Abstract
CCR5, as the major co-receptor for HIV-1 entry, is an attractive novel target for the pharmaceutical industry in the HIV-1 therapeutic area. In this study, based on the structures of maraviroc and 1,4-bis(4-(7-chloroquinolin-4-yl)piperazin-1-yl)butane-1,4- dione (1), which was identified using structure-based virtual screening in conjunction with a calcium mobilization assay, a series of novel small molecule CCR5 antagonists have been designed and synthesized through fragment assembly. Preliminary SARs were obtained, which are in good agreement with the molecular binding model and should prove helpful for future antagonist design. The novel scaffold presented here might also be useful in the development of maraviroc-derived second generation CCR5 antagonists.
Introduction
Almost a decade ago now, the chemokine receptor CCR5 was identified as the major co-receptor for HIV-1 entry, besides the cellular CD4 receptor [1,2,3,4,5]. CCR5 plays an integral role in the R5-tropic HIV-1 entry process by serving as a critical co-receptor for the viral envelope protein gp120 [6,7]. The natural ligands of CCR5 (RANTES, MIP-1α, MIP-1β) [8] and their derivatives [9,10], as well as some specific monoclonal antibodies against certain epitopes of CCR5 [11] possess anti-HIV-1 activity, and homozygous individuals with a 32-base pair deletion in the gene encoding CCR5 do not express the functional receptor and are ultimately resistant to R5-tropic HIV-1 infection [12]. These facts have made CCR5 an attractive novel target for the pharmaceutical industry in the HIV-1 therapeutic area.
In the last decade, numerous small molecule CCR5 antagonists have been reported. The discovery and development of CCR5 antagonists have been systmatically reviewed by Palani [13]. They include anilide-, oximino-piperidino-piperidine-, chiral piperazine-, tropane-, spirodiketopiperazine-, acyclic and cyclic scaffold-based compounds. These efforts have resulted recently in the FDA approval of the first small molecule CCR5 antagonist, maraviroc (Selzentry®, Figure 1) [14] for the treatment of HIV- 1 infection. But there are still various challenges and unknowns associated with CCR5 antagonists such as drug resistance, viral tropism and possible long term adverse events, so development of second generation CCR5 antagonists with improved properties is still much needed.
Figure 1.
Design of novel scaffold 2 through fragment assembly.
The fragment assembly method is a simply, effective structural modification strategy applied in medicinal chemistry field. These fragments are usually from active compounds or launched drugs, and possess comparatively good properties, such as high affinity, excellent metabolic stability, and low toxicity. Our CCR5 program was initiated from compound 1 (Figure 1) featuring the symmetric bis-4-(piperazin-1-yl)quinoline framework, and identified using a docking based virtual screening approach in conjunction with a calcium mobilization assay (IC50 = 2.00 μM). Mono-4-(piperazin-1-yl)quinoline derivatives have previously been reported as CCR5 antagonists [15]. By combining the attractive features of maraviroc and the 4-(piperazin-1-yl)quinoline moiety from hit 1, and with the goal of identifying novel compounds that could be optimized to be more potent than compound 1, compound 2 was identified via a calcium mobilization assay as a modest starting point (IC50 = 692 nM) for further optimization. Twelve derivatives 2a-l of compound 2 were designed and synthesized, and their antagonistic activities against CCR5 were tested.
Results and Discussion
Identification of Compound 1 by Virtual Screening and Calcium Mobilization Assay
Targeting the optimized 3D model of CCR5 [16] which was constructed based on the bovine rhodopsin crystal structure (PDB entry 1F88) [17], a total of 80,000 compounds [18] in the SPECS database (http://www.specs.net/) were subsequently docked and ranked according to the scoring functions of DOCK 4.0 [19], the top-2,000 molecules were selected and re-scored by the scoring function of AutoDock 3.0 [20]. The 150 molecules with the highest score were selected from the SPECS database. Finally, 95 commercially available molecules were purchased and submitted to biological evaluation. Applying a calcium mobilization assay, compound 1 was identified among the above 95 compounds as a CCR5 antagonist (IC50 = 2.00 μM), so compound 1 was designated as a hit for further structural optimization.
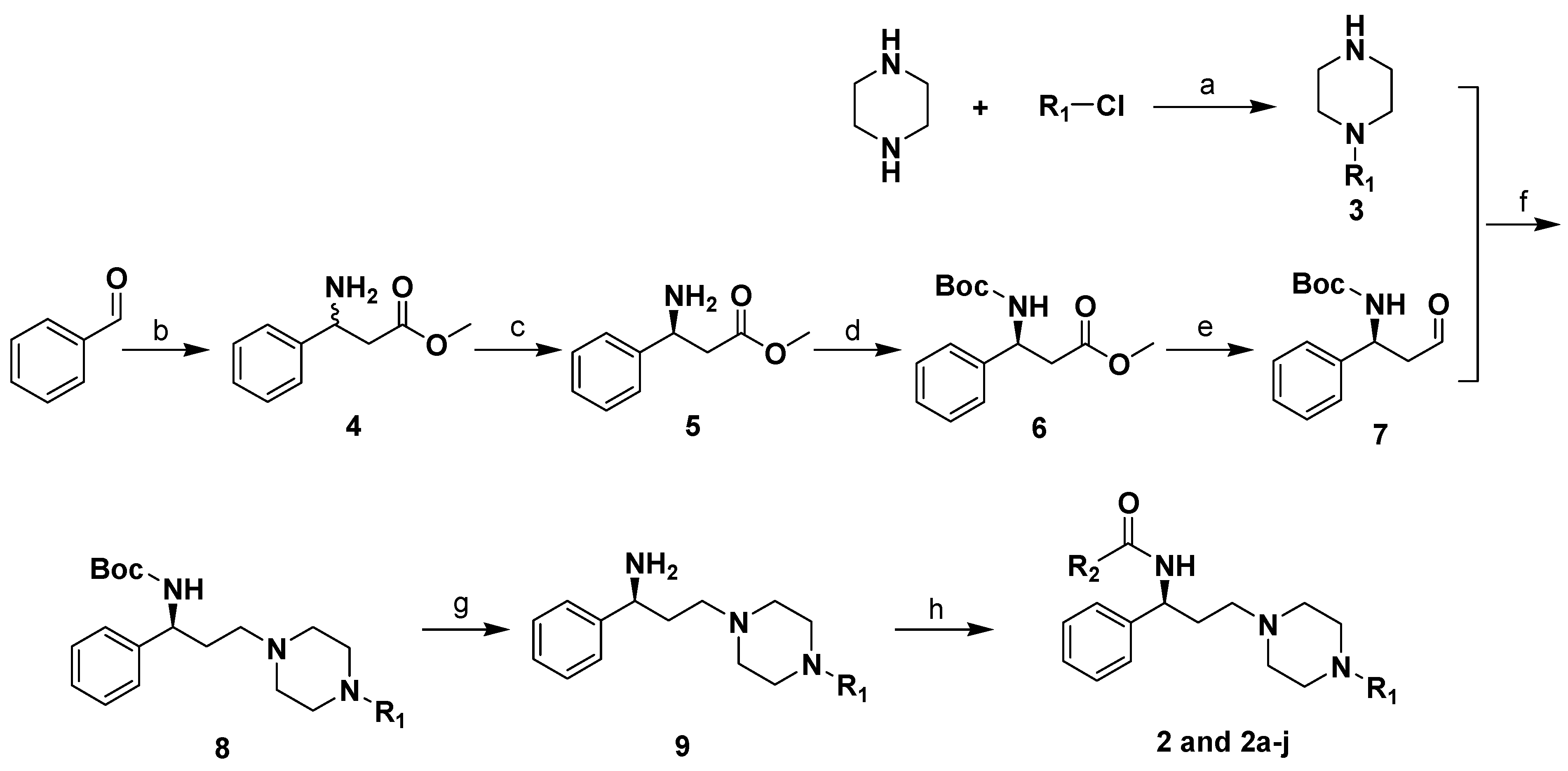
Scheme 1a.
The synthetic route to compounds 2 and 2a-j.
Design and Synthesis of Compounds 2 and 2a-l
To discover novel compounds that could be optimized to be more potent than compound 1, we designed novel chemical scaffold 2 through fragment assembly (Figure 1). Based on the structure of 2, first, compounds 2a-f were designed to prove if the 4,4-difluorocyclohexanecarbonyl unit is essential for antagonistic activity. Next, we changed the 7-chloroquinolin-4-yl of 2 for different heterocyclic aryl moieties (compounds 2g-j) to examine if the heterocyclic aryl moiety would affect antagonistic activity. Lastly, compounds 2k-l were prepared to investigate the importance of the chiral center and the (1-phenyl)propylamine spacer of 2.
Scheme 2a.
The synthetic route of compound 2k.
Scheme 3a.
The synthetic route to compound 2l.
Calcium Mobilization Assay
For the primary assay, the percent inhibitory rates of the compounds 1, 2 and 2a-l at 1 μM were measured. Except compounds 2a and 2c, the other twelve compounds were remarkably antagonist of CCR5 activity. Therefore, we determined their IC50 values (Table 1). From the data in Table 1, we can see that antagonistic activity of compound 2 remarkably decreased 3-fold compared to that of compound 1 (IC50 from 2.00 μM down to 0.692 μM, respectively, Table 1).
Table 1.
Chemical Structures of Compounds 1, 2 and 2a-l and Their Antagonistic Activities against CCR5.
| Compound | Structure | IC50 (μM) |
| 1 | ![]() | 2.00 |
| 2 | ![]() | 0.692 |
| 2a | ![]() | -- |
| 2b | ![]() | 2.66 |
| 2c | ![]() | -- |
| 2d | ![]() | > 1.00 |
| 2e | ![]() | > 10.0 |
| 2f | ![]() | > 10.0 |
| 2g | ![]() | > 1.00 |
| 2h | ![]() | > 10.0 |
| 2i | ![]() | > 10.0 |
| 2j | ![]() | 0.233 |
| 2k | ![]() | 0.669 |
| 2l | ![]() | > 1.00 |
| Maraviroc | ![]() | 0.00261 |
Structure and Activity Relationship Correction with the Binding Models
According to the above results, we can draw some SAR conclusions: (1) the 4,4-difluorocyclo-hexanecarbonyl of 2 (Table 1) is favorable for maintaining the antagonistic activity, as its replacement with various substituted carbonyls (compounds 2a-e) or substituted sulfonyl (compound 2f) resulted in decrease or loss of potency; (2) changing the 7-chloroquinolin-4-yl of 2 for some other heterocyclic aryl group (compounds 2g-j) proved to be quite beneficial, resulting in a 3-fold increase in potency in the case of 2j (IC50 from 0.692 μM down to 0.233 μM, respectively); (3) racemization of 2 (compound 2k) has no effect on potency; (4) removing the (1-phenyl)propylamine spacer from 2 nearly leads to a loss of potency (compound 2l). Although the best compound 2j is 90-fold less potent than the control compound (maraviroc), these preliminary structure-activity relationships provide some valuable clues for structural optimization which could lead to development of useful second generation maraviroc- derived CCR5 antagonists.
To illustrate these SARs and gain structural information for further structural optimization, we compared the 3D binding models of the control compound maraviroc to CCR5 with that of the most potent antagonist 2j to CCR5 generated based on the docking simulation (Figure 2a-b). Figure 2a shows that one fluorine of the cyclohexane ring and the amide N atom of maraviroc form two H-bond interactions with the Gly202 and Gly286 residues, respectively. Simultaneously, two excellent hydrophobic groups, the tropane moiety and the isopropyl group of maraviroc, form potent hydrophobic interactions with the Leu107, Tyr108, and Trp86 residues, respectively. Compound 2j also forms two similar H-bond interactions with the Gly202 and Gly286 residues, whereas the piperazinyl group and quinoline ring of compound 2j form weak hydrophobic interactions with the Leu107, Tyr108, and Trp86 residues, respectively. The above difference in strength of hydrophobic interactions between maraviroc and 2j might partly affect the antagonistic activity. Considering that antagonistic activity of 2j is ten times less potent than maraviroc, the definite interaction mechanism between antagonists and CCR5 needs further experimental verification. Inspired by molecular modeling, introduction some hydrophobic substituents to piperazinyl group and/or quinoline ring of compound 2j would be likely to produce some additional hydrophobic interactions and be useful to improve activity.
Figure 2.
Detailed interactions of maraviroc (a) and 2j (b) with the binding sites of CCR5. Compounds maraviroc and 2j are indicated by yellow and blue thick sticks, respectively. Key residues of the binding pocket are shown as thin sticks. Hydrogen bonds are shown as yellow dotted lines with distance between donor and acceptor atoms. These pictures were prepared using ViewerPro (http://www.accelrys.com/).
Conclusions
In this study, we have discovered a novel lead (2j) by using structure-based virtual screening approach in conjunction with chemical synthesis and bioassay. The preliminary SARs were obtained, which show the 4,4-difluorocyclohexanecarbonyl of compound 2 is necessary to maintain the antagonistic activity, and appropriate heterocyclic aryl of compound 2 could remarkably improve the antagonistic activity. These primary SARs are in good agreement with the molecular binding models and helpful for future antagonists design, and the novel scaffold presented here also provides potential application in development of maraviroc-derived second generation CCR5 antagonists.
Experimental
General
The chemicals used were purchased from Alfa, Acros and Shanghai Chemical Reagent Company, and used without further purification. Analytical thin-layer chromatography (TLC) was done on HSGF 254 plates (150-200 µm thickness, Yantai Huiyou Company, P.R. China). Yields were not optimized. Melting points were measured in capillary tubes on a SGW X-4 melting point apparatus without correction. Nuclear magnetic resonance (NMR) spectra were given on a Brucker AVANCE 500 NMR (TMS as IS). Chemical shifts were reported in parts per million (ppm, δ) downfield from tetramethylsilane. Proton coupling patterns were described as singlet (s), doublet (d), triplet (t), quartet (q), multiplet (m), and broad (br). Low- and high-resolution mass spectra (LRMS and HRMS) were given with electric ionization (EI) produced by a Finnigan MAT-95 instrument.
Virtual Screening by Molecular Docking
The 3D molecular model was previously described [16]. Briefly, a homology model of the human CCR5 receptor was constructed based on the bovine rhodopsin crystal structure (PDB entry 1F88) [17] using the program Insight II (version 2000.1, Accelrys Inc., San Diego, CA, U.S.A.), and optimized using molecular mechanics method with the following parameters: a distance-dependent dielectric constant of 5.0; non-bonded cutoff of 8Å, Amber force field and Kollman all-atom charges [21]; and conjugate gradient minimization. The minimized structure was validated using the PROCHECK [22] program. The initial structures of the synthesized compounds (2 and 2a-l) and maraviroc were constructed with Insight II (version 2000.1, Accelrys Inc., San Diego, CA) and energetically minimized using Tripos force field with Gasteiger–Hückel charges [23]. The N-protonated forms of the molecules, which are the prevalent species at physiological pH, were used in the calculations.
The optimized 3D model of CCR5 was used as the target for virtual screening on database SPECS (http://www.specs.net/). The program DOCK4.0 [19] was employed for the primary screening. Residues around the catalytic center at radius of 6 Å was isolated for constructing the grids of docking screening, and the pocket composed by these residues was larger enough to include residues of the binding pocket. During the docking calculations, Kollman-all-atom charges [21] were assigned to the protein, and Geisterger-Hückel charges [23] were assigned to the small molecules in the SPECS databases. The conformational flexibility of the compounds from the database was considered in the docking searching.
The orientation of a ligand is evaluated with a shape scoring function and/or a function approximating the ligand-receptor binding energy. After the initial orientation and scoring evaluation, a grid-based rigid body minimization is carried out for the ligand to locate the nearest local energy minimum within the receptor binding site. The position and conformation of each docked molecule were optimized using single anchor search and torsion minimization method of DOCK4.0 [19].
Thirty configurations per ligand building a cycle and 50 maximum anchor orientations were used in the anchor-first docking algorithm. All docked configurations were energy minimized using 100 maximum iterations and 1 minimization cycle. Next, the top-2000 molecules were selected for further analyses. These molecules were re-scored by the scoring function of AutoDock3.0 [20]. Based on the second scoring results, 150 molecules were selected from the database. We purchased 95 available molecules for further bioassay.
Calcium Mobilization Assay
CHO cells stably expressing CCR5 and Gα16 were loaded with 2 μmol/L Fluo-4 AM in Hanks balanced salt solution (HBSS, containing KCl 5.4 mM, Na2HPO4 0.3 mM, KH2PO4 0.4 mM, NaHCO3 4.2 mM, CaCl2 1.3 mM, MgCl2 0.5 mM, Mg2SO4 0.6 mM, NaCl 137 mM, BSA 5 g/L, Glucose 5.6 mM, Sulfinpyrazone 250 μM, pH 7.4) at 37 °C for 45 minutes. After the cells being rinsed with the reaction buffer, 50 μL HBSS containing known antagonists (positive control), compounds of interest or DMSO (negative control, final concentration 1%) were added. After incubation at room temperature for 10 minutes, 25 μL RANTES (final concentration 30 nM) was dispensed into the well using a FlexStation II micro-plate reader (Molecular Devices, Sunnyvale, CA, USA) and intracellular calcium change was recorded with an excitation wavelength of 485 nm and emission wavelength of 525 nm. The half maximal inhibitory concentrations (IC50s) of compounds were determined with GraphPad Prism software by constructing their dose-response curves.
N-((S)-3-(4-(7-Chloroquinolin-4-yl)piperazin-1-yl)-1-phenylpropyl)-4,4-difluorocyclohexanecarbox-amide (2). To a solution of (S)-3-(4-(7-chloroquinolin-4-yl)piperazin-1-yl)-1-phenylpropan-1-amine (9) (0.11 g, 0.29 mmol) and 4,4-difluorocyclohexanecarboxylic acid (0.06 g, 0.37 mmol) in DCM (5 mL) was added EDCI (0.07 g, 0.36 mmol), HOBt (0.05 g, 0.37 mmol) and DIPEA (0.15 mL, 0.85 mmol). The mixture was stirred for 4 h. The reaction mixture washed with brine and dried, then concentrated in vacuo. The residue was purified by flash column chromatography on silica gel, eluted with a mixture of MeOH/DCM (1:12, v/v), to afford 2 (0.12 g, 76%) as a yellow foam: mp 177-179 °C; 1H-NMR (CDCl3) δ 1.65-1.90 (m, 4H), 1.90-2.10 (m, 3H), 2.12-2.30 (m, 4H), 2.40-2.60 (m, 2H), 2.70-2.85 (m, 4H), 3.20-3.40 (m, 4H), 5.15 (q, 1H), 6.87 (d, 1H), 7.25-7.30 (m, 2H), 7.33-7.39 (m, 2H), 7.42-7.49 (m, 2H), 7.92 (d, 1H), 8.08 (d, 1H), 8.78 (d, 1H); EI-MS m/z 526 (M+), 260 (100%); HRMS (EI) m/z calcd. C29H33ClF2N4O (M+) 526.2311, found 526.2313.
N-((S)-3-(4-(7-Chloroquinolin-4-yl)piperazin-1-yl)-1-phenylpropyl)-4-fluorobenzamide (2a). Prepared in the same manner as described for 2 by replacing 4,4-difluorocyclohexanecarboxylic acid with 4- fluorobenzoic acid. Yellow foam: mp 77-79 °C; 1H-NMR(CDCl3) δ 2.12-2.30 (m, 2H), 2.50-2.62 (m, 2H), 2.72-2.90 (m, 4H), 3.15-3.30 (m, 4H), 5.38 (q, 1H), 6.81(d, 1H), 7.10 (t, 2H), 7.29 (m, 1H), 7.38 (m, 4H), 7.45 (dd, 1H), 7.90 (m, 3H), 8.08 (d, 1H), 8.78 (d, 1H); EI-MS 502 (M+), 274 (100%); HRMS (EI) m/z calcd. C29H28ClFN4O (M+) 502.1936, found 502.1932.
N-((S)-3-(4-(7-Chloroquinolin-4-yl)piperazin-1-yl)-1-phenylpropyl)cyclohexanecarboxamide (2b). Prepared as described for 2 using cyclohexanecarboxylic acid. Yellow solid: mp 153-158 °C; 1H- NMR (CDCl3,) δ 1.20-1.35 (m, 4H), 1.40-1.50 (m, 2H), 1.63-1.72 (m, 4H), 1.85-2.04 (m, 3H), 2.41-2.58 (m, 2H), 2.71-2.87 (m, 4H), 3.20-3.39 (m, 4H), 5.15 (q, 1H), 6.85 (d, 1H), 7.18-7.38 (m, 5H), 7.42 (dd, 1H), 7.91 (d, 1H), 8.06 (d, 1H), 8.72 (d, 1H); EI-MS 490 (M+), 274 (100%); HRMS (EI) m/z calcd. C29H35ClN4O (M+) 490.2499, found 490.2500.
N-((S)-3-(4-(7-Chloroquinolin-4-yl)piperazin-1-yl)-1-henylpropyl)-4-tert-butylcyclohexanecarbox-amide (2c). Prepared as described for 2 using 4-tert-butylcyclohexanecarboxylic acid. Yellow solid: mp 79-82 °C; 1H-NMR (CDCl3) δ 0.78 (9H, d), 1.00 (m, 2H), 1.21 (m, 1H), 1.45-1.65 (m, 4H), 1.80-2.00 (m, 2H), 2.10 (m, 1H), 2.15-2.25 (m, 2H), 2.45-2.65 (m, 2H), 2.75-2.90 (m, 4H), 3.28-3.40 (m, 4H), 5.15 (q, 1H), 6.87 (d, 1H), 7.23-7.38 (m, 5H), 7.47 (dd, 1H), 7.92 (d, 1H), 8.07 (d, 1H), 8.75 (d, 1H); EI-MS 546 (M+), 274 (100%); HRMS (EI) m/z calcd. C33H43ClN4O (M+) 546.3125, found 546.3127.
N-((S)-3-(4-(7-Chloroquinolin-4-yl)piperazin-1-yl)-1-phenylpropyl)-4-oxocyclohexanecarboxamide (2d). Prepared as described for 2 by replacing the 4,4-difluorocyclohexanecarboxylic acid with 4-oxo-cyclohexanecarboxylic acid. Yellow solid: mp 56-59 °C; 1H-NMR (CDCl3) δ 1.90-2.22 (m, 7H), 2.25- 2.35 (m, 2H), 2.40-2.60 (m, 4H), 2.75-2.90 (m, 4H), 3.20-3.32 (m, 4H), 5.12 (q, 1H), 6.87 (d, 1H), 7.28-7.40 (m, 5H), 7.45 (dd, 2H), 7.89 (d, 1H), 8.06 (d, 1H), 8.75 (d, 1H); EI-MS 504 (M+), 260 (100%); HRMS (EI) m/z calcd. C29H33ClN4O2 (M+) 504.2292, found 504.2293.
N-((S)-3-(4-(7-Chloroquinolin-4-yl)piperazin-1-yl)-1-phenylpropyl)-2-phenylacetamide (2e). To a solution of (S)-3-(4-(7-chloroquinolin-4-yl)piperazin-1-yl)-1-phenylpropan-1-amine (9, 0.09 g, 0.24 mmol) in DCM (5 mL) was added 2-phenylacetyl chloride (0.04 g, 0.26 mmol) and pyridine (2 drops), respectively. The mixture was stirred overnight at 25 °C and concentrated in vacuo. The residue was purified by flash column chromatography on silica gel, eluted with a mixture of MeOH/DCM (1:12, v/v), to afford 2e (0.11 g, 92%) as a brown solid: mp 69-72 °C; 1H-NMR (CDCl3) δ 1.80-1.94 (m, 2H), 2.35-2.55 (m, 2H), 2.91-3.17 (m, 4H), 3.55-3.65 (m, 6H), 5.05 (q, 1H), 6.94 (d, 1H), 7.22-7.35 (m, 8H), 7.38-7.43 (m, 2H), 7.50 (dd, 1H), 7.79 (d, 1H), 8.18 (d, 1H), 8.75 (d, 1H); EI-MS 498 (M+), 274 (100%); HRMS (EI) m/z calcd. C30H31ClN4O (M+) 498.2186, found 498.2183.
N-((S)-3-(4-(7-Chloroquinolin-4-yl)piperazin-1-yl)-1-phenylpropyl)-4-methylbenzenesulfonamide (2f). Prepared in the same manner as described for 2e by replacing the 2-phenylacetyl chloride with p-toluenesulfonyl chloride. Yellow solid: mp 132-136 °C; 1H-NMR (CDCl3) δ 2.08-2.15 (m, 2H), 2.32 (s, 3H), 2.80-3.10 (m, 6H), 3.51-3.63 (m, 4H), 4.53 (q, 1H), 6.90 (d, 1H), 7.05-7.19 (m, 7H), 7.45-7.55 (m, 3H), 7.88 (d, 1H), 8.18 (d, 1H), 8.74 (d, 1H); EI-MS 534 (M+), 260 (100%); HRMS (EI) m/z calcd. C29H31ClN4O2S (M+) 534.1856, found 534.1858.
N-((S)-3-(4-(Pyrimidin-2-yl)piperazin-1-yl)-1-phenylpropyl)-4,4-difluorocyclohexanecarboxamide (2g). Replacing 4,7-dichloroquinoline with 4-chloropyrimidine, in the same manner as described for 2, 2g was prepared as a yellow oil; 1H-NMR(CDCl3) δ 1.69-2.10 (m, 7H), 2.10-2.30 (m, 4H), 2.40-2.50 (m, 2H), 2.60-2.75 (m, 4H), 3.80-3.97 (m, 4H), 5.10 (q, 1H), 6.51 (t, 1H), 7.25-7.35 (m, 5H), 8.31 (d, 2H); EI-MS 443 (M+), 177 (100%); HRMS (EI) m/z calcd. C24H31F2N5O (M+) 443.2497, found 443.2498.
N-((S)-3-(4-(9H-Purin-6-yl)piperazin-1-yl)-1-phenylpropyl)-4,4-difluorocyclohexanecarboxamide (2h). Replacing 4,7-dichloroquinoline with 6-chloro-9H-purine, in the same manner as described for 2, 2h was prepared as a white soild; 1H-NMR (CDCl3) δ 1.70-2.20 (m, 11H), 2.40-2.52 (m, 2H), 2.70-2.85 (m, 4H), 4.30-4.50 (m, 4H), 5.10 (q, 1H), 7.25-7.37 (m, 5H), 7.91 (s, 1H), 8.34 (s, 1H); EI-MS 483 (M+), 231 (100%); HRMS (EI) m/z calcd. C25H31F2N7O (M+) 483.2558, found 483.2559.
N-((S)-3-(4-(pyridin-4-yl)piperazin-1-yl)-1-phenylpropyl)-4,4-difluorocyclohexanecarboxamide (2i). Replacing 4,7-dichloroquinoline with 4-chloropyridine, in the same manner as described for 2, 2i was prepared as a brown oil; 1H-NMR (CDCl3) δ 1.65-2.20 (m, 9H), 2.25-2.36 (m, 4H), 2.40-2.40 (m, 4H), 3.23-3.42 (m, 4H), 5.12 (q, 1H), 6.87 (d, 2H), 7.24-7.30 (m, 2H), 7.38-7.43 (m, 3H), 8.78 (d, 2H); EI-MS 442 (M+), 106 (100%); HRMS (EI) m/z calcd. C25H32F2N4O (M+) 442.2544, found 442.2540.
N-((S)-3-(4-(Quinolin-2-yl)piperazin-1-yl)-1-phenylpropyl)-4,4-difluorocyclohexanecarboxamide (2j). Replacing 4,7-dichloroquinoline with 2-chloroquinoline, in the same manner as described for 2, 2j was prepared as a brown soild: mp 50-53 °C; 1H-NMR (CDCl3) δ 1.65-2.40 (m, 11H), 2.45-2.63 (m, 2H), 2.70-2.94 (m, 4H), 3.80-3.94 (m, 4H), 5.08 (q, 1H), 6.98 (d, 1H), 7.25-7.38 (m, 6H), 7.58 (t, 1H), 7.63 (d, 1H), 7.73 (d, 1H), 7.95 (d, 1H); EI-MS 492 (M+), 157 (100%); HRMS (EI) m/z calcd. C29H34F2N4O (M+) 492.2701, found 492.2700.
N-(3-(4-(7-Chloroquinolin-4-yl)piperazin-1-yl)-1-phenylpropyl)-4,4-difluorocyclohexanecarboxamide (2k). Replacing (S)-methyl 3-amino-3-phenylpropanoate (5) with (±)-methyl 3-amino-3- phenylpropanoate (4), in the same manner as described for 2, 2k was prepared as a brown solid: mp 177-120 °C; 1H-NMR (CDCl3) δ 1.67-1.89 (m, 4H), 1.90-2.33 (m, 7H), 2.59-2.65 (m, 2H), 2.80-2.95 (m, 4H), 3.30-3.40 (m, 4H), 5.15 (q, 1H), 6.88 (d, 1H), 7.25-7.30 (m, 2H), 7.33-7.39 (m, 3H), 7.46 (dd, 1H), 7.92 (d, 1H), 8.08 (d, 1H), 8.78 (d, 1H); EI-MS 526 (M+), 260 (100%); HRMS (EI) m/z calcd. C29H33ClF2N4O (M+) 526.2311, found 526.2310.
(4-(7-chloroquinolin-4-yl)piperazin-1-yl)(4,4-difluorocyclohexyl)methanone (2l). Replacing (S)-3-(4- (7-chloroquinolin-4-yl)piperazin-1-yl)-1-phenylpropan-1-amine (9) with 7-chloro-4-(piperazin-1- yl)quinoline (3a), in the same manner as described for 2, 2l was prepared as a yellow oil; 1H- NMR (CDCl3,) δ 1.65-2.02 (m, 5H), 2.16-2.32 (m, 4H), 3.16-3.30 (m, 4H), 3.70-3.90 (m, 4H), 6.87 (d, 1H), 7.50 (dd, 1H), 7.98 (d, 1H), 8.12 (d, 1H), 8.76 (d, 1H); EI-MS 393 (M+), 217 (100%); HRMS (EI) m/z calcd. C20H22ClF2N3O (M+) 393.1419, found 393.1417.
7-Chloro-4-(piperazin-1-yl)quinoline (3a). A mixture of 4,7-dichloroquinoline (0.5 g, 2.5 mmol), piperazine (2.5 g, 12.6 mmol), K2CO3 (0.1 g, 0.72 mmol), triethylamine (0.1 mL, 0.71 mmol) in N-methyl-2-pyrrolidinone (10 mL) was stirred under nitrogen at 135 °C for 4 h. After cooling to room temperature, the mixture was diluted with CH2Cl2 (20mL) and washed with brine. The organic layer was separated, dried, filtered and condensed. The residue was purified by flash column chromatography on silica gel, eluted with a mixture of MeOH/EtOAc (1:4, v/v), to afford 3a (0.33 g, 54%) as a white solid: mp 113-114 °C ; 1H-NMR (CDCl3): δ 3.08 (m, 8H), 6.85 (d, 1H), 7.40 (dd, 1H), 7.91 (d, 1H), 8.09 (d, 1H), 8.70 (d, 1H).
(±)-Methyl 3-amino-3-phenylpropanoate (4). Benzaldehyde (5 g, 47.2 mmol) and NH4OAc (7.3 g, 94.8 mmol) were dissolved in EtOH (50 mL). The solution was stirred at 45 °C for 12 h and then was added to a solution of malonic acid (4.9 g, 47.1 mmol) in EtOH (25 mL). The mixture was stirred overnight at 60 °C and then at reflux for 6 h. The reaction mixture was cooled to 5 °C. The resulting precipitate was collected by filtration and washed with ice-cold EtOH. The white solid was dried in vacuo, to give 3-amino-3-phenylpropionic acid. The acid was dissolved in MeOH (25 mL) and cooled to 5 °C. To this mixture was added dropwise SOCl2 (2.5 mL) and the mixture was stirred overnight at r.t. The solution was refluxed for 2h and subsequently concentrated to dryness. To the white residue was added 2 M Na2CO3 (20 mL) and the mixture was extracted with EtOAc (3 x 20 mL). The combined organic layers were dried over Na2SO4 and concentrated in vacuo, to give 4 (3.88 g, 46%) as white oil. 1H-NMR (CDCl3) δ 1.82 (s, 2H), 2.70 (d, 2H), 3.70 (s, 3H), 4.45 (t, 1H), 7.28 (m, 1H), 7.38 (m, 4H).
(S)-Methyl 3-amino-3-phenylpropanoate (5). A solution of 4 (1 g, 5.6 mmol) in MeOH (5 mL) was added to a refluxing soln. of (+)-L-tartaric acid (0.84 g, 5.6 mmol) in MeOH (6 mL). The product crystallized overnight at -20 °C and was filtered, to give tartrate of 5 as a white powder, mp 174-176 °C (Lit. [24] 170.6-171.6 °C). The tartrate was dissolved in 1 N aq. NaOH, then was extracted with CHCl3 (3 x 10 mL). The organic layer was dried with Na2SO4 and concentrated, to give 5 (0.30 g, 60%) as a colorless oil. [α]28D = -15.6 (c = 1.13 in CH2Cl2) (Lit. [24] [α]22D = -20.3 (c = 1.53 in CHCl3)); 1HNMR (CDCl3) δ 2.85 (m, 1H), 2.95 (m, 1H), 3.68 (s, 3H), 4. 52 (dd, 1H), 7.16-7.48 (m, 5H).NMR (CDCl3) δ 2.85 (m, 1H), 2.95 (m, 1H), 3.68 (s, 3H), 4. 52 (dd, 1H), 7.16-7.48 (m, 5H).
tert-Butyl (S)-2-(methoxycarbonyl)-1-phenylethylcarbamate (6). To a cold (0 °C) mixture of Na2CO3 (2.8 g, 26.5 mmol) in THF/H2O (5 mL, 2:1, v/v) was added 5 in one portion (0.85 g, 4.7 mmol). A solution of (BOC)2O (1.2 g, 5.5 mmol) in THF (4 mL) was added in one portion and the reaction stirred at 0 °C for 1 h, then at 25 °C for 2 h, extracted with EtOAc (3 x 20 mL). The combined organic extracts were dried and concentrated in vacuo. The crude white solid product 6 was used in the next step without further purification.
tert-Butyl (S)-2-formyl-1-phenylethylcarbamate (7). To a soln. of 6 (1.5 g, 5.4 mmol) in DCM (10 mL) cooled to -78 °C was added DIBAL-H (8.7 mL of 25% W/W in hexane, 12.0 mmol) dropwise at a rate that maintained the temperature below -70 °C. After 2 h the reaction was quenched by the addition of MeOH (1.7 mL) and H2O (1 mL) at -78 °C, then allowed to warm to 25 °C. The mixture was filtered. The filtrate was dried and concentrated in vacuo. The crude colorless oil 7 (0.76 g, 56%) was used in the next step without further purification. 1H-NMR (CDCl3) δ 1.50 (s, 9H), 2.85-3.05 (m, 2H), 5.10 (s, 1H), 7.25-7.40 (m, 5H), 9.80 (s, 1H).
Tert-butyl (S)-3-(4-(7-chloroquinolin-4-yl)piperazin-1-yl)-1-phenylpropylcarbamate (8). To a solution of 7 (0.25 g, 1 mmol), 3a (0.25 g, 1 mmol) and HOAc (0.14 mL) in DCM (10 mL) was added NaBH(OAc)3 (0.26 g, 1.2 mmol) in one portion and the mixture was stirred for 5 h. The reaction was quenched by adding 10% K2CO3 soln. (20 mL) and stirred for an additional 30 min, extracted with DCM (3 x 20 mL). The combined organic layer was dried and concentrated in vacuo. The residue was purified by flash column chromatography on silica gel, eluted with a mixture of MeOH/DCM (1:12, v/v), to afford 8 (0.32 g, 67%) as a yellow foam. 1H-NMR (CDCl3) δ 1.35 (s, 9H), 2.15 (m, 2H), 2.61 (m, 2H), 2.91 (m, 4H), 3.35 (s, 4H), 4.69 (m, 1H), 6.80 (d, 1H), 7.22-7.32 (m, 5H), 7.40 (dd, 1H), 7.81 (d, 1H), 8.08 (d, 1H), 8.65 (d, 1H).
(S)-3-(4-(7-Chloroquinolin-4-yl)piperazin-1-yl)-1-phenylpropan-1-amine (9). A solution of 8 (0.19 g, 0.40 mmol) in saturated HCl in MeOH (6 mL) heated at 65 °C for 2 h. The MeOH was evaporated under reduced pressure and the residue cautiously partitioned between DCM (20 mL) and 20% K2CO3 solution (20 mL). The aqueous layer was re-extracted with DCM (3 x 20mL). The combined organic layer was dried and concentrated in vacuo, to afford 9 (0.14 g, 93%) as a straw yellow oil which was used in the next step without further purification. 1H NMR (CDCl3) δ 1.98-2.12 (m, 2H), 2.58 (m, 2H), 2.81 (m, 4H), 3.25 (m, 4H), 4.18 (m, 1H), 6.81 (d, 1H), 7.20 (t, 1H), 7.32 (t, 2H), 7.35-7.44 (m, 3H), 7.90 (d, 1H), 8.05 (d, 1H), 8.68 (d, 1H).
Acknowledgements
We gratefully acknowledge the financial support from the 863 Hi-Tech Program of China (Grants 2006AA020404, 2006AA01A124), and the Shanghai Rising-Star Program (A type) of Shanghai Ministry of Science and Technology (Grant 07QA14013). We also thank Shanghai Supercomputing Center (http://www.ssc.net.cn/) for providing the computational resources.
References
- Doranz, B. J.; Berson, J. F.; Rucker, J.; Doms, R. W. Chemokine receptors as fusion cofactors for human immunodeficiency virus type 1 (HIV-1). Immunol. Res. 1997, 16, 15–28. [Google Scholar] [CrossRef] [PubMed]
- Feng, Y.; Broder, C. C.; Kennedy, P. E.; Berger, E. A. HIV-1 entry cofactor: functional cDNA cloning of a seven-transmembrane, G proteincoupled receptor. Science 1996, 272, 872–877. [Google Scholar] [CrossRef] [PubMed]
- Alkhatib, G.; Combadiere, C.; Broder, C. C.; Feng, Y.; Kennedy, P. E.; Murphy, P. M.; Berger, E. CC-CKR5: a RANTES, MIP-1alpha, MIP-1beta receptor as a fusion cofactor for macrophage- tropic HIV-1. Science 1996, 272, 1955–1958. [Google Scholar] [CrossRef] [PubMed]
- Deng, H.; Liu, R.; Ellmeier, W.; Choe, S.; Unutmaz, D.; Burkhart, M.; Marzio, P.; Marmon, S.; Sutton, R. E.; Hill, C. M.; Davis, C. B.; Peiper, S. C.; Schall, T. J.; Littman, D. R.; Landau, N. R. Identification of a major co-receptor for primary isolates of HIV-1. Nature 1996, 381, 661–666. [Google Scholar] [CrossRef] [PubMed]
- Dragic, T.; Litwin, V.; Allaway, G. P.; Martin, S. R.; Huang, Y.; Nagashima, K. A.; Cayanan, C.; Maddon, P. J.; Koup, R. A.; Moore, J. P.; Paxton, W. A. HIV-1 entry into CD4+ cells is mediated by the chemokine receptor CC-CKR-5. Nature 1996, 381, 667–673. [Google Scholar] [CrossRef] [PubMed]
- Wu, L.; Gerard, N. P.; Wyatt, R.; Choe, H.; Parolin, C.; Ruffing, N.; Borsetti, A.; Cardoso, A. A.; Desjardin, E.; Newman, W.; Gerard, C.; Sodroski, J. CD4-induced interaction of primary HIV-1 gp120 glycoproteins with the chemokine receptor CCR-5. Nature 1996, 384, 179–183. [Google Scholar] [CrossRef] [PubMed]
- Kwong, P. D.; Wyatt, R.; Robinson, J.; Sweet, R. W.; Sodroski, J.; Hendricks, W. A. Structure of an HIV gp120 envelope glycoprotein in complex with the CD4 receptor and a neutralizing human antibody. Nature 1998, 393, 648–659. [Google Scholar] [PubMed]
- Cocchi, F.; Devico, A. L.; Garzinodemo, A.; Arya, S. K.; Gallo, R. C.; Lusso, P. Identification of RANTES, MIP-1 alpha, and MIP-1 beta as the major HIV-suppressive factors produced by CD8+ T cells. Science 1995, 270, 1811–1815. [Google Scholar] [CrossRef] [PubMed]
- Simmons, G.; Clapham, P. R.; Picard, L.; Offord, R. E.; Rosenkilde, M. M.; Schwartz, T. W.; Buser, R.; Wells, T. N. C.; Proudfoot, A. E. I. Potent inhibition of HIV-1 infectivity in macrophages and lymphocytes by a novel CCR5 antagonist. Science 1997, 276, 276–279. [Google Scholar] [CrossRef] [PubMed]
- Heveker, N.; Montes, M.; Germeroth, L.; Amara, A.; Trautmann, A.; Alizon, M.; Schneider- Mergener, J. Dissociation of the signalling and antiviral properties of SDF-1-derived small peptides. Curr. Biol. 1998, 8, 369–376. [Google Scholar] [CrossRef]
- Olson, W. C.; Rabut, G. E.; Nagashima, K. A.; Tran, D. N.; Anselma, D. J.; Monard, S. P.; Segal, J. P.; Thompson, D. A.; Kajumo, F.; Guo, Y.; Moore, J. P.; Maddon, P. J.; Dragic, T. Differential inhibition of human immunodeficiency virus type 1 fusion, gp120 binding, and CC-chemokine activity by monoclonal antibodies to CCR5. J. Virol. 1999, 73, 4145–4155. [Google Scholar] [PubMed]
- Liu, R.; Paxton, W. A.; Choe, S.; Ceradini, D.; Martin, S. R.; Horuk, R.; MacDonald, M. E.; Stuhlmann, H.; Koup, R. A.; Landau, N. R. Homozygous defect in HIV-1 coreceptor accounts for resistance of some multiply-exposed individuals to HIV-1 infection. Cell 1996, 86, 367–377. [Google Scholar] [CrossRef]
- Palani, A.; Tagat, J. R. Discovery and Development of Small-Molecule Chemokine Coreceptor CCR5 Antagonists. J. Med. Chem. 2006, 49, 2851–2857. [Google Scholar] [CrossRef] [PubMed]
- Dorr, P.; Westby, M.; Dobbs, S.; Griffin, P.; Irvine, B.; Macartney, M.; Mori, J.; Rickett, G.; Smith-Burchnell, C.; Napier, C.; Webster, R.; Armour, D.; Price, D.; Stammen, B.; Wood, A.; Perros, M. Maraviroc (UK-427,857), a potent, orally bioavailable, and selective small-molecule inhibitor of chemokine receptor CCR5 with broad-spectrum anti-human immunodeficiency virus type 1 activity. Antimicrob. Agents Chemother. 2005, 49, 4721–4732. [Google Scholar] [CrossRef] [PubMed]
- Dunning, L.; Jaroch, S.; Kochanny, M. J.; Lee, W.; Lian, X.; Liang, M.; Lu, S.; Qnuffer, J.; Phillips, G.; Wei, G.; Ye, B. WO Patent 2004002960, 2004.
- Xu, Y.; Liu, H.; Niu, C.; Luo, C.; Luo, X.; Shen, J.; Chen, K.; Jiang, H. Molecular docking and 3D QSAR studies on 1-amino-2-phenyl-4-(piperidin-1-yl)-butanes based on the structural modeling of human CCR5 receptor. Bioorg. Med. Chem. 2004, 12, 6193–6208. [Google Scholar] [CrossRef] [PubMed]
- Palczewski, K.; Kumasaka, T.; Hori, T.; Behnke, C. A.; Motoshima, H.; Fox, B. A.; Le Trong, I.; Teller, D. C.; Okada, T.; Stenkamp, R. E.; Yamamoto, M.; Miyano, M. Crystal structure of rhodopsin: A G protein-coupled receptor. Science 2000, 289, 739–745. [Google Scholar] [CrossRef] [PubMed]
- Li, J.; Chen, J.; Gui, C.; Zhang, L.; Qin, Y.; Xu, Q.; Zhang, J.; Liu, H.; Shen, X.; Jiang, H. Discovering novel chemical inhibitors of human cyclophilin A:Virtual screening, synthesis, and bioassay. Bioorg. Med. Chem. 2006, 14, 2209–2224. [Google Scholar] [CrossRef] [PubMed]
- Ewing, T. J.; Makino, S.; Skillman, A. G.; Kuntz, I. D. DOCK 4.0: search strategies for automated molecular docking of flexible molecule databases. J. Comput. Aided Mol. Des. 2001, 15, 411–428. [Google Scholar] [CrossRef] [PubMed]
- Morris, G. M.; Goodsell, D. S.; Halliday, R.S.; Huey, R.; Hart, W. E.; Belew, R. K.; Olson, A. J. Automated Docking Using a Lamarckian Genetic Algorithm and and Empirical Binding Free Energy Function. J. Comput. Chem. 1998, 19, 1639–1662. [Google Scholar] [CrossRef]
- Weiner, S. J.; Kollman, P. A.; Nguyen, D. T.; Case, D. A. An all atom force field for simulations of proteins and nucleic acids. J. Comput. Chem. 1986, 7, 230–252. [Google Scholar] [CrossRef]
- Baba, M.; Takashima, K.; Miyake, H.; Kanzaki, N.; Teshima, K.; Wang, X.; Shiraishi, M.; Iizawa, Y. TAK-652 inhibits CCR5-mediated human immunodeficiency virus type 1 infection in vitro and has favorable pharmacokinetics in humans. Antimicrob. Agents Chemother. 2005, 49, 4584–4591. [Google Scholar] [CrossRef] [PubMed]
- Gasteiger, J.; Marsili, M. Iterative partial equalization of orbital electronegativity—a rapid access to atomic charges. Tetrahedron 1980, 36, 3219–3228. [Google Scholar] [CrossRef]
- Kuehne, P.; Linden, A.; Hesse, M. Asymmetric Synthesis of the Alkaloids Mayfoline and N(1)- Acetyl-N(1)-Deoxymayfoline. Helv. Chim. Acta 1996, 79, 1085–1094. [Google Scholar] [CrossRef]
- Sample Availability: Samples of the compounds reported in this paper are available from the authors.
© 2008 by the authors. Licensee Molecular Diversity Preservation International, Basel, Switzerland. This article is an open-access article distributed under the terms and conditions of the Creative Commons Attribution license ( http://creativecommons.org/licenses/by/3.0/).














