Reactions of Cp2MCl2 (M=Ti or Zr) with Imine-Oxime Ligands. Formation of Metallacycles
Abstract
:Introduction

Results and Discussion

| Reactants (molar ratio) | Time (h) | Product; Yield (%) | Colour | Found (calcd.) % | |||
|---|---|---|---|---|---|---|---|
| C | H | N | M | ||||
| Cp2TiCl2+L1H2+Et3N (1 : 1 : 2) | 10 | [Cp2Ti(L1)], 68 | Yellow | 75.4 (75.6) | 4.8 (4.9) | 7.8 (8.0) | 6.8 (6.8) |
| Cp2ZrCl2+L1H2+Et3 N(1 : 1 : 2) | 12 | [Cp2Zr(L1)], 65 | Dark brown | 71.0 (71.2) | 4.4 (4.6) | 7.3 (7.5) | 12.2 (12.3) |
| Cp2TiCl2+L2H2+Et3N (1 : 1 : 2) | 10 | [Cp2Ti(L2)], 70 | Dark brown | 75.3 (75.6) | 4.6 (4.9) | 7.8 (8.0) | 6.8 (6.8) |
| Cp2ZrCl2+L2H2+Et3N (1 : 1 : 2) | 12 | [Cp2Zr(L2)], 60 | Yellowish brown | 71.0 (71.2) | 4.4 (4.6) | 7.4 (7.5) | 12.1 (12.3) |
| Cp2TiCl2+L3H2+Et3N (1 : 1 : 2) | 12 | [Cp2Ti(L3)], 68 | cream | 75.5 (75.8) | 5.0 (5.1) | 7.6 (7.9) | 6.6 (6.7) |
| Cp2ZrCl2+L3H2+Et3N (1 : 1 : 2) | 14 | [Cp2Zr(L3)], 60 | Light brown | 71.4 (71.5) | 4.8 (4.9) | 7.3 (7.4) | 12.0 (12.0) |
| Cp2TiCl2+L4H2+Et3N (1 : 1 : 2) | 15 | [Cp2Ti(L4)], 62 | Light brown | 73.6 (73.8) | 4.6 (4.7) | 9.8 (10.0) | 6.7 (6.8) |
| Cp2ZrCl2+L4H2+Et3N (1 : 1 : 2) | 15 | [Cp2Zr(L4)], 58 | Dark brown | 69.3 (69.5) | 4.4 (4.5) | 9.2 (9.4) | 12.3 (12.3) |
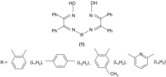
- L1H2 = ligand derived from benzil-α-monoxime and 2-phenylenedianine
- L2H2 = ligand derived from benzil-α-monoxime and 4-phenylenedianine
- L3H2 = ligand derived from benzil-α-monoxime and 4-methyl-2-phenylenedianine
- L4H2 = ligand derived from benzil-α-monoxime and 2,6-diaminopyridine
| Complex | IR | 1H NMR | Aromatic ring | |||
|---|---|---|---|---|---|---|
| η5-C5H5 | υ(C=N) | υ(N-O) | υ(M-O) | η5-C5H5 | ||
| [Cp2Ti(L1)] | 3000s, 1420m, 1025m | 1620s, 1585m | 1230m | 440m | 6.80s | 7.65-7.82m |
| [Cp2Zr(L1)] | 3000s, 1425m, 1020m | 1610s, 1580m | 1225m | 430m | 6.68s | 7.50-7.80m |
| [Cp2Ti(L2)] | 3010s, 1410m, 1020m | 1615s, 1575m | 1235m | 445m | 6.85s | 7.70-7.85m |
| [Cp2Zr(L2)] | 3015s, 1420m, 1015m | 1620s, 1570m | 1220m | 440m | 6.72s | 7.40-7.65m |
| [Cp2Ti(L3)] | 3000s, 1430m, 1025m | 1610s, 1575m | 1230m | 435m | 6.78s | 7.60-7.78m |
| [Cp2Zr(L3)] | 3010s, 1420m, 1030m | 1620s, 1570m | 1225m | 430m | 6.70s | 7.42-7.58m |
| [Cp2Ti(L4)] | 2990s, 1415m, 1025m | 1625s, 1585m | 1240m | 440m | 6.75s | 7.60-7.80m 8.20-8.35m |
| [Cp2Zr(L4)] | 3000s, 1410m, 1025m | 1610s, 1575m | 1235m | 430m | 6.65s | 7.45-7.70m 8.10-8.25m |

- (a)
- The complexes are slightly more toxic than the parent ligands.
- (b)
- Then titanium complexes show better activity than zirconium complexes.
- (c)
- The best activity was recorded with bis(cyclopentadienyl)titanium (IV) derivatives with ligand L4H2 i.e. derived from 2,6-diaminopyridine.
| Compound | Diameter of inhibition zone (mm) | |
|---|---|---|
| B. Subtilis | E-coli | |
| L1H2 [Cp2Ti(L1)] [Cp2Zr(L1)] | 6 14 10 | 8 15 10 |
| L2H2 [Cp2Ti(L2)] [Cp2Zr(L2)] | 5 10 8 | 5 10 7 |
| L3H2 [Cp2Ti(L3)] [Cp2Zr(L3)] | 12 16 14 | 10 15 12 |
| L4H2 [Cp2Ti(L4)] [Cp2Zr(L4)] | 12 16 14 | 12 18 15 |
| Ampicillin | 35 | 35 |
Experimental
General
Reactions of Cp2MCl2 (M=Ti or Zr) with ligands
Acknowledgements
References
- Quin, Y.; Huang, J.; Bala, M.D.; Lian, B.; Zhang, H.; Zhang, H. Chem. Rev. 2003, 103, 2633.
- Togni, A.; Halterman, R.L. Metallocenes: Synthesis-Reactivity-Applications; Wiley-VCH: New York, 1998. [Google Scholar]
- Long, N.J. Metallocenes; Blackwell Science: Malden, M A, 1998. [Google Scholar]
- Boffa, L.S.; Novak, B.M. Chem. Rev. 2000, 107, 1479.
- Bochmann, M. Comprehensive Organometallic Chemistry II.; Abel, E.W., Stone, F.G.A., Wilkinson, G., Eds.; Pergamon: New York, 1995; Vol 4, p. 273. [Google Scholar]
- Jubb, J.; Song, J.; Richeson, D.; Gambarotta, S. Comprehensive Organometallic Chemistry II.; Abel, E.W., Stone, F.G.A., Wilkinson, G., Eds.; Pergamon: New York, 1995; Vol 4, p. 543. [Google Scholar]
- Pandey, O.P.; Sengupta, S.K.; Mishra, M.K.; Tripathi, C.M. Bioinorg. Chem. & Appl. 2003, 1, 35.
- Sengupta, S.K.; Pandey, O.P.; Bhatt, A.; Srivastava, V.; Mishra, K.N. Indian J. Chem. 2002, 41A, 1421.
- Bhatt, A.; Sengupta, S.K.; Pandey, O.P. Indian J. Chem. 2001, 40A, 994.
- Pandey, O.P.; Sengupta, S.K.; Baranwal, B.P.; Shukla, S.K.; Bhatt, A. Z. Naturforsch. 2001, 54b, 141.
- Mala, A.; Srivastava, A.K.; Pandey, O.P.; Sengupta, S.K. Transition Met. Chem. 2000, 25, 613.
- Sengupta, S.K.; Pandey, O.P.; Srivastava, A.K.; Bhatt, A.; Mishra, K.N. Transition Met. Chem. 1999, 24, 703.
- Sengupta, S.K.; Pandey, O.P.; Srivastava, B.K.; Sharma, V.K. Transition Met. Chem. 1998, 23, 349.
- Srivastava, B.; Srivastava, S.K.; Pandey, O.P.; Sengupta, S.K. Gazz. Chim. Ital. 1997, 127, 827.
- Rai, R.; Mishra, K.D.; Pandey, O.P.; Sengupta, S.K. Polyhedron 1992, 11, 123.
- Srivastava, V.; Pandey, O.P.; Sengupta, S.K.; Tripathi, S.C. J. Organomet. Chem. 1987, 321, 27.
- Sharma, V.K.; Pandey, O.P.; Sengupta, S.K. Synth. React. Inorg. Met-Org. Chem. 1991, 21, 1587.
- Hey-Hawkins, E. Chem. Rev. 1994, 94, 1661.
- Pandey, O.P. Indian J. Chem. 1987, 26A, 978.
- Sengupta, S.K.; Pandey, O.P.; Srivastava, A.K.; Mishra, K.D. Indian J. Chem. 1999, 38A, 951.
- Carcelli, M.; Mazza, P.; Pelizzi, C.; Pelizzi, G.; Zani, F. J. Inorg. Biochem. 1995, 57, 43.
- Vogel, A.I. A Text Book of Practical Organic Chemistry; Longmans Green: London, 1948. [Google Scholar]
- Wilkinson, G.; Birmingham, J.M. J. Am. Chem. Soc. 1954, 76, 4281.
- Al- Sogair, F.M.S. Transition Met. Chem. 2002, 27, 299.
- Sample availability: Available from the authors
© 2005 by MDPI (http://www.mdpi.org). Reproduction is permitted for noncommercial purposes.
Share and Cite
Pandey, O.; Sengupta, S.; Tripathi, C. Reactions of Cp2MCl2 (M=Ti or Zr) with Imine-Oxime Ligands. Formation of Metallacycles. Molecules 2005, 10, 653-658. https://doi.org/10.3390/10060653
Pandey O, Sengupta S, Tripathi C. Reactions of Cp2MCl2 (M=Ti or Zr) with Imine-Oxime Ligands. Formation of Metallacycles. Molecules. 2005; 10(6):653-658. https://doi.org/10.3390/10060653
Chicago/Turabian StylePandey, O., S. Sengupta, and C. Tripathi. 2005. "Reactions of Cp2MCl2 (M=Ti or Zr) with Imine-Oxime Ligands. Formation of Metallacycles" Molecules 10, no. 6: 653-658. https://doi.org/10.3390/10060653
APA StylePandey, O., Sengupta, S., & Tripathi, C. (2005). Reactions of Cp2MCl2 (M=Ti or Zr) with Imine-Oxime Ligands. Formation of Metallacycles. Molecules, 10(6), 653-658. https://doi.org/10.3390/10060653
