Thermalization in Asymmetric Harmonic Chains
Abstract
1. Introduction
2. Models and Method
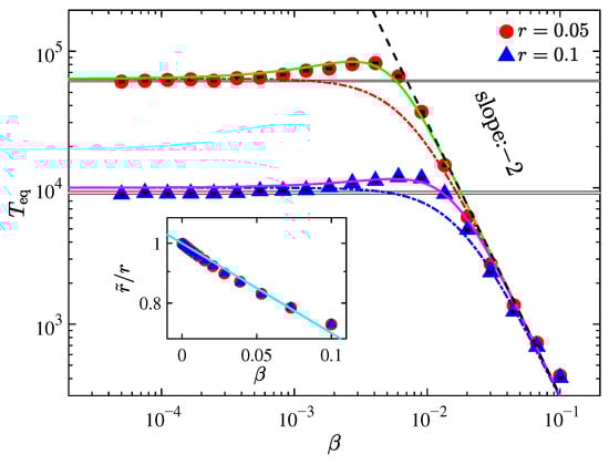
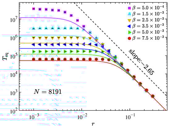
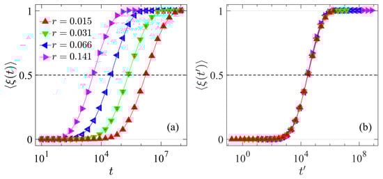
3. Numerical Results
4. Conclusions
Author Contributions
Funding
Institutional Review Board Statement
Data Availability Statement
Conflicts of Interest
References
- Fermi, E.; Pasta, J.; Ulam, S. Studies of the Nonlinear Problems; Report No. LA-1940; Los Alamos Scientific Laboratory: Los Alamos, NM, USA, 1955. [Google Scholar]
- Focus issue: The “Fermi-Pasta-Ulam” problem—The first 50 years. Chaos 2005, 15, 015101. [CrossRef]
- Gallavotti, G. (Ed.) The Fermi-Pasta-Ulam Problem: A Status Report; Lecture Notes in Physics; Springer: New York, NY, USA, 2008; Volume 728. [Google Scholar]
- Ferguson, W.; Flaschka, H.; McLaughlin, D. Nonlinear normal modes for the Toda Chain. J. Computat. Phys. 1982, 45, 157–209. [Google Scholar] [CrossRef]
- Casetti, L.; Cerruti-Sola, M.; Pettini, M.; Cohen, E.G.D. The Fermi-Pasta-Ulam problem revisited: Stochasticity thresholds in nonlinear Hamiltonian systems. Phys. Rev. E 1997, 55, 6566–6574. [Google Scholar] [CrossRef]
- Ponno, A.; Christodoulidi, H.; Skokos, C.; Flach, S. The two-stage dynamics in the Fermi-Pasta-Ulam problem: From regular to diffusive behavior. Chaos 2011, 21, 043127. [Google Scholar] [CrossRef]
- Benettin, G.; Christodoulidi, H.; Ponno, A. The Fermi-Pasta-Ulam Problem and Its Underlying Integrable Dynamics. J. Stat. Phys. 2013, 152, 195–212. [Google Scholar] [CrossRef]
- Benettin, G.; Pasquali, S.; Ponno, A. The Fermi–Pasta–Ulam Problem and Its Underlying Integrable Dynamics: An Approach Through Lyapunov Exponents. J. Stat. Phys. 2018, 171, 521–542. [Google Scholar] [CrossRef]
- Goldfriend, T.; Kurchan, J. Equilibration of quasi-integrable systems. Phys. Rev. E 2019, 99, 022146. [Google Scholar] [CrossRef] [PubMed]
- Grava, T.; Maspero, A.; Mazzuca, G.; Ponno, A. Adiabatic invariants for the FPUT and Toda chain in the thermodynamic limit. Commun. Math. Phys. 2020, 380, 811–851. [Google Scholar] [CrossRef]
- Benettin, G.; Ponno, A. Understanding the FPU state in FPU-like models. Math. Eng. 2020, 3, 1–22. [Google Scholar] [CrossRef]
- Onorato, M.; Vozella, L.; Proment, D.; Lvov, Y.V. Route to thermalization in the α-Fermi-Pasta-Ulam system. Proc. Natl. Acad. Sci. USA 2015, 112, 4208–4213. [Google Scholar] [CrossRef]
- Lvov, Y.V.; Onorato, M. Double Scaling in the Relaxation Time in the β-Fermi-Pasta-Ulam-Tsingou Model. Phys. Rev. Lett. 2018, 120, 144301. [Google Scholar] [CrossRef]
- Pistone, L.; Onorato, M.; Chibbaro, S. Thermalization in the discrete nonlinear Klein-Gordon chain in the wave-turbulence framework. EPL (Europhys. Lett.) 2018, 121, 44003. [Google Scholar] [CrossRef]
- Berti, N.; Baudin, K.; Fusaro, A.; Millot, G.; Picozzi, A.; Garnier, J. Interplay of Thermalization and Strong Disorder: Wave Turbulence Theory, Numerical Simulations, and Experiments in Multimode Optical Fibers. Phys. Rev. Lett. 2022, 129, 063901. [Google Scholar] [CrossRef] [PubMed]
- Onorato, M.; Lvov, Y.; Dematteis, G.; Chibbaro, S. Wave Turbulence and thermalization in one-dimensional chains. Phys. Rep. 2023, 1040, 1–36. [Google Scholar] [CrossRef]
- Ferraro, M.; Baudin, K.; Gervaziev, M.; Fusaro, A.; Picozzi, A.; Garnier, J.; Millot, G.; Kharenko, D.; Podivilov, E.; Babin, S.; et al. Wave turbulence, thermalization and multimode locking in optical fibers. arXiv 2025. [Google Scholar] [CrossRef]
- Fu, W.; Zhang, Y.; Zhao, H. Universal law of thermalization for one-dimensional perturbed Toda lattices. New J. Phys. 2019, 21, 043009. [Google Scholar] [CrossRef]
- Fu, W.; Zhang, Y.; Zhao, H. Universal scaling of the thermalization time in one-dimensional lattices. Phys. Rev. E 2019, 100, 010101(R). [Google Scholar] [CrossRef]
- Pistone, L.; Chibbaro, S.; Bustamante, M.; L’vov, Y.; Onorato, M. Universal route to thermalization in weakly-nonlinear one-dimensional chains. Math. Eng. 2019, 1, 672. [Google Scholar] [CrossRef]
- Fu, W.; Zhang, Y.; Zhao, H. Nonintegrability and thermalization of one-dimensional diatomic lattices. Phys. Rev. E 2019, 100, 052102. [Google Scholar] [CrossRef]
- Feng, S.; Fu, W.; Zhang, Y.; Zhao, H. The anti-Fermi-Pasta-Ulam-Tsingou problem in one-dimensional diatomic lattices. J. Stat. Mech. Theory Exp. 2022, 2022, 053104. [Google Scholar] [CrossRef]
- Wang, Z.; Fu, W.; Zhang, Y.; Zhao, H. Wave-Turbulence Origin of the Instability of Anderson Localization against Many-Body Interactions. Phys. Rev. Lett. 2020, 124, 186401. [Google Scholar] [CrossRef] [PubMed]
- Fu, W.; Zhang, Y.; Zhao, H. Effect of pressure on thermalization of one-dimensional nonlinear chains. Phys. Rev. E 2021, 104, L032104. [Google Scholar] [CrossRef] [PubMed]
- Wang, Z.; Fu, W.; Zhang, Y.; Zhao, H. Thermalization of one-dimensional classical lattices: Beyond the weakly interacting regime. Commun. Theor. Phys. 2024, 76, 115601. [Google Scholar] [CrossRef]
- Wang, Z.; Fu, W.; Zhang, Y.; Zhao, H. Thermalization of Two- and Three-Dimensional Classical Lattices. Phys. Rev. Lett. 2024, 132, 217102. [Google Scholar] [CrossRef]
- Kittel, C.; McEuen, P.; McEuen, P. Introduction to Solid State Physics; Wiley: New York, NY, USA, 1996; Volume 8. [Google Scholar]
- Lepri, S. (Ed.) Thermal Transport in Low Dimensions: From Statistical Physics to Nanoscale Heat Transfer; Lecture Notes in Physics; Springer: New York, NY, USA, 2016; Volume 921. [Google Scholar]
- Lee-Dadswell, G.R.; Nickel, B.G.; Gray, C.G. Thermal conductivity and bulk viscosity in quartic oscillator chains. Phys. Rev. E 2005, 72, 031202. [Google Scholar] [CrossRef]
- Lee-Dadswell, G.; Nickel, B.; Gray, C. Detailed examination of transport coefficients in cubic-plus-quartic oscillator chains. J. Stat. Phys. 2008, 132, 1–33. [Google Scholar] [CrossRef]
- Delfini, L.; Lepri, S.; Livi, R.; Politi, A. Self-consistent mode-coupling approach to one-dimensional heat transport. Phys. Rev. E 2006, 73, 060201(R). [Google Scholar] [CrossRef]
- Delfini, L.; Lepri, S.; Livi, R.; Politi, A. Anomalous kinetics and transport from 1D self-consistent mode-coupling theory. J. Stat. Mech. Theory Exp. 2007, 2007, P02007. [Google Scholar] [CrossRef]
- van Beijeren, H. Exact Results for Anomalous Transport in One-Dimensional Hamiltonian Systems. Phys. Rev. Lett. 2012, 108, 180601. [Google Scholar] [CrossRef]
- Lepri, S.; Livi, R.; Politi, A. On the anomalous thermal conductivity of one-dimensional lattices. Europhys. Lett. 1998, 43, 271. [Google Scholar] [CrossRef]
- Wang, J.S.; Li, B. Intriguing Heat Conduction of a Chain with Transverse Motions. Phys. Rev. Lett. 2004, 92, 074302. [Google Scholar] [CrossRef] [PubMed]
- Pereverzev, A. Fermi-Pasta-Ulam β lattice: Peierls equation and anomalous heat conductivity. Phys. Rev. E 2003, 68, 056124. [Google Scholar] [CrossRef] [PubMed]
- Dematteis, G.; Rondoni, L.; Proment, D.; De Vita, F.; Onorato, M. Coexistence of Ballistic and Fourier Regimes in the β Fermi-Pasta-Ulam-Tsingou Lattice. Phys. Rev. Lett. 2020, 125, 024101. [Google Scholar] [CrossRef]
- Takatsu, M.; Kitamura, T.; Yoshimura, K. A Large Scale Non-equilibrium Simulation of Heat Transport in One-dimensional Fermi-Pasta–Ulam–Tsingou Lattice. J. Phys. Soc. Jpn. 2024, 93, 053001. [Google Scholar] [CrossRef]
- Spohn, H. Nonlinear fluctuating hydrodynamics for anharmonic chains. J. Stat. Phys. 2014, 154, 1191–1227. [Google Scholar] [CrossRef]
- Zhao, H.; Wang, J.; Zhang, Y.; He, D.; Fu, W. Energy transport and diffusion in low-dimensional lattices. Sci. Sin. Phys. Mech. Astron. 2021, 51, 030012. [Google Scholar] [CrossRef]
- Luo, R.; Lepri, S. Multi-Particle-Collision Simulation of Heat Transfer in Low-Dimensional Fluids. Entropy 2025, 27, 455. [Google Scholar] [CrossRef]
- Zhong, Y.; Zhang, Y.; Wang, J.; Zhao, H. Normal heat conduction in one-dimensional momentum conserving lattices with asymmetric interactions. Phys. Rev. E 2012, 85, 060102(R). [Google Scholar] [CrossRef]
- Zhong, Y.; Zhang, Y.; Wang, J.; Zhao, H. Normal thermal conduction in lattice models with asymmetric harmonic interparticle interactions. Chin. Phys. B 2013, 22, 070505. [Google Scholar] [CrossRef]
- Chen, S.; Zhang, Y.; Wang, J.; Zhao, H. Key role of asymmetric interactions in low-dimensional heat transport. J. Stat. Mech. Theory Exp. 2016, 2016, 033205. [Google Scholar] [CrossRef][Green Version]
- Jiang, J.; Zhao, H. Modulating thermal conduction by the axial strain. J. Stat. Mech. Theory Exp. 2016, 2016, 093208. [Google Scholar] [CrossRef]
- Wang, L.; Hu, B.; Li, B. Validity of Fourier’s law in one-dimensional momentum-conserving lattices with asymmetric interparticle interactions. Phys. Rev. E 2013, 88, 052112. [Google Scholar] [CrossRef] [PubMed]
- Das, S.G.; Dhar, A.; Narayan, O. Heat Conduction in the α-β Fermi–Pasta–Ulam Chain. J. Stat. Phys. 2014, 154, 204–213. [Google Scholar] [CrossRef]
- Chen, S.; Wang, J.; Casati, G.; Benenti, G. Nonintegrability and the Fourier heat conduction law. Phys. Rev. E 2014, 90, 032134. [Google Scholar] [CrossRef]
- Zhao, H.; Wang, W. Fourier heat conduction as a strong kinetic effect in one-dimensional hard-core gases. Phys. Rev. E 2018, 97, 010103(R). [Google Scholar] [CrossRef]
- Lepri, S.; Livi, R.; Politi, A. Too Close to Integrable: Crossover from Normal to Anomalous Heat Diffusion. Phys. Rev. Lett. 2020, 125, 040604. [Google Scholar] [CrossRef]
- Campbell, D.K.; Flach, S.; Kivshar, Y.S. Localizing Energy Through Nonlinearity and Discreteness. Phys. Today 2004, 57, 43–49. [Google Scholar] [CrossRef]
- Bernardo, M.; Budd, C.; Champneys, A.R.; Kowalczyk, P. Piecewise-Smooth Dynamical Systems: Theory and Applications; Springer Science & Business Media: Berlin/Heidelberg, Germany, 2008; Volume 163. [Google Scholar]
- Belykh, I.; Kuske, R.; Porfiri, M.; Simpson, D.J.W. Beyond the Bristol book: Advances and perspectives in non-smooth dynamics and applications. Chaos 2023, 33, 010402. [Google Scholar] [CrossRef]
- Benettin, G.; Ponno, A. Time-Scales to Equipartition in the Fermi–Pasta–Ulam Problem: Finite-Size Effects and Thermodynamic Limit. J. Stat. Phys. 2011, 144, 793. [Google Scholar] [CrossRef]
- Livi, R.; Pettini, M.; Ruffo, S.; Sparpaglione, M.; Vulpiani, A. Equipartition threshold in nonlinear large Hamiltonian systems: The Fermi-Pasta-Ulam model. Phys. Rev. A 1985, 31, 1039–1045. [Google Scholar] [CrossRef]
- Yoshida, H. Construction of higher order symplectic integrators. Phys. Lett. A 1990, 150, 262–268. [Google Scholar] [CrossRef]
- Benettin, G.; Livi, R.; Ponno, A. The Fermi-Pasta-Ulam Problem: Scaling Laws vs. Initial Conditions. J. Stat. Phys. 2009, 135, 873–893. [Google Scholar] [CrossRef]
- Srivastava, G.P. The Physics of Phonons; Hilger: Bristol, UK, 1990. [Google Scholar]
- Gershgorin, B.; Lvov, Y.V.; Cai, D. Renormalized Waves and Discrete Breathers in β-Fermi-Pasta-Ulam Chains. Phys. Rev. Lett. 2005, 95, 264302. [Google Scholar] [CrossRef] [PubMed]
- Lin, W.; Fu, W.; Wang, Z.; Zhang, Y.; Zhao, H. Universality classes of thermalization and energy diffusion. Phys. Rev. E 2025, 111, 024122. [Google Scholar] [CrossRef]
- Fu, W.; Zhao, H. Effective phonon treatment of asymmetric interparticle interaction potentials. arXiv 2015. [Google Scholar] [CrossRef]
- Carati, A.; Ponno, A. Chopping Time of the FPU α-Model. J. Stat. Phys. 2018, 170, 883–894. [Google Scholar] [CrossRef]





Disclaimer/Publisher’s Note: The statements, opinions and data contained in all publications are solely those of the individual author(s) and contributor(s) and not of MDPI and/or the editor(s). MDPI and/or the editor(s) disclaim responsibility for any injury to people or property resulting from any ideas, methods, instructions or products referred to in the content. |
© 2025 by the authors. Licensee MDPI, Basel, Switzerland. This article is an open access article distributed under the terms and conditions of the Creative Commons Attribution (CC BY) license (https://creativecommons.org/licenses/by/4.0/).
Share and Cite
Fu, W.; Feng, S.; Zhang, Y.; Zhao, H. Thermalization in Asymmetric Harmonic Chains. Entropy 2025, 27, 741. https://doi.org/10.3390/e27070741
Fu W, Feng S, Zhang Y, Zhao H. Thermalization in Asymmetric Harmonic Chains. Entropy. 2025; 27(7):741. https://doi.org/10.3390/e27070741
Chicago/Turabian StyleFu, Weicheng, Sihan Feng, Yong Zhang, and Hong Zhao. 2025. "Thermalization in Asymmetric Harmonic Chains" Entropy 27, no. 7: 741. https://doi.org/10.3390/e27070741
APA StyleFu, W., Feng, S., Zhang, Y., & Zhao, H. (2025). Thermalization in Asymmetric Harmonic Chains. Entropy, 27(7), 741. https://doi.org/10.3390/e27070741

