro[5.5]undecane Derivatives
Previous Article in Journal
Use of Liquid Chromatography with Electrochemical Detection for the Determination of Antioxidants in Less Common Fruits
 
 
Font Type:
Arial Georgia Verdana
Font Size:
Aa Aa Aa
Line Spacing:
Column Width:
Background:
Article

Microwave Accelerated Aza-Claisen Rearrangement

Institute of Chemical Sciences, Department of Organic Chemistry, P. J. Šafárik University, Moyzesova 11, SK-040 01 Košice, Slovak Republic
*
Author to whom correspondence should be addressed.
Molecules 2008, 13(11), 2837-2847; https://doi.org/10.3390/molecules131102837
Submission received: 7 October 2008 / Revised: 28 October 2008 / Accepted: 4 November 2008 / Published: 14 November 2008

Abstract

:
A study of microwave-induced and standard thermal Overman rearrangement of selected allylic trichloroacetimidates 1a-1f, 6-8 to the corresponding acetamides 2a-2f, 9- 11 is reported. The microwave-assisted rearrangement of trifluoroacetimidate 13 is also described. Using this methodology, an efficient access to versatile allylic trihaloacetamides building synthons was established.

Introduction

The [3,3]-sigmatropic rearrangement of allylic trihaloacetimidates into allylic trihaloacetamides is a useful methodology for the synthesis of nitrogen containing compounds such as amino acids [1,2,3], modified nucleosides [4,5] or other complex biologically interesting products [6,7,8,9]. This transformation is very often involved as the key step in the synthetic approaches and can be accomplished either at elevated temperatures or catalyzed by metal salts such as Hg(OCOCF3)2 [10,11], PdCl2 complexes [12,13] and new Pt(II), Pt(IV), Au(I) and Au(III) catalysts [14] under very mild reaction conditions.
A significant acceleration of aza-Claisen rearrangements was observed using microwave irradiation [15]. This fact eliminated problems with previously required high temperatures and extended reaction times, and also reduced decomposition of the starting materials and products.

Results and Discussion

In this communication, we wish to report on microwave-assisted thermal Overman rearrangement of some selected allylic trihaloacetimidates 1a-f, 6-8, 13 that are derived either from simple allylic alcohols, amino acids or the modified sugars, respectively, and thus illustrate the potential of microwave irradiation to accelerate this reaction.
Scheme 1. Microwave accelerated Overman rearrangement of simple aliphatic imidates.
Scheme 1. Microwave accelerated Overman rearrangement of simple aliphatic imidates.
Molecules 13 02837 g001
Table 1. Microwave accelerated Overman rearrangement of simple aliphatic imidates.
Table 1. Microwave accelerated Overman rearrangement of simple aliphatic imidates.
EntryR ConditionsTimeYielda (%) 2a-f
1R1= H, R2= H, R3= H (a)Δ, 140 oC, o-xylene [10,15]12 h50
MW, 140 oC, o-xylene, K2CO310 h65
MW, 210 oC, o-xylene, K2CO3b5 min70
2R1= H, R2= H, R3= Me (b)Δ, 110oC, toluene [18]2 h53
Δ, 140 oC, o-xylene, K2CO32 h60
MW, 140 oC, o-xylene, K2CO3 [16]15 min93
MW, 180 oC, o-xylene, K2CO3b [16]8 min89
3R1= H, R2= H, R3= Bu (c)Δ, 140 oC, o-xylene [10]2.5 h74
Δ, 140 oC, o-xylene, K2CO32.5 h75
MW, 140 oC, o-xylene, K2CO3 [16]5 min97
MW, 180 oC, o-xylene, K2CO3b [16]1 min94
4R1= H, R2= H, R3= Pent (d)Δ, 140 oC, o-xylene, K2CO31.5 h97
MW, 140 oC, o-xylene, K2CO35 min92
5R1= Me, R2= Me, R3= H (e)Δ, 140 oC, o-xylene [11]3.5 h48
Δ, 140 oC, o-xylene, K2CO33.5 h80
MW, 140 oC, o-xylene, K2CO3 [16]20 min85
MW, 180 oC, o-xylene, K2CO3b [16]14 min84
6R1= Me, R2= H, R3= Me (f)Δ, 140 oC, o-xylene, K2CO345 min70
MW, 140 oC, o-xylene, K2CO345 min75
aIsolated yield. bMW experiments were performed in the presence of a heating bar, Weflon, Milestone.
Thermally driven [3,3]-sigmatropic rearrangements (Scheme 1) were carried out according to the procedure described by Overman [10]. In the microwave-assisted thermal aza-Claisen rearrangement, the imidate was dissolved in o-xylene, powdered anhydrous K2CO3 [17] (2 mg/mL) was added, and the solution was heated under sealed vessel conditions. The scope of this method was investigated and all synthesized imidates (only imidates 1e and 1f were not characterized and used immediately to avoid problems connected with their instability) in Table 1 were converted to the corresponding trichloroacetamides 2a2f in considerably shorter reaction times, compared to the conventional thermal rearrangement. We have observed that the use of microwave irradiation lead to a substantial reduction of the reaction times (from hours to minutes, Table 1, Entry 1-5). On the other hand, the conversion of 1f to compound 2f was achieved at the same reaction time in the both cases (the microwave-assisted and standard thermal conditions, Table 1, Entry 6).
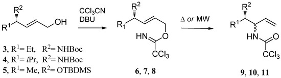
Scheme 2. Microwave accelerated Overman rearrangement of the chiral imidates.
Scheme 2. Microwave accelerated Overman rearrangement of the chiral imidates.
Molecules 13 02837 g002
Table 2. Microwave accelerated Overman rearrangement of the chiral imidates 6, 7, 8 and 13.
Table 2. Microwave accelerated Overman rearrangement of the chiral imidates 6, 7, 8 and 13.
EntryStarting materialConditions TimeYielda (%)
16Δ, 140 oC, o-xylene, de=10% [12]24 h75
MW, 140 oC, o-xylene, K2CO3 de=14% [16]2 h80
MW, 200 oC, o-xylene, K2CO3 de=12% [16]5 min80
27Δ, 140 oC, o-xylene, de=10% [12]24 h69
MW, 140 oC, o-xylene, K2CO3 de=12% [16]2 h71
MW, 200 oC, o-xylene, K2CO3 de=13% [16]5 min68
38Δ, 140 oC, o-xylene, de=2%42 h80
MW, 160 oC, o-xylene, K2CO3 de=2%1 h86
413Δ, 180 °C, o-xylene, K2CO3, de ≈ 20%12 h31
MW, 180 °C, o-xylene, K2CO3, de ≈ 19% 30 min68
MW, 180 °C, o-xylene, de ≈ 18%1 h15
aIsolated yields.
In earlier studies was found that Pd(II)-catalyzed Overman rearrangement of trichloroacetimidates 6, 7 derived from primary allylic alcohols with an adjacent centre of chirality proceeded with an excellent diastereoselectivity (de ≥ 98%) [12]. In the next phase of our work we decided to study whether the described microwave-assisted Overman rearrangement could lead to a certain degree of diastereoselection. The conversion of known allylic alcohols [12,14] into trichloroacetimidates 6-8 was achieved using trichloroacetonitrile and DBU as a base in dichloromethane (Scheme 2). The results of the thermal and microwave induced Overman rearrangements of imidates 6-8 are summarized in Table 2. We have found that microwave irradiation of 6- 8 led to the rearranged products 9, 10 [12] and 11 [14] (as the mixtures of diastereoisomers) with substantial shortening of the reaction times (from 24 h to 5 min) with good yields (Table 2), however, it has shown that in these cases microwave-induced rearrangement had practically no influence on the diastereoselectivity of aza-Claisen rearrangement (Table 2).
Scheme 3. Microwave accelerated Overman rearrangement of the sugar trifluoroacetimidate 13.
Scheme 3. Microwave accelerated Overman rearrangement of the sugar trifluoroacetimidate 13.
Molecules 13 02837 g003
Finally, we have investigated Overman rearrangement of the sugar allylic trifluoroacetimidate 13 under microwave irradiation. Trifluoroacetimidate 13 was prepared from the corresponding allylic alcohol 12 derived from d-glucose [19] by reaction with CF3CN in THF (Scheme 3). Rearrangement of 13 afforded trifluoroacetamide 14 as the mixture of diastereoizomers (de=19%) (Scheme 3). In order to determine the best reaction conditions, a series of the thermally and microwave accelerated rearrangements of imidate 13 was performed. Studies showed that microwave irradiation accelerated of the rearrangement 1314a,b (24 times) in comparison with conventional thermal conditions (Table 2, entry 4) without any improvement in the stereoselectivity. Extension of the reaction time led to the decomposition of product 14.

Conclusions

In summary, a remarkable acceleration of the Overman rearrangemet of allylic trihaloimidates to the corresponding allylic trihaloamides was observed using microwave irradiation conditions. The [3,3]-sigmatropic rearrangement carried out under conventional conditions (reflux temperature of the solvent) required long reaction times and produced moderate yields, usually a result of connected with the decomposition of starting materials. This paper demonstrates the practical usability of microwave acceterated thermal Overman rearrangement for the synthesis of various amides.

Experimental

All commercially available reagents were used without further purification and solvents were dried according to standard procedures. Column chromatography was carried out on Silica Gel 60 (Merck, 0.040-0.063 mm, 230-400 mesh). Analytical thin-layer chromatography (TLC) was performed on Merck silica gel 60 F254 analytical plates; detection was carried out with either UV (254 nm), or spraying with a solution of phosphomolybdic acid, and with a basic solution of KMnO4, with subsequent heating. NMR spectra were recorded at room temperature on a Varian Mercury Plus 400 FT NMR spectrometer (1H at 400.13 MHz and 13C at 100.6 MHz), in CDCl3 as the solvent (unless otherwise noted) with tetramethylsilane as internal reference. For those fully assigned 1H- and 13C-NMR spectra standard NMR (COSY, DEPT, HSQC) experiments were conducted. Optical rotations were measured with a P3002 Krüss polarimeter in chloroform at 25 oC. All moisture-sensitive reactions were performed under a nitrogen atmosphere. Microwave experiments were conducted using a focused microwave system (CEM Discover). Reactions were performed in a glass vessel (10 mL) sealed with a septum. At the end of the reaction the vessels together with their contents were cooled rapidly using a stream of compressed air. The melting points were determined on the Kofler block and are uncorrected.

General procedure for preparation of trichloroacetimidates

To a solution of allyl alcohol in dry dichloromethane were added 1,8-diazabicyclo[5,4,0]undec-7-ene (DBU, 2 eq) and trichloroacetonitrile (2 eq) at 0 oC. The reaction mixture was stirred at 0 oC for 1 h. The insoluble material was removed by filtration and the filtrate was concentrated under reduced pressure to give a residue, which was purified by chromatography on silica gel (cyclohexane-ethyl acetate) to afford corresponding imidates 1a-1d, 6, 7, 8.
O-Allyl-2,2,2-trichloroacetimidate: Allyl alcohol (0.50 g, 8.61 mmol), DBU (2.57 mL, 17.22 mmol), trichloroacetonitrile (1.73 mL, 17.22 mmol) in CH2Cl2 (20 mL) afforded after flash chromatography (cyclohexane-ethyl acetate, 10:1) compound 1a (1.56 g, 89.5%) as a colorless oil; 1H-NMR: δ 4.81 (2H, m, CH2), 5.31 (1H, dd, J=10.5 Hz, J=1.3 Hz, CH2=), 5.44 (1H, ddd, J=17.2 Hz, J=3.1 Hz, J=1.5 Hz, CH2=), 6.03 (1H, ddd, J=17.2 Hz, J=10.5 Hz, J=5.4 Hz, CH=), 8.32 (1H, bs, NH); 13C-NMR: δ 69.6, 109.7, 118.5, 131.4, 162.5; Anal. Calcd. for C5H6Cl3NO (202.47): C 29.66, H 2.99, N 6.91; found C 29.53, H 2.87, N 6.74. The procedure and 1H-NMR spectroscopic data were previously reported [10]. 13C-NMR data have not been reported before [10].
O-(But-3-en-2-yl)-2,2,2-trichloroacetimidate (1b): But-3-en-2-ol (0.50 g, 6.93 mmol), DBU (1.45 mL, 9.70 mmol, 1.4 eq), trichloroacetonitrile (1.04 mL, 10.4 mmol, 1.5 eq) in CH2Cl2 (25 mL) afforded (1.30 g, 87%) of compound 1b after flash chromatography (cyclohexane-ethyl acetate, 5:1) as a pale yellow oil; 1H-NMR: δ 1.44 (3H, d, J=6.5 Hz, CH3), 5.20 (1H, d, J=10.6 Hz, H4), 5.36 (1H, d, J=17.3 Hz, H4), 5.49 (1H, m, H3), 5.94 (1H, m, H2), 8.29 (1H, bs, NH); 13C-NMR: δ 19.4, 75.7, 91.8, 115.9, 136.8, 161.8.; Anal. Calcd. for C6H8Cl3NO (216.49): C 33.29, H 3.72, N 6.47; found C 33.10, H 3.45, N 6.28. The procedure and 1H-NMR spectroscopic data have been reported [18]. 13C-NMR data have not previously been reported [18].
2,2,2-Trichloro-O-(hept-1-en-3-yl)acetimidate (1c): Hept-1-en-3-ol (0.50 g, 4.38 mmol), DBU (1.31 mL, 8.76 mmol), trichloroacetonitrile (0.88 mL, 8.76 mmol) in CH2Cl2 (20 mL) afforded after flash chromatography (cyclohexane-ethyl acetate, 10:1) compound 1c (1.11 g, 98%) as a pale yellow oil; 1H-NMR: δ 0.90 (3H, t, J=6.9 Hz, CH3), 1.38 (4H, m, 2 x CH2), 1.74 (2H, m, CH2), 5.21 (1H, dd, J2,1=10.6 Hz, J1,1=0.7 Hz, H1), 5.36 (2H, m, H1, H3), 5.80 (1H, m, H2), 8.27 (1H, s, NH); 13C-NMR: δ 14.2, 22.6, 27.3, 34.0, 79.7 92.1, 116.8, 135.8, 162.2; Anal. Calcd for C9H14Cl3NO2 (258.57): C 41.76, H 5.41, N 5.41; found C 41.65, H 5.21, N 5.33. The procedure and 1H-NMR spectroscopic data were reported [10]. 13C-NMR data have not previously been reported [10].
2,2,2-Trichloro-O-(oct-1-en-3-yl)acetimidate (1d): Oct-1-en-3-ol (0.50 g, 3.90 mmol), DBU (1.17 mL, 7.8 mmol), trichloroacetonitrile (0.78 mL, 7.80 mmol) in CH2Cl2 (20 mL) afforded after flash chromatography (cyclohexane-ethyl acetate, 10:1) compound 1d (0.90 g, 85%) as a pale yellow oil; 1H-NMR: δ 0.88 (3H, t, J=7.1 Hz, CH3), 1.29-1.47 (6H, m, 3 x CH2), 1.65-1.82 (2H, m, CH2), 5.21 (1H, m, H1), 5.30 (2H, m, H1, H3), 5.86 (1H, m, H2), 8.26 (1H, bs, NH); 13C-NMR: δ 14.2, 79.7, 22.7, 24.8, 31.7, 34.3, 92.1, 116.7, 136.0, 162.2; Anal. Calcd. for C10H16Cl3NO (272.60): C 44.06, H 5.91, N 5.14; found C 43.95, H 5.77, N 5.01.
tert-Butyl N-[(3S,4E)-6-(trichloroacetimidyloxy)hex-4-en-3-yl]carbamate (6): Compound 3 (0.30 g, 1.393 mmol), DBU (0.42 mL, 2.79 mmol), trichloroacetonitrile (0.28 mL, 2.79 mmol) in CH2Cl2 (15 mL) afforded after flash chromatography (cyclohexane-ethyl acetate, 3:1) compound 6 (0.40 g, 80%) as a colorless oil; 1H-NMR: δ 0.92 (3H, t, J=7.4 Hz, CH3), 1.44 (9H, s, 3 x CH3), 1.53 (2H, m, CH2), 4.08 (1H, m, H3), 4.45 (1H, bs, NH), 4.77 (2H, m, H6), 5.79 (2H, m, H4, H5), 8.29 (1H, bs, NH); 13C-NMR: δ 10.1, 28.2, 28.4 (3x), 53.1, 68.9, 79.4, 123.4, 135.8, 155.4, 162.5; Anal. Calcd. for C13H21Cl3N2O3 (359.68): C 43.37, H 5.83, N 7.78; found C 43.01, H 5.64, N 7.64. 1H and 13C-NMR spectroscopic data have not previously been reported [12].
tert-Butyl N-[(3S,4E)-6-(trichloroacetimidyloxy)-2-methylhex-4-en-3-yl]carbamate (7): Compound 4 (0.10 g, 0.436 mmol), DBU (0.13 mL, 0.87 mmol), trichloroacetonitrile (0.087 mL, 0.87 mmol) in CH2Cl2 (10 mL) afforded after flash chromatography (cyclohexane-ethyl acetate, 3:1) compound 7 (0.12 g, 74%) as white crystals; m.p. 42 – 43 oC; 1H-NMR: δ 0.89 (6H, m, 2 x CH3), 1.44 (9H, s, 3 x CH3), 1.78 (1H, m, CH), 4.04 (1H, m, H3), 4.52 (1H, m, NH), 4.80 (2H, m, H6), 5.79 (2H, m, H4, H5), 8.30 (1H, bs, NH); 13C-NMR: δ 18.1, 18.7, 28.4, (3 x C), 32.4, 56.9, 68.9, 79.4, 91.4, 123.9, 134.5, 155.5, 162.4; Anal. Calcd. for C14H23Cl3N2O3 (373.71): C 44.99, H 6.20, N 7.49; found C 44.78, H 6.05, N 7.21. 1H- and 13C-NMR spectroscopic data have not previously been reported [12].
O-[(4S,2E)-4-(tert-Butyldimethylsilyoxy)pent-2-enyl]-2,2,2-trichloroacetimidate (8): Compound 5 (0.35 g, 1.62 mmol), DBU (0.48 mL, 3.24 mmol), trichloroacetonitrile (0.325 mL, 3.24 mmol) in CH2Cl2 (18 mL) afforded compound 8 (0.50 g, 85.5%) as a colorless oil; 1H-NMR: δ 0.05 (3H, s, CH3), 0.06 (3H, s, CH3), 0.89 (9H, s, 3 x CH3), 1.23 (3H, d, J=6.7 Hz, CH3), 4.35 (1H, m, H4), 4.77 (2H, m, H1), 5.86 (2H, m, H2, H3), 8.28 (1H, bs, NH); 13C-NMR: δ -4.8, -4.7, 18.3, 24.1, 25.9 (3 x C), 68.4, 69.1, 121.4, 139.8, 162.5; Anal. Calcd. for C13H24Cl3NO2Si (360.78): C 43.28, H 6.71, N 3.88; found C 43.17, H 6.56, N 3.59. The procedure and 1H-NMR spectroscopic data were reported before [14]. 13C-NMR data have not previously been reported [14].

General procedure for Overman rearrangement

Conventional method (Procedure A): To a solution of imidates in dry solvent (see Table 1 and Table 2) was added anhydrous K2CO3 (1.1 eq). The reaction mixture was heated (for temperatures see Table 1 and Table 2). The solvent was evaporated under reduced pressure and chromatography of the residue on the silica gel (cyclohexane-ethyl acetate) afforded corresponding amides 2a-2f, 9-11, 14 (Table 1 and Table 2). (B1)
Microwave-assisted synthesis (Procedure B): To a solution of the corresponding imidate in o-xylene in a 10 mL glass pressure microwave tube equipped with a magnetic stirrer bar was added anhydrous K2CO3 (1.1 eq) and the tube was closed with a silicon septum. The reaction mixture was subjected to microwave irradiation (power: 300W; for temperatures, reaction times and yields see Table 1 and Table 2). The solvent was removed under reduced pressure and the residue was purified by flash chromatography on silica gel (cyclohexane-ethyl acetate) to give amides 2a-2f, 9-11, 14 (Table 1 and Table 2). (B2)
N-Allyl-2,2,2-trichloroacetamide (2a): Following general procedure A, 1a (0.30 g, 1.48 mmol), K2CO3 (0.23 g, 1.63 mmol) in o-xylene (3 mL) afforded after flash chromatography (cyclohexane-ethyl acetate, 10:1) compound 2a (0.195 g, 65%). 2a: white crystals; m.p. 28 - 32 oC (Ref. [10] m.p. 28–31 oC); 1H-NMR: δ 3.99-4.02 (2H, m, CH2), 5.24-5.32 (2H, m, CH2=), 5.84-5.93 (1H, m, CH=), 6.78 (1H, bs, NH); 13C-NMR: δ 43.6, 92.5, 117.8, 132.2, 161.8; Anal. Calcd. for C5H6Cl3NO (202.46): C 29.66, H 2.98, N 7.90; found C 29.59, H 2.83, N 7.75. The procedure and 1H-NMR spectroscopic data were reported [10]. 13C-NMR data have not previously been reported [10].
N-[(E)-But-2-enyl]-2,2,2-trichloroacetamide (2b): Following general procedure A, 1b (0.10 g, 0.462 mmol), K2CO3 (70.2 mg, 0.508 mmol) in o-xylene (2 mL) afforded after flash chromatography (cyclohexane-ethyl acetate, 10:1) compound 2b (0.093 g, 93%). Following general procedure B, 1b (0.30 g, 1.386 mmol), K2CO3 (0.21 g, 1.525 mmol) in o-xylene (5 mL) afforded after flash chromatography (cyclohexane-ethyl acetate, 10:1) compound 2b (0.18 g, 60%). 2b: white crystals; m.p. 27 - 29 oC (Ref. [10] m.p. 28 – 29 oC); 1H-NMR: δ 1.72 (3H, d, J=6.5 Hz, CH3), 3.91 (2H, m, CH2), 5.50 (1H, m, CH=), 5.74 (1H, m, CH=), 6.68 (1H, bs, NH); 13C-NMR: δ 17.7, 43.3, 109.7, 124.8, 130.3, 161.6; Anal. Calcd. for C6H8Cl3NO (216.49): C 33.26, H 3.72, N 6.47; found C 33.14, H 3.55, N 6.38. The procedure, 1H-NMR and 13C-NMR data spectroscopic data have been reported [18].
2,2,2-Trichloro-N-[(E)-hept-2-enyl]acetamide (2c): Following general procedure A, 1c (0.20 g, 0.773 mmol), K2CO3 (0.117 g, 0.85 mmol) in o-xylene (2 mL) afforded after flash chromatography (cyclohexane-ethyl acetate, 10:1) compound 2c (0.18 g, 90%). Following general procedure B, 1c (0.40 g, 1.55 mmol), K2CO3 (0.236 g, 1.71 mmol) in o-xylene (4 mL) afforded after flash chromatography (cyclohexane-ethyl acetate, 10:1) compound 2c (0.30 g, 75%). 2c: a colorless oil; 1H-NMR: δ 0.90 (3H, t, J=7.1 Hz, CH3), 1.28-1.39 (4H, m, 2 x CH2), 2.02-2.07 (2H, m, CH2), 3.92 (2H, m, CH2); 5.44-5.51 (1H, m, CH=), 5.68-5.76 (1H, m, CH=), 6.67 (1H; bs, NH); 13C-NMR: δ 14.1, 22.4, 31.3, 32.1, 43.6, 92.8, 123.7, 135.9, 161.8; Anal. Calcd. for C9H14Cl3NO2 (258.57): C 41.77, H 5.45, N 5.41; found C 41.63, H 5.24, N 5.35. The procedure and 1H-NMR spectroscopic data were reported before [10]. 13C-NMR data have not previously been reported [10].
(E)-2,2,2-Trichloro-N-(oct-2-enyl)acetamide (2d): Following general procedure A, 1d (0.40 g, 1.47 mmol), K2CO3 (0.224 g, 1.62 mmol) in o-xylene (4 mL) afforded after flash chromatography (cyclohexane-ethyl acetate, 10:1) compound 2d (0.37 g, 92.5%). Following general procedure B, 1d (0.40 g, 1.47 mmol), K2CO3 (0.224 g, 1.62 mmol) in o-xylene (4 mL) afforded after flash chromatography (cyclohexane-ethyl acetate, 10:1) compound 2d (0.39 g, 97.5%). 2d: a colorless oil; 1H-NMR: δ 0.87 (3H, t, J=7.0 Hz, CH3), 1.26-1.40 (6H, m, 3 x CH2), 2.04 (2H, q, J=7.0 Hz, CH2), 3.93 (2H, t, J=5.9 Hz, CH2), 5.46 (1H, m, CH=), 5.73 (1H, m, CH=), 6.69 (1H, bs, NH); 13C-NMR: δ 14.6, 22.7, 28.8, 31.6, 32.4, 43.5, 92.8, 123.6, 135.8, 161.7; Anal. Calcd. for C10H16Cl3NO (272.60): C 44.02, H 5.92, N 5.13; found C 43.90, H 5.84, N 5.04.
2,2,2-Trichloro-N-(2-methylbut-3-en-2-yl)acetamide (2e): Following general procedure A, 1e (0.3 g, 1.30 mmol), K2CO3 (0.198 g, 1.43 mmol) in o-xylene (3 mL) afforded after flash chromatography (cyclohexane-ethyl acetate, 10:1) compound 2e (0.25 g, 83%). Following general procedure B, 1e (0.5g, 2.17 mmol), K2CO3 (0.33 g, 2.39 mmol) in o-xylene (5 mL) afforded after flash chromatography (cyclohexane-ethyl acetate, 10:1) compound 2e (0.40 g, 80%). 2e: white crystals; m.p. 48 – 50 oC (Ref. [11] m.p. 49 – 50 oC); 1H-NMR: δ 1.54 (6H, s, 2 x CH3), 5.17 (2H, m, H4), 6.00 (1H, m, H3), 6.59 (1H, bs, NH); 13C-NMR: δ 26.5 (2 x C), 56.1, 93.4, 113.3, 142.1, 160.4; Anal. Calcd. for C7H10Cl3NO (230.52): C 36.43, H 4.32, N 6.07, found C 36.30, H 4.11, N 5.98. The 1H-NMR spectrum was previously reported [11].
2,2,2-Trichloro-N-[(E)-pent-3-en-2-yl]acetamide (2f): Following general procedure A, 1f (0.10 g, 0.434 mmol), K2CO3 (66 mg, 0.48 mmol) in o-xylene (2 mL) afforded after flash chromatography (cyclohexane-ethyl acetate, 10:1) compound 2f (75 mg, 75%). Following general procedure B, 1f (66 mg, 0.26 mmol), K2CO3 (43.5 mg, 0.315 mmol) in o-xylene (1 mL) afforded after flash chromatography (cyclohexane-ethyl acetate, 10:1) compound 2f (46 mg, 70%) 2f: white crystals; m.p. 57 – 59 oC (Ref. [20] m.p. 60 oC); 1H-NMR (DMSO [20]): δ 1.31 (3H, d, J =6.8 Hz, CH3), 1.71 (3H, m, CH3), 4.43-4.50 (1H, m, H2), 5.43-5.49 (1H, m, CH=), 5.65-5.75 (1H, m, CH=), 6.52 (1H, bs, NH); 13C-NMR (DMSO [20]): δ 17.9, 20.4, 49.0, 93.0, 127.6, 130.76, 161.03; Anal. Calcd. for C7H10Cl3NO (230.52): C 36.44, H 4.37, N 6.07, found C 36.35, H 4.21, N 5.97.
Methyl (Z)-2,3,4-tri-O-benzyl-6,7-dideoxy-8-(trifluoroacetimidyloxy)-α-d-gluco-oct-6-enpyranoside (13): To a suspension of NaH (0.09 g, 2.244 mmol, 60% dispersion in mineral oil, freed of oil with anhydrous THF) in dry THF (3 mL) was added allylic alcohol 12 (1.0 g, 2.04 mmol) in dry THF (5 mL) at 0 °C. The reaction mixture was stirred at 0 °C for 10 min and then treated with gaseous trifluoroacetonitrile (15 g, 0.158 mol, prepared in situ by heating trifluoroacetamide (4.57 g, 0.040 mol) and P2O5 (11.43 g, 0.102 mol) for 2 h at 150 °C). The solid was removed by filtration and solvent evaporated under reduced pressure. The residue was purified by chromatography on silica gel (hexane-ethyl acetate, 3:1) to afford 0.95 g (79.5%) of compound 13 as a pale yellow oil; 1H-NMR: δ 3.27 (1H, dd, J4,3=9.6 Hz, J5,4=9.1 Hz, H4), 3.40 (3H, s, OCH3), 3.52 (1H, dd, J3,2=9.7 Hz, J2,1=3.6 Hz, H2), 3.99 (1H, dd, J3,2=9.7 Hz, J4,3=9.6 Hz, H3), 4.45 (1H, ddd, J5,4=9.1 Hz, J6,5=9.0 Hz, J7,5=1.0, H5), 4.57 (1H, d, J=10.8 Hz, CH2Ph), 4.57 (1H, d, J2,1=3.6 Hz, H1), 4.67 (1H, d, J=12.1 Hz, CH2Ph), 4.70 (1H, ddd, J8,8=11.9 Hz, J8,7=5.4 Hz, J8,6=1.4 Hz, H8), 4.79 (1H, d, J=10.6 Hz, CH2Ph), 4.80 (1H, d, J=12.1 Hz, CH2Ph), 4.82 (1H, J=10.6 Hz, CH2Ph), 4.96 (1H, J=10.8 Hz, CH2Ph), 5.01 (1H, ddd, J8,8=11.9 Hz, J8,7=7.4 Hz, J8,6=1.4 Hz, H8), 5.61 (1H, dddd, J7,6=11.2 Hz, J6,5=9.0 Hz, J8,6=1.4 Hz, J8,6=1.4 Hz, H6) 5.81 (1H, dddd, J7,6=11.2 Hz, J8,7=7.4 Hz, J8,7=5.4 Hz, J7,5=1.0 Hz, H7), 7.22-7.37 (15H, m, Ph), 8.20 (1H, bs, NH); 13C-NMR: δ 55.5, 62.0, 66.8, 73.4, 75.3, 75.8, 79.8, 81.6, 81.9, 98.2, 127.6, 127.7, 127.7, 2x127.8, 127.9, 2x128.0, 2x128.1, 2x128.3, 2x128.4, 2x128.5, 131.2, 138.0, 138.1, 138.6, 157.3, 157.7; Anal. Calcd. for C32H34F3NO6 (585.63): C 65.63, H 5.85, N 2.39; found C 65.59, H 5.80, N 2.31.
Methyl 2,3,4-tri-O-benzyl-6-[(trifluoroacetyl)amino]-7,8-dideoxy-d-glycero-α-d-galacto-oct-7-enpyranoside 14a, Methyl 2,3,4-tri-O-benzyl-6-[(trifluoroacetyl)amino]-7,8-dideoxy-l-glycero-α-d-galacto-oct-7-enpyranoside (14b): Following general procedure A, 13 (0.25 g, 0.43 mmol), K2CO3 (65.4 mg, 0.47 mmol) in o-xylene (2 mL) afforded after flash chromatography (hexane-ethyl acetate, 9:1) compounds 14a and 14b (0.08 g, 32%, see Table 4). Following general procedure B, 13 (0.10g, 0.171 mmol), K2CO3 (26 mg, 0.188 mmol) in o-xylene (2 mL) afforded after flash chromatography (hexane-ethyl acetate, 15:1) compounds 14a and 14b (0.07 g, 70%, see Table 2).
14a: a colorless oil; [α]D25 = -19.6 (c 0.23); 1H-NMR: δ 3.30 (1H, dd, J5,4=10.0 Hz, J4,3=9.2 Hz, H5), 3.33 (3H, s, OCH3), 3.49 (1H, dd, J3,2=9.3 Hz, J2,1=3.6 Hz, H2), 3.76 (1H, dd, J5,4=10.0 Hz, J6,5=1.4 Hz, H5), 4.01 (1H, dd, J3,2=9.3 Hz, J4,3=9.2 Hz, H3), 4.50 (1H, d, J=10.1 Hz, CH2Ph), 4.56 (1H, d, J2,1=3.6. Hz, H1), 4.66 (1H, d, J=12.1 Hz, CH2Ph), 4.82 (1H, d, J=12.1 Hz, CH2Ph), 4.84 (1H, d, J=10.7 Hz, CH2Ph), 4.90 (1H, d, J=10.1 Hz, CH2Ph), 4.97 (1H, ddd, J6,NH=9.4 Hz, J7,6=5.4 Hz, J6,5=1.4 Hz, H6), 5.01 (1H, d, J=10.7 Hz, CH2Ph), 5.23 (1H, dd, J8cis,7=10.3 Hz, J8cis,8trans=1.6 Hz, H8cis), 5.23 (1H, dd, J8trans,7=17.1 Hz, J8trans,8cis=1.6 Hz, H8trans), 5.81 (1H, ddd, J8trans,7=17.1 Hz, J8cis,7=10.3 Hz, J7,6=5.4 Hz, H7), 6.71 (1H, d, J6,NH=9.4 Hz, NH), 7.27-7.39 (15H, m, Ph); 13C-NMR: δ 50.8, 55.4, 71.0, 73.6, 75.6, 75.9, 78.0, 80.0, 81.8, 98.1, 117.2, 127.8, 2x128.0, 4x128.1, 2x128.4, 2x128.5, 4x128.6, 133.8, 137.4, 137.9, 138.2, 156.6, 157.0; Anal. Calcd. for C32H34F3NO6 (585.63): C 65.63, H 5.85, N 2.39; found C 65.56, H 5.79, N 2.32.
14b: a colorless oil; [α]D25 = +30.5 (c 0.19); 1H-NMR: δ 3.35 (3H, s, OCH3), 3.41 (1H, dd, J5,4=10.0 Hz, J4,3=8.9 Hz, H4), 3.48 (1H, dd, J3,2=9.6 Hz, J2,1=3.5 Hz, H2), 3.81 (1H, dd, J5,4=10.0 Hz, J6,5=2.7 Hz, H5), 4.01 (1H, dd, J3,2=9.6 Hz, J4,3=8.9 Hz, H3), 4.57 (1H, J2,1=3.5 Hz, H1), 4.61 (1H, d, J=11.1 Hz, CH2Ph), 4.65 (1H, d, J=12.1 Hz, CH2Ph), 4.78 (1H, d, J=11.1 Hz, CH2Ph), 4.81 (1H, d, J=12.1 Hz, CH2Ph), 4.89 (1H, ddd, J6,NH=9.0 Hz, J7,6=8.2 Hz, J6,5=2.7 Hz, H6), 4.93 (1H, d, J=10.8 Hz, CH2Ph), 4.99 (1H, d, J=10.8 Hz, CH2Ph), 5.25 (1H, dd, J8trans,7=17.1 Hz, J8trans,8cis=1.0 Hz, H8trans), 5.29 (1H, dd, J8cis,7=10.3 Hz, J8trans,8cis=1.0 Hz, H8cis), 5.71 (1H, ddd, J8trans,7=17.1 Hz, J8cis,7=10.3 Hz, J7,6=8.2 Hz, H7), 6.70 (1H, d, J6,NH=9.0 Hz, NH), 7.27-7.39 (15H, m, Ph); 13C-NMR: δ 52.4, 55.5, 71.6, 73.8, 74.7, 76.0, 77.8, 80.1, 82.1, 98.5, 121.4, 2x127.8, 128.0, 128.1, 2x128.2, 3x128.3, 2x128.7, 4x128.8, 131.1, 2x138.1, 138.6, 156.3, 156.7; Anal. Calcd. for C32H34F3NO6 (585.63): C 65.63, H 5.85, N 2.39; found C 65.53, H 5.76, N 2.45

Acknowledgements

The present work was supported by Grant Agency (No. 1/0281/08 and No. 1/3557/06) of the Ministry of Education, the Research and Development Support Agency (APVV No. 20-038405), Slovak Republic and COST Action D32/011/05 Chemistry in High-Energy Microenvironments.

References

  1. Savage, I.; Thomas, E. J. Asymmetric α-Amino acid Synthesis: Synthesis of (+)-Polyoxamic Acid using a [3,3]-Allylic Trifluoroacetimidate Rearrangement. J. Chem. Soc., Chem. Commun. 1989, 717–719. [Google Scholar] [CrossRef]
  2. Kakinuma, K.; Koudate, T.; Li, H.-Y.; Eguchi, T. Enantiocontrol by Intrinsic Antiparallel Double Repulsion on Diacetone-D-Glucose Template. Enantioselective Synthesis of Alanine and Chirally Deuterated glycine. Tetrahedron Lett. 1991, 32, 5801–5804. [Google Scholar] [CrossRef]
  3. Eguchi, T.; Koudate, T.; Kakinuma, K. The Overman rearrangement on a Diacetone-D-Glucose Template: Kinetic and Theoretical Studies on the Chirality Transcription. Tetrahedron 1993, 49, 4527–4540. [Google Scholar] [CrossRef]
  4. Ammenn, J.; Altmann, K.-H.; Belluš, D. Aza-Claisen Rearrangement: Synthesis of 5´-Branched 5´-Aminothymidines. Helv. Chim. Acta 1997, 80, 1589–1606. [Google Scholar] [CrossRef]
  5. Chen, A.; Thomas, E. J.; Wilson, P. D. Stereoselective synthesis of thymine polyoxin C using an allylic trifluoroacetimidate-trifluoroacetamide rearrangement. J. Chem. Soc., Perkin Trans 1 1999, 3305–3310. [Google Scholar] [CrossRef]
  6. Chida, N.; Takeoka, J.; Tsutsumi, N.; Ogawa, S. Total synthesis of (+)-Lactacystin from D-Glucose. J. Chem. Soc., Chem. Commun. 1995, 793–794. [Google Scholar]
  7. Oishi, T.; Ando, K.; Inomiya, K.; Sato, H.; Iida, M.; Chida, N. Total Synthesis of Sphingofungin E from D-Glucose. Org. Lett. 2002, 4, 151–154. [Google Scholar] [CrossRef]
  8. Oishi, T.; Ando, K.; Inomiya, K.; Sato, H.; Iida, M.; Chida, N. Total Synthesis of (+)-Myriocin and (-)-Sphingofungin E from Aldohexoses Using Overman Rearrangement as the Key Reaction. Bull. Chem. Soc. Jpn. 2002, 75, 1927–1947. [Google Scholar] [CrossRef]
  9. Ohyabu, N.; Nishikawa, T.; Isobe, M. First Asymmetric Total Syntheis of Tetrodotoxin. J. Am. Chem. Soc. 2003, 125, 8798–8805. [Google Scholar] [CrossRef]
  10. Overman, L. E. A General Method for the Synthesis of Amines by the Rearrangement of Allylic Trichloroacetimidates. 1,3 Transposition of Alcohol and Amine Functions. J. Am. Chem. Soc. 1976, 98, 2901–2910. [Google Scholar] [CrossRef]
  11. Nagashima, H.; Wakamatsu, H.; Ozaki, N.; Ishii, T.; Watanabe, M.; Tajima, T.; Itoh, K. Transition Metal Catalyzed Radical Cyclization: New Preparative Route to γ-Lactams from Allylic Alcohols via the [3,3]-Sigmatropic Rearrangement of Allylic Trichloroacetimidates and the Subsequent Ruthenium-Catalyzed Cyclization of N-allyltrichloroacetamides. J. Org. Chem. 1992, 57, 1682–1689. [Google Scholar] [CrossRef]
  12. Gonda, J.; Helland, A.-Ch.; Ernst, B.; Belluš, D. Diastereoselective Synthesis of 1,2-Diamines by Palladium Catalyzed Aza-Claisen Rearrangement. Synthesis 1993, 729–733. [Google Scholar]
  13. Anderson, C. E.; Overman, L. E. Catalytic Asymmetric Rearrangement of Allylic Trichloroacetimidates. A Practical Method for Preparing Allylic Amines and Congeners of High Enantiomeric Purity. J. Am. Chem. Soc. 2003, 125, 12412–12413. [Google Scholar] [CrossRef]
  14. Jaunzeme, I.; Jirgensons, A. Ether-directed diastereoselectivity in catalysed Overman rearrangement: Comparative studies of metal catalysts. Tetrahedron 2008, 64, 5794–5799. [Google Scholar]
  15. Takano, S.; Akiyama, M.; Ogasawara, K. A New α-Amino Acid Synthesis via an Acetimidate Rearrangement. J. Chem. Soc., Chem. Commun. 1984, 770–771. [Google Scholar] [CrossRef]
  16. Gonda, J.; Martinková, M.; Zadrošová, A.; Šoteková, M.; Raschmanová, J.; Čonka, P.; Gajdošíková, E.; Kappe, C. O. Microwave accelerated aza-Claisen rearrangements. Tetrahedron Lett. 2007, 48, 6912–6915. [Google Scholar] [CrossRef]
  17. Nishikawa, T.; Asai, M.; Ohyabu, M.; Isobe, M. Improved Conditions for Facile Overman Rearrangement. J. Org. Chem. 1998, 63, 188–192. [Google Scholar] [CrossRef]
  18. Jacobson, M. A.; Williard, P. G. Synthesis of 2,3-Disubstituted Pyrroles from 3,N-Dilithio-N-(tert-butyldimethylsilyl)-2-buten-1-amine. J. Org. Chem. 2002, 67, 32–37. [Google Scholar] [CrossRef]
  19. Chambers, D. J; Evans, G. R.; Fairbanks, A. J. An approach to the synthesis of α-(1-6)-C-disaccharides by tandem Tebbe methylenation and Claisen rearrangement. Tetrahedron 2005, 61, 7184–7192. [Google Scholar] [CrossRef]
  20. Villemin, D.; Hachemi, M. Potassium Fluoride on Alumina: One-Pot Synthesis of N-Allyl Trichloroacetamides by Cascade Condensation-Sigmatropic Rearrangement. Synth. Commun. 1996, 26, 1329–1334. [Google Scholar] [CrossRef]
  • Sample Availability: Samples of compounds 2d, 14a,b are available from the authors.

Share and Cite

MDPI and ACS Style

Gajdošíková, E.; Martinková, M.; Gonda, J.; Conka, P. Microwave Accelerated Aza-Claisen Rearrangement. Molecules 2008, 13, 2837-2847. https://doi.org/10.3390/molecules131102837

AMA Style

Gajdošíková E, Martinková M, Gonda J, Conka P. Microwave Accelerated Aza-Claisen Rearrangement. Molecules. 2008; 13(11):2837-2847. https://doi.org/10.3390/molecules131102837

Chicago/Turabian Style

Gajdošíková, Eva, Miroslava Martinková, Jozef Gonda, and Patrik Conka. 2008. "Microwave Accelerated Aza-Claisen Rearrangement" Molecules 13, no. 11: 2837-2847. https://doi.org/10.3390/molecules131102837

APA Style

Gajdošíková, E., Martinková, M., Gonda, J., & Conka, P. (2008). Microwave Accelerated Aza-Claisen Rearrangement. Molecules, 13(11), 2837-2847. https://doi.org/10.3390/molecules131102837

Article Metrics

Back to TopTop