Relationship between Information Scrambling and Quantum Darwinism
Abstract
:1. Introduction
2. Preliminaries
2.1. Model
2.2. Information Scrambling
2.3. Quantum Darwinism
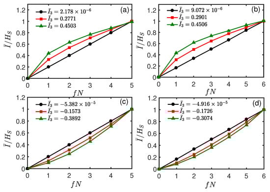
3. Results
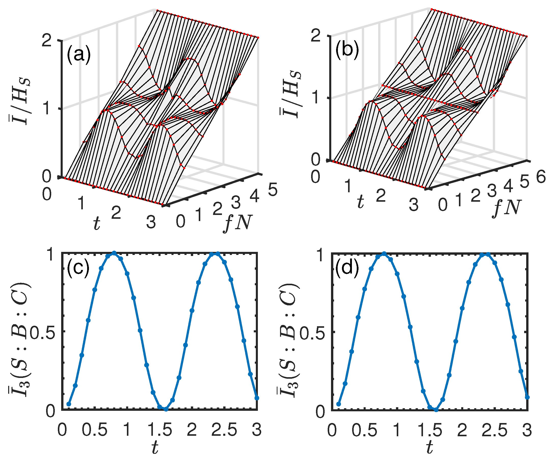
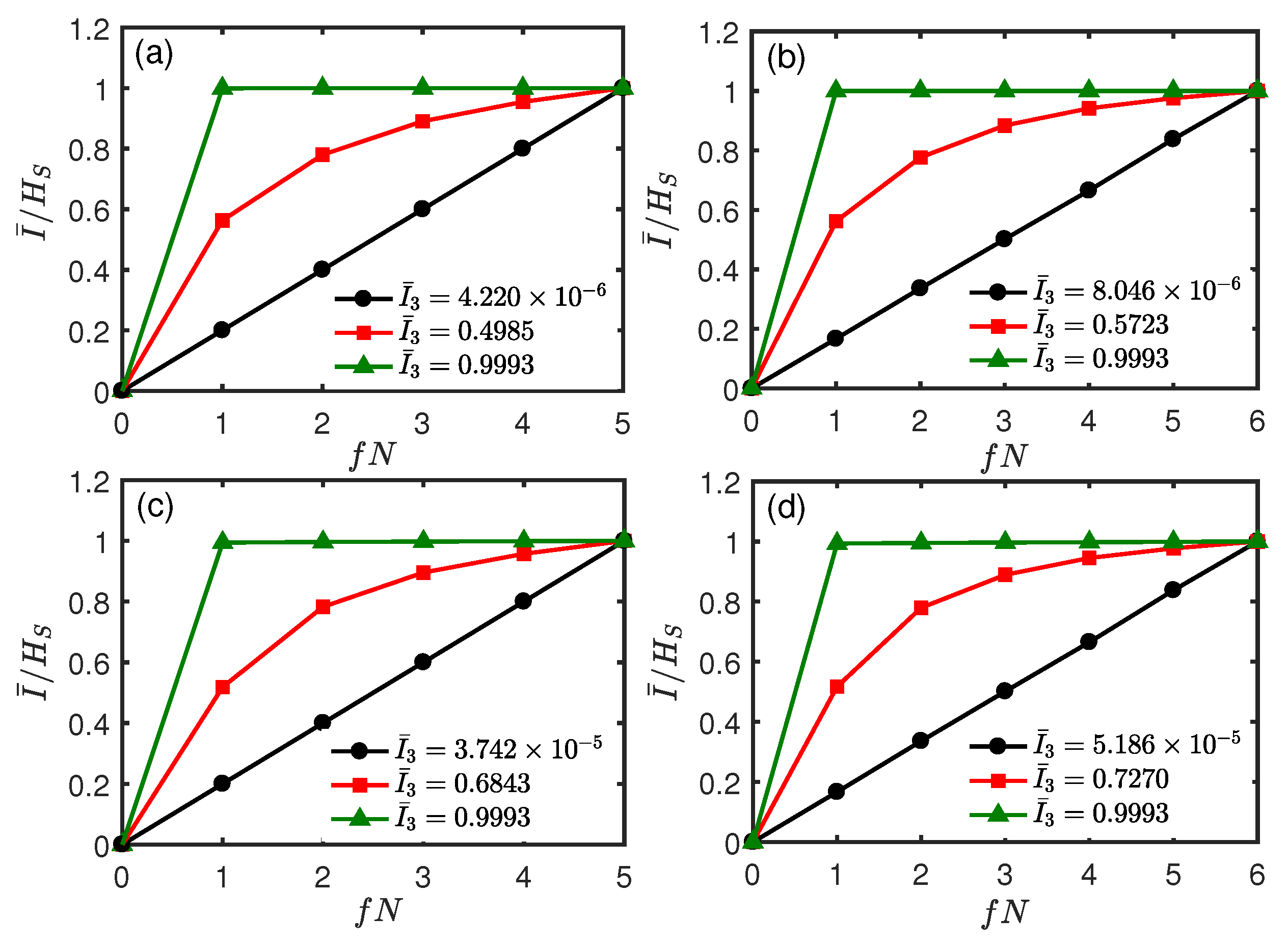
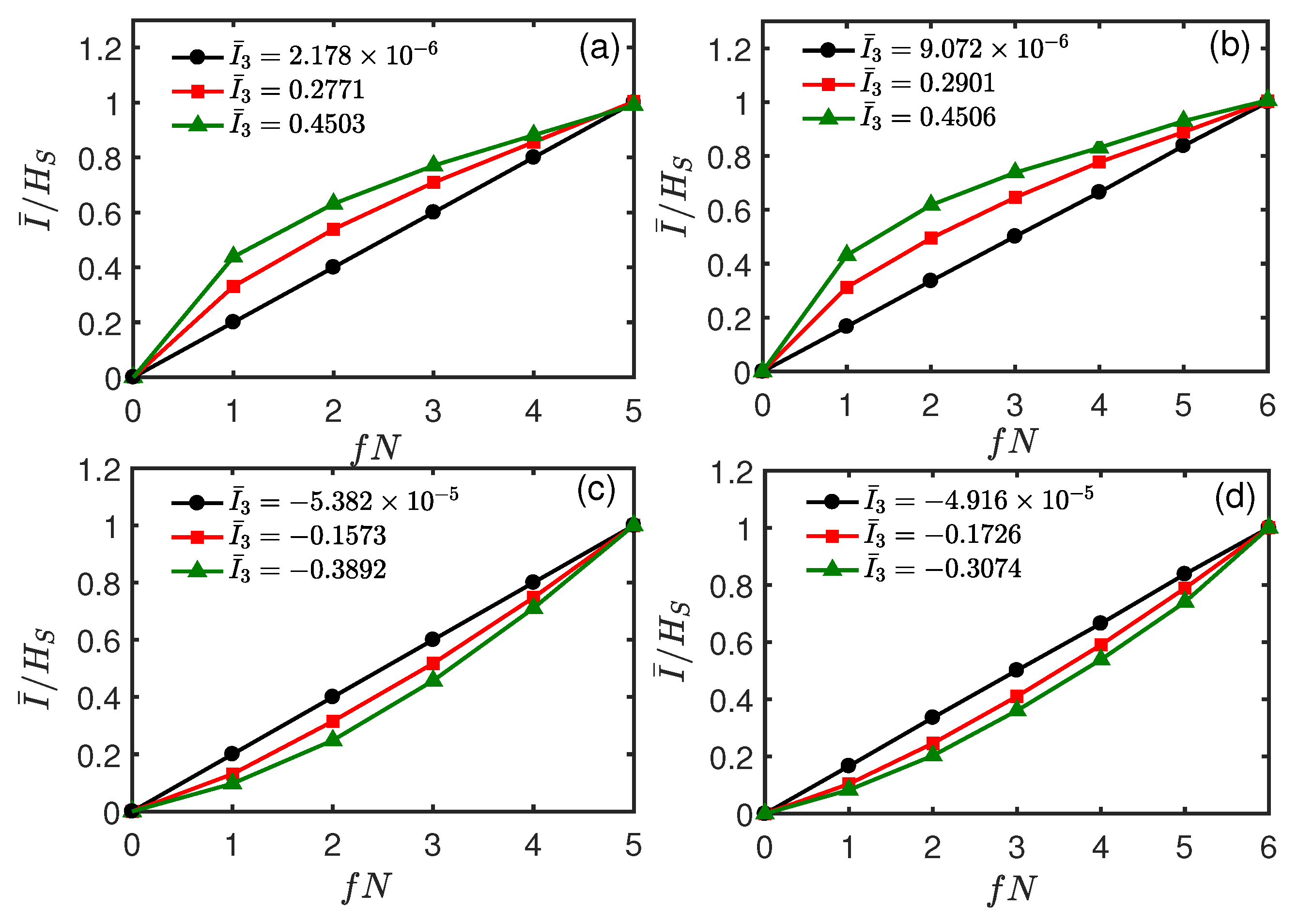
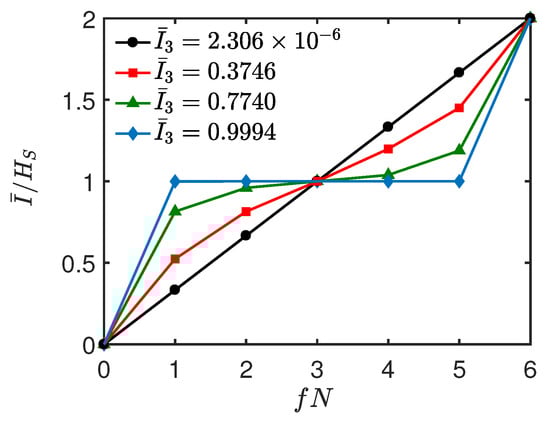
3.1. Dephasing Channel
3.2. Exchange Interaction
- (i)
- In the case of a single qubit system, the initial system–environment entangled state that we choose in Equation (14) is just one of the Bell states, namely, . The above results are valid when it is replaced by any of the other three orthogonal entangled Bell states.
- (ii)
- In the case of a two-qubit system, from our numerical calculations, we find that our above conclusions are valid when the initial entangled state that we choose (see Equation (22)) is replaced by the GHZ state or W state.
- (iii)
- In the case of a two-qubit system, our results in this section are valid when the interaction Hamiltonian between and , namely, Equation (3), is replaced by .
- (iv)
- As previously mentioned, to compute TMI, we divide the whole environment E into three nonoverlapping subsystems B, C, D, whose sizes (the number of the ancillas) are, respectively, given by 1, l, and . Although our above numerical calculation for is in terms of , from numerical calculation, we find that all the above results are independent of l.
- (v)
- For the system–environment interactions besides Equations (5) and (6), we also consider the isotropic Heisenberg interaction (i.e., ) and anisotropic Heisenberg interaction (i.e., and ), respectively. For these two interactions, the corresponding results are qualitatively the same as those obtained from the exchange interaction.
4. Conclusions
Author Contributions
Funding
Data Availability Statement
Conflicts of Interest
References
- Zurek, W.H. Quantum Darwinism. Nat. Phys. 2009, 5, 181. [Google Scholar] [CrossRef]
- Breuer, H.P.; Petruccione, F. The Theory of Open Quantum Systems; Oxford University Press: Oxford, UK, 2002. [Google Scholar]
- Zurek, W.H. Pointer basis of quantum apparatus: Into what mixture does the wave packet collapse? Phys. Rev. D 1981, 24, 1516. [Google Scholar] [CrossRef]
- Zurek, W.H. Environment-induced superselection rules. Phys. Rev. D 1982, 26, 1862. [Google Scholar] [CrossRef]
- Zurek, W.H. Decoherence, einselection, and the quantum origins of the classical. Rev. Mod. Phys. 2003, 75, 715. [Google Scholar] [CrossRef]
- Zwolak, M.; Quan, H.T.; Zurek, W.H. Redundant imprinting of information in nonideal environments: Objective reality via a noisy channel. Phys. Rev. A 2010, 81, 062110. [Google Scholar] [CrossRef]
- Zwolak, M.; Zurek, W.H. Redundancy of einselected information in quantum Darwinism: The irrelevance of irrelevant environment bits. Phys. Rev. A 2017, 95, 030101. [Google Scholar] [CrossRef]
- Zwolak, M.; Riedel, C.J.; Zurek, W.H. Amplification, Decoherence and the Acquisition of Information by Spin Environments. Sci. Rep. 2016, 6, 25277. [Google Scholar] [CrossRef]
- Touil, A.; Yan, B.; Girolami, D.; Deffner, S.; Zurek, W.H. Eavesdropping on the Decohering Environment: Quantum Darwinism, Amplification, and the Origin of Objective Classical Reality. Phys. Rev. Lett. 2022, 128, 010401. [Google Scholar] [CrossRef]
- Brandão, F.G.S.L.; Piani, M.; Horodecki, P. Generic emergence of classical features in quantum Darwinism. Nat. Commun. 2015, 6, 7908. [Google Scholar] [CrossRef]
- Riedel, C.J.; Zurek, W.H.; Zwolak, M. The rise and fall of redundancy in decoherence and quantum Darwinism. New J. Phys. 2012, 14, 083010. [Google Scholar] [CrossRef]
- Zurek, W.H. Quantum Theory of the Classical: Einselection, Envariance, Quantum Darwinism and Extantons. Entropy 2022, 24, 1520. [Google Scholar] [CrossRef] [PubMed]
- Ollivier, H.; Poulin, D.; Zurek, W.H. Objective Properties from Subjective Quantum States: Environment as a Witness. Phys. Rev. Lett. 2004, 93, 220401. [Google Scholar] [CrossRef] [PubMed]
- Blume-Kohout, R.; Zurek, W.H. Quantum Darwinism: Entanglement, branches, and the emergent classicality of redundantly stored quantum information. Phys. Rev. A 2006, 73, 062310. [Google Scholar] [CrossRef]
- Blume-Kohout, R.; Zurek, W.H. A Simple Example of “Quantum Darwinism”: Redundant Information Storage in Many-Spin Environments. Found. Phys. 2005, 35, 1857. [Google Scholar] [CrossRef]
- Zwolak, M.; Quan, H.T.; Zurek, W.H. Quantum Darwinism in a Mixed Environment. Phys. Rev. Lett. 2009, 103, 110402. [Google Scholar] [CrossRef]
- Pleasance, G.; Garraway, B.M. Application of quantum Darwinism to a structured environment. Phys. Rev. A 2017, 96, 062105. [Google Scholar] [CrossRef]
- Giorgi, G.L.; Galve, F.; Zambrini, R. Quantum Darwinism and non-Markovian dissipative dynamics from quantum phases of the spin-1/2 XX model. Phys. Rev. A 2015, 92, 022105. [Google Scholar] [CrossRef]
- Balaneskovica, N. Random Unitary Evolution Model of Quantum Darwinism with pure decoherence. Eur. Phys. J. D 2015, 69, 232. [Google Scholar] [CrossRef]
- Blume-Kohout, R.; Zurek, W.H. Quantum Darwinism in Quantum Brownian Motion. Phys. Rev. Lett. 2008, 101, 240405. [Google Scholar] [CrossRef]
- Ṕerez, A. Information encoding of a qubit into a multilevel environment. Phys. Rev. A 2010, 81, 052326. [Google Scholar] [CrossRef]
- Milazzo, N.; Lorenzo, S.; Paternostro, M.; Palma, G.M. Role of information backflow in the emergence of quantum Darwinism. Phys. Rev. A 2019, 100, 012101. [Google Scholar] [CrossRef]
- Oliveira, S.M.; de Paula, A.L.; Drumond, R.C. Quantum darwinism and non-markovianity in a model of quantum harmonic oscillators. Phys. Rev. A 2019, 100, 052110. [Google Scholar] [CrossRef]
- Lampo, A.; Tuziemski, J.; Lewenstein, M.; Korbicz, J.K. Objectivity in the non-Markovian spin-boson model. Phys. Rev. A 2017, 96, 012120. [Google Scholar] [CrossRef]
- Lorenzo, S.; Paternostro, M.; Palma, G.M. Anti-Zeno-based dynamical control of the unfolding of quantum Darwinism. Phys. Rev. Res. 2020, 2, 013164. [Google Scholar] [CrossRef]
- Campbell, S.; Çakmak, B.; Müstecaplıoğlu, Ö.E.; Paternostro, M.; Vacchini, B. Collisional unfolding of quantum Darwinism. Phys. Rev. A 2019, 99, 042103. [Google Scholar] [CrossRef]
- Ryan, E.; Paternostro, M.; Campbell, S. Quantum darwinism in a structured spin environment. Phys. Lett. A 2021, 416, 127675. [Google Scholar] [CrossRef]
- Girolami, D.; Touil, A.; Yan, B.; Deffner, S.; Zurek, W.H. Redundantly amplified information suppresses quantum correlations in many-body systems. Phys. Rev. Lett. 2022, 129, 010401. [Google Scholar] [CrossRef]
- Ciampini, M.A.; Pinna, G.; Mataloni, P.; Paternostro, M. Experimental signature of quantum Darwinism in photonic cluster states. Phys. Rev. A 2018, 98, 020101. [Google Scholar] [CrossRef]
- Chen, M.C.; Zhong, H.S.; Li, Y.; Wu, D.; Wang, X.L.; Li, L.; Liu, N.L.; Lu, C.Y.; Pan, J.W. Emergence of classical objectivity of quantum Darwinism in a photonic quantum simulator. Sci. Bull. 2019, 64, 580–585. [Google Scholar] [CrossRef]
- Unden, T.K.; Louzon, D.; Zwolak, M.; Zurek, W.H.; Jelezko, F. Revealing the Emergence of Classicality Using Nitrogen-Vacancy Centers. Phys. Rev. Lett. 2019, 123, 140402. [Google Scholar] [CrossRef]
- Scarani, V.; Ziman, M.; Štelmachovič, P.; Gisin, N.; Bužek, V. Thermalizing Quantum Machines: Dissipation and Entanglement. Phys. Rev. Lett. 2002, 88, 097905. [Google Scholar] [CrossRef] [PubMed]
- Ciccarello, F.; Lorenzo, S.; Giovannetti, V.; Palma, G.M. Quantum collision models: Open system dynamics from repeated interactions. Phys. Rep. 2022, 954, 1. [Google Scholar] [CrossRef]
- Ziman, M.; Štelmachovič, P.; Bužek, V. Description of quantum dynamics of open systems based on collision-like models. Open Syst. Inf. Dyn. 2005, 12, 81. [Google Scholar] [CrossRef]
- Ziman, M.; Bužek, V. All (qubit) decoherences: Complete characterization and physical implementation. Phys. Rev. A 2005, 72, 022110. [Google Scholar] [CrossRef]
- Li, Y.W.; Li, L. Hierarchical-environment-assisted non-Markovian and its effect on thermodynamic properties. EPJ Quantum Technol. 2021, 8, 9. [Google Scholar] [CrossRef]
- Çakmak, B.; Müstecaplıoğlu, Ö.E.; Paternostro, M.; Vacchini, B.; Campbell, S. Quantum Darwinism in a Composite System: Objectivity versus Classicality. Entropy 2021, 23, 995. [Google Scholar] [CrossRef] [PubMed]
- Mezei, M.; Stanford, D. On entanglement spreading in chaotic systems. J. High Energy Phys. 2017, 2017, 65. [Google Scholar] [CrossRef]
- Seshadri, A.; Madhok, V.; Lakshminarayan, A. Tripartite mutual information, entanglement, and scrambling in permutation symmetric systems with an application to quantum chaos. Phys. Rev. E 2018, 98, 052205. [Google Scholar] [CrossRef]
- Roberts, D.A.; Yoshida, B. Chaos and complexity by design. J. High Energy Phys. 2017, 2017, 121. [Google Scholar] [CrossRef]
- Hosur, P.; Qi, X.L.; Roberts, D.A.; Yoshida, B. Chaos in quantum channels. J. High Energy Phys. 2016, 2016, 4. [Google Scholar] [CrossRef]
- Swingle, B. Unscrambling the physics of out-of-time-order correlators. Nat. Phys. 2018, 14, 988. [Google Scholar] [CrossRef]
- Maldacena, J.; Shenker, S.H.; Stanford, D. A bound on chaos. J. High Energy Phys. 2016, 2016, 106. [Google Scholar] [CrossRef]
- Hartman, T.; Maldacena, J. Time evolution of entanglement entropy from black hole interiors. J. High Energy Phys. 2013, 2013, 14. [Google Scholar] [CrossRef]
- Zhou, T.; Chen, X. Operator dynamics in a Brownian quantum circuit. Phys. Rev. E 2019, 99, 052212. [Google Scholar] [CrossRef] [PubMed]
- Zanardi, P. Entanglement of quantum evolutions. Phys. Rev. A 2001, 63, 040304. [Google Scholar] [CrossRef]
- Schnacck, O.; Bölter, N.; Paeckel, S.; Manmana, S.R.; Kehrein, S.; Schmitt, M. Tripartite information, scrambling, and the role of Hilbert space partitioning in quantum lattice models. Phys. Rev. B 2019, 100, 224302. [Google Scholar] [CrossRef]
- Bölter, N.; Kehrein, S. Scrambling and many-body localization in the XXZ chain. Phys. Rev. B 2022, 105, 104202. [Google Scholar] [CrossRef]
- Iyoda, E.; Sagawa, T. Scrambling of quantum information in quantum many-body systems. Phys. Rev. A 2018, 97, 042330. [Google Scholar] [CrossRef]
- Sun, Z.H.; Cui, J.; Fan, H. Quantum information scrambling in the presence of weak and strong thermalization. Phys. Rev. A 2021, 104, 022405. [Google Scholar] [CrossRef]
- Li, Y.; Li, X.L.; Jin, J. Information scrambling in a collision model. Phys. Rev. A 2020, 101, 042324. [Google Scholar] [CrossRef]
- Wanisch, D.; Fritzsche, S. Delocalization of quantum information in long-range interacting systems. Phys. Rev. A 2021, 104, 042409. [Google Scholar] [CrossRef]
- Niknam, M.; Santos, L.F.; Cory, D.G. Sensitivity of quantum information to environment perturbations measured with a nonlocal out-of-time-order correlation function. Phys. Rev. Res. 2020, 2, 013200. [Google Scholar] [CrossRef]
- Yan, B.; Sinitsyn, N.A. Recovery of Damaged Information and the Out-of-Time-Ordered Correlators. Phys. Rev. Lett. 2020, 125, 040605. [Google Scholar] [CrossRef] [PubMed]
- Ferté, B.; Cao, X. Quantum Darwinism-encoding transitions on expanding trees. arXiv 2023, arXiv:2312.04284. [Google Scholar]













Disclaimer/Publisher’s Note: The statements, opinions and data contained in all publications are solely those of the individual author(s) and contributor(s) and not of MDPI and/or the editor(s). MDPI and/or the editor(s) disclaim responsibility for any injury to people or property resulting from any ideas, methods, instructions or products referred to in the content. |
© 2023 by the authors. Licensee MDPI, Basel, Switzerland. This article is an open access article distributed under the terms and conditions of the Creative Commons Attribution (CC BY) license (https://creativecommons.org/licenses/by/4.0/).
Share and Cite
Tian, F.; Zou, J.; Li, H.; Han, L.; Shao, B. Relationship between Information Scrambling and Quantum Darwinism. Entropy 2024, 26, 19. https://doi.org/10.3390/e26010019
Tian F, Zou J, Li H, Han L, Shao B. Relationship between Information Scrambling and Quantum Darwinism. Entropy. 2024; 26(1):19. https://doi.org/10.3390/e26010019
Chicago/Turabian StyleTian, Feng, Jian Zou, Hai Li, Liping Han, and Bin Shao. 2024. "Relationship between Information Scrambling and Quantum Darwinism" Entropy 26, no. 1: 19. https://doi.org/10.3390/e26010019
APA StyleTian, F., Zou, J., Li, H., Han, L., & Shao, B. (2024). Relationship between Information Scrambling and Quantum Darwinism. Entropy, 26(1), 19. https://doi.org/10.3390/e26010019

