Biswas–Chatterjee–Sen Model Defined on Solomon Networks in (1 ≤ D ≤ 6)-Dimensional Lattices
Abstract
1. Introduction
2. Model, Thermodynamic-like Variables, and Simulations
2.1. Biswas–Chatterjee–Sen Model
- •
- Initialization of the system
- (i)
- At time , an initial configuration is constructed by randomly assigning one of the three opinion states, namely , 0 or , to each site i of the workplace lattice. As a result, we have . A particular value of the noise probability q is chosen.
- Beginning of the Monte Carlo step execution
- (ii)
- A permutation is carried out in the workplace lattice in order to generate the home place lattice. However, instead of creating a real new lattice, in this procedure, it simply stores, for each site i, a list of its neighbors in the workplace and also in the home place. As a result, for each agent, one has a total of 2D nearest neighbors.
- Selection of the nearest neighbor and updating of the pair of opinion variables
- (iii)
- For a given site i, one of its nearest neighbors j is randomly selected (note that the selected neighbor may be in the workplace or home place lattice); an affinity is ascribed for this pair bond; and a random number r is sorted. If , the affinity is changed to .
- (iv)
- Renormalizing opinion variables
- (v)
- It may be that the opinion variables are out of the integer range . When this happens, they are automatically returned to the desirable interval by rescaling as if , or if .
- End of the Monte Carlo step execution
- (vi)
- Every site i of the workplace lattice is sequentially swept and updated according to the rules above. Thus, one whole sweep of the network constitutes one Monte Carlo step per site (MCS). This is, by definition, the unit of the Monte Carlo time, meaning that the new network configuration corresponds to time , while the previous one was at time t.
2.2. Thermodynamic-like Variables
2.3. Finite-Size Scaling Relations and Monte Carlo Simulations
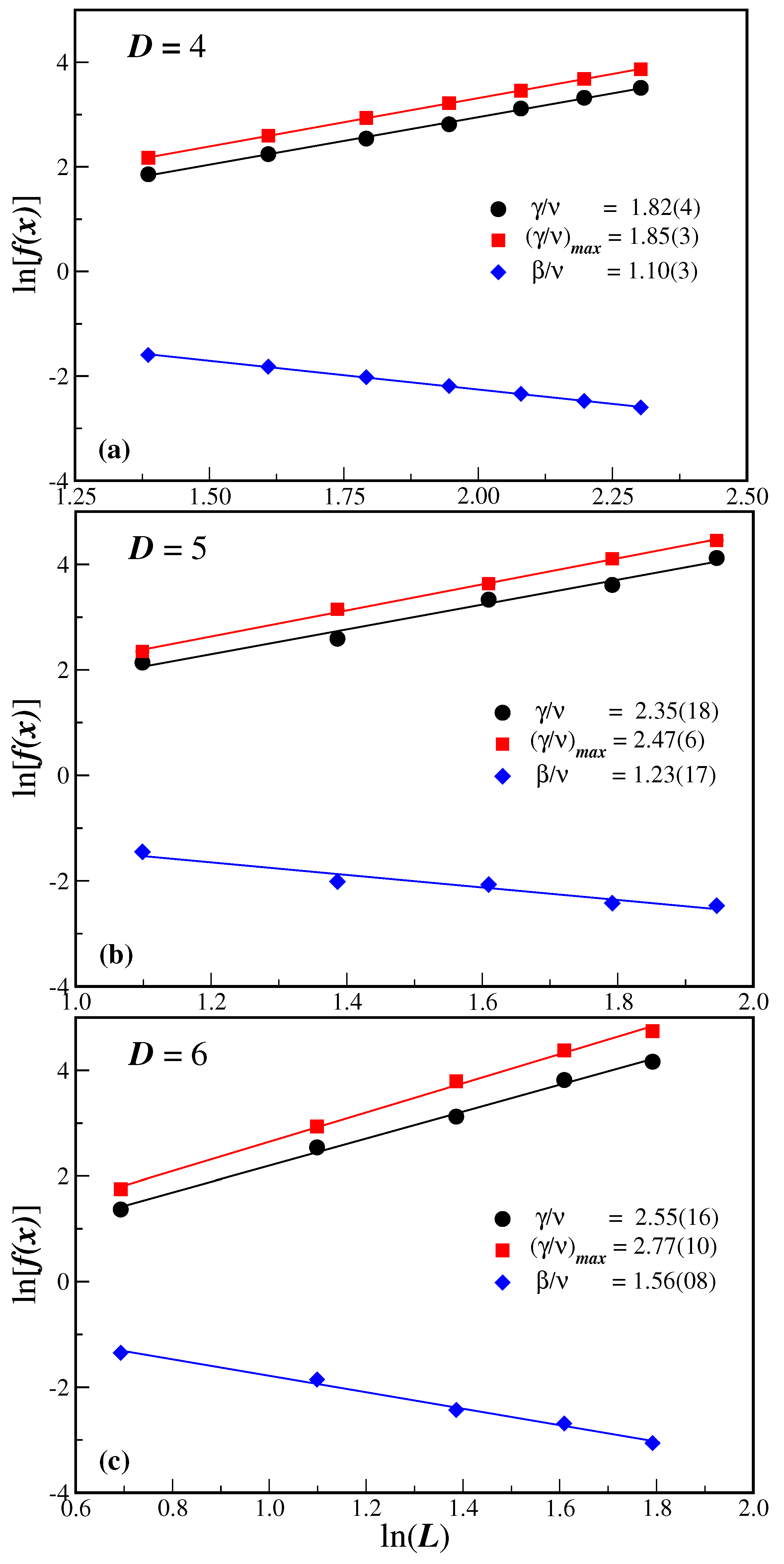
3. Results and Discussion
4. Concluding Remarks
- (1)
- The critical noise probability, given the error bars, does not systematically change over the present studied dimensions. This is indeed an intriguing and unexpected result, since in spin models, the number of nearest neighbors effectively increases the transition temperature. It should also be emphasized that the BChS model on regular lattices has a critical noise probability that increases with the lattice dimension [10]. It is also improbable that, due to the limitations of the system sizes considered herein, by increasing the dimension of the networks, different sets of neighbors of an agent start to overlap. In fact, overlapping neighborhoods are not allowed by the computer code. It seems that in SNs, the spatial dimension is not an important issue regarding the location of the critical point transition.
- (2)
- The critical exponents, on the other hand, do depend on the lattice dimension, as is expected from universality arguments. In this case, the exponent ratios systematically increase as D increases.
- (3)
- The hyperscaling relation is, within the error bars, not violated and is actually satisfied in all of the studied dimensions. The same holds for the equivalent relation using the correlation length exponent, although in the latter case, one observes a larger error.
- (4)
- The lower critical dimension for this model is 0, but from the present simulations, there is no indication of an upper critical dimension from where the mean-field exponents are valid. We can note from Table 2 that the closest mean-field exponents one obtains are for the expected dimension, .
Author Contributions
Funding
Institutional Review Board Statement
Data Availability Statement
Conflicts of Interest
Abbreviations
| BChS | Biswas–Chatterjee–Sen |
| SN | Solomon network |
| D | dimension of the lattice |
References
- Pelissetto, A.; Vicari, E. Critical phenomena and renormalization-group theory. Phys. Rep. 2002, 368, 549. [Google Scholar] [CrossRef]
- Nishimori, H.; Ortiz, G. Elements of Phase Transitions and Critical Phenomena; Oxford University Press: Oxford, UK, 2010. [Google Scholar]
- Berche, B.; Ellis, T.; Holovatch, Y.; Kenna, R. Phase transitions above the upper critical dimension. SciPost Phys. Lec. Notes 2022, 30, 1. [Google Scholar] [CrossRef]
- Nobre, F.D. The two-dimensional ± J Ising spin glass: A model at its lower critical dimension. Physica A 2003, 319, 362. [Google Scholar] [CrossRef]
- Pimentel, I.R.; Temesvári, T.; De Dominicis, C. Spin-glass transition in a magnetic field: A renormalization group study. Phys. Rev. B 2002, 65, 224420. [Google Scholar] [CrossRef]
- Yang, J.; Kim, I.; Kwak, W. Existence of an upper critical dimension in the majority voter model. Phys. Rev. E 2008, 77, 051122. [Google Scholar] [CrossRef] [PubMed]
- Lima, F.W.S.; Plascak, J.A. Magnetic models on several topologies. J. Phys. Conf. Ser. 2014, 487, 012011. [Google Scholar] [CrossRef]
- Oliveira, M.J. Isotropic majority-vote model on a square lattice. J. Stat. Phys. 1992, 66, 273. [Google Scholar] [CrossRef]
- Biswas, S.; Chatterjee, A.; Sen, P. Disorder induced phase transition in kinetic models of opinion dynamics. Physica A 2012, 391, 3257. [Google Scholar] [CrossRef]
- Mukherjee, S.; Chatterjee, A. Disorder-induced phase transition in an opinion dynamics model: Results in two and three dimensions. Phys. Rev. E 2016, 94, 062317. [Google Scholar] [CrossRef] [PubMed]
- Malarz, K. Social Phase Transition in Solomon Network. Int. J. Mod. Phys. C 2003, 14, 561. [Google Scholar] [CrossRef]
- Alvez Filho, E.; Lima, F.W.S.; Alves, T.F.A.; Alves, G.A.; Plascak, J.A. Opinion Dynamics Systems via Biswas-Chatterjee-Sen Model on Solomon Networks. Physics 2023, 5, 873–882. [Google Scholar] [CrossRef]
- Biswas, S.; Chatterjee, A.; Sen, P.; Mukherjee, S.; Chakrabarti, B.K. Social dynamics through kinetic exchange: The BChS model. Front. Phys. 2023, 11, 1196745. [Google Scholar] [CrossRef]
- Erez, T.; Hohnisch, M.; Solomon, S. Economics: Complex Windows; Springer: Milan, Italy, 2005; p. 201. [Google Scholar]
- Goldenberg, J.; Shavitt, Y.; Shir, E.; Solomon, S. Distributive immunization of networks against viruses using the ‘honey-pot’ architecture. Nat. Phys. 2005, 1, 184. [Google Scholar] [CrossRef]
- Pȩkalski, A. Ising Model A Small World Network. Phys. Rev. E 2001, 64, 057104. [Google Scholar] [CrossRef] [PubMed]
- Herrero, C.P. Ising Model Small-World Networks. Phys. Rev. E 2002, 65, 066110. [Google Scholar] [CrossRef] [PubMed]
- Oliveira, G.S.; Alencar, T.A.; Alencar, G.A.; Lima, F.W.; Plascak, J.A. Biswas–Chatterjee–Sen Model on Solomon Networks with Two Three-Dimensional Lattices. Entropy 2024, 26, 587. [Google Scholar] [CrossRef] [PubMed]
- Raquel, M.T.S.A.; Lima, F.W.S.; Alves, T.F.A.; Alves, G.A.; Macedo-Filho, A.; Plascak, J.A. Non-equilibrium kinetic Biswas–Chatterjee–Sen model on complex networks. Physica A 2022, 603, 127825. [Google Scholar] [CrossRef]
- Binder, K.; Heermann, D.W. Monte Carlo Simulation in Statistical Phyics; Springer: Berlin/Heidelberg, Germany; New York, NY, USA, 1988. [Google Scholar]
- Landau, D.P.; Binder, K. A Guide to Monte Carlo Simulation in Statistical Physics, 5th ed.; Cambridge University Press: Cambridge, UK, 2021. [Google Scholar]
- Nightingale, M.P. Scaling theory and finite systems. Physica A 1976, 83, 561. [Google Scholar] [CrossRef]
- Tuckey, J.W. Bias and Confidence in Not-Quite Large Sample. Ann. Math. Stat. 1958, 29, 614. [Google Scholar]






| Variable | Description |
|---|---|
| i | workplace site of a Solomon network |
| opinion variable of the agent at site i at time t | |
| affinity of the bond pair in either lattice | |
| q | noise probability of turning the affinity negative |
| represents the configuration of the all opinion variables at time t |
| D | |||||||
|---|---|---|---|---|---|---|---|
| 1 | 1.92(10) | ||||||
| 2 | 2.17(5) | ||||||
| 3 | 1.84(15) | ||||||
| 4 | 1.99(8) | ||||||
| 5 | 1.94(9) | ||||||
| 6 | 2.17(10) | ||||||
| MF | — | 2 | 1 | 2 | 2 | 4 | 2 |
Disclaimer/Publisher’s Note: The statements, opinions and data contained in all publications are solely those of the individual author(s) and contributor(s) and not of MDPI and/or the editor(s). MDPI and/or the editor(s) disclaim responsibility for any injury to people or property resulting from any ideas, methods, instructions or products referred to in the content. |
© 2025 by the authors. Licensee MDPI, Basel, Switzerland. This article is an open access article distributed under the terms and conditions of the Creative Commons Attribution (CC BY) license (https://creativecommons.org/licenses/by/4.0/).
Share and Cite
Oliveira, G.S.; Alencar, D.S.; Alves, T.A.; da Silva Neto, J.F.; Alves, G.A.; Macedo-Filho, A.; Ferreira, R.S.; Lima, F.W.; Plascak, J.A. Biswas–Chatterjee–Sen Model Defined on Solomon Networks in (1 ≤ D ≤ 6)-Dimensional Lattices. Entropy 2025, 27, 300. https://doi.org/10.3390/e27030300
Oliveira GS, Alencar DS, Alves TA, da Silva Neto JF, Alves GA, Macedo-Filho A, Ferreira RS, Lima FW, Plascak JA. Biswas–Chatterjee–Sen Model Defined on Solomon Networks in (1 ≤ D ≤ 6)-Dimensional Lattices. Entropy. 2025; 27(3):300. https://doi.org/10.3390/e27030300
Chicago/Turabian StyleOliveira, Gessineide Sousa, David Santana Alencar, Tayroni Alencar Alves, José Ferreira da Silva Neto, Gladstone Alencar Alves, Antônio Macedo-Filho, Ronan S. Ferreira, Francisco Welington Lima, and João Antônio Plascak. 2025. "Biswas–Chatterjee–Sen Model Defined on Solomon Networks in (1 ≤ D ≤ 6)-Dimensional Lattices" Entropy 27, no. 3: 300. https://doi.org/10.3390/e27030300
APA StyleOliveira, G. S., Alencar, D. S., Alves, T. A., da Silva Neto, J. F., Alves, G. A., Macedo-Filho, A., Ferreira, R. S., Lima, F. W., & Plascak, J. A. (2025). Biswas–Chatterjee–Sen Model Defined on Solomon Networks in (1 ≤ D ≤ 6)-Dimensional Lattices. Entropy, 27(3), 300. https://doi.org/10.3390/e27030300

