Entropy Generation in Peristaltic Transport of Hybrid Nanofluids with Thermal Conductivity Variations and Electromagnetic Effects
Abstract
1. Introduction
2. Problem Formulation
3. Expressions for Entropy Generation
4. Solution Methodology
4.1. Zeroth-Order Deformation
4.2. Nth-Order Deformation
5. HAM Solution Convergence
6. Results and Discussion
6.1. Velocity Profile
6.2. Temperature Profile
6.3. Entropy Generation
6.4. Heat Transfer Rate
7. Conclusions
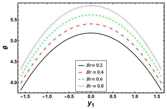
- The Brinkman number has a positive impact on temperature profile, indicating that increasing the viscosity of the fluid improves the heat transfer process. However, higher Hall parameters result in lower temperature profiles, which means that the existence of magnetic fields reduces the heat transfer efficiency.
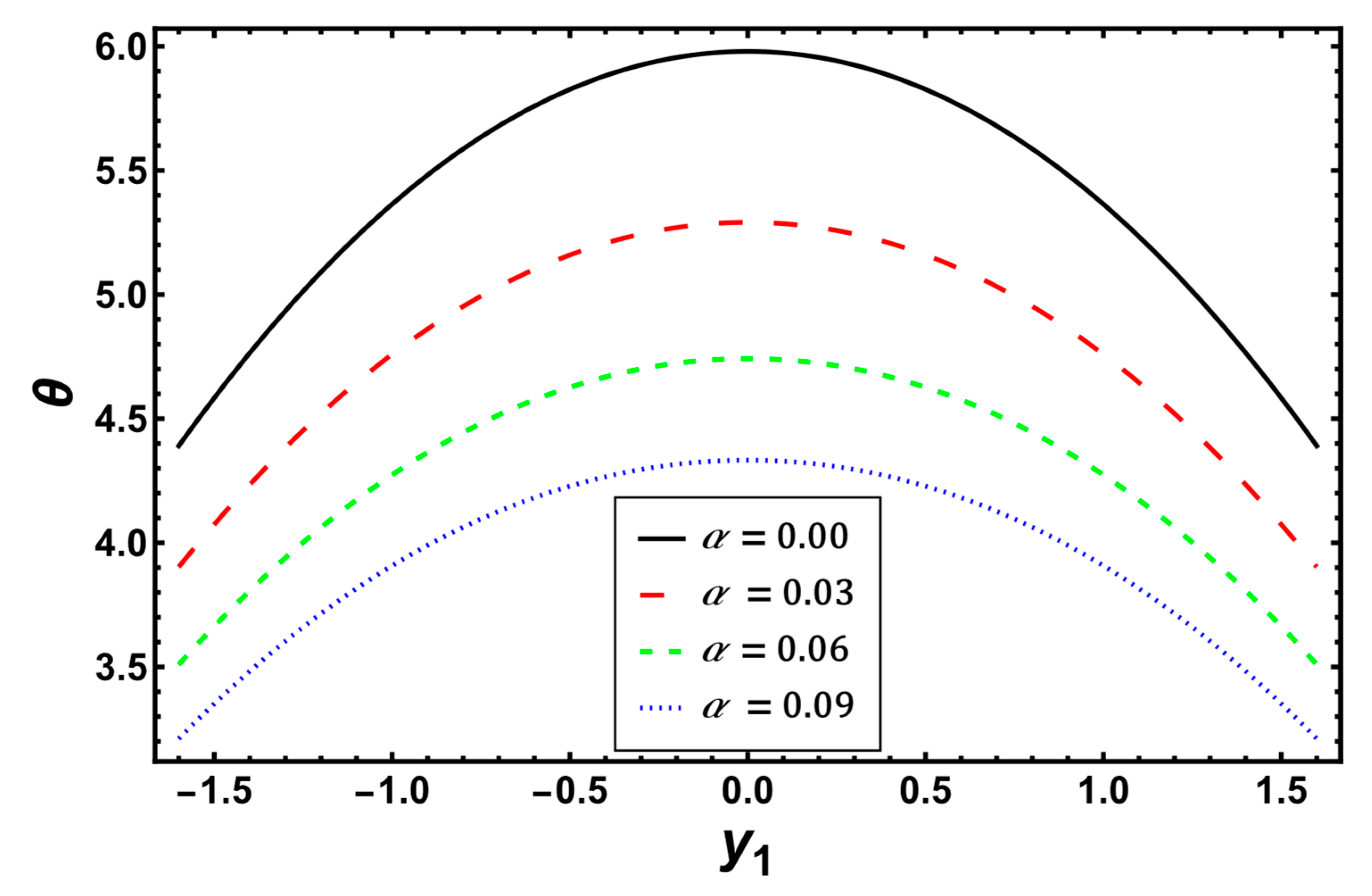
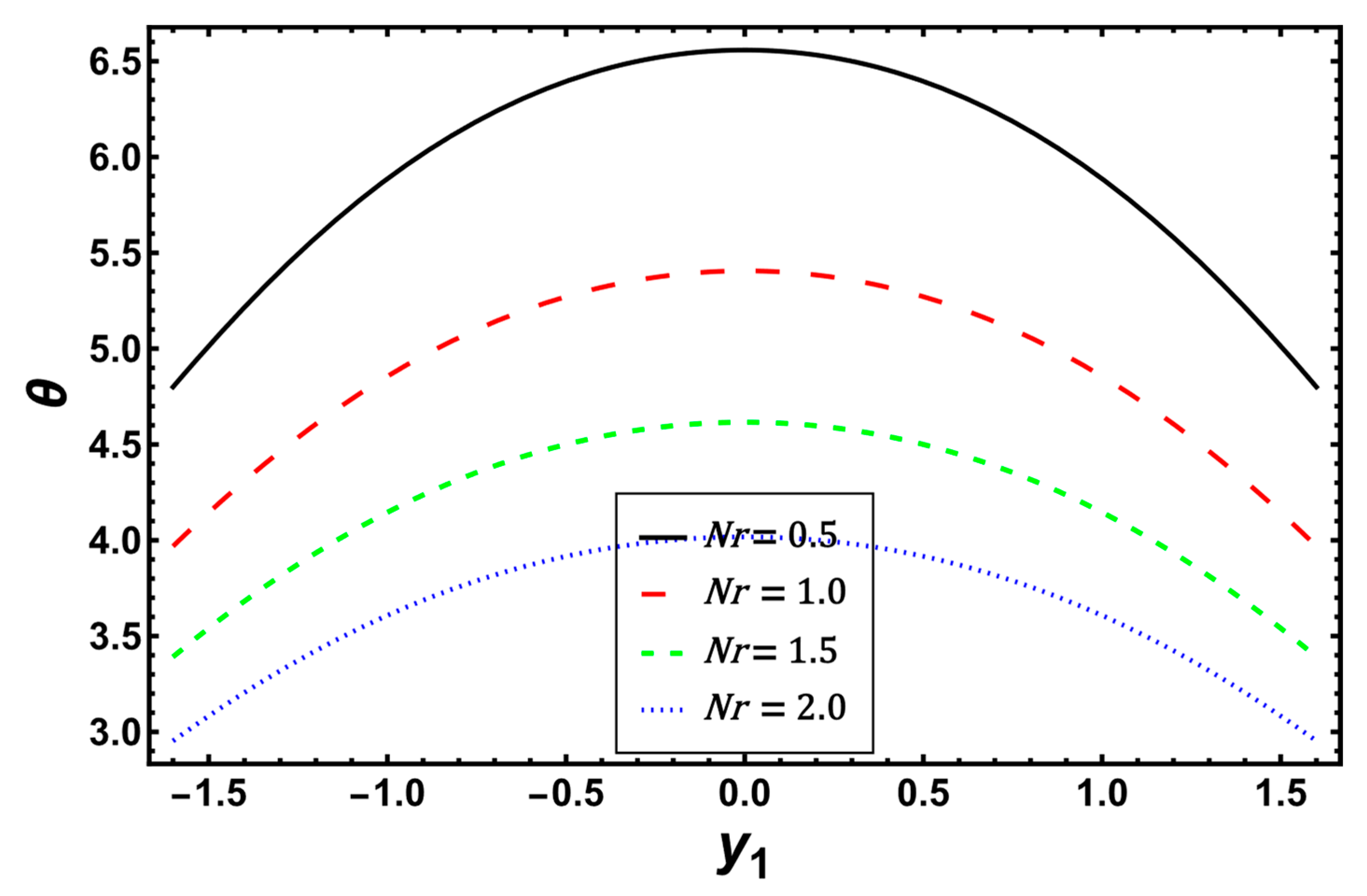
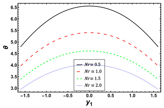
- Enhancing the thermal radiation parameter reduces the temperature profile, suggesting that the radiation has a cooling effect on the system.
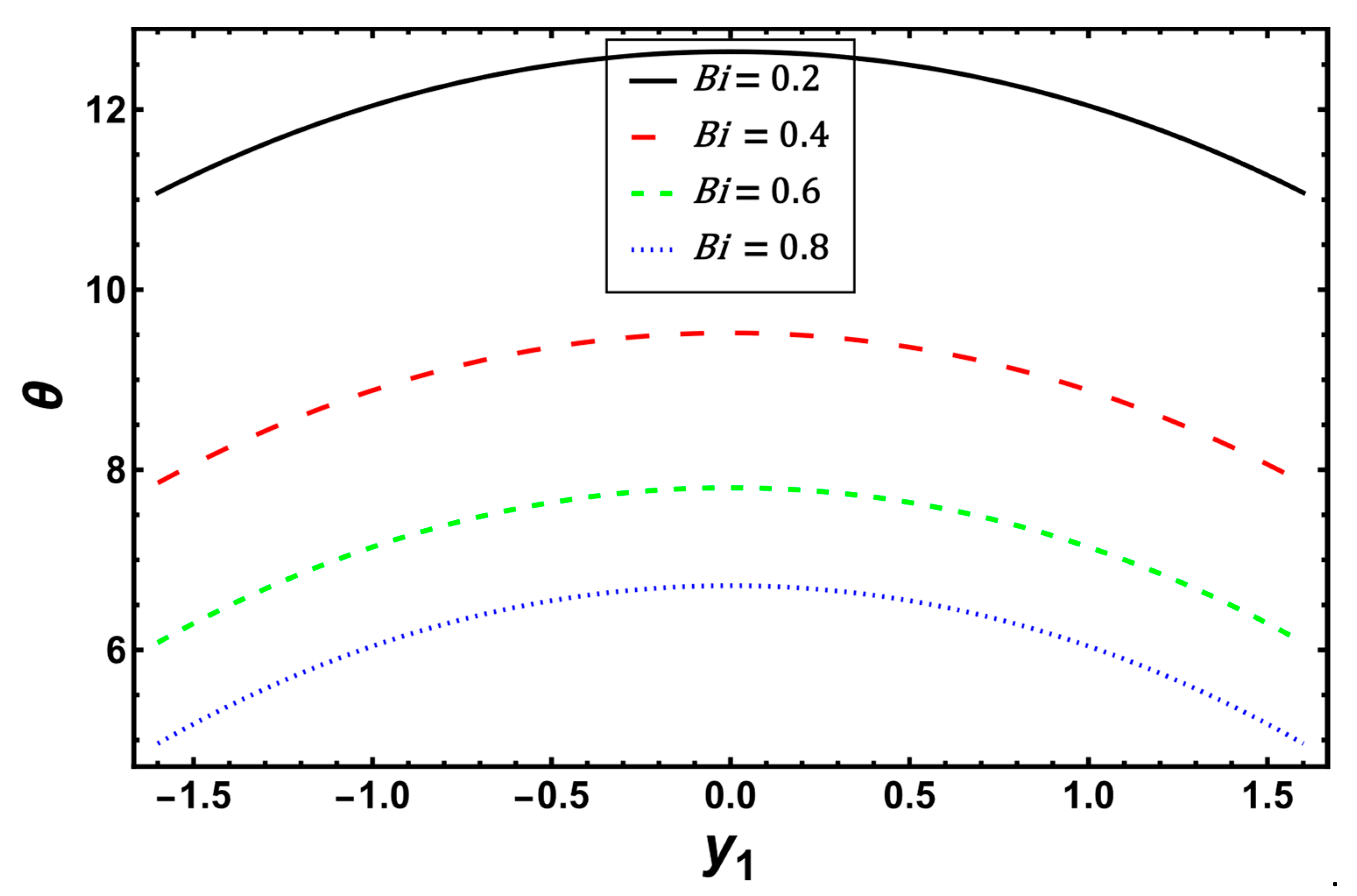
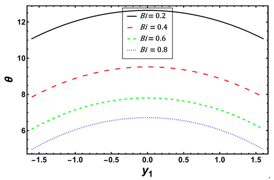
- A higher Biot number increases the magnitude of the temperature profile, indicating higher heat transfer in cases where the thermal resistance at the fluid-solid interface is small.
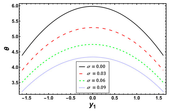
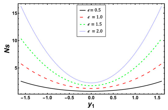
- Increasing the thermal conductivity parameter reduces entropy generation and the temperature profile, which implies that a more conductive fluid leads to more efficient heat transfer and lower thermal losses.
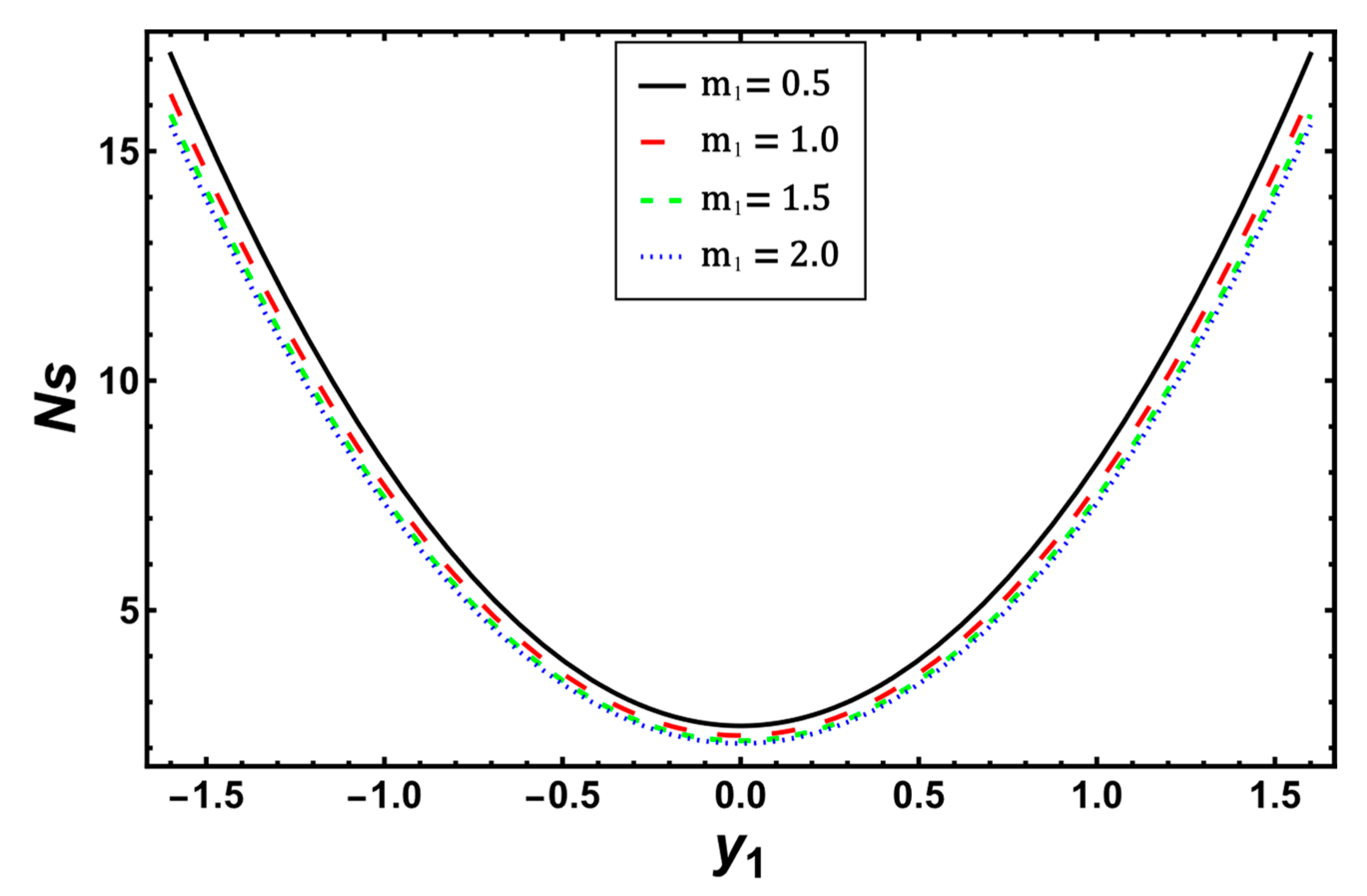
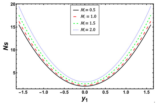
- The Hall parameter has a negative impact on entropy generation, suggesting that magnetic fields can reduce the dissipation of energy in the system. Conversely, higher Hartmann numbers lead to increased entropy generation.
- Heat transfer rates decrease with higher Hall parameters and improve with higher Grashof numbers, indicating that magnetic fields can hinder the heat transfer process while buoyancy forces enhance it.
- The heat transfer rates at the wall increase with higher heat source parameters and Hartmann numbers, indicating that the presence of magnetic fields can enhance the convective heat transfer process. However, thermal radiation has a negative effect on wall heat transfer rates.
- Higher values of Grashof and Hall parameters lead to an increase in the axial velocity in the middle of the walls, indicating that buoyancy and magnetic forces can induce fluid flow.
- The middle channel velocity profile exhibits a decreasing trend as the velocity slip parameter increases, which suggests that the slip at the fluid-solid interface can hinder the flow of the fluid.
Funding
Data Availability Statement
Conflicts of Interest
References
- Hayat, T.; Abbasi, F.M.; Ahmad, B.; Alsaedi, A. Peristaltic transport of Carreau-Yasuda fluid in a curved channel with slip effects. PLoS ONE 2014, 9, e95070. [Google Scholar] [CrossRef]
- Abbasi, F.M.; Shanakhat, I.; Shehzad, S.A. Analysis of entropy generation in peristaltic nanofluid flow with Ohmic heating and Hall current. Phys. Scr. 2019, 94, 025001. [Google Scholar] [CrossRef]
- Ahmed, B.; Hayat, T.; Alsaedi, A.; Abbasi, F.M. Joule heating in mixed convective peristalsis of Sisko nanomaterial. J. Therm. Anal. Calorim. 2021, 146, 1–10. [Google Scholar] [CrossRef]
- Rafiq, M.; Yasmin, H.; Hayat, T.; Alsaadi, F. Effect of Hall and ion-slip on the peristaltic transport of nanofluid: A biomedical application. Chin. J. Phys. 2019, 60, 208–227. [Google Scholar] [CrossRef]
- Reddy, P.B.A. Biomedical aspects of entropy generation on electromagnetohydrodynamic blood flow of hybrid nanofluid with nonlinear thermal radiation and non-uniform heat source/sink. Eur. Phys. J. Plus 2020, 135, 852. [Google Scholar] [CrossRef]
- Akram, J.; Akbar, N.S.; Tripathi, D. Blood-based graphene oxide nanofluid flow through capillary in the presence of electromagnetic fields: A Sutterby fluid model. Microvasc. Res. 2020, 132, 104062. [Google Scholar] [CrossRef] [PubMed]
- Acharya, N.; Bag, R.; Kundu, P.K. Influence of Hall current on radiative nanofluid flow over a spinning disk: A hybrid approach. Phys. E: Low-Dimens. Syst. Nanostruct. 2019, 111, 103–112. [Google Scholar] [CrossRef]
- Divya, B.B.; Manjunatha, G.; Rajashekhar, C.; Vaidya, H.; Prasad, K.V. Analysis of temperature dependent properties of a peristaltic MHD flow in a non-uniform channel: A Casson fluid model. Ain Shams Eng. J. 2021, 12, 2181–2191. [Google Scholar] [CrossRef]
- Nayak, M.K.; Mabood, F.; Dogonchi, A.S.; Khan, W.A. Electromagnetic flow of SWCNT/MWCNT suspensions with optimized entropy generation and cubic auto catalysis chemical reaction. Int. Commun. Heat Mass Transf. 2021, 120, 104996. [Google Scholar] [CrossRef]
- Gul, T.; Bilal, M.; Alghamdi, W.; Asjad, M.I.; Abdeljawad, T. Hybrid nanofluid flow within the conical gap between the cone and the surface of a rotating disk. Sci. Rep. 2021, 11, 1180. [Google Scholar] [CrossRef]
- Kamel, M.S.; Lezsovits, F.; Abdollahi, A.; Izadi, M. Amelioration of pool boiling thermal performance in case of using a new hybrid nanofluid. Case Stud. Therm. Eng. 2021, 24, 100872. [Google Scholar] [CrossRef]
- Abo-Elkhair, R.E.; Bhatti, M.M.; Mekheimer, K.H. Magnetic force effects on peristaltic transport of hybrid bio-nanofluid (AuCu nanoparticles) with moderate Reynolds number: An expanding horizon. Int. Commun. Heat Mass Transf. 2021, 123, 105228. [Google Scholar] [CrossRef]
- Saba Abbasi, F.M.; Shehzad, S.A. Heat transfer analysis for EMHD peristalsis of ionic-nanofluids via curved channel with Joule dissipation and Hall effects. J. Biol. Phys. 2021, 47, 455–476. [Google Scholar] [CrossRef]
- Chamkha, A.; Ismael, M.; Kasaeipoor, A.; Armaghani, T. Entropy Generation and Natural Convection of CuO-Water Nanofluid in C-Shaped Cavity under Magnetic Field. Entropy 2016, 18, 50. [Google Scholar] [CrossRef]
- Li, Y.; Rico Cortes, L.F.; Hamel, H.; Nishad, K.; Biondo, L.; Ries, F. Prediction of Heat Transfer and Fluid Flow Effects on Entropy Generation in a Monolithic Catalytic Converter Using Large-Eddy Simulation. Entropy 2022, 24, 602. [Google Scholar] [CrossRef] [PubMed]
- Waqas, H.; Muhammad, T.; Noreen, S.; Farooq, U.; Alghamdi, M. Cattaneo-Christov heat flux and entropy generation on hybrid nanofluid flow in a nozzle of rocket engine with melting heat transfer. Case Stud. Therm. Eng. 2021, 28, 101504. [Google Scholar] [CrossRef]
- Yang, X.; Shao, Q.; Hoteit, H.; Carrera, J.; Younes, A.; Fahs, M. Three-dimensional natural convection, entropy generation and mixing in heterogeneous porous medium. Adv. Water Resour. 2021, 155, 103992. [Google Scholar] [CrossRef]
- Alrashdi, A.M.A. Peristalsis of Nanofluids via an Inclined Asymmetric Channel with Hall Effects and Entropy Generation Analysis. Mathematics 2023, 11, 458. [Google Scholar] [CrossRef]
- Rabbi, K.M.; Sheikholeslami, M.; Karim, A.; Shafee, A.; Li, Z.; Tlili, I. Prediction of MHD flow and entropy generation by artificial neural network in square cavity with heater-sink for nanomaterial. Phys. A Stat. Mech. Its Appl. 2020, 541, 123520. [Google Scholar] [CrossRef]
- Rasheed, A.; Nawaz, R.; Khan, S.A.; Hanif, H.; Wahab, A. Numerical study of a thin film flow of fourth grade fluid. Int. J. Numer. Methods Heat Fluid Flow 2015, 25, 929–940. [Google Scholar] [CrossRef]
- Akbar, T.; Nawaz, R.; Kamran, M.; Rasheed, A. MHD flow analysis of second grade fluids in porous media with prescribed vorticity. AIP Adv. 2015, 5, 117133. [Google Scholar] [CrossRef]
- Shao, Q.; Fahs, M.; Younes, A. A high-accurate solution for Darcy-Brinkman double-diffusive convection in saturated porous media. Numer. Heat Transf. Part B Fundam. 2016, 69, 26–47. [Google Scholar] [CrossRef]


































Disclaimer/Publisher’s Note: The statements, opinions and data contained in all publications are solely those of the individual author(s) and contributor(s) and not of MDPI and/or the editor(s). MDPI and/or the editor(s) disclaim responsibility for any injury to people or property resulting from any ideas, methods, instructions or products referred to in the content. |
© 2023 by the author. Licensee MDPI, Basel, Switzerland. This article is an open access article distributed under the terms and conditions of the Creative Commons Attribution (CC BY) license (https://creativecommons.org/licenses/by/4.0/).
Share and Cite
Alrashdi, A.M.A. Entropy Generation in Peristaltic Transport of Hybrid Nanofluids with Thermal Conductivity Variations and Electromagnetic Effects. Entropy 2023, 25, 659. https://doi.org/10.3390/e25040659
Alrashdi AMA. Entropy Generation in Peristaltic Transport of Hybrid Nanofluids with Thermal Conductivity Variations and Electromagnetic Effects. Entropy. 2023; 25(4):659. https://doi.org/10.3390/e25040659
Chicago/Turabian StyleAlrashdi, Abdulwahed Muaybid A. 2023. "Entropy Generation in Peristaltic Transport of Hybrid Nanofluids with Thermal Conductivity Variations and Electromagnetic Effects" Entropy 25, no. 4: 659. https://doi.org/10.3390/e25040659
APA StyleAlrashdi, A. M. A. (2023). Entropy Generation in Peristaltic Transport of Hybrid Nanofluids with Thermal Conductivity Variations and Electromagnetic Effects. Entropy, 25(4), 659. https://doi.org/10.3390/e25040659
