Repair Rates for Multiple Descriptions on Distributed Storage †
Abstract
1. Introduction
- There is a special (highly reliable) repair server that does not participate in the usual operation of the system, but only comes into action if another server fails. The repair server can contact all other (non-failed) servers and use their information combined with its own information to restore the failed server (collaborative repair).
- The repair information is stored in a distributed fashion among the n servers (distributed repair).
2. Problem Description
2.1. Distributed Repair
2.2. Collaborate Repair
3. Achievable Rate
- The repair node can restore operation of the full n node distortion region. Therefore, the terminal single common codeword is not at layer , but at layer n. At the same time, the repair node now has to store repair information for this last codeword.
- For distributed repair, distributions are chosen to minimize . For collaborative repair, distributions are chosen to minimize R, and is then as given for those distributions.
4. The Two Level Case
- 1.
- For a common message is used and achievesFor the upper bound is tight.
- 2.
- For no common message is used andFor the upper bound is tight.
- 3.
- For no common message is used and the exact repair rate isfor all k and n.
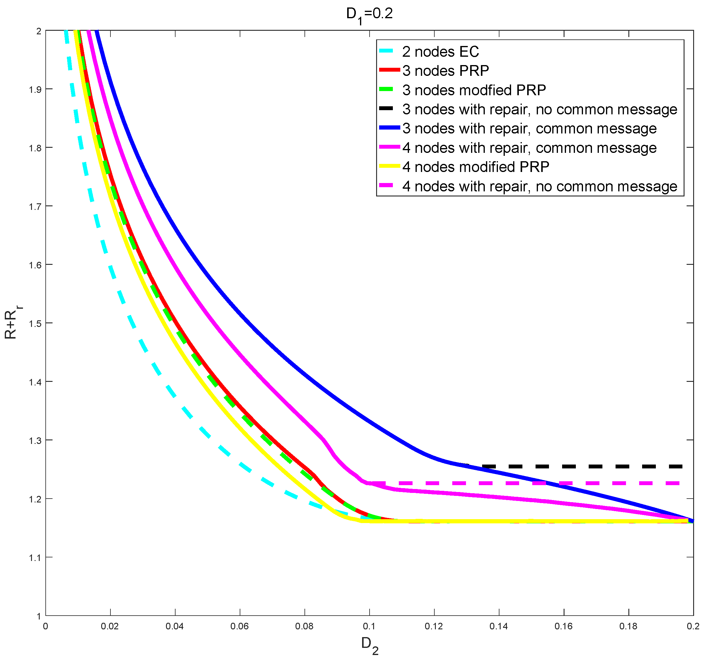
5. Example Gaussian Case
6. Conclusions
Author Contributions
Funding
Informed Consent Statement
Data Availability Statement
Conflicts of Interest
Abbreviations
| MDS | Maximum distance separable (code) |
| EC | El-Gamal Cover (coding scheme) |
| ZB | Zhang-Berger (coding scheme) |
| PPR | Puri Pradhan Ramchandran (coding scheme) |
| SCEC | Source-channel erasure code |
Appendix A. Proof of Theorem 1
Appendix A.1. Codebook Generation
Appendix A.2. Encoding
Appendix A.3. Decoding
Appendix A.4. Repair
Appendix A.5. Analysis of Decoding Error
- : .
- : There exists no indices so that
- : Not all the indices are greater than zero.
- : For some subset with there exists some other in bins so that (We use a slightly different notation for compared to [4], which we think is clearer.
- : Not all the indices are greater than zero.
- : For some there exist another index in bin so that
- : There is a decoding error in the MDS erasure code for .
- : There is a decoding error in the MDS erasure code for .
Appendix A.6. Analysis of Repair Error
- : Some for .
- : For , there exists another bin index in bin so that
- : For , there is a decoding error in the MDS erasure code for .
Appendix A.6.1. Bounding Er1
Appendix A.6.2. Bounding Er2
- Are in the bin indicated by .
- Has , .
- Are jointly typical, i.e., satisfy (A6).
Appendix B. Proof of Theorem 3
References
- Dimakis, A.G.; Godfrey, P.B.; Wu, Y.; Wainwright, M.J.; Ramchandran, K. Network Coding for Distributed Storage Systems. IEEE Trans. Inf. Theory 2010, 56, 4539–4551. [Google Scholar] [CrossRef]
- Gamal, A.E.; Cover, T. Achievable rates for multiple descriptions. IEEE Trans. Inf. Theory 1982, 28, 851–857. [Google Scholar] [CrossRef]
- Gamal, A.E.; Kim, Y.H. Network Information Theory; Cambridge University Press: Cambridge, UK, 2011. [Google Scholar]
- Puri, R.; Pradhan, S.S.; Ramchandran, K. n-channel symmetric multiple descriptions-part II:An achievable rate-distortion region. IEEE Trans. Inf. Theory 2005, 51, 1377–1392. [Google Scholar] [CrossRef]
- Chan, T.H.; Ho, S.W. Robust multiple description coding—Joint Coding for source and storage. In Proceedings of the 2013 IEEE International Symposium on Information Theory, Istanbul, Turkey, 7–12 July 2013; pp. 1809–1813. [Google Scholar] [CrossRef]
- Kapetanovic, D.; Chatzinotas, S.; Ottersten, B. Index assignment for multiple description repair in distributed storage systems. In Proceedings of the 2014 IEEE International Conference on Communications (ICC), Sydney, Australia, 10–14 June 2014; pp. 3896–3901. [Google Scholar] [CrossRef]
- Høst-Madsen, A.; Yang, H.; Kim, M.; Lee, J. Repair of Multiple Descriptions on Distributed Storage. In Proceedings of the ISITA’2020, Honolulu, HI, USA, 24–27 October 2020. [Google Scholar]
- Wang, H.; Viswanath, P. Vector Gaussian Multiple Description With Individual and Central Receivers. IEEE Trans. Inf. Theory 2007, 53, 2133–2153. [Google Scholar] [CrossRef]
- Wang, H.; Viswanath, P. Vector Gaussian Multiple Description With Two Levels of Receivers. IEEE Trans. Inf. Theory 2009, 55, 401–410. [Google Scholar] [CrossRef][Green Version]
- Venkataramani, R.; Kramer, G.; Goyal, V.K. Multiple description coding with many channels. IEEE Trans. Inf. Theory 2003, 49, 2106–2114. [Google Scholar] [CrossRef]
- Tian, C.; Chen, J. New Coding Schemes for the Symmetric K-Description Problem. IEEE Trans. Inf. Theory 2010, 56, 5344–5365. [Google Scholar] [CrossRef]
- Viswanatha, K.B.; Akyol, E.; Rose, K. Combinatorial Message Sharing and a New Achievable Region for Multiple Descriptions. IEEE Trans. Inf. Theory 2016, 62, 769–792. [Google Scholar] [CrossRef]
- Pradhan, S.S.; Puri, R.; Ramchandran, K. n-channel symmetric multiple descriptions—Part I: (n, k) source-channel erasure codes. IEEE Trans. Inf. Theory 2004, 50, 47–61. [Google Scholar] [CrossRef]
- Cover, T.; Thomas, J. Information Theory, 2nd ed.; John Wiley: Hoboken, NJ, USA, 2006. [Google Scholar]


Publisher’s Note: MDPI stays neutral with regard to jurisdictional claims in published maps and institutional affiliations. |
© 2022 by the authors. Licensee MDPI, Basel, Switzerland. This article is an open access article distributed under the terms and conditions of the Creative Commons Attribution (CC BY) license (https://creativecommons.org/licenses/by/4.0/).
Share and Cite
Høst-Madsen, A.; Yang, H.; Kim, M.; Lee, J. Repair Rates for Multiple Descriptions on Distributed Storage. Entropy 2022, 24, 612. https://doi.org/10.3390/e24050612
Høst-Madsen A, Yang H, Kim M, Lee J. Repair Rates for Multiple Descriptions on Distributed Storage. Entropy. 2022; 24(5):612. https://doi.org/10.3390/e24050612
Chicago/Turabian StyleHøst-Madsen, Anders, Heecheol Yang, Minchul Kim, and Jungwoo Lee. 2022. "Repair Rates for Multiple Descriptions on Distributed Storage" Entropy 24, no. 5: 612. https://doi.org/10.3390/e24050612
APA StyleHøst-Madsen, A., Yang, H., Kim, M., & Lee, J. (2022). Repair Rates for Multiple Descriptions on Distributed Storage. Entropy, 24(5), 612. https://doi.org/10.3390/e24050612

