Abstract
HIV-1 integrase (IN) is an attractive and validated target for the development of novel therapeutics against AIDS. In the search for new IN inhibitors, we designed and synthesized three series of bis-amide and hydrazide-containing derivatives of malonic acid. We performed a docking study to investigate the potential interactions of the title compounds with essential amino acids on the IN active site.
Introduction
Therapeutic protocols for the treatment of HIV infection are mainly based on the combined use of reverse transcriptase, protease, and more recently, of cell fusion and entry inhibitors. Although drugs targeting reverse transcriptase and protease are in wide use and have shown effectiveness, the rapid emergence of resistant variants, often cross-resistant to the members of a given class, limits the efficacy of existing antiretroviral drugs. Therefore, it is critical to develop new agents directed against alternate sites in the viral life cycle.
In this context, HIV-1 integrase (IN), the enzyme that mediates an obligatory step in the viral replication process by catalyzing the integration of viral cDNA into the host genome, represents a validated target for the development of new drugs against HIV-1 infection [1]. Because IN does not have a human homologue, it represents one of the most promising targets in AIDS research.
In the past several years, numerous compounds with diverse structural features have been reported as IN inhibitors [2, 3]. In particular a number of compounds bearing a β-diketo acid moiety (DKA, I, Figure 1) were discovered as new selective and potent inhibitors [4], and some of them have emerged as the most promising lead in anti-HIV-1 IN drug discovery.
Recently, the IN inhibitor MK-0518 (Merck & Co., Inc., II, Figure 1), a DKA-like compound, has been approved in therapy [5]. In the light of these promising results it is important to design new and potent IN inhibitors.
Figure 1.
Design of the title compounds.
Figure 1.
Design of the title compounds.

To identify novel and unified pharmacophore required for activity we selected and formally combined the main structural motifs of I and II together to the hydrazide functionality of compounds III and IV (Figure 1), previously reported as a new class of selective IN inhibitors having antiviral activity [6]. With this in mind, we designed two sets of symmetrical (1) and asymmetrical (2) bis-amide derivatives of malonic acid (Figure 1 and Figure 2).
Figure 2.
Symmetrical and asymmetrical bis-amides 1 and 2.
Figure 2.
Symmetrical and asymmetrical bis-amides 1 and 2.

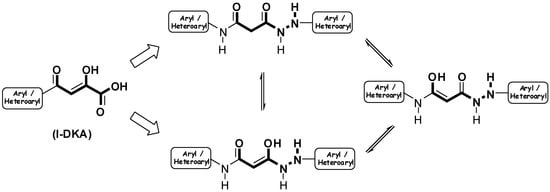
Although several synthetic and biological studies on DKAs and DKA-based compounds have been reported [1, 4], the mechanism responsible for inhibition of the IN still remains uncertain. It is believed that the β-diketo acid pharmacophoric motif could be involved in a functional sequestration of one or both divalent metal ions in the enzyme catalytic site, to form a ligand-M2+-IN complex, which blocks the formation of the IN-DNA complex by competing with the target DNA substrate [1]. In light of such hypothesis we focused on structures bearing a tautomeric moiety, as in I-DKA (Figure 3), with the aim that the cation coordination at the IN catalytic site is favoured. The possibility to obtain a pharmacophoric fragment suitable to generate tautomers and complexes with metal ions was supported by the previoulsy reported behaviour of β-ketoamide and hydrazide systems [7,8,9,10,11].
On this basis, a new set of molecules with structures 3a-f (Figure 4) was designed and synthesized considering a) bulkiness of substituents, and b) the substitution of an amidic motif with a hydrazidic one, hopefully suitable for coordination with the enzyme catalytic site and/or with metallic cofactors.
Figure 3.
Design of hydrazides 3.
Figure 3.
Design of hydrazides 3.

Figure 4.
Hydrazides 3.
Figure 4.
Hydrazides 3.

Results and Discussion
Preparation of bis-amides.
For the synthesis of symmetrical and asymmetrical bis-amide derivatives of malonic acid different approaches were followed. The symmetric amides 1a-h were synthesized in agreement with the procedure reported by Vennerstrom and Holmes for aminolysis of methyl and ethyl malonic esters [12] (Scheme 1).
Scheme 1.
Preparation of bis-amides 1a-h.
Scheme 1.
Preparation of bis-amides 1a-h.

Reagents and conditions: i) reflux, 3.5-5 h.
Asymmetric bis-amides 2b-h were obtained in 18-32 % yields by reacting monophenyl amide 7 with the appropriate arylamine in the presence of 4-(4,6-dimethoxy-[1,3,5]-triazyn-2-yl)-4-methyl-morpholine chloride (DMTMM) [13, 14] (Scheme 2).
Scheme 2.
Preparation of bis-amides 2b-h.
Scheme 2.
Preparation of bis-amides 2b-h.

Reagents and conditions: i) DMTMM, THF, r.t., 24 h.
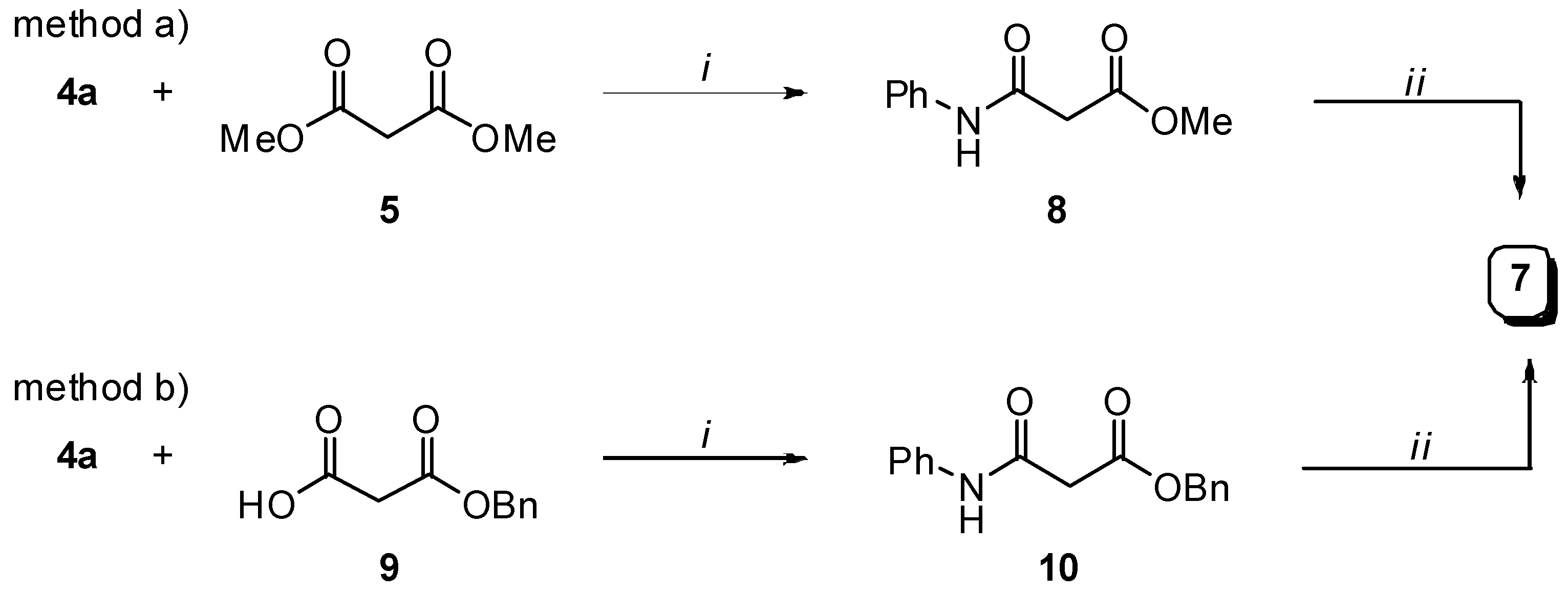
Desymmetrization of dimethyl ester 5 to monoamide 7 was accomplished via aminolysis with one equivalent of aniline 4a to give 8, which was separated by filtration and readily hydrolized with two equivalents of Na2CO3 in water (Scheme 3, method a) [15]. Alternatively, treatment of the commercially available monobenzyl ester 9 with aniline 4a in the presence of DMTMM afforded 10 that was converted to the desired 7 by hydrogenolysis at r.t. (Scheme 3, method b). The use of DMTMM has been reported to be particularly useful for the formation of amides starting from carboxylic acids and aromatic amines [16].
Scheme 3.
Preparation of intermediate 7.
Scheme 3.
Preparation of intermediate 7.

Reagents and conditions: Method a: i) 190 °C, 30 min; ii) H2O, Na2CO3, reflux 30 min; Method b: i) DMTMM, THF, r.t., 24 h; ii) MeOH, H2, 5% Pd/C, 12 h.
Preparation of hydrazides.
Similar to the afore-mentioned synthetic strategy for bis-amides 1a-h, hydrazides 3a-e were synthesized by condensation of the amido ester 11 with the corresponding hydrazine 12a-e in ethanol [17] or chlorobenzene [18] under reflux, although a slight modification in the procedure for 3f was required (Scheme 4).
Scheme 4.
Preparation of hydrazides 3a-f.
Scheme 4.
Preparation of hydrazides 3a-f.

Reagents and conditions: A) Ethanol, reflux 4 h for 3a, 30 h for 3b. B) Chlorobenzene, reflux, 20 h for 3c, 15 h for 3d, 25 h for 3e; C) Ethanol, reflux, 5 h. - For 11: TEA, acetone, r.t., 1 h.
Intermediate 11 was prepared according to Ukrainets et al. [19] by nucleophilic substitution of aniline 4a on ethyl malonyl chloride (EMC). As depicted in Scheme 5, condensation of 11 with 12c afforded the expected 3c along with the dianilide 1a (23%), which was characterized by comparison with data reported in the literature [19,20]. Moreover, treatment of 11 with 12e gave the bis-hydrazide 14 as the major product (14 = 60% vs 3e = 21%).
Scheme 5.
Formation of compounds 1a and 14.
Scheme 5.
Formation of compounds 1a and 14.

Reagents and conditions: i) Chlorobenzene, reflux, 24 h.
The formation of the bis-anilide 1a (along the formation of diethylmalonate 6) can be rationalized via an intermolecular condensation of 11 in its tautomeric form to give the adduct 15, which can cyclize intramolecularly to afford the four membered cyclic transition state 16 followed by structural collapse as end game (Figure 5) [19].
Figure 5.
Hypothetical mechanism for the formation of 1a.
Figure 5.
Hypothetical mechanism for the formation of 1a.

The synthesis of symmetrical bis-anilides 1a-like has previously been reported. It consists of treatment of diethyl esters of the malonic acids and anilines in solvent free conditions (170-180 °C), that it has been used for the preparation of 1a-h (as depicted in Scheme 1), or under reflux in high boiling point solvents such as DMF [19]. In the example reported herein, the formation of 1a is facilitated because 11 (enolic tautomer) can allow the ester carbonyl to be in conjunction with the aniline system causing further reduction of its electronic density and therefore favouring the formation of the adduct 15.
On the other hand, the new compound 14 is likely to be formed from transamidation of the desired 3e as a discrete excess of hydrazide 12e (0.5 eq) is used. Full characterization of 14 was accomplished by NMR, mass spectrometry and elemental analysis. Compound 3f was obtained in 89% yield by condensation of hydrazide 3a with commercially available α-tetralone 13 in ethanol under reflux.
Finally, analysis of the 1H-NMR and 13C-NMR spectra of all described compounds (recorded in DMSO-d6 or CDCl3 + DMSO-d6 mixture) revealed the presence of the methylene between the two carbonyls, and no extra-OH signals are detected. Moreover, D2O exchange involved only amidic NH (3a-d and 11) and hydrazidic NH (3a-d). This indicates that such systems seem to exist, in organic solvents, only as diketo tautomers.
Molecular Modeling
To investigate the putative binding modes of some bis-amides/hydrazides, chosen as model compounds, compared with those of the reference compounds I-Phe-DKA [(2Z)-2-hydroxy-4-oxo-4-phenylbut-2-enoic acid] and III, we performed computational docking studies as described [21,22]. In keeping with several computational docking studies reported in the literature [21,22,23,24,25,26], the IN-5CITEP co-crystal structure (PDB 1QS4) [27] was used.
In this study, AutoDock 3.0.5 was used because it utilizes a fully flexible ligand in its docking algorithm (although it is still docked to a rigid protein) and because it has been shown to successfully reproduce many crystal structure complexes [28]. We selected compounds 1a, 2h, 3a, 3c, 3d, 3e, and the reference compounds I-Phe-DKA and III, and built them in their neutral form (only I-Phe-DKA was calculated as carboxylate). Moreover, three putative tautomers (3a1-3, Figure 7) for the hydrazide 3a were postulated and included in this preliminary study. The results of clustered docking runs with the most favourable free binding energy are given in Table 1. Graphical representations of top-ranking binding modes obtained for these ligands showing the important residues involved in binding are depicted in Figure 6 and Figure 7.
Table 1.
Docking results of 100 independent runs for title and reference compounds.
| Ligand | *Ntot | †focc | °F.D.E. | ‡∆Gbind | #Ki | H-bonds |
| I-Phe-DKA | 35 | 5/4 | -8.94 | -7,78 | 2.00E-06 | Ser119, Asn120 |
| III | 51 | 8/8 | -8.76 | -6,78 | 1.07E-05 | Cys65, His67, Glu92 |
| 1a | 39 | 10/7 | -6.65 | -5,49 | 9.38E-05 | Thr66, Asn155 |
| 2h | 25 | 19/9 | -8.19 | -6,86 | 9.29E-06 | Asp64, His67 |
| 3a1 | 21 | 20/14 | -5.79 | -4,41 | 5.81E-04 | Cys65, Asp116, Asn155 |
| 3a2 | 50 | 13/7 | -6.62 | -5,56 | 8.34E-05 | Cys65, Asn120 |
| 3a3 | 31 | 10/7 | -6.88 | -5,61 | 7.66E-05 | Asp64, Cys65 |
| 3c | 28 | 14/10 | -8.21 | -6,55 | 1.57E-05 | Asp64, His67 |
| 3d | 17 | 26/13 | -8.26 | -6,56 | 1.55E-05 | Asp64, Cys65, His67, Ly156 |
| 3e | 21 | 27/12 | -7.42 | -5,61 | 7.68E-05 | Cys65, Asn155 |
*Total number of clusters. †Number of distinct conformational clusters found out of 100 runs / number of multi-member conformational clusters. °Final Docked Energy. ‡Estimated free binding energy (kcal/mol). #Estimated inhibition constant (M, 298 °K).
Figure 6.
Graphical representation of hypothetical disposition of reference compounds I-Phe-DKA and III, and representative compounds of symmetrical 1a and asymmetrical 2h bis-amides showing the interacting amino acid residues on the HIV-1 IN active site core domain. Mg2+ ion is shown in magenta.
Figure 6.
Graphical representation of hypothetical disposition of reference compounds I-Phe-DKA and III, and representative compounds of symmetrical 1a and asymmetrical 2h bis-amides showing the interacting amino acid residues on the HIV-1 IN active site core domain. Mg2+ ion is shown in magenta.

According to docking results, the amino acid residues involved in the binding of title compounds located near the catalytic site were as follows: Asp64, Cys65, Thr66, His67, Glu92, Asp116, Ser119, Asn120, Asn155, Ly156. Several of these were considered to be very important for the activity of IN and some have been previously shown to play a role in substrate binding [29,30,23]. In general, different ligands showed different binding modes with some overlapping features, which were predicted as potential H-bonds and van der Waals interactions.
The estimated free binding energy values (∆Gbind) of the docked positions, expressed in kcal/mol, indicated favourable interactions and tight binding with key aminoacid residues on the active site of IN. However, with ∆Gbind = -7.78 kcal/mol, I-Phe-DKA displayed better energy results than the other compounds, as expected on the basis of its reported potency against IN [31]. High free binding energy values have also been obtained for the reference compound III. We also found that III binds to Cys65 and chelates Mg2+, thus revealing the already observed accommodation [6] at the IN active site (Figure 6).
Moreover, compounds 2h, 3c and 3d, showed similar free binding energy, when compared with the reference compound III (∆Gbind = -6.86, -6.55, -6.56 and -6.78 kcal/mol for 2h, 3c, 3d and III, respectively). Interestingly, the three keto-enol tautomers of 3a shared different free binding energy results (∆Gbind = -4.41, -5.56, and -5.61 kcal/mol for 3a1, 3a2, and 3a3, respectively). In fact, while 3a1 showed a significantly lower binding energy, for 3a2, and 3a3 a similar behaviour in terms of both free binding energy and binding modes was observed. This could be due to the fact that the keto-enolic tautomers could potentially be able to establish a coordination bond with Mg2+ ion through an hydroxy-keto system (for 3a2) or to strongly bind (for 3a3) with important residues on the active site of IN as displayed in Figure 7.
Figure 7.
Graphical representation of hypothetical disposition of some tautomers (3a1, 3a2, 3a3) of the hydrazide 3a, as well as hydrazides 3c, 3d, and 3e, showing the interacting amino acid residues on the HIV-1 IN active site core domain. Mg2+ ion is shown in magenta.
Figure 7.
Graphical representation of hypothetical disposition of some tautomers (3a1, 3a2, 3a3) of the hydrazide 3a, as well as hydrazides 3c, 3d, and 3e, showing the interacting amino acid residues on the HIV-1 IN active site core domain. Mg2+ ion is shown in magenta.

Conclusions
We have synthesized novel symmetric and asymmetric bis-amides and hydrazides derivatives of malonic acid as prototypes of IN inhibitors and built a unified pharmacophore to help us in rational design of future inhibitors. Docking studies were performed on title and reference compounds to predict their binding interaction with the active site of IN. Studies are in progress to optimize their potency and physicochemical properties.
Experimental
General
Anhydrous solvents and all reagents were purchased from Sigma-Aldrich, Merck, Acros or Carlo Erba. Reactions involving air- or moisture-sensitive compounds were performed under a nitrogen atmosphere using oven-dried glassware and syringes to transfer solutions. Melting points (m.p.) were determined using an Electrothermal melting point or a Köfler apparatus and are uncorrected. Infrared (IR) spectra were recorded as thin films or nujol mulls on NaCl plates with a Perkin-Elmer 781 IR or 983 spectrophotometers and are expressed in ν (cm-1). Nuclear magnetic resonance spectra (1H-NMR and 13C-NMR) were determined in CDCl3/DMSO-d6 (in 3/1 ratio) or DMSO-d6 and were recorded on a Varian XL-200 (200 MHz) or a Varian VXR-300 (300 MHz). Chemical shifts (δ scale) are reported in parts per million (ppm) downfield from tetramethylsilane (TMS) used as internal standard. Splitting patterns are designated as follows: s, singlet; d, doublet; t, triplet; q, quadruplet; m, multiplet; brs, broad singlet; dd, double doublet. The assignment of exchangeable protons (OH and NH) was confirmed by addition of D2O. Analytical thin-layer chromatography (TLC) was carried out on Merck silica gel F-254 plates. For flash chromatography Merck Silica gel 60 was used as stationary phase with a particle size 0.040-0.063 mm (230-400 mesh ASTM). Elemental analyses were performed on a Perkin-Elmer 2400 spectrometer, and were within ±0.4% of the theoretical values.
General procedure for the synthesis of symmetric bis-amides (1a-h)
Dimethyl malonate (for 1a-e and h) or diethyl malonate (for 1f-g) (5.6 mmols) and the corresponding aromatic amine (11.0 mmols) were mixed under an argon atmosphere in a 25 mL two-neck round-bottom flask fitted with a reflux condenser and a magnetic bar. The mixture was stirred at 185 °C for 3.5-5 h. The solids obtained were triturated from EtOH and isolated by filtration. The products were characterized as reported below.
N,N’-Diphenylmalonamide (1a). White solid, crystallized from EtOH. Yield = 72 %; m.p. = 228 – 230 °C (lit. [12] 228 - 229 °C); IR ν cm-1 = 3220 (NH); 1650 (C=O); 1H-NMR (DMSO-d6, 80 °C) δ 10.06 (s, 2H, NH), 7.60 (d, 4H, J =8.4 Hz, Ar-H), 7.28-7.34 (m, 4H, Ar-H), 7.06 (t, 2H, J =7.5 Hz, Ar-H), 3.48 (s, 2H, CH2); 13C-NMR (DMSO-d6, 80 °C) δ 164.9, 138.5, 128.2, 123.0, 119.1, 118.9, 45.3; Anal. Calcd. for C15H14N2O2: C, 70.85; H, 5.56; N, 11.01. Found: C, 71.32; H, 5.63; N, 10.98.
N,N’-bis-(2-Methoxyphenyl)malonamide (1b). White needle-like crystals, crystallized from EtOH. Yield = 34 %; m.p. = 163 °C (lit. [19] 159 - 160 °C); IR ν cm-1 = 3310 (NH); 1645 (C=O); 1H-NMR (DMSO-d6, 50 °C) δ 9.62 (brs, 2H, NH), 8.02 (d, 2H, J =9 Hz, Ar-H), 7.03-7.09 (m, 4H, Ar-H), 6.86-6.95 (m, 2H, Ar-H), 3.83 (s, 6H, OCH3), 3.70 (s, 2H, CH2). Anal. Calcd. for C17H18N2O4: C, 64.96; H, 5.77; N, 8.91. Found: C, 64.94; H, 5.75; N, 8.89.
N,N’-bis-(3-Methoxyphenyl)malonamide (1c). White needle-like crystals, crystallized from DMSO/H2O. Yield = 32 %; m.p. = 146 °C (lit. [32] 158 - 160 °C); IR (nujol) ν cm-1 = 3250 (NH); 1600 (C=O); 1H-NMR (DMSO-d6, 50 °C) δ 10.15 (s, 2H, NH), 7.31 (t, 2H, J =2.1 Hz, Ar-H), 7.21 (t, 2H, J =8.1 Hz, Ar-H), 7.10-7.13 (m, 2H, Ar-H), 6.56 (dd, 2H, J =0.9, 3.5 Hz, Ar-H), 3.73 (s, 6H, OCH3), 3.45 (s, 2H, CH2); 13C-NMR (DMSO-d6) δ 165.5, 159.6, 140.2, 129.7, 111.4, 108.9, 104.9, 55.0, 46.1. Anal. Calcd. for C17H18N2O4: C, 64.95; H, 5.78; N, 8.90. Found: C, 64.93; H, 6.12; N, 8.82.
N,N’-bis-(4-Methoxyphenyl)malonamide (1d). White solid, crystallized from EtOH. Yield = 20 %; m.p. = 200 °C (lit. [12] 232 - 234 °C); IR (nujol) ν cm-1 = 3240 (NH); 1620 (C=O); 1H-NMR (DMSO-d6, 50°C) δ 9.91 (s, 2H, NH), 7.49-7.52 (m, 4H, Ar-H), 6.87-6.90 (m, 4H, Ar-H), 3.73 (s, 6H, OCH3), 3.41 (s, 2H, CH2); 13C-NMR (DMSO-d6) δ 165.0, 155.3, 132.2, 120.6, 113.9, 55.1, 45.6; Anal. Calcd. for C17H18N2O4: C, 64.95; H, 5.78; N, 8.90. Found: C, 65.38; H, 6.03; N, 8.90.
N,N’-bis-(3-Chlorophenyl)malonamide (1e). White solid, crystallized from EtOH. Yield = 29 %; m.p. = 162 °C (lit. [33] 165 - 166 °C); IR (nujol) ν cm-1 = 3225 (NH); 1620 (C=O); 1H-NMR (DMSO-d6, 80 °C) δ 10.14 (brs, 2H, NH), 7.79 (t, 2H, J =1.8 Hz, Ar-H), 7.44-7.48 (m, 2H, Ar-H), 7.34 (t, 2H, J = 8.1, Hz, Ar-H), 7.09-7.13 (m, 2H, Ar-H), 3.50 (s, 2H, CH2); 13C-NMR (DMSO-d6, 80 °C) 165.0, 139.0, 133.0, 130.0, 123.0, 118.0, 117.0, 45.0; Anal. Calcd. for C15H12Cl2N2O2: C, 55.75; H, 3.74; N, 8.67. Found: C, 55.63; H, 3.64; N, 8.60.
N,N'-bis-(4-Chlorophenyl)malonamide (1f). White solid, crystallized from EtOH. Yield = 40 %; m.p. = 261 °C (lit. [12] 256 - 257 °C); IR (nujol) ν cm-1 = 3210 (NH); 1620 (C=O); 1H-NMR (DMSO-d6) δ 10.34 (s, 2H, NH), 7.63 (d, 4H, J =9 Hz, Ar-H), 7.35 (d, 4H, J =8.7, Hz, Ar-H), 3.48 (s, 2H, CH2); 13C-NMR (DMSO-d6) δ 165.0, 138.0, 129.0, 127.0, 120.0, 46.0; Anal. Calcd. for C15H12Cl2N2O2: C, 55.75; H, 3.74; N, 8.67. Found: C, 55.94; H, 3.67; N, 8.74.
Preparation of N,N’-diquinol-3-yl-malonamide (1g). In a 25 mL round-bottom flask fitted with a reflux condenser and a stirring bar were introduced, under an argon atmosphere, 0.50 g (3.4 mmols) of 3-aminoquinoline and 0.27 g (1.7 mmols) of diethylmalonate in 7 mL of anhydrous DMF and the mixture was refluxed for 8 h. Then the reaction was cooled down to r.t., quenched with 10 ml of H2O and stirred at r.t. for few minutes. The solid formed was filtered through a Büchner and then was washed with Et2O and acetone. A white solid was obtained 0.37 g (1.0 mmol) that was purified by crystallization from DMSO/H2O. Yield = 46 %; m.p. = 160 - 162 °C; IR (nujol) ν cm-1 = 3140 (NH); 1660 (C=O); 1H-NMR (DMSO-d6, 50 °C) δ 10.43 (s, 2H, NH), 8.89 (d, 2H, J =3.0, Hz, Ar-H), 8.72 (d, 2H, J =17.4 Hz, Ar-H), 7.89-7.98 (m, 4H, Ar-H), 7.52-7.67 (m, 4H, Ar-H), 3.40 (s, 2H, CH2); 13C-NMR (DMSO-d6) δ 169.2, 166.1, 144.4, 144.3, 144.1, 133.0, 128.0, 127.8, 127.7, 127.6, 127.0, 121.0, 24.0; Anal. Calcd. for C21H16N4O2: C, 70.77; H, 4.53; N, 15.72. Found: C, 70.53; H, 5.60; N, 14.86.
N,N’-Diquinol-8-yl-malonamide (1h). White solid, crystallized from DMSO/H2O. Yield = 37 %; m.p. = 214 °C (lit. [34] 218 - 219 °C); IR (nujol) ν cm-1 = 3240 (NH); 1620 (C=O); 1H-NMR (DMSO-d6, 50 °C) δ 10.70 (s, 2H, NH), 8.93 (dd, 2H, J =4.0, 1.5 Hz, Ar-H), 6.67 (d, 2H, J =7.5 Hz, Ar-H), 8.39 (dd, 2H, J =9.0, 1.5 Hz, Ar-H), 7.56-7.69 (m, 4H, Ar-H), 4.07 (s, 2H, CH2); 13C-NMR (DMSO-d6) δ 165.5, 148.5, 138.1, 136.0, 134.0, 127.5, 126.4, 121.8, 121.6, 116.7, 45.6; Anal. Calcd. for C21H16N4O2·0.5H2O: C, 69.03; H, 4.69; N, 15.33. Found: C, 69.31; H, 4.32; N, 15.14.
General procedure for the synthesis of asymmetric bis-amides 2b-h. In a two-neck 50 mL round-bottom flask were introduced, under an argon atmosphere, an aromatic amine (2.6 mmols) and the monophenylamide of malonic acid 7 (0.46 g, 2.6 mmols) in anhydrous THF (20 mL). The reaction mixture was stirred at r.t. for 15 minutes. Then, 4-(4,6-dimethoxy-[1,3,5]-triazyn-2-yl)-4-methyl-morpholine chloride (DMTMM, 0.70 g, 2.6 mmols) were added and the solution was stirred at r.t. for 24 h. The solvent was evaporated under vacuo and the solid residue obtained was washed with water, an aqueous saturated solution of NaHCO3, a 1.0 M aqueous solution of HCl and brine. Finally, the solid was washed with diethyl ether and filtered.
N-(2-Methoxyphenyl)-N’-phenylmalonamide (2b). [35] White solid, crystallized from DMSO/H2O. Yield = 25 %; m.p. = 154 - 155 °C; IR (nujol) ν cm-1 = 3230 (NH); 1650 (C=O); 1H-NMR (DMSO-d6) δ 10.24 (s, 1H, NH), 9.68 (brs, 1H, NH), 8.09 (d, 1H, J =8.1 Hz, Ar-H), 7.60 (d, 2H, J =7.8 Hz, Ar-H), 7.32 (t, 2H, J =7.8 Hz, Ar-H), 7.05-7.09 (m, 3H, Ar-H), 6.91-6.93 (m, 1H, Ar-H), 3.85 (s, 3H, OCH3); 13C-NMR (DMSO-d6) δ 166.1, 165.1, 148.9, 138.7, 128.8, 127.2, 124.2, 123.5, 120.7, 120.3, 119.2, 111.0, 55.7, 45.1; Anal. Calcd. for C16H16N2O3·0.5H2O: C, 65.52; H, 5.84; N, 9.55. Found: C, 65.15; H, 5.83; N, 9.77.
N-(3-Methoxyphenyl)-N’-phenylmalonamide (2c). White solid, crystallized from DMSO/H2O. Yield = 26 %; m.p. = 144 - 145 °C; IR (nujol) ν cm-1 = 3520 (NH); 1630 (C=O); 1H-NMR (DMSO-d6) δ 10.2 (brs, 2H, NH), 7.60 (d, 2H, J =8.1 Hz, Ar-H), 7.31 (t, 3H, J =7.2 Hz, Ar-H), 7.21 (t, 1H, J =8.1 Hz, Ar-H), 7.12 (d, 1H, J =8.1 Hz, Ar-H), 7.05 (t, 1H, J =7.5 Hz, Ar-H), 6.63-6.65 (m, 1H, Ar-H), 3.72 (s, 3H, OCH3), 3.46 (s, 2H, CH2); 13C-NMR (DMSO-d6) δ 165.5, 165.3, 159.5, 140.1, 139.0, 129.5, 128.7, 123.3, 119.0, 11.3, 108.8, 104.8, 54.9, 46.0; Anal. Calcd. for C16H16N2O3·0.25H2O: C, 66.54; H, 5.76; N, 9.70. Found: C, 66.80; H, 5.44; N, 9.75.
N-(4-Methoxyphenyl)-N’-phenylmalonamide (2d). [36] White solid, crystallized from DMSO/H2O followed by crystallisation from THF/petrol ether. Yield = 18 %; m.p. = 186 °C; IR (nujol) ν cm-1 = 3250 (NH); 1620 (C=O); 1H-NMR (DMSO-d6) δ 9.92 (brs, 2H, NH), 9.79 (brs, 1H, NH), 7.42-7.61 (m, 4H, Ar-H), 7.31 (t, 2H, J =7.2 Hz, Ar-H), 7.06 (t, 1H, J =6.9 Hz, Ar-H), 6.89 (d, 2H, J =8.1 Hz, Ar-H, 3.74 (s, 3H, OCH3), 3.46 (s, 2H, CH2); 13C-NMR (DMSO-d6) δ 165.5, 164.5.3, 155.2, 138.5, 131.7, 128.2, 123, 120.6, 119, 113.6, 54.9, 45.1; Anal. Calcd. for C16H16N2O3·0.25H2O: C, 66.54; H 5.76; N, 9.70. Found: C, 66.08; H, 5.57; N, 10.04.
N-(3-Chlorophenyl)-N’-phenylmalonamide (2e). White solid, crystallized from THF/petrol ether. Yield = 28 %; m.p. = 167 °C; IR (nujol) ν cm-1 = 3230 (NH); 1630 (C=O); 1H-NMR (DMSO-d6) δ 10.41 (s, 1H, NH), 10.21 (s, 1H, NH), 7.84 (s, 1H, Ar-H), 7.60 (d, 2H, J =8.4 Hz, Ar-H), 7.42 (d, 1H, J =8.1 Hz, Ar-H), 7.29-7.37 (m, 3H, Ar-H), 7.12 (d, 1H, J =7.8 Hz, Ar-H), 7.06 (t, 1H, J =6.6 Hz, Ar-H), 3.48 (s, 2H, CH2); 13C-NMR (DMSO-d6) δ 165.8, 165.1, 140.4, 138.9, 133.1, 130.5, 128.9, 123.4, 123.1, 119.0, 118.5, 117.4, 46.0; Anal. Calcd. for C15H13ClN2O2: C, 62.40; H, 4.54; N, 9.70. Found: C, 62.53; H, 4.57; N, 9.63.
N-(4-Chlorophenyl)-N’-phenylmalonamide (2f). White solid, crystallized from THF/petrol ether. Yield = 32 %; m.p. = 220 °C; IR (nujol) ν cm-1 = 3220 (NH); 1630 (C=O); 1H-NMR (DMSO-d6) δ 10.18 (brs, 1H, NH), 10.02 (brs, 1H, NH), 7.62 (t, 4H, J =9 Hz, Ar-H), 7.33 (t, 4H, J =8.4 Hz, Ar-H), 7.05-7.09 (m, 1H, Ar-H), 3.50 (s, 2H, CH2); 13C-NMR (DMSO-d6) δ 165.1, 164.7, 138.5, 137.4, 128.18, 128.1, 126.7, 122.9, 120.5, 119.0, 45.3, 40.3; Anal. Calcd. for C16H13ClN2O2: C, 62.40; H, 4.54; N, 9.70. Found: C, 62.31; H, 4.57; N, 9.36.
N-Phenyl-N’-quinol-3-yl-malonamide (2g). White solid, crystallized from DMSO/H2O. Yield = 17 %; m.p. = 200 - 202 °C; IR (nujol) ν cm-1 = 3230 (NH); 1630 (C=O); 1H-NMR (DMSO-d6) δ 11.27 (s, 1H, NH), 10.45 (s, 1H, NH), 9.20 (s, 1H, Ar-H), 8.95 (s, 1H, Ar-H), 8-8.1 (m, 2H, Ar-H), 7.79 (t, 1H, J =7.5 Hz, Ar-H), 7.6-7.7 (m, 3H, Ar-H), 7.31 (t, 2H, J =8.1 Hz, Ar-H), 7.05 (t, 1H, J =7.2 Hz, Ar-H) 3.67 (s, 2H, CH2); 13C-NMR (DMSO-d6) δ 166.6, 164.9, 141.6, 140.1, 138.9, 133.1, 129.9, 128.7, 128.3, 128.2, 128.1, 126, 125.2, 123.4, 119.1, 45.9; Anal. Calcd. for C18H15N3O2: C, 70.81; H, 4.95; N, 13.76. Found: C, 69.93; H, 5.04; N, 13.45.
N-Phenyl-N’-quinol-8-yl-malonamide (2h). Light brown solid, crystallized from DMSO/H2O. Yield = 24 %; m.p. = 184 - 185 °C; IR (nujol) ν cm-1 = 3260 (NH); 1650 (C=O); 1H-NMR (DMSO-d6, 50 °C) δ 10.86 (brs, 1H, NH), 10.24 (brs, 1H, NH), 8.94 (brs, 1H, Ar-H), 8.67 (brs, 1H, Ar-H), 8.39 (brs, 1H, Ar-H), 7.58-7.64 (m, 5H, Ar-H), 7.20-7.40 (m, 2H, Ar-H), 7.0-7.20 (m, 1H, Ar-H), 3.78 (s, 2H, CH2); 13C-NMR (DMSO-d6, 50 °C) δ 165.7, 165.2, 148.7, 138.5, 138.0, 136.2, 134.3, 128.5, 127.6, 123.4, 121.8, 121.8, 119.3, 116.3, 45.6; Anal. Calcd. for C18H15N3O2: C, 70.81; H, 4.95; N, 13.76. Found: C, 71.23; H, 5.48; N, 13.63.
Preparation of N-phenylmalonamic acid (7).
Method a) In a two-neck 100 mL round-bottom flask fitted with a condenser and stir bar were introduced under an argon atmosphere aniline 4a (6.5 g, 7.0 mmols) and dimethylmalonate (13.8 g, 10.0 mmols). The reaction mixture was vigorously stirred at 190 °C for 30 minutes and then cooled to r.t. and diluted with ethanol (40 mL). The solid formed was filtered through Büchner and the filtrate was diluted with water (50 mL) in order to facilitate the precipitation of diamide still in solution that was separated by filtration. The filtrate was extracted with dichloromethane (DCM) and the combined organic layers were washed with 1N HCl, dried over Na2SO4, filtered and the solvent was evaporated in vacuo to give a yellow oil (5.08 g, 2.6 mmols, 37 % yield); TLC (ethyl acetate/petroleum ether = 7/3). The obtained compound was transferred in a 250 mL round bottom flask fitted with a condenser and a stirring bar and was suspended in a solution of Na2CO3 (5.29 g, 5.0 mmols) in water (100 mL). The mixture was refluxed for 30 min, cooled down with a slush bath and acidified by slow addition of 37 % HCl until a white precipitate was formed. The solid was collected by filtration and washed with 0.2N HCl and diethyl ether. Yield = 13 %; m.p. = 132 °C (lit. [15] 132 °C); IR (nujol) ν cm-1 = 1710 (C=O), 1660 (C=O); 1H-NMR (DMSO-d6, 80°C) δ 9.98 (brs, 1H, NH), 7.57 (d, 2H, J =8.1 Hz, Ar-H), 7.29 (t, 2H, J =7.5 Hz, Ar-H), 7.05 (t, 1H, J =7.5 Hz, Ar-H), 3.36 (s, 2H, CH2); 13C-NMR (DMSO-d6, 80°C) δ 164.9, 138.5, 128.2, 123.0, 119.1, 118.9, 45.3; Anal. Calcd. For C9H9NO3: C, 60.33; H, 5.06; N, 7.82. Found: C, 60.31; H, 5.04; N, 7.80.
Method b). To a two-neck 500 mL round bottom flask fitted with a condenser and a stirring bar containing anhydrous THF (150 mL) were added under a nitrogen atmosphere monobenzyl ester 9 (6.0 g, 30.0 mmols) and aniline 4a (2.73 mL, 30.0 mmol). The solution was stirred at r.t. for 15 min. and then DMTMM (8.3 g, 30.0 mmols) dissolved in anhydrous THF (50 mL) were added. The reaction mixture was stirred at r.t. for 24 h and then the solvent was evaporated in vacuo to give a white residue that was dissolved in DCM, washed with a saturated aqueous solution of NaHCO3, water, 1N HCl and brine. The organic layer was dried over Na2SO4, filtered and the solvent was evaporated in vacuo to afford 10 as a white solid that was triturated from petroleum ether and DCM (5.2 g, 52.4 mmols). Yield = 62 %); m.p. = 62 - 63 °C.
The amido ester 10 was transferred under a nitrogen atmosphere into a 100 mL two-neck flask fitted with a stirring bar containing anhydrous MeOH (50 mL). Then 5 % Pd/C (0.52 g, 0.2 mmols of Pd/0.01 eq) was added and the mixture was hydrogenated at r.t. and atmospheric pressure for 4 h. A second portion of 5 % Pd/C (0.52 g, 0.2 mmols of Pd/0.01 eq) was added and the reaction stirred for 12 h. The mixture was treated with nitrogen, filtered, and the filtrated was evaporated in vacuo to give 7 as a white solid (2.96 g, 16.5 mmols). Yield = 86 %; m.p. = 132 °C (lit. [15] 132 °C).
Synthesis of 3-hydrazyn-3-oxo-N-phenylpropanamide (3a). Hydrazine monohydrate 12a (0.20 mL, 4.12 mmols) was added to a solution of 11 (0.30 g, 1.45 mmols) in absolute ethanol (10 mL) and the reaction was stirred at reflux for 4 h. The mixture was cooled to r.t. and the white crystals formed were filtered and washed with ethanol. Yield = 59 %; m.p. = 177 - 179 °C (lit. [37] 183 °C); IR (nujol) ν cm- 1 = 1667 (C=O), 1640 (C=O); 1H-NMR (DMSO-d6) δ 10.09 (s, 1H, NH, exchange with D2O), 9.19 (s, 1H, NH, exchange with D2O), 7.58 (d, 2H, Ar-H), 7.30 (t, 2H, Ar-H), 7.05 (t, 1H, Ar-H), 4.30 (s, 2H, NH2 exchange with D2O), 3.18 (s, 2H, CH2); 13C-NMR (DMSO-d6) δ 166.1, 165.4, 138.9, 128.6, 123.2, 119.1, 42.9; GC/MS: m/z 193 (M+); Anal. Calcd. for C9H11N3O2: C, 55.95; H, 5.74; N, 21.75. Found: C, 56.29; H, 6.02; N, 22.03.
Synthesis of 3-(2-methyhydrazin)-3-oxo-N-phenylpropanamide (3b). Methylhydrazine monohydrate 12b (0.26 mL, 4.83 mmols) was added to a solution of 11 (0.40 g, 1.93 mmols) in absolute ethanol (10 mL) and the reaction was stirred at reflux for 30 h. The mixture was cooled down to r.t. and the white crystals formed were filtered. Yield = 50 %; m.p. = 169 - 171 °C; IR (nujol) ν cm-1 = 1666 (C=O), 1636 (C=O); 1H-NMR (CDCl3 + DMSO-d6) δ 10.05 (s, 1H, NH, exchange with D2O), 9.49 (s, 1H, NH exchange with D2O), 7.59 (d, 2H, Ar-H), 7.28 (t, 2H, Ar-H), 7.03 (t, 1H, Ar-H), 4.71 (s, 1H, NH), 3.21 (s, 2H, CH2), 2.50 (s, 3H, CH3); 13C-NMR (CDCl3 + DMSO-d6) δ 163.7, 163.4, 137.1, 128.7, 121.5, 117.3, 41.2, 36.8; GC/MS: m/z 207 (M+); Anal. Calcd. for C10H13N3O2: C, 57.96; H, 6.32; N, 20.28. Found: C, 58.20; H, 6.60; N, 20.50.
Synthesis of 3-oxo-N-phenyl-3-(2-phenylhydrazin)propanamide (3c) and N-N1-diphenylmalonamide (1a). A solution of 11 (0.40 g, 1.93 mmols) and phenylhydrazine 12c (0.27 mL, 2.70 mmols) in chlorobenzene (14 mL) was stirred at reflux for 20 h. Then, the solvent was removed in vacuo to give a brown residue that was purified by silica gel column chromatography eluting with ethyl acetate/petroleum ether 7.5/2.5 to afford 3c and 1a. (3c): Yield = 31 %; m.p. = 173 - 175 °C; IR (nujol) ν cm-1 = 1668 (C=O), 1642 (C=O); 1H-NMR (CDCl3 + DMSO-d6) δ 10.10 (s, 1H, NH, exchange with D2O), 9.97 (s, 1H, NH, exchange with D2O), 9.83 (s, 1H, NH, exchange with D2O), 7.72-7.59 (m, 2H, Ar-H), 7.32-7.04 (m, 5H, Ar-H), 6.82-6.70 (m, 3H, Ar-H), 3.38 (s, 2H, CH2); C-NMR (CDCl3 + DMSO-d6) δ 166.4, 165.1, 148.8, 138.8, 128.4, 123.2, 119.0, 118.5, 112.2, 43.0; GC/MS: m/z 269 (M+); Anal. Calcd. for C15H15N3O2: C, 66.90; H, 5.61; N, 15.60. Found: C, 67.15; H, 5.89; N, 15.82. (1a): Yield = 23 %; m.p. = 227 - 228 °C (lit. 228 - 229 °C) [7]; IR (nujol) ν cm-1 = 1650 (C=O); 1H-NMR (CDCl3+ DMSO-d6) δ 10.10 (s, 2H, NH), 7.62 (d, 4H, Ar-H), 7.28 (t, 4H, Ar-H), 7.04 (t, 2H, Ar-H), 3.50 (s, 2H, CH2); C-NMR (CDCl3+DMSO-d6) δ 164.6, 137.4, 127.6, 122.7, 118.6, 44.1; GC/MS: m/z 254 (M+); Anal. Calcd. for C15H14N2O2: C, 70.85; H, 5.55; N, 11.02. Found: C, 71.00; H, 5.73; N, 11.29.
Synthesis of 3-[2-(4-nitrophenylhydrazin]-3-oxo-N-phenylpropanamide (3d). A mixture of 11 (0.40 g, 1.93 mmols) and 4-nitrophenylhydrazine 12d (0.44 g, 2.9 mmols) in chlorobenzene (20 mL) was stirred at reflux for 15 h. Then, the solvent was removed in vacuo to give a pale orange solid that was triturated with diethyl ether and petroleum ether followed by silica gel column chromatography eluting with ethyl acetate/petroleum ether 6/4. Yield = 63 %; m.p. = 205 - 207 °C; IR (nujol) ν cm-1 = 1668 (C=O), 1642 (C=O); 1H-NMR (CDCl3 + DMSO-d6) δ 10.06 (s, 1H, NH, exchange with D2O), 9.91 (s, 1H, NH, exchange with D2O), 8.59 (s, 1H, NH, exchange with D2O), 8.05 (d, 2H, J =9, Ar-H), 7.73- 7.50 (m, 3H, Ar-H), 7.30 (t, 1H, Ar-H), 7.08 (t, 1H, Ar-H), 6.88 (d, 2H, J = 9, Ar-H), 3.48 (s, 2H, CH2); 13C-NMR (CDCl3 + DMSO-d6) δ 165.9, 163.8, 153.3, 137.7, 137.4, 129.8, 127.4, 124.4, 122.5, 118.4, 109.7, 41.9; GC/MS: m/z 314 (M+); Anal. Calcd. for C15H14N4O4: C, 57.32; H, 4.49; N, 17.83. Found: C, 57.61; H, 4.73; N, 18.10.
Synthesis of 3-oxo-N-phenyl-3-{2-[4-(trifluoromethyl)pyrimidin-2-yl]hydrazin}propanamide (3e) and N1,N3-bis[4-(trifluoromethyl)pyrimidin-2-yl]malonylhydrazide (14). 4-Trifluoromethyl-2-hydrazino-pyrimidine 12e (0.45 g, 2.53 mmols) was added to a solution of 11 (0.35 g, 1.69 mmols) in chlorobenzene (15 mL) and the mixture was stirred at reflux for 25 h. The solution was cooled down to r.t. and the precipitate formed was filtered and washed with chlorobenzene. Then, the solid was washed with ethyl acetate to give 14 as a white solid that remained on the filter, and evaporation of the organic layers in vacuo afforded 3a as a yellow solid. (14) Yield = 60 %; m.p. = 245 - 247 °C; IR (nujol) ν cm-1 = 1650 (C=O), 1152 (CF); 1H-NMR (DMSO-d6) δ 10.13-9.60 (2 brs, 4H, NH), 8.72 (d, 2H, Ar-H), 7.21 (d, 2H, Ar-H), 3.27 (s, 2H, CH2); 13C-NMR (DMSO-d6) δ 165.3, 162.6, 161.4, 122.9, 117.4, 107.0, 42.5; GC/MS: m/z 424 (M+); Anal. Calcd. for C13H10F6N8O2: C, 36.80; H, 2.38; N, 26.41. Found: C, 37.10; H, 2.64; N, 26.20. (3e) Yield = 21 %; m.p. = 167 - 169 °C; IR (nujol) ν cm-1 = 1688 (C=O), 1668 (C=O), 1153 (CF); 1H-NMR (DMSO-d6) δ 10.18 (s, 1H, NH), 10.14 (s, 1H, NH), 9.74 (s, 1H, NH), 8.73 (d, 1H, Ar-H), 7.60 (d, 1H, Ar-H), 7.45-7.24 (m, 4H, Ar-H), 7.21 (d, 1H, Ar-H), 7.06 (t, 1H, Ar-H); 13C-NMR (DMSO-d6) δ 166.5, 165.0, 163.2, 162.0, 139.0, 130.4, 128.9, 128.5, 127.2, 123.7, 123.4, 119.3, 117.9, 107.7; GC/MS: m/z 339 (M+); Anal. Calcd. for C14H12F3N5O2: C, 49.56; H, 3.57; N, 20.64. Found: C, 51.10; H, 4.16; N, 20.80.
Synthesis of 3-[2-(3,4-dihydronaphtalen-1(2H)-hylidene)hydrazin]-3-oxo-N-phenylpropanamide (3f). Tetralone 13 (1.0 mL, 1.1 g, 7.5 mmols) was added dropwise to a solution of hydrazide 3a (0.40 g, 2.1 mmols) in absolute ethanol (50 mL), which was obtained by heating the mixture at 60 °C. Then, the reaction was stirred at reflux for 5 h until a white solid appeared. The residue formed was filtered and washed with ethanol. Yield = 84 %; m.p. = 234 - 235 °C; IR (nujol) ν cm-1 = 1682 (C=O), 1654 (C=O); 1H-NMR (DMSO-d6) δ 10.64 (s, 1H, NH), 10.21 (s, 1H, NH), 7.99 (d, 1H, Ar-H), 7.62 (d, 2H, Ar-H), 7.40-6.95 (m, 6H, Ar-H), 3.75 (s, 2H, CH2), 2.82-2.54 (m, 4H, CH2), 1.90-1.69 (m, 2H, CH2); 13C-NMR (DMSO-d6) δ 169.9, 165.7, 151.4, 147.1, 132.2, 128.8, 128.7, 128.5, 126.1, 124.5, 123.1, 119.0, 43.9, 28.8, 25.6, 21.3; GC/MS: m/z 321 (M+); Anal. Calcd. for C19H19N3O2: C, 71.01; H, 5.96; N, 13.08. Found: C, 71.28; H, 6.10; N, 13.20.
Synthesis of ethyl-3-anilin-3-oxopropanoate (11) [15]. 2.0 g (1.70 mL, 13.3 mmols) of ethyl malonyl chloride (EMC) was added to a solution of aniline 4a (1.12 g, 1.1 mL, 12.1 mmols) and triethylamine (TEA) (1.85 mL, 13.3 mmols) in acetone (50 mL). The reaction mixture was stirred at r.t. for 1h and the solvent was evaporated in vacuo to give a residue that was suspended in water, treated with 3N HCl and extracted with diethyl ether. The combined organic layers were dried over Na2SO4, filtered and the solvent was evaporated in vacuo to give an orange oil. Yield = 89 %; m.p. = oil at r.t.; IR (nujol) ν cm-1 = 1744 (C=O ester); 1669 (C=O amide); 1H-NMR (DMSO-d6) δ 10.18 (s, 1H, NH, exchange with D2O), 7.58 (d, 2H, Ar-H), 7.31 (t, 2H, Ar-H), 7.06 (t, 1H, Ar-H), 4.12 (q, 2H, OCH2CH3), 3.46 (s, 2H, CH2), 1.21 (t, 3H, OCH2CH3); 13C-NMR (DMSO-d6) δ 167.7, 164.1, 138.8, 128.8, 123.5, 119.1, 60.7, 43.7, 14.0; GC/MS: m/z 207 (M+); Anal. Calcd. for C11H13NO3: C, 63.76; H, 6.32; N, 6.76. Found: C, 63.94; H, 6.65; N, 6.90.
Molecular Modeling
Model compounds I-Phe-DKA, III, 2a, 2h, 3a1, 3a2, 3a3, 3c, 3d, and 3e were constructed with standard bond lengths and angles from the fragment database with MacroModel 6.0 [38] using a Silicon Graphics O2 workstation running on IRIX 6.3. Sybyl 6.2 (2001) [39] was used as graphic platform. The atomic charges were assigned using the Gasteiger-Marsili method [40]. Minimization of structures was performed with the MacroModel/BachMin 6.0 program using the AMBER force field. Extensive conformational search was carried out using the Monte Carlo/Energy minimization [41] for all the compounds considered in the study (Ei-Emin < 5 Kcal/mol, energy difference between the generated conformation and the current minimum). Final minimization of the structures was performed with Sybyl 6.2 by using Tripos force field. Docking calculations were performed on Linux workstation.
Subunit A of IN core domain in complex with 1-(5-chloroindol-3-yl)-3-hydroxy-3-(2H-tetrazol-5-yl-propenone) (5CITEP; PDB 1QS4) was used for all docking studies. The missing residues at positions 141-144 in this subunit were incorporated from monomer B of the IN structure PDB 1BIS after superimposition of the backbones of residues 135-140 and 145-150, as previously reported [21,22,23]. The atomic charges for the protein were assigned using the Kollman United method [42]. Docking was performed with AutoDock version 3.05 [28] using the empirical free energy function and the Lamarckian protocol [43]. Mass-centered grid maps were generated with 80 grid points for every direction and with 0.375 Angstroms spacing by the AutoGrid program for the whole protein target.
Random starting position on the entire protein surface, random orientations and torsions were used for the ligands. The distance-dependent dielectric permittivity of Mehler and Solmajer was used for the calculation of the electrostatic grid-maps. 100 independent docking runs were carried out for each ligands. The cluster analyses were computed with a cluster tolerance by less than 1.5 Å in positional root-mean-square deviation with AutoDock Tools 1.4.6 [44].
Acknowledgements
We thank Dr Maria Orecchioni and Mr Paolo Fiori for assistance with NMR spectroscopy. MS is grateful to Fondazione Banco di Sardegna for its partial financial support. The work in NN’s laboratory was supported by funds from the Campbell Foundation.
References and Notes
- Pommier, Y.; Johnson, A. A.; Marchand, C. Integrase inhibitors to treat HIV/AIDS. Nat. Rev. Drug Discov. 2005, 4, 236–248. [Google Scholar] [CrossRef] [PubMed]
- Neamati, N. Patented small molecule inhibitors of HIV-1 integrase: a ten-year saga. Expert Opin. Ther. Pat. 2002, 12, 709–724. [Google Scholar] [CrossRef]
- Cotelle, P. Patented HIV-1 integrase inhibitors (1998-2005). Recent Patents Anti-Infect. Drug Disc. 2006, 1, 1–15. [Google Scholar] [CrossRef]
- Wang, Y.; Serradell, N.; Bolos, J.; Rosa, E. MK-0518, HIV integrase inhibitor. Drugs Fut. 2007, 32, 118–122. [Google Scholar] [CrossRef]
- Pais, G. C. G.; Burke, T. R. Novel aryl diketo-containing inhibitors of HIV-1 integrase. Drugs Fut. 2002, 27, 1101–1111. [Google Scholar]
- Neamati, N.; Lin, Z.; Karki, R. G.; Orr, A.; Cowansage, K.; Strumberg, D.; Pais, G. C. G.; Voigt, J. H.; Nicklaus, M. C.; Winslow, H. E.; Zhao, H.; Turpin, J. A.; Yi, J.; Skalka, A. M.; Burke, T.R., Jr.; Pommier, Y. Metal-dependent inhibition of HIV-1 integrase. J. Med. Chem. 2002, 45, 5661–5670. [Google Scholar] [CrossRef] [PubMed]
- Hansen, P. E.; Duus, F.; Bolvig, S.; Jagodzinski, T. S. Intramolecular hydrogen bonding of the enol forms of β-ketoamides and β-ketothioamides. Deuterium isotope effects on 13C chemical shifts. J. Mol. Struct. 1996, 378, 45–59. [Google Scholar] [CrossRef]
- Hanson, J. C. Structure of a Copper-Isoniazid Complex. J. Med. Chem. 1981, 24, 1369–1371. [Google Scholar] [CrossRef] [PubMed]
- Jahagirdar, J. A.; Patil, B. G.; Havinale, B. R. Cobalt(II), nickel(II), and copper(II) complexes of malonoanilic acidhydrazones. Ind. J. Chem., A: Inorg., Phys., Theor. Anal. 1990, 29A, 924–926. [Google Scholar]
- David, L.; Rusu, M.; Cozar, O.; Rusu, D.; Todica, M.; Balan, C. Spectroscopic and magnetic investigations of some transition metal complexes with N-4-methoxyphenyl-N-4-chlorobenzoyl hydrazide as ligand. J. Mol. Struct. 1999, 482-483, 149–152. [Google Scholar] [CrossRef]
- Shulgin, V. F.; Pevzner, N. S.; Zub, V. Y.; Strizhakova, N. G.; Maletin, Y. A. The synthesis and structure of nickel(II) and copper(II) complexes with N,N-dimethyl-N′-(2,4-dichlorophenoxy)acetyl hydrazine. Inorg. Chem. Comm. 2001, 3, 134–137. [Google Scholar] [CrossRef]
- Vennerstrom, J. L., Jr.; Holmes, T. J., Jr. Prostaglandin-H synthase inhibition by malonamides. Ring-opened analogues of phenylbutazone. J. Med. Chem. 1987, 30, 434–437. [Google Scholar] [CrossRef] [PubMed]
- Kunishima, M.; Kawachi, C.; Morita, J.; Terao, K.; Iwasaki, F.; Tani, S. 4-(4,6-Dimethoxy- 1,3,5-triazin-2-yl)-4-methyl-morpholinum chloride: an efficient condensing agent leading to formation of amides and esters. Tetrahedron 1999, 55, 13159–13170. [Google Scholar] [CrossRef]
- Falchi, A.; Porcheddu, A.; Taddei, M. 4-(4,6-Dimethoxy[1,3,4]triazin-2-yl)-4-methyl-morpholinum chloride (DMTMM): a valuable activating agent for carboxylic acids in solution, liquid and solid phase synthesis. Acros Org. Acta 2001, 8, 8–10. [Google Scholar]
- Chattaway, F. D.; Olmsted, J. M. D. The action of aromatic amines on ethyl malonate. J. Chem. Soc. 1910, 938–941. [Google Scholar] [CrossRef]
- Kaminski, Z. J. 2-Chloro-4,6-disubstituted-1,3,5-triazines: a novel group of condensing reagents. Tetrahedron Lett. 1985, 26, 2901–2904. [Google Scholar] [CrossRef]
- Dhapalapur, M. G.; Sabnis, S. S.; Deliwala, C. V. Potential Anticancer Agents. I. Synthesis of Some Nitrogen Mustard Containing Benzylidenehydrazides. J. Med. Chem. 1968, 11, 154–156. [Google Scholar] [CrossRef]
- Kutyrev, A.; Kappe, T. Methanetricarboxylates as Key Reagents for the Simple Preparation of Heteroarylcarboxamides with Potential Biological Activity. Part 1. Reaction of Methanetricarboxylates with Indoline and 1,2,3,4-Tetrahydroquinoline. J. Heter. Chem. 1997, 34, 969–972. [Google Scholar] [CrossRef]
- Ukrainets, I. V.; Bezugly, P. A.; Treskach, V. I.; Taran, S. G.; Gorokhova, O. V. Ethyl Esters of Malonanilic Acids. Synthesis and Pyrolysis. Tetrahedron 1994, 50, 10331–10338. [Google Scholar] [CrossRef]
- Nishino, H.; Ishida, K.; Hashimoto, H.; Kurosawa, K. Manganese(III)-Mediated Oxidative Radical Cyclization 3. Synthesis of 3-Azabicyclo[3,3,0]-octan-2-ones and Related Compounds in the Reaction of 1,1,6,6-Tetraarylhexa-1,5-dienes with N,N’-Disubstituted Malonamides. Synthesis 1996, 888–896. [Google Scholar] [CrossRef]
- Sotriffer, C. A.; Ni, H.; McCammon, A. J. HIV-1 Integrase inhibitor interactions at the active site: prediction of binding modes unaffected by crystal packing. J. Am. Chem. Soc. 2000, 122, 6136–6137. [Google Scholar] [CrossRef]
- Sechi, M.; Angotzi, G.; Dallocchio, R.; Dessì, A.; Carta, F.; Sannia, L.; Mariani, A.; Fiori, S.; Sanchez, T.; Movsessian, L.; Plasencia, C.; Neamati, N. Design and synthesis of novel dihydroxyindole-2-carboxylic acids as HIV-1 integrase inhibitors. Antiv. Chem Chemother. 2004, 15, 67–81. [Google Scholar] [CrossRef]
- Sotriffer, C.A.; Ni, H.; McCammon, A.J. Active site binding modes of HIV-1 Integrase inhibitors. J. Med. Chem. 2000, 43, 4109–4117. [Google Scholar] [CrossRef] [PubMed]
- Ni, H.; Sotriffer, C. A.; McCammon, J. A. Ordered water and ligand mobility in the HIV-1 integrase5CITEP complex: a molecular dynamics study. J. Med. Chem. 2001, 44, 3043–3047. [Google Scholar] [CrossRef] [PubMed]
- Barreca, M. L.; Lee, K. W.; Chimirri, A.; Briggs, J. M. Molecular dynamics studies of the wild-type and double mutant HIV-1 integrase complexed with the 5CITEP inhibitor: Mechanism for inhibition and drug resistance. Biophys. J. 2003, 84, 1450–1463. [Google Scholar] [CrossRef]
- Zeinalipour-Loizidou, E.; Nicolaou, C.; Nicolaides, A.; Kostrikis, L. G. HIV-1 Integrase: From Biology to Chemotherapeutics. Curr. HIV Res. 2007, 5, 365–388. [Google Scholar] [CrossRef] [PubMed]
- Goldgur, Y.; Craigie, R.; Cohen, G. H.; Fujiwara, T.; Yoshinaga, T.; Fujishita, T.; Sugimoto, H.; Endo, T.; Murai, H.; Davies, D. R. Structure of the HIV-1 integrase catalytic domain complexed with an inhibitor: a platform for antiviral drug design. Proc. Natl. Acad. Sci. USA 1999, 96, 13040–13043. [Google Scholar] [CrossRef] [PubMed]
- Morris, G.M.; Goodsell, D. S.; Huey, R.; Olson, A. Distributed automated docking of flexible ligands to proteins: Parallel application of AutoDock 2.4*. J. Comp. Aid. Mol. Des. 1996, 10, 293–304. [Google Scholar] [CrossRef]
- Neamati, N.; Marchand, C.; Pommier, Y. HIV-1 integrase inhibitors: past, present, and future. In Advances in Pharmacology; Academic Press: San Diego, USA, 2000; volume 49, pp. 147–165. [Google Scholar]
- Semenova, E. A.; Marchand, C.; Pommier, Y. HIV-1 integrase inhibitors: update and perspectives. Adv. Pharmacol. 2008, 56, 199–228. [Google Scholar] [PubMed]
- Sechi, M.; Bacchi, A.; Carcelli, M.; Compari, C.; Duce, E.; Fisicaro, E.; Rogolino, D.; Gates, P.; Derudas, M.; Al-Mawsawi, L. Q.; Neamati, N. From Ligand to Complexes: Inhibition of Human Immunodeficiency Virus Type 1 Integrase by β-Diketo Acid Metal Complexes. J. Med. Chem. 2006, 49, 4248–4260. [Google Scholar] [CrossRef] [PubMed]
- Shobana, N.; Yeshoda, P.; Shanmugam, P. A convenient approach to the synthesis of prenyl-, furo- and pyranoquinoline alkaloids of the Rutaceae. Tetrahedron 1989, 45, 757–762. [Google Scholar] [CrossRef]
- Price, C. C.; Velzen, B. H. Some derivatives of oxanilide. J. Org. Chem. 1947, 12, 386–392. [Google Scholar] [CrossRef] [PubMed]
- Chen, H.; Xu, J.; Li, Z.; Huang, B. An 8-Aminoquinoline-based Fluorescent Sensor of Transition Metal Ions. J. Chem. Res., Syn. 1998, 8, 444–445. [Google Scholar] [CrossRef]
- Grimm, J.; Harrington, P.; Heidebrecht, R., Jr.; Miller, T.; Otte, K.; Siliphaivanh, P.; Sloman, D.; Stanton, M.; Wilson, K.; Witter, D.; Kattar, S.; Tempest, P. Preparation of modified malonates, particularly 2-[4-[[(2-aminophenyl)amino]carbonyl]phenyl]-N,N'-disubstituted malonamides and related derivatives, as histone deacetylase inhibitors useful for treating neoplasm and other proliferative diseases. [PCT Int. Appl., WO 2007002248 2007].
- Bakulev, V. A.; Morzherin, Y. Y.; Lebedev, A. T.; Dankova, E. F.; Kolobov, M. Y.; Shafran, Y.M. Study of polyfunctional diazo compound reactivity in heterocyclization by the method of intramolecular competitive reactions. Bull. Soc. Chim. Belg. 1993, 102, 493–502. [Google Scholar] [CrossRef]
- Ziegler, E.; Brus, G. Synthesis of functionally mixed malonic acid derivatives. Monatsh. Chem. 1967, 98, 1100–1113. [Google Scholar] [CrossRef]
- Macromodel, version 6.0; Columbia University: New York, USA, 1997.
- SYBYL, version 6.2; Tripos Inc.: St. Louis, MO., USA, 2001.
- Gasteiger, J.; Marsili, M. Iterative partial equalization of orbital electronegativity - a rapid access to atomic charges. Tetrahedron 1980, 36, 3219–3228. [Google Scholar] [CrossRef]
- Chang, G.; Guida, W. C.; Still, W. C. An internal coordinate Monte Carlo method for searching conformational space. J. Am. Chem. Soc. 1989, 111, 4379–4386. [Google Scholar] [CrossRef]
- Weiner, S. J.; Kollman, P. A.; Case, D. A.; Singh, U. C.; Ghio, C.; Alagona, G. S.; Profeta, P.; Weiner, P. A new force field for molecular mechanical simulation of nucleic acids and proteins. J. Am. Chem. Soc. 1984, 106, 765–784. [Google Scholar] [CrossRef]
- Morris, G. M.; Goodsell, D. S.; Halliday, R. S.; Huey, R.; Hart, W. E.; Belew, R. K.; Olson, A. J. Automated docking using a Lamarckian genetic algorithm an empirical binding free energy function. J. Comp. Chem. 1998, 19, 1639–1662. [Google Scholar] [CrossRef]
- Sanner, M. F. Python: A Programming Language for Software Integration and Development. J. Mol. Graphics Mod. 1999, 17, 57–61. [Google Scholar]
- Sample Availability: Samples of the compounds 1a-h, 2a-h, 3a-f are available from the authors.
© 2008 by the authors. Licensee Molecular Diversity Preservation International, Basel, Switzerland. This article is an open-access article distributed under the terms and conditions of the Creative Commons Attribution license ( http://creativecommons.org/licenses/by/3.0/).