Rate-Compatible, Bandwidth-Efficient, Low-Density Parity-Check (LDPC) Codes for Aeronautical Telemetry †
Abstract
1. Introduction and Motivation
1.1. Methods and Contributions
1.2. Paper Structure
2. Background
2.1. Protograph-Based LDPC Codes
2.2. Puncturing Linear Codes
2.3. Shortening Linear Codes
3. Asymptotic Random Puncturing Analyses of ARTM0 Protographs
3.1. BEC Decoding Thresholds of Randomly Punctured ARTM0 Code Ensembles
3.2. Minimum Distance Growth Rates of Randomly Punctured ARTM0 Code Ensembles
4. Random Puncturing of ARTM0 LDPC Codes
4.1. System Model
4.2. Numerical Results
4.2.1. BPSK Modulation
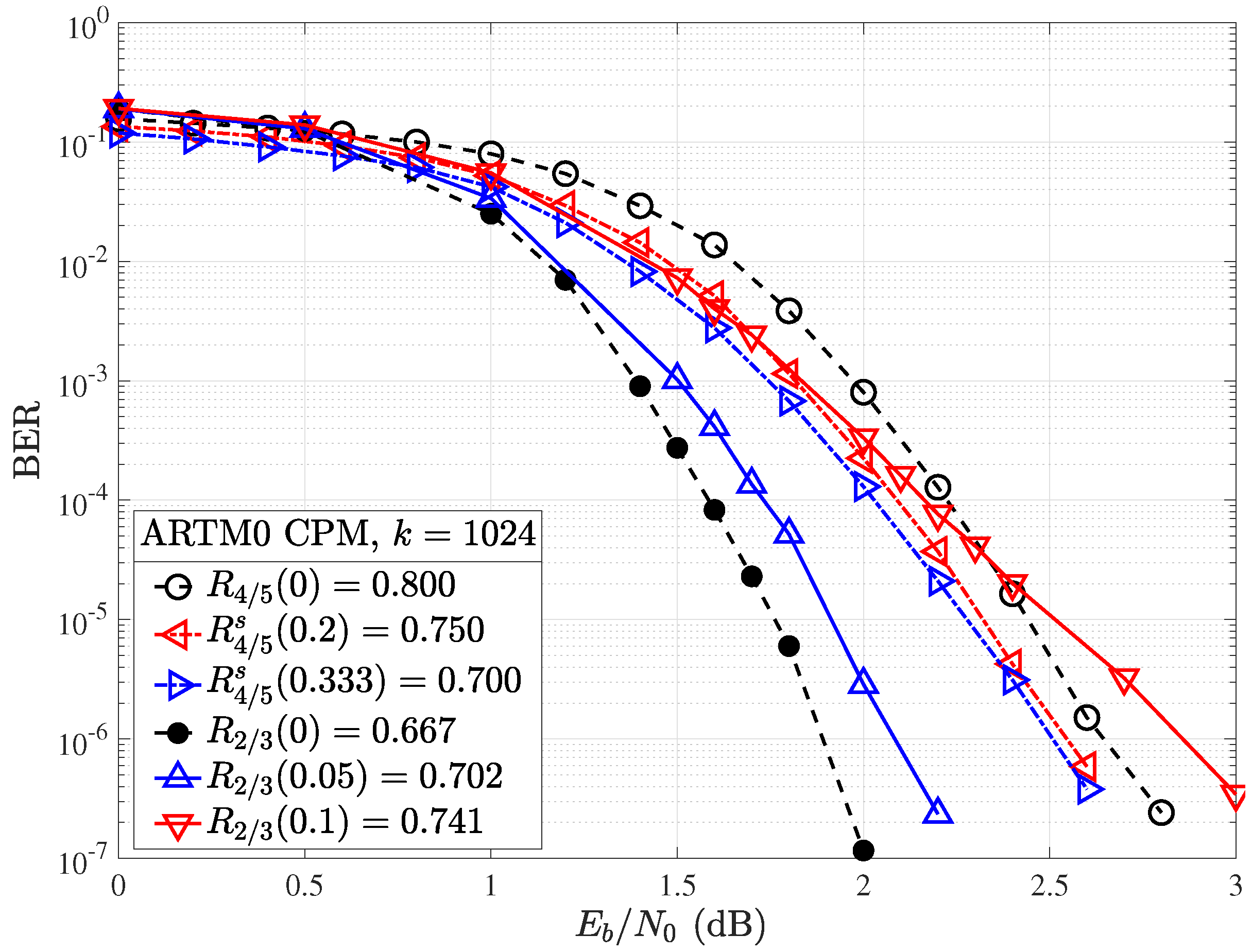
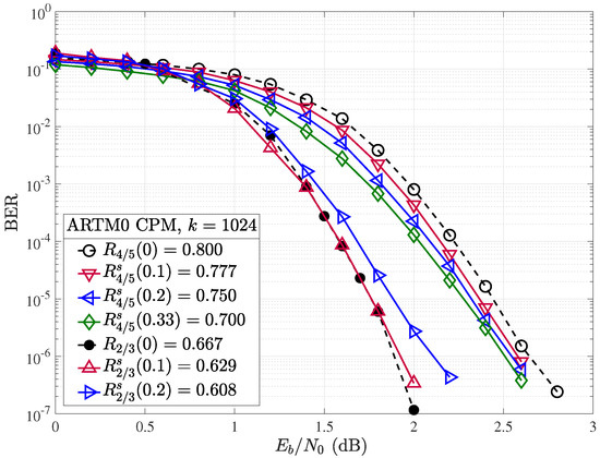
4.2.2. CPM Regime
5. Random Shortening of ARTM0 LDPC Codes
5.1. Model and Method
5.2. Numerical Results
5.3. Puncturing vs. Shortening
6. Hardware Considerations
7. Conclusions
Author Contributions
Funding
Data Availability Statement
Conflicts of Interest
Abbreviations
| ARTM | Advanced Range TeleMetry |
| ASM | Attached Sync Marker |
| AWGN | Additive White Gaussian Noise |
| BEC | Binary Erasure Channel |
| BER | Bit Error Rate |
| BP | Belief Propagation |
| BPSK | Binary Phase-shift Keying |
| CPM | Continuous Phase Modulation |
| FEC | Forward Error Correction |
| FM | Frequency Modulation |
| LDPC | Low-Density Parity-Check |
| LLR | Log-likelihood Ratio |
| MSA | Min-sum Algorithm |
| PCM | Pulse Code Modulation |
| QC | Quasi-cyclic |
| SISO | Soft-in, Soft-out |
| SOQPSK-TG | Telemetry Group version of Shaped-Offset Quadrature Phase Shift Keying |
| SPA | Sum-product Algorithm |
References
- Gallager, R. Low-density parity-check codes. IRE Trans. Info. Theory 1962, 8, 21–28. [Google Scholar] [CrossRef]
- MacKay, D.J.C. Near Shannon Limit Performance of Low Density Parity Check Codes. Elect. Lett. 1997, 33, 457–458. [Google Scholar] [CrossRef]
- Richardson, T.J.; Urbanke, R.L. The Capacity of Low-Density Parity-Check Codes Under Message-Passing Decoding. IEEE Trans. Inf. Theory 2001, 47, 599–618. [Google Scholar] [CrossRef]
- Li, Z.; Chen, L.; Zeng, L.; Lin, S.; Fong, W.H. Efficient encoding of quasi-cyclic low-density parity-check codes. IEEE Trans. Commun. 2006, 54, 71–81. [Google Scholar] [CrossRef]
- Richardson, T.; Jin, H. LDPC Encoding Methods and Apparatus. U.S. Patent No. 7,346,832, 7 July 2007. [Google Scholar]
- Hu, X.Y.; Eleftheriou, E.; Arnold, D.M.; Dholakia, A. Efficient implementations of the sum-product algorithm for decoding LDPC codes. In Proceedings of the GLOBECOM’01, IEEE Global Telecommunications Conference, San Antonio, TX, USA, 25–29 November 2001; Volume 2, p. 1036. [Google Scholar]
- Cheng, C.-C.; Yang, J.D.; Lee, H.C.; Yang, C.H.; Ueng, Y.L. A fully parallel LDPC decoder architecture using probabilistic min-sum algorithm for high-throughput applications. IEEE Trans. Circ. Syst. I Reg. Pap. 2014, 61, 2738–2746. [Google Scholar] [CrossRef]
- IRIG Standard 106-23; Telemetry Standards. Range Commanders Council Telemetry Group, Range Commanders Council: White Sands Missile Range, NM, USA, 2024.
- Perrins, E. LDPC Codes for IRIG-106 Waveforms: Part I—Code Design; International Foundation for Telemetering: Las Vegas, NV, USA, 2023. [Google Scholar]
- Perrins, E. LDPC Codes for IRIG-106 Waveforms: Part II—Receiver Design; International Foundation for Telemetering: Las Vegas, NV, USA, 2023. [Google Scholar]
- Hagenauer, J. Rate-compatible punctured convolutional codes (RCPC codes) and their applications. IEEE Trans. Commun. 1988, 36, 389–400. [Google Scholar] [CrossRef]
- Ha, J.; Kim, J.; McLaughlin, S.W. Rate-compatible puncturing of low-density parity-check codes. IEEE Trans. Inf. Theory 2004, 50, 2824–2836. [Google Scholar] [CrossRef]
- Mitchell, D.G.M.; Lentmaier, M.; Pusane, A.; Costello, D.J., Jr. Randomly Punctured LDPC Codes. IEEE J. Sel. Areas Commun. 2016, 34, 408–421. [Google Scholar] [CrossRef]
- Cummins, A.D.; Mitchell, D.G.M.; Perrins, E. Spectrally Efficient LDPC Codes for IRIG-106 Waveforms via Random Puncturing. arXiv 2024. arXiv:2410.05844. [Google Scholar]
- Jiang, M.; Wang, Y.; Lyu, Y.; Zhang, Y.; Xu, X.; Hu, N. FLCA: A Flexible Coding Approach Through 5G NR LDPC Codes. IEEE Commun. Lett. 2023, 28, 9–13. [Google Scholar] [CrossRef]
- Páleník, T.; Szitkey, V.; Otruba, J.; Divinec, L. A Minimal-Resource LDPC Encoder and Decoder Design for Memory-Constrained Systems. In IEEE ELEKTRO; IEEE: Zakopane, Poland, 2024; pp. 1–6. [Google Scholar]
- Battaglioni, M.; Amagliani, M.; Baldi, M.; Cancelleri, G. Design and analysis of a family of complexity-constrained LDPC codes. In Proceedings of the IEEE International Symposium on Information Theory, Athens, Greece, 7–12 July 2024; pp. 428–433. [Google Scholar]
- Pishro-Nik, H.; Fekri, F. Results on Punctured Low-Density Parity-Check Codes and Improved Iterative Decoding Techniques. IEEE Trans. Inf. Theory 2007, 53, 599–614. [Google Scholar] [CrossRef]
- Lin, S.; Costello, D.J., Jr. Error Control Coding: Fundamentals and Applications; Prentice Hall: Hoboken, NJ, USA, 2004. [Google Scholar]
- Tian, T.; Jones, C.R. Construction of rate-compatible LDPC codes utilizing information shortening and parity puncturing. EURASIP J. Wirel. Commun. Netw. 2005, 2005, 789–795. [Google Scholar] [CrossRef]
- Kim, S.-R.; Shin, D.-J. Lowering Error Floors of Systematic LDPC Codes Using Data Shortening. IEEE Commun. Lett. 2013, 17, 2348–2351. [Google Scholar] [CrossRef]
- Suls, A.; Lefevre, Y.; Van Hecke, J.; Guenach, M.; Moeneclaey, M. Error Performance Prediction of Randomly Shortened and Punctured LDPC Codes. IEEE Commun. Lett. 2019, 23, 560–563. [Google Scholar] [CrossRef]
- Thorpe, J. Low-Density Parity-Check (LDPC) Codes Constructed from Protographs; INP Progress Report 42-154; Jet Propulsion Laboratory: Pasadena, CA, USA, 2003. [Google Scholar]
- Divsalar, D.; Dolinar, S.; Jones, C.; Andrews, K. Capacity-approaching protograph codes. IEEE J. Sel. Areas Commun. 2009, 27, 876–888. [Google Scholar] [CrossRef]
- Gallager, R.G. Low-Density Parity-Check Codes. Ph.D. Thesis, Massachusetts Institute of Technology, Cambridge, MA, USA, 1963. [Google Scholar]
- Boyle, E.C.; McEliece, R.J. Asymptotic weight enumerators of randomly punctured, expurgated and shortened code ensembles. In Proceedings of the Forty-Sixth Annual Allerton Conference, Monticello, IL, USA, 23–26 September 2008. [Google Scholar]
- Hsu, C.-H.; Anastasopoulos, A. Capacity achieving LDPC codes through puncturing. IEEE Trans. Inf. Theory 2008, 54, 4698–4706. [Google Scholar] [CrossRef]
- Kschischang, F.; Frey, B.J.; Loeliger, H.A. Factor graphs and the sum-product algorithm. IEEE Trans. Inf. Theory 2001, 47, 498–519. [Google Scholar] [CrossRef]
- Cheng, S.; Valenti, M.C.; Torrieri, D. Coherent Continuous-Phase Frequency-Shift Keying: Parameter Optimization and Code Design. IEEE Trans. Wirel. Commun. 2009, 8, 1792–1802. [Google Scholar] [CrossRef]
- Perrins, E. FEC systems for aeronautical telemetry. IEEE Trans. Aerosp. Electron. Syst. 2013, 49, 2340–2352. [Google Scholar] [CrossRef]
- Zhou, H.; Mitchell, D.G.M.; Goertz, N.; Costello, D.J., Jr. Robust Rate-Compatible Punctured LDPC Convolutional Codes. IEEE Trans. Commun. 2013, 61, 4428–4439. [Google Scholar] [CrossRef]
- Vellambi, B.N.; Fekri, F. Finite-length rate-compatible LDPC codes: A novel puncturing scheme. IEEE Trans. Commun. 2009, 57, 297–307. [Google Scholar] [CrossRef]















| ARTM0 | ||||
|---|---|---|---|---|
Disclaimer/Publisher’s Note: The statements, opinions and data contained in all publications are solely those of the individual author(s) and contributor(s) and not of MDPI and/or the editor(s). MDPI and/or the editor(s) disclaim responsibility for any injury to people or property resulting from any ideas, methods, instructions or products referred to in the content. |
© 2024 by the authors. Licensee MDPI, Basel, Switzerland. This article is an open access article distributed under the terms and conditions of the Creative Commons Attribution (CC BY) license (https://creativecommons.org/licenses/by/4.0/).
Share and Cite
Cummins, A.D.; Mitchell, D.G.M.; Perrins, E. Rate-Compatible, Bandwidth-Efficient, Low-Density Parity-Check (LDPC) Codes for Aeronautical Telemetry. Entropy 2024, 26, 1045. https://doi.org/10.3390/e26121045
Cummins AD, Mitchell DGM, Perrins E. Rate-Compatible, Bandwidth-Efficient, Low-Density Parity-Check (LDPC) Codes for Aeronautical Telemetry. Entropy. 2024; 26(12):1045. https://doi.org/10.3390/e26121045
Chicago/Turabian StyleCummins, Andrew D., David G. M. Mitchell, and Erik Perrins. 2024. "Rate-Compatible, Bandwidth-Efficient, Low-Density Parity-Check (LDPC) Codes for Aeronautical Telemetry" Entropy 26, no. 12: 1045. https://doi.org/10.3390/e26121045
APA StyleCummins, A. D., Mitchell, D. G. M., & Perrins, E. (2024). Rate-Compatible, Bandwidth-Efficient, Low-Density Parity-Check (LDPC) Codes for Aeronautical Telemetry. Entropy, 26(12), 1045. https://doi.org/10.3390/e26121045

