Variation of Ursolic Acid Content in Eight Ocimum Species from Northeastern Brazil
Abstract
:Introduction

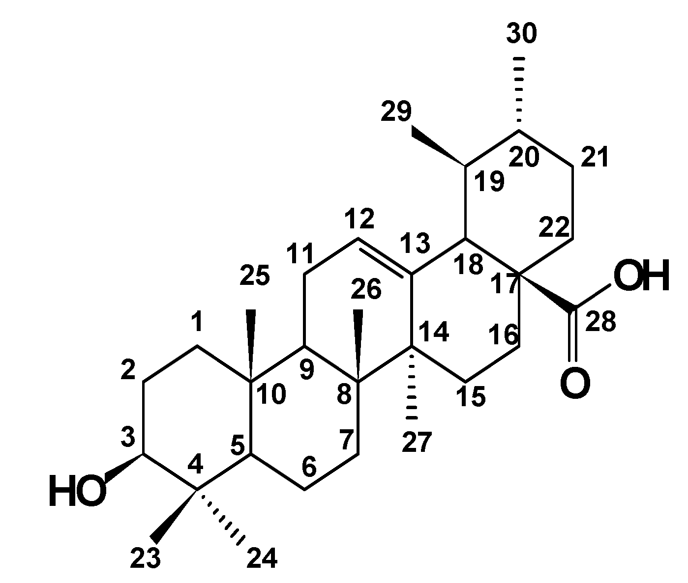
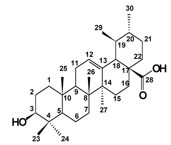
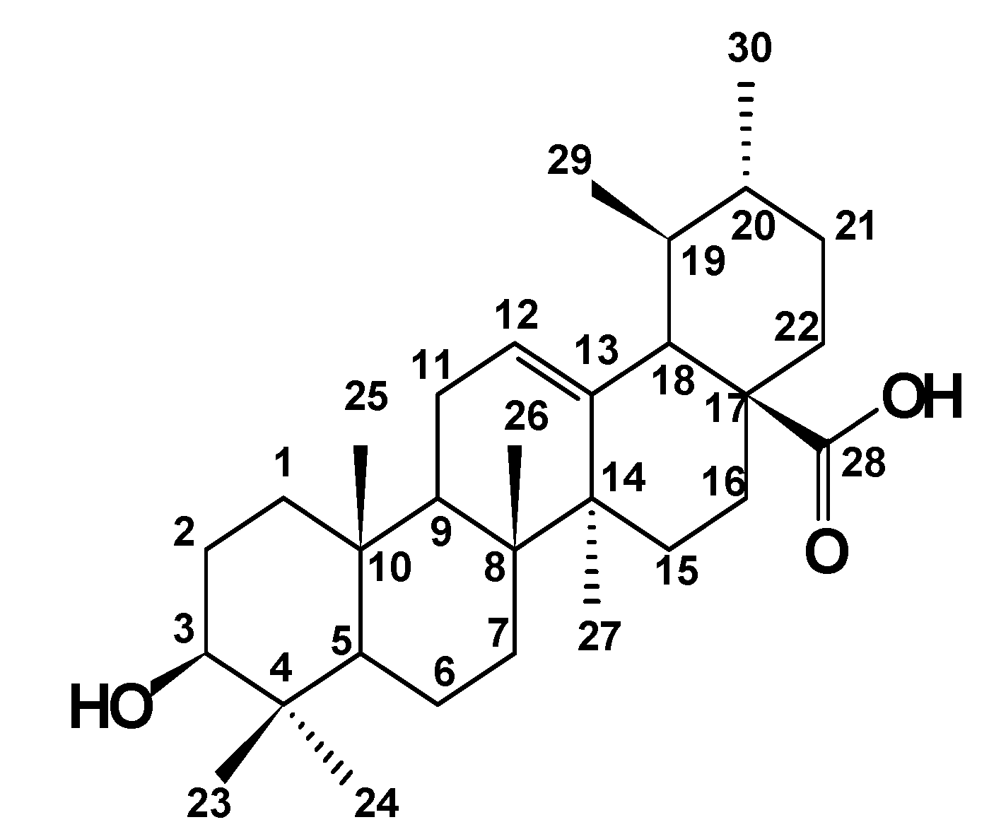
Results and Discussion


| Species | Voucher number | % UA |
|---|---|---|
| Ocimum americanum | 17.611 | 1.03% |
| Ocimum basilicum | 18.670 | 0.29% |
| Ocimum basilicum var. purpurascens | 18.777 | 0.38% |
| Ocimum basilicum var. minimum | 17.611 | 0.27% |
| Ocimum gratissimum | 18.671 | 1.04% |
| Ocimum micranthum | 29.315 | 1.05% |
| Ocimum selloi | 27.020 | 0.45% |
| Ocimum tenuiflorum | 14.949 | 2.02% |
Experimental
General
Plant material
Extraction and Purification
Chromatographis analysis
Acknowledgements
References
- Harmand, P.O.; Duval, R.; Liagre, B.; Jayat-Vignoles, C.; Beneytout, J.L.; Delage, C.; Simonb, A. Ursolic acid induces apoptosis through caspase-3 activation and cell cycle arrest in HaCat cells. Int. J. Oncol. 2003, 23, 105–112. [Google Scholar]
- Saeidnia, S.; Gohari, A.R.; Uchiyama, N.; Ito, M.; Honda, G.; Kiuchi, F. Trypanocidal terpenoids from Dracocephalum kotschyi. Chem. Pharm. Bull. 2004, 52, 1249–1250. [Google Scholar] [CrossRef]
- Huang, M.T.; Ho, C.T.; Wang, Z.Y.; Ferraro, T.; Lou, Y.R.; Stauber, K.; Ma, W.; Georgiadis, C.; Laskin, J.D.; Conney, A.H. Inhibition of skin tumorigenesis by rosemary and its constituents carnosol and ursolic acid. Cancer Res. 1994, 54, 701–708. [Google Scholar]
- Liu, J. Oleanolic acid and ursolic acid: Research perspectives. J. Ethnopharm. 2005, 100, 92–94. [Google Scholar] [CrossRef]
- Dacheng, R.; Rongjun, Z.; Andrés, F.; González, B.; Laura, A.B.; Gary, R.E.; Mark, E.; Thomas, P.K.W. Differential Gene Expression for Investigation of Escherichia coli Biofilm Inhibition by Plant Extract Ursolic Acid. Appl. Environ. Microbiol. 2005, 71, 4022–4034. [Google Scholar] [CrossRef]
- Zupancic, A. Topical anti-inflammatory activity of Salvia officinalis L. leaves: the relevance of ursolic acid. J. Ethnopharm. 2001, 75, 125–132. [Google Scholar] [CrossRef]
- Abe, F.; Yamauchi, T.; Nagao, T.; Kinjo, J.; Okabe, H.; Higo, H.; Akahane, H. Ursolic acid as a trypanocidal constituent in rosemary. Biol. Pharm. Bull. 2002, 25, 1485–1487. [Google Scholar] [CrossRef]
- Anandjiwala, S.; Kalola, J.; Rajani, M. Quantification of eugenol, luteolin, ursolic acid, and oleanolic acid in black (Krishna tulasi) and green (Sri tulasi) varieties of Ocimum sanctum Linn. using high-performance thin-layer chromatography. J. AOAC Intern. 2006, 89, 1467–1474. [Google Scholar]
- Chiang, L. C.; Ng, L. T.; Cheng, P. W.; Chiang, W.; Lin, C. C. Antiviral activities of extracts and selected pure constituents of Ocimum basilicum. Clin. Exp. Pharmacol. Physiol. 2005, 32, 811–816. [Google Scholar] [CrossRef]
- Silva, M.G.V.; Matos, F.J.A.; Machado, M.I.L.; Craveiro, A.A. Essential oils of Ocimum basilicum L., O. basilicum var minimum and Ocimum basilicum var purpurascens grown in Northeastern Brazil. Flavour Frag. J. 2003, 18, 13–14. [Google Scholar] [CrossRef]
- Razboršek, M. I.; Vončina, D. B.; Doleček, V.; Vončina, E. Determination of Oleanolic, Betulinic and Ursolic Acid in Lamiaceae and Mass Spectral Fragmentation of Their Trimethylsilylated Derivatives. Chromatographia 2008, 67, 433–440. [Google Scholar] [CrossRef]
- Abdel-Mogib, M.; Albar, H.A.; Batterjee, S.M. Chemistry of the Genus Plectranthus. Molecules 2002, 7, 271–301. [Google Scholar] [CrossRef]
- Alves, J. S.; Castra, J. C. M.; Freire, M. O.; Cunha, E. V.; Silva, M. S. Complete assignment of the 1H and 13C NMR Spectra of four Triterpenes of the Ursane, Artane, Lupane and Friedelane Groups. Magn. Reson. Chem. 2000, 38, 201–206. [Google Scholar] [CrossRef]
- Chen, J. H.; Xia, Z. H.; Tan, R. X. High-performance liquid chromatographic analysis of bioactive triterpenes in Perilla frutescens. J. Pharm. Biomed. Anal. 2003, 32, 1175–1179. [Google Scholar] [CrossRef]
- Sample Availability: Samples of the compound ursolic acid is available from authors.
© 2008 by the authors. Licensee Molecular Diversity Preservation International, Basel, Switzerland. This article is an open-access article distributed under the terms and conditions of the Creative Commons Attribution license ( http://creativecommons.org/licenses/by/3.0/).
Share and Cite
Silva, M.G.V.; Vieira, I.G.P.; Mendes, F.N.P.; Albuquerque, I.L.; Dos Santos, R.N.; Silva, F.O.; Morais, S.M. Variation of Ursolic Acid Content in Eight Ocimum Species from Northeastern Brazil. Molecules 2008, 13, 2482-2487. https://doi.org/10.3390/molecules13102482
Silva MGV, Vieira IGP, Mendes FNP, Albuquerque IL, Dos Santos RN, Silva FO, Morais SM. Variation of Ursolic Acid Content in Eight Ocimum Species from Northeastern Brazil. Molecules. 2008; 13(10):2482-2487. https://doi.org/10.3390/molecules13102482
Chicago/Turabian StyleSilva, M. Goretti V., Icaro G. P. Vieira, Francisca N. P. Mendes, Irineu L. Albuquerque, Rogério N. Dos Santos, Fábio O. Silva, and Selene M. Morais. 2008. "Variation of Ursolic Acid Content in Eight Ocimum Species from Northeastern Brazil" Molecules 13, no. 10: 2482-2487. https://doi.org/10.3390/molecules13102482
APA StyleSilva, M. G. V., Vieira, I. G. P., Mendes, F. N. P., Albuquerque, I. L., Dos Santos, R. N., Silva, F. O., & Morais, S. M. (2008). Variation of Ursolic Acid Content in Eight Ocimum Species from Northeastern Brazil. Molecules, 13(10), 2482-2487. https://doi.org/10.3390/molecules13102482
