Abstract
The reaction of nitrilimine 6a with ethyl pyridine-2-acetate (7) gave the corresponding pyrrolo[1,2-a]pyridine 8, while the reaction of 6b containing an ester moiety afforded the acyclic adduct 9. The reaction of 6a with 2-aminopyrimidine (10) gave the novel unexpected pyrimido[2,1-d]1,2,3,5-tetrazine 11. Acyclic adducts 16 and 17 were obtained from the reaction of 6b with 2-cyanomethylbenzimidazole (14) and 2-aminobenzimidazole (15), respectively.
Introduction
Pyrrolo[1,2-a]pyridine (inolizine) derivatives possess a wide range of physiological activity, which depend on the nature of the substituents and their position on the molecule. They are used as 5-lipoxygenase pathway inhibitors [1]. Their uses for different purposes, including their interesting biological activities, were summarized by Wang et al. [2]. Recently, Gundersen et al. reported the synthesis of indolizine derivatives with selective antibacterial activity against Mycobacterium tuberculosis [3]. Indolizine derivatives can be prepared by different routes, including the 1,3-dipolar cycloaddition reaction of pyridylnitrilimines with dimethyl acetylenedicarboxylate [4]. 1,3-Dipolar cycloadditions of pyridinium N-ylides to alkenes were also used for their preparation [2]. Propargyl-substituted pyridine [5] and propargyl amines or amides [6] were recently used for their synthesis.
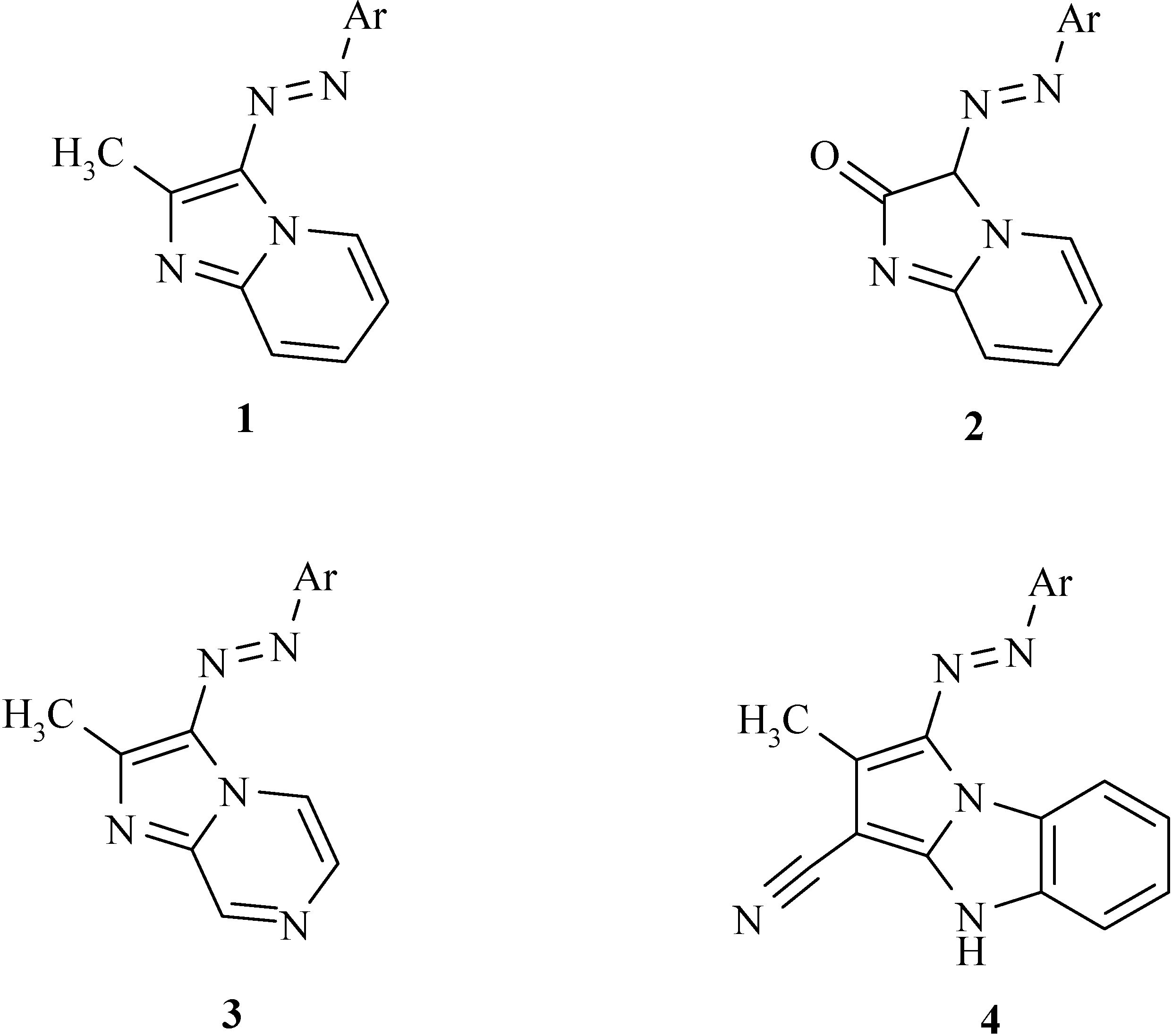
The synthesis of different fused heterocyclic systems was recently reported using nitrilimines and 2-substituted aza-heterocycles. These include imidazo[1,2-a]pyridines 1 [7] and their 2-one derivatives 2 [8], imidazo[1,2-a]pyrazines 3 [9] and pyrrolo[1,2-a]benzimidazole 4 [10] (Figure 1). The present work describes the synthesis of new indolizine derivatives in good yields via a one-pot reaction which utilizes simple conditions and inexpensive reagents.
Figure 1.
Figure 1.

The above reactions are examples of a type of reaction in which a dinucleophic heterocyclic molecule reacts at the two electrophilic centers of nitrilimines, namely, the terminal carbon of the dipole, and the carbonyl carbon of the acetyl or ester moiety attached to that carbon. This work will investigate the reaction of nitrilimines with different similar dinucleophilic heterocycles (ethyl pyridine-2-acetate, 2-aminopyrimidine, 2-cyanomethylbenzimidazole and 2-aminobenzimidazole).
Results and Discussion
Reaction of nitrilimines with ethyl pyridine-2-acetate.
The reaction was carried out by mixing a slight excess of ethyl pyridine-2-acetate (7) with hydrazonoyl halides 5 in tetrahydrofuran in the presence of triethylamine (Scheme 1). The reaction mixture was stirred for 48 hours at room temperature. The products were then separated and identified by their spectral data. Different reaction modes were observed depending on the Y residue of the hydrazonoyl halides. Pyrrolo[1,2-a]pyridine 8 was obtained when Y is CH3, while the acyclic addition product 9 was obtained when Y is OCH3. Structure elucidation of both products was based mainly on their NMR spectral data, presented in the Experimental.
Scheme 1.
Scheme 1.

Reaction of nitrilimines with 2-aminopyrimidine
In this case the product was characterized to be the pyrimido[2,1-d]1,2,3,5-tetrazine 11, rather than the expected products 12 or 13 (Scheme 2). The structure elucidation was based mainly on MS and NMR spectral data of the product. The molecular weight of the product and the presence of a C=O signal in the 13C-NMR excludes structure 13. Eleven signals in the 13C-NMR spectrum are in accordance with structure 11 rather than the acyclic structure 12.
A plausible reaction mechanism for the formation of 11 is depicted in Scheme 3. It is suggested that the reaction stars with the 1,3-dipolar cycloaddition of the nitrilimine with aminopyrimidine producing the intermediate cycloaddition product 14. The later then recyclizes to 11 in a Stevens-type rearrangement followed by oxidation.
Scheme 2.
Scheme 2.

Scheme 3.
Scheme 3.

Pyrimido[2,1-d]1,2,3,5-tetrazines have not been reported in the literature according to our knowledge. Different pyrimido[1,2-b]1,2,4,5-tetrazines were prepared by reaction of 3-aminopyrimidine with hydrazonoyl halides [11]. The synthesis and biological activity of pyrimido[1,2-b]1,2,4,5-tetrazin-6-one against HCMV protease was described by Grandi et al. [12].
Reaction of nitrilimines with 2-cyanomethylbenzimidazole and 2-aminobenzimidazole
This reaction gave nucleophilic addition products 16 and 17, respectively (Scheme 4). The spectral data are in accordance with the suggested structures.
Scheme 4.
Scheme 4.

Experimental
General
Melting points were determined on an Electrothermal Mel. Temp. apparatus and are uncorrected. 1H- and 13C NMR spectra were recorded on a Bruker 300 MHz instrument for solutions in CDCl3 or DMSO-d6 at 21 oC, using TMS as an internal reference. Chemical shifts are expressed in δ (ppm) downfield from TMS. EI-MS spectra were obtained using a Finnigan MAT TSQ-70 spectrometer at 70 eV. The hydrazonoyl chlorides 5a,b were prepared as previously described [13].
Reaction of nitrilimines 5 with 2-substituted heterocycles 7, 10, 14 and 15
Triethylamine (0.01 mol, 1.4 mL) was added dropwise at room temperature to a mixture of a hydrazonoyl halide 5a,b (0.01 mol) and the appropriate heterocycle (0.01 mol) in tetrahydrofuran (50 mL). The reaction mixture was stirred for two days. The precipitated salt was filtered off and the solvent was then evaporated. The residual solid was washed twice with water and then triturated with ethanol. The solid was collected using suction filtration and recrystallized from a suitable solvent. The purity of the compounds was checked using TLC.
The following compounds were prepared applying this procedure:
8-Ethoxycarbonyl-7-methyl-6-(4-chlorophenylazo)pyrrolo[1,2-a]pyridine (8). Yield: 70%, orange solid, m.p. = 128 °C; 1H-NMR (DMSO-d6) δ: 1.34 (t, J=7.0 Hz, 3H, CH3), 2.74 (s, 3H, CH3), 4.3 (q, J=7.0 2H, OCH2), 9.9-7.21 (m, 8H, ArC-H); 13C-NMR (DMSO-d6) δ: 12.28 (CH3), 14.84 (CH3), 60.11 (OCH2), 116.73, 116.90, 119.09, 123.25, 129.59, 129.72 (6ArCH), 106.47, 128.42, 129.64, 133.48, 137.87, 152.58 (6ArC), 164.29 (C=O).
Methyl 2-(4-chlorophenylhydrazono)-3-(pyridine-2-yl)-3-ethoxycarbonylpropanoate (9). Yield: 63%, yellow solid, m.p. = 138-139 °C; 1H-NMR (DMSO-d6) δ 1.04 (t, J=7.0 Hz, 3H, CH3), 3.76 (s, 3H, OCH3), 3.86 (q, J=7.0 Hz, 2H, OCH2), 8.16-6.11 (m, 8H, ArC-H), 10.8 (s, 1H, NH); 13C-NMR (DMSO-d6) δ 15.05 (CH3), 53.22 (OCH3), 57.93 (OCH2), 76.64 (CH), 107.88, 116.78, 120.73, 129.64, 134.55, 136.99 (6ArCH), 123.53, 127.00, 142.40, 151.53, (C=N, 3ArC), 161.45 (C=O), 167.52(C=O).
4-Acetyl-2-(4-chlorophenyl)pyrimido[2,1-d]1,2,3,5-tetrazine (11). Yield: 63%, brown solid, m.p. = 191 °C; 1H-NMR (DMSO-d6) δ 2.51 (s, 3H, CH3), 5.51(t, J=11.0 Hz, 1H, ArCH), 7.55 (d, J =9.0 Hz, 2H, ArCH), 7.93 (d, J=9.0 Hz, 2H, ArCH), 7.61 (d, J=11.0 Hz, 1H, ArCH), 8.67 (d, J=11.0 Hz, 1H, ArCH); 13C-NMR (DMSO-d6) δ 27.29 (CH3), 132.00, 136.82, 157.62, 161.44, (4ArC), 101.50, 124.95, 129.38, 160.91, 169.39 (5ArCH), 191.66 (C=O); MS: m/z: 287/289 (35, M+), 271/273 (100), 151/153 (37), 94 (72).
Methyl 2-(4-chlorophenyl)-2-(2-aminobenzimidazol-1-yl)ethanoate (16). Yield: 81%, white solid, m.p. = 198 °C; 1H-NMR (DMSO-d6) δ 3.70 (s, 3H, OCH3), 6.52 (s, 2H, NH2), 6.65 (d, J=7.0 Hz ,1H, ArCH), 6.79 (t, J=8.0 Hz, 1H, ArCH), 6.97 (t, J=8.0 Hz, 1H, ArCH), 7.16 (d, J=7.0 Hz, 1H, ArCH), 7.33 (s, 4H, 4-ClC6H4); 13C-NMR (DMSO-d6) δ 52.80 (OCH3), 108.08, 115.52, 116.72, 119.13, 121.96, 129.47 (6ArCH), 119.85, 126.51, 133.89, 142.60, 144.55, 155.00 (C=N + 5ArC), 161.75 (C=O).
Methyl 2-(4-chlorophenyl)-2-(2-cyanomethylbenzimidazol-1-yl)ethanoate (17). Yield: 77%, pale yellow solid, m.p. = 206 °C; 1H-NMR (DMSO-d6) δ 3.74 (s, 3H, OCH3), 4.25 (2d(AB system), 2H, CH2), 7.12 (d, J=7.0 Hz ,1H, ArCH), 7.37-7.23 (m, 6H, ArCH), 7.74 (d, J =7.0 Hz, 1H, ArCH), 10.97 (s, 1H, NH), 13C-NMR (DMSO-d6) δ 18.27 (CH2), 53.20 (OCH3), 110.74, 117.05, 119.97, 123.45, 124.30, 29.55 (6ArCH), 115.99, 118.21, 127.22, 135.03, 142.23, 142.96, 146.18 (C=N, C°N, 5ArC), 161.64 (C=O).
Acknowledgements
One of the authors, Prof, Adel Awadallah, is thankful to the Ministry of Education and Higher Education of Palestine for financial support, and to Dina El-Ashi and Mona El-Assar for their experimental work.
References
- Bender, P.; Hanna, N. Pyrrolo[1,2-a]imidazole and pyrrolo[1,2-a]pyridine derivatives and their use as 5-lipoxygenase pathway inhibitor. US Pat. 4719218, 1988. [Google Scholar]
- Wang, B.; Zhang, X.; Li, J.; Hu, Y.; Hu, H. Preparation of indolizine-3-carboxamides and indolizine-3-carbonitriles by 1,3-dipolar cycloaddition of N-(cyanomethyl)pyridinium ylides to alkenes in the presence of tetrakispyridinecobalt(II) dichromate or manganese(IV) oxide. J. Chem. Soc., Perkin Trans. 1 1999, 1571–1576. [Google Scholar] [CrossRef]
- Gundersen, L.-L.; Charnock, C.; Negussie, A.H.; Rise, F.; Teklu, S. Synthesis of indolizine derivatives with selective antibacterial activity against Mycobacterium tuberculosis. Eur. J. Pharm. Sci. 2007, 30, 26–35. [Google Scholar] [CrossRef]
- Tanaka, S.; Terada, A. Reactions of Pyridylnitrilimines with Dimethyl Acetylene Dicarboxylate. Heterocycles 1981, 16, 717–720. [Google Scholar] [CrossRef]
- Seregin, I.; Gevorgyan, V. Gold-Catalyzed 1,2-Migration of Silicon, Tin, and Germanium en Route to C-2 Substituted Fused Pyrrole-Containing Heterocycles. J. Am. Chem. Soc. 2006, 128, 12050–12051. [Google Scholar] [CrossRef]
- Liu, Y.; Song, Z.; Yan, B. General and Direct Synthesis of 3-Aminoindolizines and Their Analogues via Pd/Cu-Catalyzed Sequential Cross-Coupling/Cycloisomerization Reactions. Org. Lett. 2007, 9, 409–412. [Google Scholar] [CrossRef]
- Thaher, B. Synthesis and characterization of some new substituted imidazo[1,2-a]pyridines. Abhath Al-Yarmouk J. (Ser. Nat. Stud.) 2003, 12, 555–561. [Google Scholar]
- Thaher, B. Synthesis of some new substituted imidazo[1,2-a]pyrazines. J. Islamic Univ. Gaza (Ser. Nat. Stud. Eng.) 2005, 13, 109–115. [Google Scholar]
- Thaher, B. Synthesis of some new substituted imidazo[1,2-a]pyridine and their 2-one derivatives. J. Islamic Univ. Gaza (Ser. Nat. Stud. Eng.) 2006, 14, 31–38. [Google Scholar]
- Awadallah, A.M.; Seppelt, K.; Shorafa, H. Synthesis and X-ray crystal structure of pyrrolo[1,2-a]benzimidazoles. Tetrahedron 2006, 62, 7744–7746. [Google Scholar] [CrossRef]
- Shawali, A. S.; Elghandour, A.; El-Sheikh, S. A new one-step synthesis of pyrimido-[1,2-b][1,2,4,5]tetrazines. Heteroatom Chem. 2000, 11, 87–90. [Google Scholar] Hassan, N. Two-component, one-pot synthesis of pyrimido[1,2-b] [1,2,4,5]tetrazines. J. Sulfur Chem. 2006, 27, 605–615. [Google Scholar] Mosselhi, M.; Hussein, A.; Shawali, A. S. New Triheterocyclic Ring System. Synthesis of Functionalized Pyrazolo[3,4-d]pyrimido[1,2-b][1,2,4,5]-tetrazine Derivatives. J. Chin. Chem. Soc (Taipei) 2006, 53, 923–930. [Google Scholar]
- Di Grandi, M.J.; Curran, K.J.; Baum, E.Z.; Bebernitz, G.; Ellestad, G.A.; Ding, W.- D.; Lang, S.A.; Rossi, M.; Bloom, J.D. Pyrimido[1,2-b]-1,2,4,5-tetrazin-6-ones as HCMV protease inhibitors: a new class of heterocycles with flavin-like redox properties. Bioorg. Med. Chem. Lett. 2003, 13, 3483–3486. [Google Scholar] [CrossRef]
- El-Abadelah, M.M.; Hussein, A.Q.; Thaher, B.A. Heterocycles from Nitrile Imines. Part IV. Chiral 4,5-Dihydro-1,2,4-triazin-6-ones. Heterocycles 1991, 32, 1879–1895. [Google Scholar] [CrossRef]
- Sample Availability: Contact the authors.
© 2008 by MDPI (http://www.mdpi.org). Reproduction is permitted for noncommercial purposes.