Next Article in Journal
Reactions of 9-Alkyl-3-aminocarbazoles with Ethyl-3-oxo-butanoate and Identification of the Products Obtained
Previous Article in Journal
Synthesis of Some New bis-Schiff Bases of Isatin and 5-Fluoroisatin in a Water Suspension Medium
 
 
Font Type:
Arial Georgia Verdana
Font Size:
Aa Aa Aa
Line Spacing:
Column Width:
Background:
Article

An Efficient Scalable Synthesis of 2,3-Epoxypropyl Phenylhydrazones

by
Vytautas Getautis
*,
Maryte Daskeviciene
,
Tadas Malinauskas
,
Albina Stanisauskaite
and
Jolanta Stumbraite
Department of Organic Chemistry, Kaunas University of Technology, LT-50270 Kaunas, Lithuania
*
Author to whom correspondence should be addressed.
Molecules 2006, 11(1), 64-71; https://doi.org/10.3390/11010064
Submission received: 3 January 2005 / Revised: 16 December 2005 / Accepted: 17 December 2005 / Published: 31 January 2006

Abstract

:
A series of mono and di-N-2,3-epoxypropyl N-phenylhydrazones have been prepared on a large scale by reaction of the corresponding N-phenylhydrazones of 9‑ethyl-3-carbazolecarbaldehyde, 9-ethyl-3,6-carbazoledicarbaldehyde, 4-dimethyl-amino-, 4-diethylamino-, 4-benzylethylamino-, 4-(diphenylamino)-, 4-(4,4ۥ-dimethyl- diphenylamino)-, 4-(4-formyldiphenylamino)- and 4-(4-formyl-4ۥ-methyldiphenyl-amino)benzaldehyde with epichlorohydrin in the presence of KOH and anhydrous Na2SO4.

Introduction

Epoxides are versatile intermediates in organic synthesis; and a large variety of reagents are known for the ring opening of these compounds to yield products with important biological activities and pharmacological properties [1,2]. On the other hand, hydrazine derivatives are nowadays of considerable technical and commercial importance [3]. Particularly hydrazones are often mentioned among the most effective charge transporting low-molecular-weight materials used in electrophotography, due to their excellent hole-transporting properties and relatively simple synthesis [4,5,6,7].
Recently, we have reported the synthesis and properties of new hole transporting materials consisting of two hydrazone branches. These materials were synthesized by connecting two N-2,3-epoxypropyl N-phenylhydrazones with various difunctional nucleophilic compounds. The molecular structure of these transporting materials makes crystallization in the solid state difficult, so these materials are able to form glasses. Another peculiarity of the branched hydrazones is the presence of two hydroxyl groups in the molecule that improves their adhesion to some substrates and compatibility with some polymers, such as polyvinylbutyraldehyde. A variety of these branched hydrazones, involving N-ethylcarbazole, N,N-diethylaniline, N,N-benzylethylaniline and triphenylamine moieties have been generated [8,9]. Moreover, a new class of polymeric hydrazones was reported [10]. They ensure rapid charge transporting ability, high photosensitivity and durability of EPL, however until now there was no data concerning the synthesis of the epoxypropyl phenylhydrazones of arylaldehydes, which are the starting materials for preparation of above described novel electronactive molecules.
In this paper we report a synthetic method for large scale preparations of 2,3-epoxypropyl-N-phenyl-hydrazones and their bis-analogues containing 9-ethylcarbazole, diethylaniline, benzylethylaniline, triphenylamine, methyltriphenylamine, dimethyltriphenylamine moieties, which have been recently mentioned among the most usable organic photoconductors [11,12,13,14].

Results and Discussion

At first the reaction of phenylhydrazones with epichlorohydrin was carried out at room temperature in the presence of potassium hydroxide and anhydrous K2CO3 and lasted for 3 days. More attractive seemed the alkylation at 55-60 οC which allows to obtain various N-2,3-epoxypropylated hydrazones. At the elevated temperature the reaction time was reduced to 1.5-2 h, and high yields (57-81 %) were observed.
The experiments carried out revealed that this method was not suitable for bigger than preparative scale synthesis. At 55-60 οC in the presence of KOH and anhydrous K2CO3 the reaction often slipped out of control due to the polymerization of epichlorohydrin. Some changes to this method were made: the reaction was carried out at 35-40 °C by adding KOH and dewatering material in three portions with prior cooling of the reaction mixture to 20-25°C, the anhydrous K2CO3 was replaced by anhydrous Na2SO4. These changes enabled to decrease the amount of the water adsorbent used, reduce the amount of poly(epichlorohydrin) formed and ensure better reaction control.
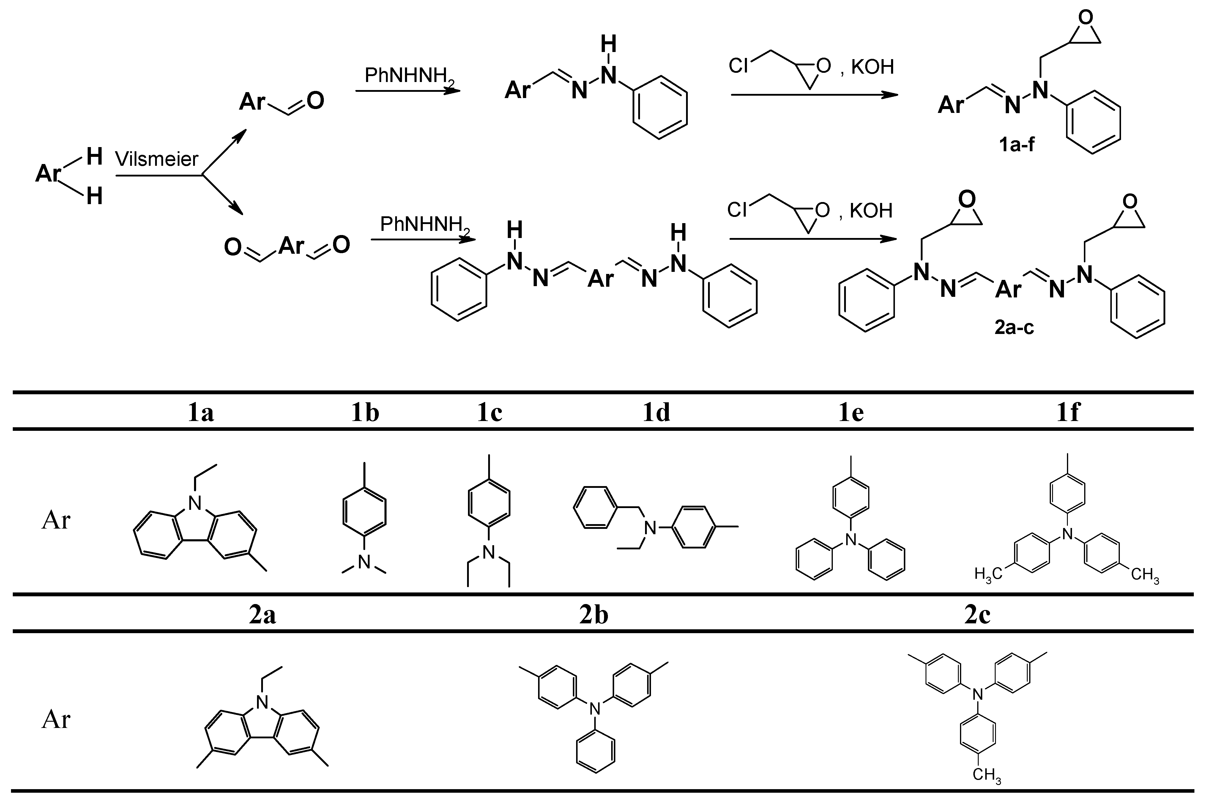
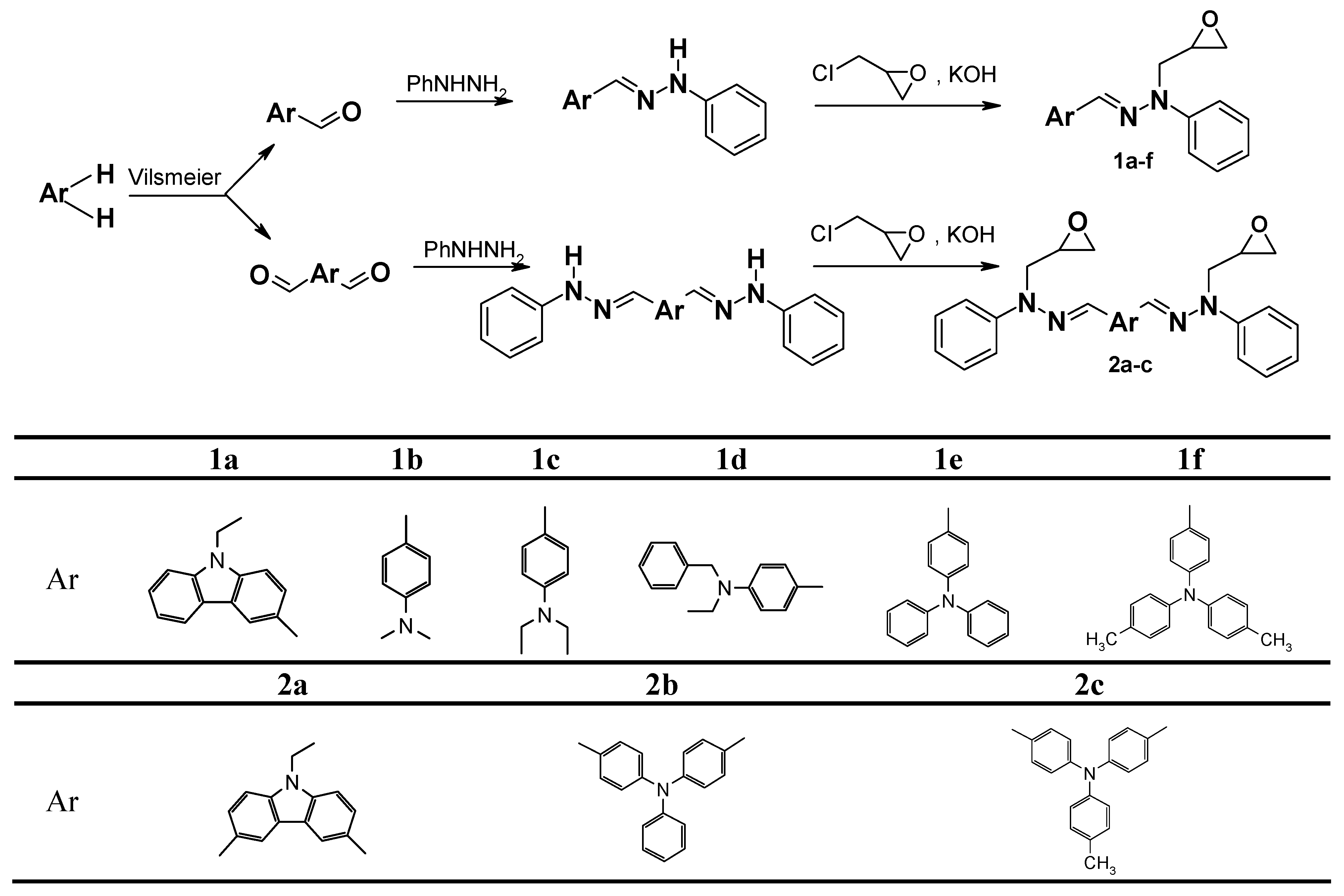
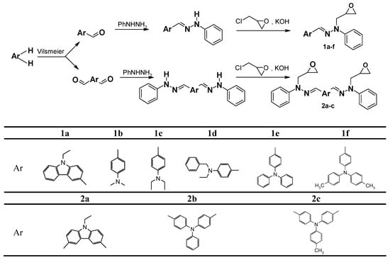
Based on the developed method, by interaction of N-phenylhydrazones of 9-ethyl-3-carbazole-carbaldehyde, 4-dimethylamino-, 4-diethylamino-, 4-benzylethylamino-, 4-(diphenylamino)-, 4-(4,4ۥ-dimethyldiphenylamino)benzaldehydes with epichlorohydrin (Scheme 1) a series of N-2,3-epoxypropyl hydrazones were synthesized on large scale with 78-90 % yields. This series included 1-(9-ethyl-carbazol-3-ylmethylene)-2-(2,3-epoxypropyl)-2-phenylhydrazine (1a), 2-(2,3-epoxypropyl)-1-(4-dimethylaminophenylmethylene)-2-phenylhydrazine (1b), 2-(2,3-epoxypropyl)-1-(4-diethylamino-phenylmethylene)-2-phenylhydrazine (1c), 1-(4-benzylethylaminophenylmethylene)-2-(2,3-epoxy-propyl)-2-phenylhydrazine (1d), 1-[4-(diphenylamino)phenylmethylene]-2-(2,3-epoxypropyl)-2-phenylhydrazine (1e) and 2-(2,3-epoxypropyl)-1-[4-(4,4ۥ-dimethyldiphenylaminophenylmethylene]-2-phenylhydrazine (1f).
Scheme 1. Synthetic route to the epoxides 1a-i containing hydrazone moieties
Scheme 1. Synthetic route to the epoxides 1a-i containing hydrazone moieties
Molecules 11 00064 g002
This method was slightly modified in the case of bis(N-2,3-epoxypropyl-N-phenyl)hydrazones 2a‑c; the amounts of epichlorohydrin, KOH and anhydrous Na2SO4 were increased, as well as the reaction times. 9-Ethyl-3,6-carbazoledicarbaldehyde bis(N-2,3-epoxypropyl-N-phenyl)hydrazone (2a), 4-(4-formyldiphenylamino)benzaldehyde bis(N-2,3-epoxypropyl-N-phenyl)hydrazone (2b) and 4-(4ۥ-formylmethyldiphenylamino)benzaldehyde bis(N-2,3-epoxypropyl-N-phenyl)hydrazone (2c) were thus synthesized on a large scale in 50-60 % yields.
The structures of 1a-i were confirmed by their 1H-NMR spectra and elemental analysis data. A typical set of lines for the epoxypropyl group appears in the 4.40-2.50 ppm region of the 1H-NMR spectra of 1a-f and 2a-c. In the 1H-NMR spectrum of 1e (shown in Figure 1) we observed the most clearly defined ABX systems of the non-equivalent geminal protons of NCH2 and CH2O. Thus the CH2O appeared as a doublet of doublets at 2.62 ppm (HA with JAB=4.8 Hz, JAX=2.7 Hz) and as a doublet of doublets at 2.84 ppm (HB with JBX=4.1 Hz) due to the coupling with CH, while protons of NCH2 respectively gave dd at 4.35 ppm (HAwith JAB=16.4 Hz, JAX=2.4 Hz) and dd at 3.99 ppm (HB with JBX=4.1 Hz).
Figure 1. Signals of the 2,3-epoxypropyl group in the 1H-NMR spectra of 1e (250 MHz, CDCl3 ).
Figure 1. Signals of the 2,3-epoxypropyl group in the 1H-NMR spectra of 1e (250 MHz, CDCl3 ).
Molecules 11 00064 g001

Conclusions

We have developed an efficient scalable method for the preparation of N-2,3-epoxypropylated N-phenylhydrazones 1a-f and bis(N-2,3-epoxypropyl-N-phenyl)hydrazones 2a-c, which are precursors for organic photoconductors [8,9,12,14] and therefore are of potential commercial importance.

Experimental

General

All chemicals were purchased from Aldrich and used as received without further purification, except for 4-benzylethylaminobenzaldehyde, 9-ethyl-3,6-carbazoldicarboxaldehyde, 4-(4-formyl-diphenylamino)benzaldehyde and 4-(4-formyl-4ۥ-methyldiphenylamino)benzaldehyde, which were synthesized by well known Vilsmeier reaction [15]. The 1H-NMR spectra were taken on a Gemini-2000 (300 MHz), Bruker AC 250 (250 MHz), Mercury-VX (400 MHz) or TESLA 487C (80 MHz) NMR spectrometer. The course of the reactions and purity of the products were monitored by thin-layer chromatography on Silufol UV-254 plates using 2:1 diethylether-hexane as the eluent and visualization with iodine vapor or UV light. Silica gel (grade 62, 60-200 mesh, 150 Å, Aldrich) was used for column chromatography.

General method for the preparation of aldehyde mono- and diphenylhydrazones

Phenylhydrazine (0.1 mol for monohydrazones or 0.25 mol in case of dihydrazones) and the corresponding aldehyde (0.1 mol) were dissolved in 2-propanol (100 mL) in case of hydrazones or THF (100 mL) in the case of dihydrazones. The mixture was refluxed until the aldehyde disappeared (10 min). At the end of the reaction, the mixture was cooled to room temperature. The crystals formed upon standing were filtered off and washed with 2-propanol to give corresponding phenylhydrazones, which were subjected to the reaction with epichlorohydrin without further purification.

General method of the preparation of N-2,3-epoxypropylated phenylhydrazones 1a-f

To the mixture of phenylhydrazone of the corresponding aldehyde (1 mol) and epichlorohydrin (1.5˚mol), powdered 85 % potassium hydroxide (3 mol) and anhydrous Na2SO4 (0.4 mol) were added in three portions with prior cooling of the reaction mixture to 20-25˚°C (1st portion – 1/2 of Na2SO4 and 1/3 of KOH; 2nd portion – 1/4 of Na2SO4 and 1/3 of KOH after 1h from the beginning of the reaction; 3rd – 1/4 of Na2SO4 and 1/3 of KOH after 2h from the beginning of the reaction). The reaction mixture was stirred vigorously at 35-40˚°C until the starting hydrazone disappeared (3-4 h). After termination of the reaction, the mixture was cooled to RT and filtered off. The organic layer was washed with distilled water until the wash water was neutral. The organic layer was dried over anhydrous magnesium sulfate, treated with activated charcoal, filtered and excess of epiclorohydrin was removed. In the case of 1a-d the obtained residue was dissolved in a 1:1 mixture of toluene and 2-propanol. The crystals formed upon standing were filtered off and washed with 2-propanol. Compounds 1e,f were purified by column chromatography.
1-(9-ethylcarbazol-3-ylmethylene)-2-(2,3-epoxypropyl)-2-phenylhydrazine (1a): Yield 78.5 %, m.p. 136-137 οC (recrystallized from toluene); 1H-NMR spectrum (CDCl3, δ, 250 MHz): 8.35 (s, 1H, 4-HHt); 8.14 (d, J=7,8 Hz, 1H, 1-HHt); 7.93 (d, J=7,6 .Hz, 1H, 2-HHt); 7.90 (s, 1H, CH=N); 7.54-7.20 (m, 8H, Ph, Ht); 6.96 (t, J=7.2 Hz, 1H, 4-HPh); 4.37 (m, 3H, CH2CH3, one of the NCH2 protons); 4.04 (dd, J1=4.3 Hz, J2=16.4 Hz, 1H, next of the NCH2 protons); 3.32 (m, 1H, CH); 2.88 (dd, 1H, part of the ABX system, cis-HA of CH2O, JAX=2.6 Hz, JAB=4.9 Hz); 2.69 (dd, 1H, part of the ABX system, trans-HB of CH2O, JBX=4.0 Hz); 1.44 (t, J=7.2 Hz, 3H, CH3) ppm; Anal. Calcd. for C24H23N3O: C, 78.02; H, 6.27; N, 11.37. Found: C, 78.12; H, 6.18; N, 11.38.
2-(2,3-epoxypropyl)-1-(4-dimethylaminophenyl-methylene)-2-phenylhydrazine (1b): Yield 86.4 %; m.p. 123.5-124.5 οC (recrystallized from 2-propanol); 1H-NMR (CDCl3, δ, 80 MHz): 7.7-6.8 (m, 8H, CH=N, Ar); 6.7 (d, 2H, part of AB system, p-Ph); 4.5-3.7 (m, 2H, NCH2); 3.4-3.1 (m, 1H, CH); 2.9 (s, 6H, CH3); 2.9-2.7 (m, 1H, cis-H of CH2O); 2.7-2.5 (m, 1H, trans-H of CH2O) ppm; Anal. Calcd. for C18H21N3O: C, 73.19; H, 7.17; N, 14.23. Found: C, 73.15; H, 7.19; N, 14.31.
2-(2,3-epoxypropyl)-1-(4-diethylaminophenylmethylene)-2-phenylhydrazine (1c): Yield 80.4 %; m.p. 79-80.5 οC (recrystallized from ethyl ether); 1H-NMR (CDCl3, δ, 250 MHz): 7.7-6.7 (m, 8H, Ar, CH=N); 6.6 (d, 2H, 2-H, 6-H of p-Ph); 4.4-3.6 (m, 2H, NCH2CH); 3.6-3.0 (m, 5H, CH2CH3, CH2CHCH2); 2.75 (m, 1H, ABX, cis-HA of CH2O); 2.55 (m, ABX, trans-HB of CH2O); 1.1 (t, J=7.0 Hz, 6H, CH3) ppm; Anal. Calcd. for C20H25N3O: C, 74.27; H, 7.79; N, 12.99. Found: C, 74.21; H, 7.70; N, 12.91.
1-(4-benzylethylaminophenylmethylene)-2-(2,3-epoxypropyl)-2-phenylhydrazine (1d): Yield of oily 1d 80.4 %; 1H-NMR (CDCl3, δ, 400 MHz): 7.70 (s, 1H, CH=N); 7.55 (d, 2H, J=8.8 Hz, 2,6-Hp-Ph); 7.16-7.41 (m, 4H, Ar); 6.93 (t, 1H, J=7.3 Hz, 4-HPh); 6.69 (d, 2H, J=8.8 Hz, 3,5-Hp-Ph); 4.58 (s, 2H, CH2Ph); 4.37 (dd, 1H, ABX, JAB=16.2, JAX=2.4 Hz, HA of NCH2); 3.99 (dd, 1H, ABX, JBX=4.1 Hz, HB of NCH2); 3.28 (m, 1H, CHX); 3.53 (q, 2H, J=7.3 Hz, CH2CH3); 2.84 (dd, 1H, ABX, JAB=4.8 Hz, JAX=2.7 Hz, cis-HA of CH2O); 2.62 (dd, 1H, ABX, JBX=4.0 Hz, trans-HB of CH2O); 1.24 (t, J=7.3 Hz, 3H, CH2CH3); Anal. Calcd. for C25H27N3O: C, 77.89; H, 7.06; N, 10.90. Found: C, 77.91; H, 7.15; N, 10.81.
1-[4-(diphenylamino)phenylmethylene]-2-(2,3-epoxypropyl)-2-phenylhydrazine (1e): Yield 89.9 %; m.p. 141-142.5 οC (recrystallized from toluene); 1H-NMR (CDCl3, δ, 250 MHz 250): 7.65-6.98 (m, 19H, CH=N, Ar); 6.93 (t, J=7.2 Hz, 1H, 4-HPh); 4.35 (dd, 1H, part of the ABX system, HA of NCH2, JAX=2.4 Hz, JAB=16.4); 3.99 (dd, 1H, part of the ABX system, HB of NCH2, JBX=4.1 Hz); 3.26 (m, 1H, CH); 2.84 (dd, 1H, part of the ABX system, cis- HA of CH2O, JAX=2.7 Hz, JAB=4.8 Hz); 2.62 (dd, 1H, part of the ABX system, trans-HB of CH2O, JBX=4.1 Hz); Anal. Calcd. for C28H25N3O: C, 80.16; H, 6.01; N, 10.02. Found: C, 80.19; H, 6.10; N, 10.09.
2-(2,3-epoxypropyl)-1-[4-(4,4ۥ-dimethyldiphenylaminophenylmethylene]-2-phenylhydrazine (1f): Yield of oily 1f 87.3 %; 1H-NMR (CDCl3, δ, 250 MHz): 7.62 (s, 1H, CH=N); 7.55-6.90 (m, 17H, Ar); 4.34 (dd, 1H, part of the ABX system, HA of NCH2, JAX=2.2 Hz, JAB=16.5); 3.98 (dd, 1H, part of the ABX system, HB of NCH2, JBX=4.4 Hz); 3.27 (m, 1H, CH); 2.85 (dd, 1H, part of the ABX system, cis- HA of CH2O, JAX=2.7 Hz, JAB=4.9 Hz); 2.63 (dd, 1H, part of the ABX system, trans-HB of CH2O, JBX=4.0 Hz). Ph); 7.72 (s, 1H, CH=N); Anal. Calcd. for C30H29N3O: C, 80.51; H, 6.53; N, 9.39. Found: C, 80.52; H, 6.48; N, 9.46.

General synthetic method of bis(N-2,3-epoxypropyl-N-phenyl)hydrazones 2a-c

To the mixture of the diphenylhydrazone of the corresponding dialdehyde (1 mol) and epichlorohydrin (22.5˚mol), powdered 85 % potassium hydroxide (4.5 mol) and anhydrous Na2SO4 (0.6 mol) were added in three portions with prior cooling of the reaction mixture to 20-25˚°C (1st portion – 1/2 of Na2SO4 and 1/3 of KOH; 2nd portion – 1/4 of Na2SO4 and 1/3 of KOH after 1h from the beginning of the reaction; 3rd – 1/4 of Na2SO4 and 1/3 of KOH after 2h from the beginning of the reaction). The reaction mixture was stirred vigorously at 35-40˚°C until the starting dihydrazone disappeared (7-8 h). After completion of the reaction, the mixture was cooled to RT and filtered off. The organic part was washed with distilled water until the wash water was neutral. The organic layer was dried over anhydrous magnesium sulfate, treated with activated charcoal, filtered and the excess of epiclorohydrin was removed. In the case of 2a,b the residues obtained were recrystallized from toluene and the crystals formed upon standing were filtered off and washed with 2-propanol. Compound 2c was purified by column chromatography.
9-ethyl-3,6-carbazoledicarbaldehyde bis(N-2,3-epoxypropyl-N-phenyl)hydrazone (2a): Yield: 342 g (63 %), m.p. 119-120 οC; 1H-NMR spectrum (300 MHz, CDCl3), ppm: 8.38 (split s, 2H); 7.9-7.88 (m, 4H); 7.49-7.43 (m, 4H); 7.40-7.32 (m, 6H); 6.96 (t, 2H, J= 7.2 Hz); 4.42-4.29 (m, 6H); 4.06-3.97 (dd, 2H, (HA), JAX= 4.5 Hz, JAB= 16.4 Hz); 3.31 (m, 2H); 2.90-2.85 (dd, 2H, (HA), JAX= 3.9 Hz); 2.70-2.65 (dd, 2H, (HB), JBX= 2.7 Hz; JAB=5.1 Hz); 1.43 (t, J=7.2 Hz); Anal. Calcd for C34H33N5O2%: C 75.11; H 6.12; N 12.88. Found, %: C 75.16; H 6.09; N 12.81.
4-(4-formyldiphenylamino)benzaldehyde bis(N-2,3-epoxypropyl-N-phenyl)hydrazone (2b): Yield: 312 g (52 %), m.p. 163.5-165 οC; 1H-NMR spectrum (300 MHz, CDCl3), ppm: 7.63 (s, 2H); 7.62-7.56 (m, 4H); 7.43-7.02 (m, 17H); 6.94 (t, 2H, J= 7.1 Hz); 4.40-4.30 (dd, 2H, (HA), JAX= 2.1 Hz, JAB= 16.5 Hz); 4.02-3.92 (dd, 2H, (HB), JBX= 4.2 Hz); 3.26 (m, 2H); 2.84 (dd, 2H, (HA), JAX= 4.2 Hz, JAB= 5.1 Hz); 2.65-2.60 (dd, (HB), JBX= 2.7 Hz); Anal. Calcd for C38H35N5O2%: C 76.87; H 5.94; N 11.80. Found, %: C 76.71; H 5.91; N 11.70.
4-(4-formyl-4ۥ-methyldiphenylamino)benzaldehyde bis(N-2,3-epoxypropyl-N-phenyl)hydrazone (2c): Yield of amorphous 2c: 332 g (55 %); 1H-NMR spectrum (300 MHz, CDCl3), ppm: 7.63 (s, 2H); 7.61-7.54 (m, 4H); 7.42-7.02 (m, 17H); 6.94 (t, 2H, J= 7.2 Hz); 4.40-4.28 (dd, 2H, (HA), JAX= 2.1 Hz, JAB= 16.5 Hz); 4.02-3.90 (dd, 2H, (HB), JBX= 4.2 Hz); 3.26 (m, 2H); 2.84 (dd, 2H, (HA), JAX= 4.2 Hz, JAB= 4.8 Hz); 2.66-2.60 (dd, (HB), JBX= 2.7 Hz) ; 2.33 (s, 3H); Anal. Calcd for C39H37N5O2%: C 77.08; H 6.14; N 11.52. Found, %: C 77.14; H 6.10; N 11.58.

Acknowledgements

Financial support of this research by the Lithuanian Science and Studies Foundation (B-18/2005) are gratefully acknowledged.

References

  1. Luly, J. R.; Yi, N.; Soderquist, J.; Stein, H.; Cohen, J.; Perun, T. J.; Plattner, J. J. J. Med. Chem. 1987, 30, 1609.
  2. Corey, E. J.; Clark, D. A.; Goto, G.; Marfat, A.; Mioskowski, C.; Samuelsson, B.; Hammarstrom, S. J. Am. Chem. Soc. 1980, 102, 3663. [CrossRef]
  3. Hydrazine and its Derivatives. In Kirk-Othmer Encyclopedia of Chemical Technology, 4th ed.; Wiley: New York, 1995; Vol. 13.
  4. Mort, J.; Pfister, G. Electronic Properties of Polymers; Wiley: New York, 1982. [Google Scholar]
  5. Döbler, M.; Weder, C.; Neuenshwander, P.; Suter, U.W. Macromolecules 1998, 31, 6184.
  6. Nam, H.; Kang, D.H.; Kim, J.K.; Park, S.Y. Chem. Lett. 2000, 29, 1298.
  7. Ostrauskaite, J.; Voska, V.; Grazulevicius, V. Monatsh. Chem. 2002, 133, 599.
  8. Getautis, V.; Paliulis, O.; Paulauskaite, I.; Gaidelis, V.; Jankauskas, V.; Sidaravicius, J.; Tokarski, Z.; Law, K.; Jubran, N. J. Imaging Sci. Technol. 2004, 48, 265.
  9. Daskeviciene, M.; Gaidelis, V.; Getautis, V.; Jankauskas, V.; Paliulis, O.; Sidaravicius, J. Lith. J. Phys. 2001, 41, 521.
  10. Getautis, V.; Grazulevicius, V. J.; Malinauskas, T.; Jankauskas, V.; Tokarski, Z.; Jubran, N. Chem. Lett. 2004, 33, 1336.
  11. Getautis, V.; Daskeviciene, M.; Stanisauskaite, P.; Paliulis, O. Chem. Heterocycl. Comp. 2002, 38, 778.
  12. Gaidelis, V.; Gavutiene, J.; Getautis, V.; Grazulevicius, J.V.; Jankauskas, V.; Kavaliunas, R.; Lazauskaite, R.; Paliulis, O.; Rossman, M.A.; Sidaravicius, D.J.; Smith, D.P.; Stanisauskaite, A. US Patent 6,214,503, 2001.
  13. Getautis, V.; Paliulis, O.; Degutyte, R.; Paulauskaite, I. Chem. Heterocycl. Comp. 2004, 40, 90.
  14. Tokarski, Z.; Jubran, N.; Getautis, V.; Paliulis, O.; Daskeviciene, M.; Paulauskaite, I.; Jankauskas, V.; Gaidelis, V.; Sidaravicius, J. IS&T`s NIP19: International Conference on Digital Printing Technologies 2003, 702.
  15. Vilsmeier, V.; Haack, A. Ber. 1927, 60, 119.
  • Sample Availability: Available from the authors.

Share and Cite

MDPI and ACS Style

Getautis, V.; Daskeviciene, M.; Malinauskas, T.; Stanisauskaite, A.; Stumbraite, J. An Efficient Scalable Synthesis of 2,3-Epoxypropyl Phenylhydrazones. Molecules 2006, 11, 64-71. https://doi.org/10.3390/11010064

AMA Style

Getautis V, Daskeviciene M, Malinauskas T, Stanisauskaite A, Stumbraite J. An Efficient Scalable Synthesis of 2,3-Epoxypropyl Phenylhydrazones. Molecules. 2006; 11(1):64-71. https://doi.org/10.3390/11010064

Chicago/Turabian Style

Getautis, Vytautas, Maryte Daskeviciene, Tadas Malinauskas, Albina Stanisauskaite, and Jolanta Stumbraite. 2006. "An Efficient Scalable Synthesis of 2,3-Epoxypropyl Phenylhydrazones" Molecules 11, no. 1: 64-71. https://doi.org/10.3390/11010064

APA Style

Getautis, V., Daskeviciene, M., Malinauskas, T., Stanisauskaite, A., & Stumbraite, J. (2006). An Efficient Scalable Synthesis of 2,3-Epoxypropyl Phenylhydrazones. Molecules, 11(1), 64-71. https://doi.org/10.3390/11010064

Article Metrics

Back to TopTop