Machine Learning Algorithm to Predict Acidemia Using Electronic Fetal Monitoring Recording Parameters
Abstract
1. Introduction
2. Materials and Methods
2.1. Study Design and Patients Recruitment
2.2. Electronic Fetal Monitoring
- Total reperfusion time as the sum in minutes of the period that the fetus remains at baseline without deceleration during the last 30 min .
- Deceleration time as the sum in minutes of the period of time that the fetus is decelerating during the last 30 min .
- Total deceleration area as the sum of all areas of deceleration, being the deceleration area the product of the duration of deceleration in seconds and its maximum depth of fall from baseline expressed in beats per minute divided by two .
2.3. Statistical Analysis
3. Results
3.1. Descriptive Analysis
3.2. Multivariable Prediction of Acidemia
3.2.1. Building Models
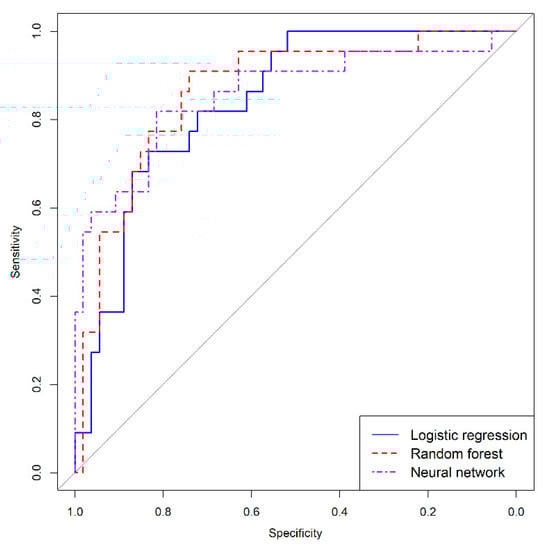
3.2.2. Validation of Models
4. Discussion
5. Conclusions
Author Contributions
Funding
Institutional Review Board Statement
Informed Consent Statement
Data Availability Statement
Acknowledgments
Conflicts of Interest
References
- Nunes, I.; Ayres-de-Campos, D. Computer analysis of foetal monitoring signals. Best Pract. Res. Clin. Obstet. Gynaecol. 2016, 30, 68–78. [Google Scholar] [CrossRef]
- Ayres-de-Campos, D.; Nogueira-Reis, Z. Technical characteristics of current cardiotocographic monitors. Best Pract. Res. Clin. Obstet. Gynaecol. 2016, 30, 22–32. [Google Scholar] [CrossRef]
- Docker, M. Doppler ultrasound monitoring technology. BJOG Int. J. Obstet. Gynaecol. 1993, 100, 18–20. [Google Scholar] [CrossRef]
- Nunes, I.; Ayres-de-Campos, D.; Figueiredo, C.; Bernardes, J. An overview of central fetal monitoring systems in labour. J. Perinat. Med. 2013, 41, 93–99. [Google Scholar] [CrossRef]
- Shannon, C.E. A mathematical theory of communication. Bell Syst. Tech. J. 1948, 27, 379–423. [Google Scholar] [CrossRef]
- Cheong, R.; Rhee, A.; Wang, C.J.; Nemenman, I.; Levchenko, A. Information transduction capacity of noisy biochemical signaling networks. Science 2011, 334, 354–358. [Google Scholar] [CrossRef]
- Adami, C. The use of information theory in evolutionary biology. Ann. N. Y. Acad. Sci. 2012, 1256, 49–65. [Google Scholar] [CrossRef]
- Frénay, B. Uncertainty and Label Noise in Machine Learning. Ph.D. Dissertation, Catholic University of Louvain, Louvain-la-Neuve, Belgium, 2013. [Google Scholar]
- Clark, S.L.; Hamilton, E.F.; Garite, T.J.; Timmins, A.; Warrick, P.A.; Smith, S. The limits of electronic fetal heart rate monitoring in the prevention of neonatal metabolic acidemia. Am. J. Obstet. Gynecol. 2017, 216, 163.e1–163.e6. [Google Scholar] [CrossRef]
- American College of Obstetricians and Gynecologists. Fetal heart rate monitoring: Guidelines. ACOG Tech. Bull. 1974, 32, 1–10. [Google Scholar]
- American College of Obstetricians and Gynecologists. Practice bulletin no. 116: Management of intrapartum fetal heart rate tracings. Obstet. Gynecol. 2010, 116, 1232–1240. [Google Scholar] [CrossRef]
- Zamora, C.; Chóliz, M.; Mejía, I.; Díaz de Terán, E.; Esteban, L.M.; Rivero, A.; Castán, B.; Andeyro, M.; Savirón, R. Diagnostic capacity and interobserver variability in FIGO, ACOG, NICE and Chandraharan cardiotocographic guidelines to predict neonatal acidemia. J. Matern. Fetal Neonatal Med. 2021, 80, 6479. [Google Scholar] [CrossRef]
- Rei, M.; Tavares, S.; Pinto, P.; Machado, A.P.; Monteiro, S.; Costa, A.; Costa-Santos, C.; Bernardes, J.; Ayres-De-Campos, D. Interobserver agreement in CTG interpretation using the 2015 FIGO guidelines for intrapartum fetal monitoring. Eur. J. Obstet. Gynecol. Reprod. Biol. 2016, 205, 27–31. [Google Scholar] [CrossRef]
- Cahill, A.G.; Tuuli, M.G.; Stout, M.J.; López, J.D.; Macones, G.A. A prospective cohort study of fetal heart rate monitoring: Deceleration area is predictive of fetal acidemia. Am. J. Obstet. Gynecol. 2018, 218, 523.e1–523.e12. [Google Scholar] [CrossRef]
- Chóliz, M.; Savirón, R.; Esteban, L.M.; Zamora, C.; Espiau, A.; Castán, B.; Castán Mateo, S. Total intrapartum fetal reperfusion time (fetal resilience) and neonatal acidemia. J. Matern. Fetal Neonatal Med. 2021, 91, 5977. [Google Scholar] [CrossRef]
- Sbrollini, A.; Agostinelli, A.; Marcantoni, I.; Morettini, M.; Burattini, L.; Di Nardo, F.; Fioretti, S.; Burattini, L. eCTG: An automatic procedure to extract digital cardiotocographic signals from digital images. Comput. Methods Programs Biomed. 2018, 156, 133–139. [Google Scholar] [CrossRef]
- Doret, M.; Helgason, H.; Abry, P.; Goncalves, P.; Gharib, C.; Gaucherand, P. Multifractal analysis of fetal heart rate variability in fetuses with and without severe acidosis during labor. Am. J. Perinatol. 2011, 28, 259–266. [Google Scholar] [CrossRef]
- Doret, M.; Spilka, J.; Chudáček, V.; Gonçalves, P.; Abry, P. Fractal analysis and hurst parameter for intrapartum fetal heart rate variability analysis: A versatile alternative to frequency bands and LF/HF ratio. PLoS ONE 2015, 10, e0136661. [Google Scholar] [CrossRef]
- Desai, G.S. Artificial intelligence: The future of obstetrics and gynecology. J. Obstet. Gynecol. India 2018, 68, 326–327. [Google Scholar] [CrossRef]
- Balayla, J.; Shrem, G. Use of artificial intelligence (AI) in the interpretation of intrapartum fetal heart rate (FHR) tracings: A systematic review and meta-analys.sis. Arch. Gynecol. Obstet. 2019, 300, 7–14. [Google Scholar] [CrossRef]
- Iftikhar, P.; Kuijpers, M.V.; Khayyat, A.; Iftikhar, A.; De Sa, M.D. Artificial intelligence: A new paradigm in obstetrics and gynecology research and clinical practice. Cureus 2020, 12, e7124. [Google Scholar] [CrossRef]
- Emin, E.I.; Emin, E.; Papalois, A.; Willmott, F.; Clarke, S.; Sideris, M. Artificial intelligence in obstetrics and gynaecology: Is this the way forward? Vivo 2019, 33, 1547–1551. [Google Scholar] [CrossRef]
- Aznar-Gimeno, R.; Esteban, L.M.; Labata-Lezaun, G.; del-Hoyo-Alonso, R.; Abadia-Gallego, D.; Paño-Pardo, J.R.; Esquillor Rodrigo, M.J.; Lanas, A.; Serrano, M. A Clinical Decision Web to Predict ICU Admission or Death for Patients Hospitalised with COVID-19 Using Machine Learning Algorithms. Int. J. Environ. Res. Public Health 2021, 18, 8677. [Google Scholar] [CrossRef]
- Zhao, Z.; Zhang, Y.; Deng, Y. A comprehensive feature analysis of the fetal heart rate signal for the intelligent assessment of fetal state. J. Clin. Med. 2018, 7, 223. [Google Scholar] [CrossRef]
- Cömert, Z.; Kocamaz, A.F. Open-access software for analysis of fetal heart rate signals. Biomed. Signal Process. Control 2018, 45, 98–108. [Google Scholar] [CrossRef]
- Cömert, Z.; Kocamaz, A.F.; Subha, V. Prognostic model based on image-based time-frequency features and genetic algorithm for fetal hypoxia assessment. Comput. Biol. Med. 2018, 99, 85–97. [Google Scholar] [CrossRef]
- Tang, H.; Wang, T.; Li, M.; Yang, X. The design and implementation of cardiotocography signals classification algorithm based on neural network. Comput. Math. Methods Med. 2018, 2018, 8568617. [Google Scholar] [CrossRef]
- Zhao, Z.; Deng, Y.; Zhang, Y.; Zhang, Y.; Zhang, X.; Shao, L. DeepFHR: Intelligent prediction of fetal Acidemia using fetal heart rate signals based on convolutional neural network. BMC Med. Inform. Decis. Mak. 2019, 19, 1–15. [Google Scholar] [CrossRef]
- Iraji, M.S. Prediction of fetal state from the cardiotocogram recordings using neural network models. Artif. Intell. Med. 2019, 96, 33–44. [Google Scholar] [CrossRef]
- Shore, J.; Johnson, R. Properties of cross-entropy minimization. IEEE Trans. Inf. Theory 1981, 27, 472–482. [Google Scholar] [CrossRef]
- Aznar-Gimeno, R.; Labata-Lezaun, G.; Adell-Lamora, A.; Abadía-Gallego, D.; del-Hoyo-Alonso, R.; González-Muñoz, C. Deep Learning for Walking Behaviour Detection in Elderly People Using Smart Footwear. Entropy 2021, 23, 777. [Google Scholar] [CrossRef]
- Hanley, J.A.; McNeil, B.J. The meaning and use of the area under a receiver operating characteristic (ROC) curve. Radiology 1982, 143, 29–36. [Google Scholar] [CrossRef]
- Steyerberg, E.W. Clinical Prediction Models; Springer: Berlin/Heidelberg, Germany, 2019. [Google Scholar]
- Malin, G.L.; Morris, R.K.; Khan, K.S. Strength of association between umbilical cord pH and perinatal and long term outcomes: Systematic review and meta-analysis. BMJ 2010, 340, c1471. [Google Scholar] [CrossRef]
- Cahill, A.G.; Roehl, K.A.; Odibo, A.O.; Macones, G.A. Association and prediction of neonatal acidemia. Am. J. Obs. Gynecol. 2012, 207, 206.e1–206.e8. [Google Scholar] [CrossRef]
- Ogunyemi, D.; Jovanovski, A.; Friedman, P.; Sweatman, B.; Madan, I. Temporal and quantitative associations of electronic fetal heart rate monitoring patterns and neonatal outcomes. J. Matern. Fetal Neonatal Med. 2019, 32, 3115–3124. [Google Scholar] [CrossRef]
- Martí, S.; Lapresta, M.; Pascual, J.; Lapresta, C.; Castán, S. Deceleration area and fetal acidemia. J. Matern. Fetal Neonatal Med. 2017, 30, 2578–2584. [Google Scholar] [CrossRef]
- Lear, C.A.; Galinsky, R.; Wassink, G.; Yamaguchi, K.; Davidson, J.O.; Westgate, J.A.; Bennet, L.; Gunn, A.J. The myths and physiology surrounding intrapartum decelerations: The critical role of the peripheral chemoreflex. J. Physiol. 2016, 594, 4711–4725. [Google Scholar] [CrossRef]
- Lear, C.A.; Wassink, G.; Westgate, J.A.; Nijhuis, J.G.; Ugwumadu, A.; Galinsky, R.; Bennet, L.; Gunn, A.J. The peripheral chemoreflex: Indefatigable guardian of fetal physiological adaptation to labour. J. Physiol. 2018, 596, 5611–5623. [Google Scholar] [CrossRef]
- Eden, R.D.; Evans, M.I.; Evans, S.M.; Schifrin, B.S. The “Fetal Reserve Index”: Re-engineering the interpretation and responses to fetal heart rate patterns. Fetal Diagn. 2018, 43, 90–104. [Google Scholar] [CrossRef]
- Eunice Kennedy Shriver National Institute of Child Health and Human Development (NICHD). Available online: https://www.nih.gov/about-nih/what-we-do/nih-almanac/eunice-kennedy-shriver-national-institute-child-health-human-development-nichd (accessed on 28 November 2021).
- Steyerberg, E.W.; Van Calster, B.; Pencina, M.J. Performance measures for prediction models and markers: Evaluation of predictions and classifications. Rev. Esp. Cardiol. 2011, 64, 788–794. [Google Scholar] [CrossRef]
- DeLong, E.R.; DeLong, D.M.; Clarke-Pearson, D.L. Comparing the areas under two or more correlated receiver operating characteristic curves: A nonparametric approach. Biometrics 1988, 44, 837–845. [Google Scholar] [CrossRef]
- Vickers, A.J.; van Calster, B.; Steyerberg, E.W. A simple, step-by-step guide to interpreting decision curve analysis. Diagn. Progn. Res. 2019, 3, 18. [Google Scholar] [CrossRef]
- Pepe, M.S.; Feng, Z.; Huang, Y.; Longton, G.; Prentice, R.; Thompson, I.M.; Zheng, Y. Integrating the predictiveness of a marker with its performance as a classifier. Am. J. Epidemiol. 2008, 167, 362–368. [Google Scholar] [CrossRef]
- Borque-Fernando, A.; Esteban-Escaño, L.M.; Rubio-Briones, J.; Lou-Mercade, A.C.; Garcia-Ruiz, R.; Tejero-Sanchez, A.; Muñoz-Rivero, M.V.; Cabañuz-Plo, T.; Alfaro-Torres, J.; Marquina-Ibañex, I.M.; et al. A preliminary study of the ability of the 4Kscore test, the Prostate Cancer Prevention Trial-Risk Calculator and the European Research Screening Prostate-Risk Calculator for predicting high-grade prostate cancer. Actas Urológicas Españolas 2016, 40, 155–163. [Google Scholar] [CrossRef]
- R Core Team. R: A Language and Environment for Statistical Computing; R Foundation for Statistical Computing: Vienna, Austria, 2020; Available online: https://www.R-project.org/ (accessed on 28 November 2021).
- Ishwaran, H.; Lu, M. Standard errors and confidence intervals for variable importance in random forest regression, classification, and survival. Stat. Med. 2019, 38, 558–582. [Google Scholar] [CrossRef]
- Garson, G.D. Interpreting neural network connection weights. Artif. Intell. Expert 1991, 6, 46–51. [Google Scholar]
- Cruces Álvarez, S.A.; Martín Clemente, R.; Samek, W. Information Theory Applications in Signal Processing. Entropy 2019, 21, 653. [Google Scholar] [CrossRef]









| Variable | Acidotic (n = 120) | Non-Acidotic (n = 258) | p-Value |
|---|---|---|---|
| Maternal–fetal variables | |||
| Maternal age | 33 (29–37) | 34 (30–36) | 0.499 |
| Hypertension disorders | 5 (4.2%) | 5 (1.9%) | 0.362 |
| Gestational diabetes | 15 (12.5) | 29 (11.2%) | 0.855 |
| Nulliparity | 132 (51.2%) | 80 (66.7%) | 0.007 |
| Gestational age | 280 (274–285) | 280 (273–286) | 0.841 |
| Male gender | 64 (53.3%) | 145 (56.2%) | 0.681 |
| Delivery | <0.001 | ||
| Vaginal | 60 (50.0%) | 187 (72.5%) | |
| Operative vaginal | 30 (25.0%) | 52 (20.1%) | |
| Cesarean | 30 (25.0%) | 19 (7.4%) | |
| Birthweight | 3238 (2918–3638) | 3295 (2975–3620) | 0.645 |
| Percentile birthweight | 43. 1 (20.0–74.5) | 49.3 (24.1–77.4) | 0.553 |
| Small for gestational age | 22 (18.3%) | 28 (10.9%) | 0.066 |
| Large for gestational age | 21 (17.5%) | 32 (12.4%) | 0.185 |
| EFM variables | |||
| ACOG categories | <0.001 | ||
| Category 1 | 13 (10.8%) | 123 (47.7%) | |
| Category 2 | 57 (47.5%) | 110 (42.6%) | |
| Category 3 | 50 (41.7%) | 25 (9.7%) | |
| Reperfusion time (min) | 18.1 (14.8–20.8) | 21.8 (18.2–25.2) | <0.001 |
| Number of decelerations | 8 (5–10) | 7.5 (4–10) | 0.509 |
| № Decelerations > 60 sg | 2.5 (0–5) | 0 (0–2) | <0.001 |
| Recurrent decelerations > 60 sg | 25 (20.8%) | 20 (7.8%) | <0.001 |
| № Decelerations depth > 60 bpm | 3 (1–5) | 0 (0–3) | <0.001 |
| Recurrent decelerations depth > 60 bpm | 33 (27.5%) | 43 (16.7%) | 0.021 |
| Deceleration area | 16.5 (11.3–22.6) | 9.6 (5.1–15.5) | <0.001 |
| Minimum deep bpm | 40 (30–54) | 31 (24–40) | <0.001 |
| Maximum deep bpm | 79 (68–92) | 60 (52–78) | <0.001 |
| Mean deep bpm | 58 (48–69) | 48 (40–69) | <0.001 |
| Variable | Odds Ratio (95% C.I.) | p-Value |
|---|---|---|
| Nulliparity | 0.413 (0.217–0.763) | 0.006 |
| Large for gestational age | 4.562 (1.969–10.840) | <0.001 |
| Reperfusion time (min) | 0.809 (0.729–0.889) | <0.001 |
| Number of decelerations | 0.804 (0.694–0.919) | 0.002 |
| № Decelerations > 60 sg | 1.190 (1.037–1.369) | 0.013 |
| № Decelerations depth > 60 bpm | 1.328 (1.111–1.599) | 0.002 |
| Recurrent decelerations depth > 60 bpm | 0.178 (0.056–0.530) | 0.005 |
| Minimum deep bpm | 1.034 (1.010–1.060) | <0.001 |
| Parameter | Value |
|---|---|
| Number of trees | 100 |
| Forest terminal node size | 5 |
| Average number of terminal nodes | 29.9 |
| Resampling used to grow trees | SWOR |
| Resample size used to grow trees | 191 |
| Splitting rule | MSE |
| Number of random split points | 10 |
Publisher’s Note: MDPI stays neutral with regard to jurisdictional claims in published maps and institutional affiliations. |
© 2021 by the authors. Licensee MDPI, Basel, Switzerland. This article is an open access article distributed under the terms and conditions of the Creative Commons Attribution (CC BY) license (https://creativecommons.org/licenses/by/4.0/).
Share and Cite
Esteban-Escaño, J.; Castán, B.; Castán, S.; Chóliz-Ezquerro, M.; Asensio, C.; Laliena, A.R.; Sanz-Enguita, G.; Sanz, G.; Esteban, L.M.; Savirón, R. Machine Learning Algorithm to Predict Acidemia Using Electronic Fetal Monitoring Recording Parameters. Entropy 2022, 24, 68. https://doi.org/10.3390/e24010068
Esteban-Escaño J, Castán B, Castán S, Chóliz-Ezquerro M, Asensio C, Laliena AR, Sanz-Enguita G, Sanz G, Esteban LM, Savirón R. Machine Learning Algorithm to Predict Acidemia Using Electronic Fetal Monitoring Recording Parameters. Entropy. 2022; 24(1):68. https://doi.org/10.3390/e24010068
Chicago/Turabian StyleEsteban-Escaño, Javier, Berta Castán, Sergio Castán, Marta Chóliz-Ezquerro, César Asensio, Antonio R. Laliena, Gerardo Sanz-Enguita, Gerardo Sanz, Luis Mariano Esteban, and Ricardo Savirón. 2022. "Machine Learning Algorithm to Predict Acidemia Using Electronic Fetal Monitoring Recording Parameters" Entropy 24, no. 1: 68. https://doi.org/10.3390/e24010068
APA StyleEsteban-Escaño, J., Castán, B., Castán, S., Chóliz-Ezquerro, M., Asensio, C., Laliena, A. R., Sanz-Enguita, G., Sanz, G., Esteban, L. M., & Savirón, R. (2022). Machine Learning Algorithm to Predict Acidemia Using Electronic Fetal Monitoring Recording Parameters. Entropy, 24(1), 68. https://doi.org/10.3390/e24010068

