Abstract
Recent mathematical investigations have shown that under very general conditions, exponential mixing implies the Bernoulli property. As a concrete example of statistical mechanics that are exponentially mixing we consider the Bernoulli shift dynamics by Chebyshev maps of arbitrary order , which maximizes Tsallis entropy rather than the ordinary Boltzmann-Gibbs entropy. Such an information shift dynamics may be relevant in a pre-universe before ordinary space-time is created. We discuss symmetry properties of the coupled Chebyshev systems, which are different for even and odd N. We show that the value of the fine structure constant is distinguished as a coupling constant in this context, leading to uncorrelated behaviour in the spatial direction of the corresponding coupled map lattice for .
1. Introduction
The foundations of statistical mechanics are a subject of continuing theoretical interest. It is far from obvious that a given deterministic dynamics can ultimately be described by a statistical mechanics formalism. The introduction of generalized entropies (such as, for example, the non-additive Tsallis entropies [1,2,3]) leads to a further extension of the formalism relevant for systems with long-range interactions, or with a fractal or compactified phase space structure, or with non-equilibrium steady states exhibiting fluctuations of temperature or of effective diffusion constants [4,5]. Generalized entropies have been shown to have applications for a variety of complex systems, for example, in high energy physics [6,7,8,9,10] or for turbulent systems [11,12,13]. In this paper we go back to the basics and explore the properties of a particular statistical mechanics, namely that of an information shift dynamics described by Tsallis entropies with the entropic index on a compact phase space.
Our work is inspired by recent mathematical work [14] that shows that the exponential mixing property automatically implies the Bernoulli property, under very general circumstances. This theorem is of utmost interest for the foundations of statistical mechanics. Namely, by definition the systems we are interested in when dealing with statistical mechanics relax to an equilibrium fairly quickly (under normal circumstances). That is to say, we have the exponential mixing property. However, this then implies that somewhere (on a suitable subset of the phase space) there must exist a Bernoulli shift dynamics in suitable coordinates.
We will work out one of the simplest example systems that is consistent with a generalized statistical mechanics formalism, and at the same time is exponentially mixing and ultimately conjugated to a Bernoulli shift. These are discrete-time dynamical systems on the interval as generated by N-th order Chebyshev maps [15,16,17,18]. Chebyshev maps are exponentially mixing and are conjugated to a Bernoulli shift of N symbols. We will review and investigate their properties in detail in the following sections. It is needless to say that Chebyshev maps do not live in ordinary physical space but just on a compactified space, the interval . The simplest examples are given by the and cases, i.e., and . Despite their simplicity, a statistical mechanics formalism can be constructed as an effective description (see also Refs. [19,20]). In contrast to ordinary statistical mechanics (described by states where the Boltzmann–Gibbs–Shannon entropy has a maximum subject to constraints), in our case the relevant entropy is the Tsallis entropy . This leads to interesting properties. Our physical interpretation is that the above information shift dynamics may be relevant in a pre-universe, i.e., in an extremely early stage of the universe where ordinary space-time has not yet formed. The dynamics evolves in a fictitious time coordinate (different from physical time) which is relevant for stochastic quantization [21,22] (this idea has been worked out in more detail in Refs. [19,23,24]).
While we will work out the properties of Chebyshev maps in further detail in the following sections, what we mention right now as a prerequisite is that the invariant density of Chebyshev maps of arbitrary order is given by
This density describes the probability density of iterates under long-term iteration. The maps are ergodic and mixing. In suitable coordinates, iteration of the map corresponds to a Bernoulli shift dynamics of N symbols. In the following we give a generalized statistical mechanics interpretation for the above invariant density, identifying Chebyshev maps as one of the simplest systems possible for which a generalized statistical mechanics can be defined. The interesting aspect of this low-dimensional simplicity is that is relevant, rather than as for ordinary statistical mechanics.
This paper is organized as follows. In Section 2 we derive the generalized canonical distributions obtained from the q-entropies , and discuss the special distinguished features obtained for (or if so-called escort distributions [20,25] are used). In Section 3 we discuss the exponential mixing property, which is fixed by the second largest eigenvalue of the Perron–Frobenius operator. In fact, we will present formulas for all eigenvalues and eigenfunctions, thus completely describing the exponential mixing behaviour. In Section 4 we couple two maps, thus gradually expanding the phase space, and investigate how the coupling structure induces certain symmetries in the attractor, which are different for odd N and even N. The degeneracy of the canonical distribution (of the invariant density) is removed by the coupling, and all attractors become N-dependent. Finally, in Section 5 we consider a large number of coupled maps on a one-dimensional lattice space. This is the realm of the so-called ’chaotic strings’, which have previously been shown to have relevant applications in quantum field theory [17,19,23]. We confirm, by numerical simulations, that the string distinguishes a value of the coupling constant given numerically by 1/137, which numerically coincides with the low-energy limit of the fine structure constant fixing the strength of electric interaction. A physical interpretation for that will be given, in the sense that we assume that the chaotic shift dynamics, described by Tsallis entropies in a statistical mechanics setting, is a fundamental information shift dynamics that helps to fix standard model parameters in a pre-universe, before ordinary space-time is created.
2. Generalized Canonical Distributions from Maximizing -Entropy Subject to Constraints
The relevant probability density (1) mentioned above can be regarded as a generalized canonical distribution in non-extensive statistical mechanics [1]. As it is well known, one defines for a dimensionless continuous random variable X with probability density the Tsallis entropies as
Here is the entropic index. The Tsallis entropies contain the Boltzmann–Gibbs–Shannon entropy as a special case for , as can be easily checked by writing and taking the limit in the above equation.
We now do statistical mechanics for general q. Typically one has some knowledge on the system. This could be, for example, a knowledge of the mean energy U of the system. Extremizing subject to the constraint
one ends up with q-generalized canonical distributions (see, e.g., Refs. [2,12] for a review). These are given by
where E is the energy associated with microstate x, and is the inverse temperature. Of course, for one obtains the usual Boltzmann factor .
Alternatively, one can work with the so-called escort distributions, defined for a given parameter q and a given distribution as [20]
The escort distribution sometimes helps to avoid diverging integrals, thus ‘renormalizing’ the theory under consideration, see Ref. [26] for more details. If the energy constraint (3) is implemented using the escort distribution rather than the original distribution , one obtains generalized canonical distributions of the form
Again the limit yields ordinary Boltzmann factors .
Let us now apply a q-generalized statistical mechanics formalism to the chaotic dynamics as generated by Chebyshev maps. We may regard these Chebyshev maps as the simplest possibility to microscopically generate a dynamics that exactly follows a generalized canonical distribution, and at the same time lives on a compact phase space . We might identify as a formal kinetic energy associated with the chaotic fields X, interpreting X as a kind of velocity and m as a mass. Or, we might regard it as a harmonic oscillator potential, regarding X as a kind of position. We then get, by comparing Equations (1) and (4),
Note that the mass that formally comes out of this approach is negative. A formal problem of this approach is that the Tsallis entropy of the distribution (1) as defined by the integral Equation (2) does not exist, since the integral diverges. This problem, however, can be avoided by proceeding to the escort distribution, which has a different effective q index. For escort distributions, all relevant integrals are well-defined, as we will show in the following.
If the escort formalism [20,25,26] is used, then by comparing the functional form of the invariant density with Equation (5) we get
We obtain the result that our shift-of-information model behaves similar to an ideal gas in the non-extensive formalism but with an entropic index of either or , rather than , as in ordinary statistical mechanics. The ‘velocity’ v is given by the dimensionless variable , the ‘kinetic energy’ by the non-relativistic formula , and the inverse temperature is . This non-extensive gas has the special property that the temperature coincides with the mass of the ‘particles’ considered. Alternatively, it corresponds to a harmonic oscillator potential if X is interpreted as a fluctuating position variable that lives on a compact interval. The idea can also be worked out for coupled systems, i.e., for spatially coupled Chebyshev maps on a lattice, and applied to vacuum fluctuations in quantum field theory, see Ref. [19] for more details.
We can now evaluate all interesting thermodynamic properties of the system using the escort formalism. Regarding the invariant density of our system as an escort distribution , we have, by comparing the exponent with that in Equation (5), . The original distribution is then given by which gives
where the prefactor is fixed by the normalisation condition . For the Tsallis entropy of the chaotic fields, we obtain from Equations (2) and (6)
It is invariant under the transformation , which is a distinguished property of the entropic index . For the generalized internal energy we obtain
and for the generalized free energy
All expectations formed with the invariant measure can be regarded as corresponding to escort expectations within the more general type of thermodynamics that is relevant for our chaotically evolving information-shift fields. Whereas ordinary statistical physics is described by a statistical mechanics with , the chaotic fields underlying our information shift are described by or , depending on whether the escort formalism is used or not. In general, one can easily verify that the entropic indices and are very distinguished cases: Only for these two cases is the Tsallis entropy of the escort distribution equal to the Tsallis entropy of the original distribution, for arbitrary distributions .
An important distinction comes from the non-additivity property of Tsallis entropies. Consider a factorization of probabilities, i.e., write
where I and are independent subsystems. A general property of Tsallis entropy is
which is true for arbitrary factorizing probability densities and arbitrary q.
The cases and are distinguished as they satisfy the relation
That is to say, linear entropy differences on the left-hand side are connected with squared entropy differences on the right-hand side.
We should mention here that the case , respectively , is a kind of extreme case where is not small. Usually, the difference is assumed to be small in typical applications of Tsallis statistics to cosmology and quantum field theory, see e.g., Refs. [27,28,29] for some recent work in this direction. Note that for our information shift dynamics, the Kolmogorov–Sinai entropy is still given by the standard Lyapunov exponent as we have a strongly chaotic dynamics for which everything can be calculated analytically since the invariant density is known. This means there is on average a linear growth of information in each iteration step [20]. All n-point higher-order correlation functions of the dynamics can be calculated by implementing a graph-theoretical method developed in Ref. [16]. The deformation from ordinary statistical mechanics is visible in the shape of the invariant density, which strongly differs from a Gaussian, as it is described by a q-Gaussian with . This anomaly is due to the fact that the statistical mechanics we consider has as a phase space a compactified space—it simply lives on the interval [, 1]. Our physical interpretation is that this information shift dynamics is not living in the ordinary space-time of the current universe but describes a pre-universe dynamics on a compactified space. Only later, when ordinary space-time unfolds, does q start getting closer to 1, because the available phase space then becomes much bigger and the many more degrees of freedom will start to contribute. We may assume that there is a complex transition scenario from to on that way towards ordinary statistical mechanics.
3. Relaxation Properties of Chebyshev Dynamical Systems
Formally, the Chebyshev maps are a family of discrete dynamical systems defined by
where
which can be written as polynomials, for example,
They are proven to be topologically conjugated to tent-like maps via the conjugacy function , and as a consequence, they are conjugated to Bernoulli shifts of N symbols. Furthermore, one can show that the (higher-order) correlation functions of Chebyshev maps are vanishing identically, except for special sets of tuples described by appropriate N-ary graphs [15,16], which is a distinguished feature compared to other maps conjugated to a Bernoulli shift.
The transfer (or Perron–Frobenius) operator for a given map describes the time evolution of a distribution of points characterised by a density function. Consider the eigenvalue equation : if we write an initial distribution as a linear combination of eigenfunctions of , then the time evolution of the distribution is just applications of the (linear) transfer operator, which is simply multiplying the eigenfunctions in the expansion of the initial density with the corresponding eigenvalues.
For a one-dimensional discrete dynamical system T the Perron–Frobenius operator is given by , where denotes the derivative of the map T and is summing over all the preimages of a point y. It was shown [15] that for Chebyshev maps , we have , with
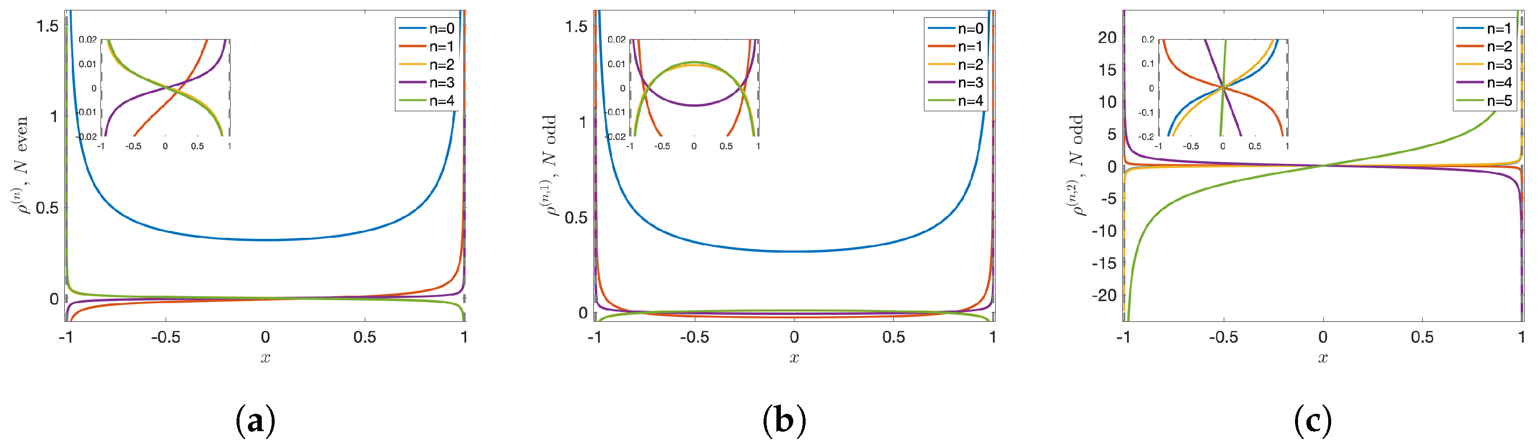
where and are the Bernoulli and Euler polynomials, respectively. The graphs of the first few eigenfunctions are shown below. They form a basis of the functional space under consideration.
The invariant density of the Chebyshev map is the eigenfunction of the transfer operator associated with the unit eigenvalue, with we recover Equation (1): . The graph can be found in blue in Figure 1a or Figure 1b.
Figure 1.
First five eigenfunctions of the transfer operator for Chebyshev maps () with (a) even N, and (b,c) odd N. Each inset captures the graph close to the origin.
The remaining eigenvalues are related to relaxation times of the dynamical system and in particular, the second one characterises the mixing rate in the following sense:
Consider an arbitrary initial distribution in a suitable functional space, it can then be expressed as a linear combination of the eigenfunctions of
where the are some real coefficients. Applying the transfer operator m times gives
where is the invariant density and denotes the sum of the remaining terms. Since for all and , we have as . The decay of will be dominated by the second largest eigenvalue. In other words, determines the rate of approaching the equilibrium state (or invariant density) .
The exponential mixing property of a map means that an arbitrary density approaches the invariant density exponentially fast: , where is referred to as relaxation time and it is related to the second largest eigenvalue by [20]. In our case we have and hence the relaxation time for the Chebyshev map is given by .
4. Symmetries in the Attractors of Coupled Chebyshev Map Systems of Small Size
We have shown in the previous section that the invariant density of a Chebyshev map is independent of the order . We will now couple the maps [17,18,19,23,30,31]. The independence of N will be removed by the coupling and all the attractors will become N-dependent.
Consider a one-dimensional lattice of size with periodic boundary conditions, and on each lattice site we impose an identical Chebyshev dynamics. The simplest coupling scheme is the nearest-neighbour coupling and it is described as follows:
where the superscripts and subscripts of the dynamical variable x denote the spatial position of the lattice site and the number of time steps of iterations, respectively, and is the coupling strength.
It is usually assumed that for a very weak coupling, ergodicity still holds if the uncoupled system is ergodic. It is still an open mathematical question whether the coupled Chebyshev systems are ergodic or not for a range of the coupling strength for a given order N. However, we can numerically investigate their behaviour for a large time.
For a system of two () coupled maps, Figure 2 shows the attractors and the associated probability measures (in colour) for and 5 with various values of the coupling strength c. In general, the attractor shrinks to the diagonal () as the coupling strength c increases, where the system achieves a completely synchronized state, before which spikes (small regions in red) occur at various c values, indicating high concentrations of probability; a pair of symmetric islands implies that the two lattice sites have opposite-sign dynamics ().
Figure 2.
Probability densities on attractors of two coupled (row 1), (row 2), (row 3) and (row 4) systems, with different coupling strengths c (indicated in each caption). The x- and y-axes intervals are (the value increases horizontally from left to right) and (the value increases vertically from top to bottom). The colour codes show the averaged probability of 10,000 trajectories, randomly chosen initially, each iterated for 10,100 ( transient) time steps. The colour coding is in log scaling for a better representation; dark blue indicates lower probability and dark red indicates higher probability; each heatmap uses bins. Videos of the shown dynamics are available online https://sites.google.com/view/jinyan-cmls/home (accessed on 25 October 2022). (a) : , (b) : , (c) : , (d) : , (e) : , (f) : , (g) : , (h) : , (i) : , (j) : , (k) : , (l) : , (m) : , (n) : , (o) : , (p) : .
Apart from their intricate and complicated structures, one notices that for odd N, the attractor is symmetric also with respect to the anti-diagonal while for even N this symmetry is not present. This is simply due to the fact that is an odd function when N is odd: As , the coupled map Equation (10) is invariant if we multiply the variables by , while this is not true for even N. The videos for Figure 2, showing the dynamics of the attractor when the coupling strength c is slowly changed, are available online [32].
Figure 3 shows similar symmetry behaviour for a system of three () coupled maps of order and 5 with some arbitrarily chosen coupling strength c, as indicated in each caption. Each three-dimensional attractor is projected onto the -plane, in other words, the marginal density is shown.
Figure 3.
Probability densities on attractors of three coupled systems projected onto the -plane of the full -space (i.e., marginal densities are shown). The value of the coupling strength c is indicated in each caption. The axes and colour coding are the same as in Figure 2. The averaged probability is obtained from 500 trajectories, randomly chosen initially, each iterated for 300 ( transient) time steps. (a) : , (b) : , (c) : , (d) : .
In Refs. [19,23] four types of coupled map systems were introduced for applications in stochastically quantized field theories. They differ from the current model (Equation (10), so-called forward diffusive coupling) by changing the sign of the second term (antidiffusive) or replacing by (backward coupling, taking into account the propagation time along the lattice). All of them have interesting physical applications, but in this paper we solely focus on the model Equation (10). In the next section, we show that in this simple model of coupled information shifts there might be a deep connection to a fundamental constant of particle physics—the fine structure constant. For more details on this type of approach fixing standard model parameters, see Refs. [19,23].
5. Vanishing Spatial Correlations Related to the Fine Structure Constant
For applications in quantum field theory and high energy physics it is meaningful to extend the coupled map system to a larger size, and ultimately to take the thermodynamic limit .
In this section we numerically study the spatial nearest-neighbour correlations (SNNC) of the system described by Equation (10), and show that the value of the fine structure constant is distinguished as a coupling constant for which the SNNC (with local maps) vanishes, implying that the underlying dynamics is uncorrelated in the spatial direction, thus achieving maximal randomness.
The spatial nearest-neighbour correlation (SNNC) for the coupled map system (10) of size J (large) is defined as
where the superscripts j and subscripts n of x denote the lattice location and iteration times, respectively, as previously.
Here we choose the local Chebyshev map of order . The reader can refer to Refs. [15,19] for results on other orders. Figure 4 shows our results for SNNC as a function of the coupling c, as obtained from new numerical simulations. One notices in Figure 4a that for the coupling strength c being very small, there is a zero of SNNC around , and by magnifying this region in Figure 4b with higher precision, we can observe that the zero is located at a particular value . Our simulations were repeated 11 times for different random initial conditions and the averaged result is , where the statistical error is estimated from the small deviations that are observed for each of the 11 runs. This value is in good agreement with the numerical value of the fine structure constant as observed in nature. In fact, the fine structure constant is a running coupling constant and depends on the energy scale E considered [19]. Our numerical results are consistent with the range , where is the electron mass. Our simulations were performed on lattices of size J = 50,000 with periodic boundary conditions. The iteration time for each run was K = 50,100, with 100 initial iterations discarded to avoid transients. At smaller lattice sizes J, we observe a small tendency of the zero to decrease with the increasing lattice size, so there may also be tiny systematic errors due to the finite lattice size used in our simulations.
Figure 4.
The graph of spatial nearest-neighbour correlation (SNNC) for coupled 3rd-order Chebyshev maps () as a function of the coupling strength . The space × time size for the first plot is ( for transient), and for the second plot is 50,000 × 50,100 (); all initial points are randomly chosen from a uniform distribution in the interval . (a) SNNC for , (b) zoomed-in for .
The general idea of this approach is that in a pre-universe, before the creation of a 4-dimensional space-time, the coupled information shift dynamics is already evolving and fixing standard model parameters, such as the fine structure constant, as states of maximum randomness (realized as a state of zero SNNC), given the constraint that we have a deterministic (chaotic) dynamics on microscopic scales.
More extensive numerical simulations can in principle be performed on supercomputers to locate the exact numerical value of , making the result more precise. Within the precision obtained in our simulations, the coupled Chebyshev system (with local maps) gives a possible distinction of a fundamental constant of particle physics, by making the coupled chaotic system uncorrelated: for , the deterministic system appears completely random (in the spatial direction) in the sense of vanishing nearest-neighbour correlations.
Of course, one might argue that perhaps the value of the zero-crossing in Figure 4b is just a random coincidence, i.e., it just by chance happens to coincide with the observed value of the fine structure constant. However, coincidences with other values of standard model coupling constants (weak and strong interactions) were also observed for other types of chaotic strings, see Refs. [19,23,24] for more details. Thus, a pure random coincidence of all these observed values appears quite unlikely, see Ref. [19] for quantitative estimates of the likelihood.
One can also study in a similar way the temporal nearest-neighbour correlations (TNNC), see Ref. [15], and also other higher-order statistics. Our results seem to indicate that the distinction comes only from the spatial two-point correlation function, not from other types of higher-order correlation functions.
6. Conclusions
In this paper we have considered an information shift dynamics that is deterministic and chaotic, and which maximizes Tsallis entropy in a generalized statistical mechanics formalism. It is, in a sense, the simplest example of a low-dimensional statistical mechanical system that lives on a compact phase space and is ergodic and mixing. We consider it as a candidate dynamics for a pre-universe information shift dynamics that has the ability to fix standard model parameters (such as the fine structure constant) if a coupled version is considered.
Author Contributions
Conceptualization: J.Y. and C.B., Methodology: C.B., Validation: J.Y. and C.B., Visualization: J.Y., Writing of the Manuscript: J.Y. and C.B. All authors have read and agreed to the published version of the manuscript.
Funding
This research received no external funding.
Conflicts of Interest
The authors declare no conflict of interest.
References
- Tsallis, C. Possible generalization of Boltzmann-Gibbs statistics. J. Stat. Phys. 1988, 52, 479. [Google Scholar] [CrossRef]
- Tsallis, C. Introduction to Nonextensive Statistical Mechanics; Springer: Berlin/Heidelberg, Germany, 2009. [Google Scholar]
- Jizba, P.; Korbel, J. Maximum entropy principle in statistical inference: Case for non-Shannonian entropies. Phys. Rev. Lett. 2019, 122, 120601. [Google Scholar] [CrossRef] [PubMed]
- Beck, C.; Cohen, E.G.D. Superstatistics. Physica A 2003, 322, 267. [Google Scholar] [CrossRef]
- Metzler, R. Superstatistics and non-Gaussian diffusion. Eur. Phys. J. Special Topics 2020, 229, 711. [Google Scholar] [CrossRef]
- Bediaga, I.; Curado, E.M.F.; De Miranda, J.M. A nonextensive thermodynamical equilibrium approach in e+e−→ hadrons. Physica A 2000, 286, 156. [Google Scholar] [CrossRef]
- Beck, C. Non-extensive statistical mechanics and particle spectra in elementary interactions. Physica A 2000, 286, 164. [Google Scholar] [CrossRef]
- Biro, T.S.; Purcsel, G.; Urmossy, K. Non-extensive approach to quark matter. Eur. Phys. J. A 2009, 40, 325. [Google Scholar] [CrossRef]
- Marques, L.; Cleymans, J.; Deppman, A. Description of high-energy pp collisions using Tsallis thermodynamics: Transverse momentum and rapidity distributions. Phys. Rev. D 2015, 91, 054025. [Google Scholar] [CrossRef]
- Wong, C.Y.; Wilk, G.; Cirto, L.J.; Tsallis, C. From QCD-based hard-scattering to nonextensive statistical mechanical descriptions of transverse momentum spectra in high-energy pp and pp¯ collisions. Phys. Rev. D 2015, 91, 114027. [Google Scholar] [CrossRef]
- Beck, C.; Lewis, G.S.; Swinney, H.L. Measuring nonextensitivity parameters in a turbulent Couette-Taylor flow. Phys. Rev. E 2001, 63, 035303R. [Google Scholar] [CrossRef]
- Beck, C. Generalised information and entropy measures in physics. Contemp. Phys. 2009, 50, 495. [Google Scholar] [CrossRef]
- Yoon, P.H. Thermodynamic, non-extensive, or turbulent quasi-equilibrium for the space plasma environment. Entropy 2009, 21, 820. [Google Scholar] [CrossRef]
- Dolgopyat, D.; Kanigowski, A.; Rodriguez-Hertz, F. Exponential Mixing Implies Bernoulli. arXiv 2021, arXiv:2106.03147. [Google Scholar]
- Yan, J.; Beck, C. Distinguished Correlation Properties of Chebyshev Dynamical Systems and Their Generalisations. Chaos Solitons Fractals X 2020, 5, 100035. [Google Scholar] [CrossRef]
- Hilgers, A.; Beck, C. Higher-order correlations of Tchebyscheff maps. Physica D 2001, 56, 1. [Google Scholar] [CrossRef]
- Groote, S.; Veermae, H. Short chaotic strings and their behaviour in the scaling region. Chaos Solitons Fractals 2009, 41, 2354. [Google Scholar] [CrossRef]
- Dettmann, C.P.; Lippolis, D. Periodic orbit theory of two coupled Tchebyscheff maps. Chaos Solitons Fractals 2005, 23, 43. [Google Scholar] [CrossRef][Green Version]
- Beck, C. Spatio-Temporal Chaos and Vacuum Fluctuations of Quantized Fields; World Scientific: Singapore, 2002. [Google Scholar]
- Beck, C.; Schlögl, F. Thermodynamics of Chaotic Systems; Cambridge University Press: Cambridge, UK, 1993. [Google Scholar]
- Parisi, G.; Wu, Y. Perturbation theory without gauge fixing. Sci. Sin. 1981, 24, 483. [Google Scholar]
- PDamgaard, H.; Hüffel, H. (Eds.) Stochastic Quantization; World Scientific: Singapore, 1988. [Google Scholar]
- Beck, C. Chaotic strings and standard model parameters. Physica D 2002, 171, 72. [Google Scholar] [CrossRef][Green Version]
- Beck, C. Chaotic scalar fields as models for dark energy. Phys. Rev. D 2004, 69, 123515. [Google Scholar] [CrossRef]
- Tsallis, C.; Mendes, R.S.; Plastino, A.R. The role of constraints within generalized nonextensive statistics. Physica A 1998, 261, 534. [Google Scholar] [CrossRef]
- Beck, C. Nonextensive scalar field theories and dark energy models. Physica A 2004, 340, 459. [Google Scholar] [CrossRef][Green Version]
- Luciano, G.G. Tsallis statistics and generalized uncertainty principle. Eur. Phys. J. C 2021, 81, 672. [Google Scholar] [CrossRef]
- Luciano, G.G.; Blasone, M. q-generalized Tsallis thermostatistics in Unruh effect for mixed fields. Phys. Rev. D 2021, 104, 045004. [Google Scholar] [CrossRef]
- Nojiri, S.; Odintsov, S.D.; Saridakis, E.N. Modified cosmology from extended entropy with varying exponent. Eur. Phys. J. C 2019, 79, 242. [Google Scholar] [CrossRef]
- Kaneko, K. Period-doubling of kink anti-kink patterns, quasiperiodicity in antiferro-like structures and spatial intermittency in coupled logistic lattice. Progr. Theor. Phys. 1984, 72, 480. [Google Scholar] [CrossRef]
- Mackey, M.; Milton, J. Asymptotic stability of densities in coupled map lattices. Physica D 1995, 80, 1. [Google Scholar] [CrossRef]
- Available online: https://sites.google.com/view/jinyan-cmls/home (accessed on 25 October 2022).
Publisher’s Note: MDPI stays neutral with regard to jurisdictional claims in published maps and institutional affiliations. |
© 2022 by the authors. Licensee MDPI, Basel, Switzerland. This article is an open access article distributed under the terms and conditions of the Creative Commons Attribution (CC BY) license (https://creativecommons.org/licenses/by/4.0/).